Abstract
Research has been ongoing for years to discover image features that enable their best classification. One of the latest developments in this area is the Self-Distillation with No Labels Vision Transformer—DINO-ViT features. However, even for a single image, their volume is significant. Therefore, for this article we proposed to substantially reduce their size, using two methods: Principal Component Analysis and Neighborhood Component Analysis. Our developed methods, PCA-DINO and NCA-DINO, showed a significant reduction in the volume of the features, often exceeding an order of magnitude while maintaining or slightly reducing the classification accuracy, which was confirmed by numerous experiments. Additionally, we evaluated the Uniform Manifold Approximation and Projection (UMAP) method, showing the superiority of the PCA and NCA approaches. Our experiments involving modifications to patch size, attention heads, and noise insertion in DINO-ViT demonstrated that both PCA-DINO and NCA-DINO exhibited reliable accuracy. While NCA-DINO is optimal for high-performance applications despite its higher computational cost, PCA-DINO offers a faster, more resource-efficient solution, depending on the application-specific requirements. The code for our method is available on GitHub.
1. Introduction
Digital image processing involves processing huge volumes of data. Therefore, work has been ongoing for a long time on the possibility of equivalent image representation using sparse features that require much less memory and are still effective in tasks such as classification or retrieval. Many such features have been developed, either from semantic layers of Convolutional Neural Networks (CNN) [1] or from layers of a self-supervised Vision Transformer (ViT) [2], such as the recently proposed Self-Distillation with No Labels Vision Transformer—DINO-ViT [3]. However, even these require significant memory resources. Therefore, in this article we show how, in a relatively simple way, we can significantly reduce their volume while maintaining high classification properties.
Feature reduction is the process of reducing the number of features while ensuring that the most important ones are retained, even at the expense of losing some patterns in the data [4]. One of the key advantages of feature reduction is the elimination of redundant information that may be present in the data, resulting in improved prediction accuracy and generalization. Techniques such as Principal Component Analysis (PCA) and Neighborhood Component Analysis (NCA) are commonly used for this purpose. PCA transforms the original variables into uncorrelated principal components [5], while NCA enhances classification by optimizing the distance metric to preserve local neighborhood structures [6]. Furthermore, feature reduction can improve the interpretability of research results [7].
Currently, feature reduction is widely used in classification tasks, helping to decrease computational time [8,9], and it can be applied across various data types, including images [10]. In this research, we addressed the challenge of large feature sets in image data extracted by the Visual Transformer (ViT) by employing the PCA and NCA techniques. This approach involves extracting features from the original data, often with modifications to enhance their relevance. However, not all feature extraction methods produce more compact datasets. In some cases, they can even increase the data size. Thus, it is essential to focus on reducing both the feature size and the associated computational time. In our experiments, we utilized DINO, a self-supervised architecture and an alternative to the well-established CNNs (Convolutional Neural Networks). We also evaluated the performance of the Uniform Manifold Approximation and Projection (UMAP) method [11], revealing PCA’s and NCA’s superior accuracy.
Previous research by Łażewski and Cyganek [1], utilizing PCA in their proposed method, ResFeats, applied for feature reduction, yielded promising results. Similarly, studies by Cherifi et al. [12] utilizing PCA on hyperspectral images, and by Sharma and Singh [13] on a variety of datasets using VGG16, resulted in accuracy comparable to that observed with ResFeats [1]. These findings suggest that while the accuracy may decrease slightly after applying PCA it remains within an acceptable range. Additionally, NCA has proven effective in enhancing classification performance when applied to extracted features [14]. The primary objective of this research was to investigate the combination of DINO-ViT feature extraction with feature reduction techniques, specifically PCA and NCA, and to assess the potential advantages of this approach. To date, research on DINO-ViT with PCA has primarily focused on image visualization, as shown by Caron et al. [3] and Amir et al. [15]. However, the application of NCA in conjunction with DINO-ViT remains unexplored in the literature, presenting a valuable opportunity to systematically compare the outcomes of using both PCA and NCA in this context.
2. Related Works
Given the significance and growth of computer vision, numerous techniques have been created for image recognition and classification. The first transformer architecture in this field, the ViT, was proposed by Dosovitskiy et al. [2], adapting the model traditionally used in Natural Language Processing (NLP) for image data. ViT divides images into patches and processes them as sequences of linear embeddings, which are analogous to tokens in NLP applications. ViT has been evaluated on several datasets, including ImageNet, ImageNet ReaL, CIFAR-10, CIFAR-100, Oxford-IIIT Pets, Oxford Flowers-102, and VTAB (19 Tasks), among others, achieving accuracies often exceeding 99%.
Caron et al. [3] developed DINO-ViT, an extension of ViT, focusing on self-attention without supervision. They conducted an extensive analysis of the self-attention mechanism using the [CLS] token in the final layer, which captures class-specific features, thereby enabling unsupervised object segmentation. This method exhibited superior feature extraction capabilities, with a top-1 accuracy of 80.1% on the ImageNet. Amir et al. [15] combined DINO-ViT with a zero-shot method, enhancing classification efficiency. Their study assessed the effectiveness of this approach in separating the main object from the background using the Jaccard index, showing improved object segmentation performance compared to other methods, which aligned with the findings of Caron et al. [3].
The research in [16] introduced a Multi-level Contrastive Learning for Vision Transformers (MCVTs) framework, designed to enhance self-supervised feature learning in transformer-based vision architectures. The MCVT framework was inspired by the methodologies presented in [2,3], demonstrating superior classification accuracy on ImageNet-1k dataset, and it outperformed baseline methods in object detection tasks on the COCO dataset. Another work, SimSAM [17], also inspired by the ViT, employed an unsupervised image segmentation technique using a semantic affinity matrix. By leveraging features extracted from DINO-ViT, SimSAM significantly improved segmentation quality, demonstrating notable advancements across several benchmark datasets.
Previous research by Łażewski and Cyganek [1] demonstrated the effectiveness of PCA for CNN feature reduction. The authors combined a number of semantic features from various layers of ResNet-50 and then applied PCA with varying numbers of components, achieving optimal results with 60. Their experimental study used six datasets: Caltech-101, Caltech-256, Oxford Flowers, EuroSAT, Dog vs. Cat, and MLC-2008, with four of them yielding accuracy rates exceeding 90%. The Caltech-101 and Caltech-256 datasets reported accuracy rates of 86.62% and 76.9% respectively. Another study by Cherifi et al. [12], which applied PCA to hyperspectral images, also achieved accuracy rates exceeding 90%, comparable to that reported by Łażewski and Cyganek [1].
The research conducted by Sharma and Singh [13] combined VGG16 with PCA and was applied to a collection of datasets, including Fashion-MNIST, ORL Faces, corn leaf diseases, and rice leaf diseases, achieving high accuracy rates of 91.145%, 95%, 92.33%, and 98.59%, respectively. Similarly, a study conducted by Doorsamy and Rameshar [18] demonstrated the efficacy of PCA for feature reduction. Their investigation achieved compression rates of up to 94%, with a negligible decline in classification accuracy of merely 2%. This method was applied to an X-ray image dataset, demonstrating that PCA-based feature reduction does not substantially affect classification performance.
Beyond the application of PCA, NCA is also used to evaluate the effectiveness of feature reduction techniques. Recent research by Ye et al. [19] has introduced an enhanced version of NCA known as ModernNCA. This method implements a stochastic neighbor sampling strategy, significantly improving both efficiency and predictive accuracy in classification and regression tasks. ModernNCA has demonstrated improved performance and reduced training times compared to other deep tabular models, as evidenced by experiments on eight binary classification datasets, four multi-class classification datasets, and 10 regression datasets obtained from OpenML and Kaggle.
As alluded to previously, we also experimented with UMAP, which is a relatively novel dimension reduction method based on manifold learning [11]. Its roots are in a theoretical framework of algebraic topology and Riemannian geometry. As shown in the paper by McInnes et al. [11], UMAP is competitive with t-Distributed Stochastic Neighbor Embedding (t-SNE) [20], which is yet another non-linear dimensionality reduction method based on probability distribution over pairs of high-dimensional data points. However, our experiments showed the superior performance of our proposed PCA and NCA approaches over UMAP and t-SNE.
Furthermore, research by Agrawal and Chakraborty [14] highlighted the advantages of NCA for dimensionality reduction, particularly in improving the performance of damage classification. By effectively integrating class label information during the feature selection process, NCA enhanced class separability in damage classification tasks. Their research used datasets from the American Society of Civil Engineers, highlighting the practical applicability of NCA in real-world scenarios.
Research on ViT-based features has gained momentum through the many new ideas and architectures that have been proposed. In this context, it is especially interesting to pursue recent breakthroughs in natural language processing and their influence on models in computer vision. The quest is to produce so called all-purpose visual features, i.e., the ones that can operate across various image distributions and applications without the need for their fine-tuning. In this respect, Oquab et al. recently proposed DINOv2, which is a method for learning robust visual features without supervision [21]. They showed that for this purpose the existing pretrained self-supervised models are sufficient when provided with enough curated data from diverse resources. For this task, they proposed an automatic pipeline by training a ViT model with 1B parameters and then splitting it into an ensemble of smaller models that outperformed other and frequently much larger models.
3. Methods
In this research, we developed PCA-DINO and NCA-DINO by integrating DINO-ViT for feature extraction and using PCA and NCA for feature reduction. While previous research has mainly used PCA for tasks such as dimensionality reduction in visualization, our approach focused on evaluating its performance when combined with DINO-ViT to improve the efficiency of feature extraction. In contrast, we incorporated NCA, to explore its ability to learn a low-dimensional feature space that preserves neighborhood relationships, which may lead to improved model performance in subsequent tasks such as classification. The overall workflow of our research process is outlined in Figure 1.
Figure 1.
A high-level overview of the research, which used a DINO-ViT model for feature extraction, followed by feature reduction using PCA or NCA, and, finally, classification with a support vector machine.
Our methodology starts with a pre-processing step, where images are resized and normalized based on standard processes established in the previous literature. These steps ensure that the data are consistently prepared for feature extraction. Once the data are pre-processed, we use DINO-ViT to extract deep visual features, using its self-supervised learning framework to capture comprehensive and informative feature representations from the input images. These extracted features serve as input to the next stage of our pipeline, which focuses on dimensionality reduction.
We then apply two feature reduction techniques—PCA and NCA—over a range of component values, to investigate their impact on the reduced feature set. PCA is used to capture the most significant variance within the feature set, ensuring computational efficiency while preserving critical information. On the other hand, NCA focuses on preserving the proximity relationships between data points in the reduced feature space, potentially enhancing the model’s ability to generalize in downstream tasks. This dual approach allows us to compare and contrast the effectiveness of each method within the same experimental framework. Further details of the feature extraction process can be found in Section 3.1, and a more detailed discussion of the feature reduction techniques can be found in Section 3.2.
3.1. Feature Extraction
Before undertaking feature reduction, it is essential to perform feature extraction on the data. This process is performed using DINO-ViT, which exhibits superior resilience to occlusion and texture bias compared to CNN [15]. Furthermore, DINO-ViT is capable of generating highly detailed representations, which is an advantage over other models. It is noteworthy that self-supervised learning enhances the capabilities of ViT by providing explicit information about the semantic segmentation of images, which is less pronounced in supervised ViTs and conventional convolutional networks. This characteristic is particularly beneficial, as it allows the model to learn object boundaries and scene layouts more effectively, resulting in improved performance in tasks such as image retrieval and classification.
Caron et al. [3] advanced ViT through the development of DINO-ViT, focusing on the self-attention mechanism of the [CLS] token in the final layer, which operates without labels or supervision. Attention maps produced by this approach demonstrate DINO-ViT’s ability to perform unsupervised object segmentation, automatically learning class-specific features. Figure 2 illustrates this process, showing a salience image that clearly highlights the object, closely resembling its original shape. The self-supervised DINO approach synergizes effectively with ViTs, enabling the ViT-Base model to outperform traditional supervised methods, underscoring the potential of self-supervised learning to enhance ViT performance.
Figure 2.
DINO-ViT results for feature extraction on the Caltech101 dataset. The left side of the image shows the original image and the right side shows the DINO-ViT feature extraction results.
DINO-ViT offers two main configurations: ViT-Small (ViT-S) with an embedding dimension of 384 and ViT-Base (ViT-B) with 768 dimensions, impacting the model’s capacity and computational efficiency [3]. The model processes images by dividing them into patches (P) of sizes 8 × 8, 16 × 16, or 32 × 32 [2,3]. Each patch represents a small image segment, transformed into a vector and embedded into a fixed-dimensional space for transformer processing. ViT accepts input dimensions of , where H and W are the image height and width, respectively, producing features at a resolution of , with P based on the ViT variant, typically 8, 16, or 32 [3,22]. These configurations allow DINO-ViT to capture and represent visual information effectively across various applications.
In the case of our research, we used the ViT-S model variant with 16 x 16 patches, which was identified as the optimal configuration for DINO-ViT, due to several factors. Firstly, the ViT-S model is more compact than the ViT-B, which allows for faster computation—an important factor in environments with limited computing resources. Despite its smaller size, the ViT-S has demonstrated superior accuracy in a number of vision tasks compared to other configurations [23]. The 16 × 16 patch size provides the optimum level of detail required for effective feature extraction. This balance of size and performance makes the ViT-S particularly suitable for real-time applications where speed and efficiency are critical.
In addition, the DINO-ViT with the ViT-S model and a 16 × 16 patch configuration offers a higher level of information granularity compared to the 32 × 32 patch size, while requiring slightly more computational power than the 8 × 8 patches [2,3]. This configuration offers a balance between detail capture and computational efficiency, allowing the model to capture finer image details without significantly increasing the computational load. This makes it particularly effective for tasks requiring accurate object recognition and segmentation. Consequently, the ViT-S 16 × 16 patch configuration was selected as the optimal trade-off between model size, efficiency, and feature extraction quality, making it a robust choice for various computer vision applications.
3.2. Feature Reduction
In this research, we used PCA and NCA as feature reduction methods. PCA enhances data representation by leveraging covariance and is valued for its simplicity and computational efficiency [7,8,24]. Widely applied across fields like image processing and face recognition [12], PCA decomposes data into orthogonal, uncorrelated factors called principal components (PCs) that capture the dataset’s variability. The first principal component captures the maximum variance, with each subsequent component representing as much of the remaining variance as possible [24,25]. The application of PCA begins by determining the optimal number of components through experimental evaluation, which establishes the extent of the feature reduction [7].
In addition to PCA, we employed NCA to enhance the feature reduction process. NCA is a supervised learning technique that learns a linear transformation of the data, maximizing the likelihood that nearest neighbors remain close in the transformed space [6]. This method is particularly effective for improving classification performance by preserving neighborhood relationships [14]. NCA excels in scenarios where maintaining local structure is crucial, such as classification tasks involving high-dimensional data [26].
Furthermore, we conducted several experiments with varying numbers of components in PCA and NCA to determine the optimal values for feature reduction. Before performing this reduction, the data were standardized to ensure unbiased results and to optimize the input for the learning process [27,28]. We employed the Standardization Scaling Method, which transforms the data to have a mean of 0 and a standard deviation of 1. This transformation is accomplished by first subtracting the mean from the original values and then dividing by the standard deviation [28]. By standardizing the data, we ensured that all features contributed equally to the analysis, thereby enhancing the reliability and performance of the learning algorithms.
4. Datasets
Our experimental evaluation relied on a variety of datasets, carefully selected to ensure the robustness and generalizability of our method. This deliberate choice of datasets allowed us to comprehensively assess the performance of our approach in different conditions. A detailed description of each dataset is provided in Table 1, providing a thorough understanding of the characteristics and essential information of the datasets used in our experiments:
Table 1.
Essential information about the datasets used in this research, including number of classes, dataset size, image dimensions, and total number of images.
In selecting these datasets, we aimed to ensure broad applicability across different domains, from natural images to satellite imagery, while avoiding potential biases associated with specialized medical datasets. The advantages of using these datasets include their diversity in object classes, poses, and lighting conditions [37], their simplicity and ease of use, and their ability to provide a challenging testbed for evaluating the performance of object recognition models [30].
5. Results and Discussion
In this chapter, we describe the experiments performed and their results. We also present a discussion of the obtained results and a link to the implementation.
5.1. Experimental Results and Implementation Details
In this research, we proposed the integration of Feature Reduction with DINO-ViT, and we evaluated its performance across various datasets (see Table 1). The performance of our research was evaluated using a Support Vector Machine (SVM) classifier, with k-fold cross-validation set to 5 folds. Table 2 and Table 3 present the accuracy achieved with DINO-ViT and Feature Reduction, which represents the initial classification accuracy before and after Feature Reduction incorporation. Additionally, DINO-ViT originally extracted 384 features that enabled the SVM classifier to operate on a compact and informative representation of the data. For those interested in the implementation details of this research, the complete code and supplementary materials (including the raw results) are available in the following repository: https://github.com/didih02/pca-dino.git (accessed on 26 October 2024). This repository includes all the necessary scripts, data pre-processing steps, and instructions to replicate our experiments, facilitating the transparency and reproducibility of our findings.
Table 2.
Accuracy (%) for various numbers of components (feature) counts across different datasets using PCA. Bold values indicate the highest accuracy, while underlined values represent an accuracy drop of approximately 1%.
Table 3.
Accuracy (%) for various numbers of components (feature) counts across different datasets using NCA. Bold values indicate the highest accuracy, while underlined values represent an accuracy drop of approximately 1%.
5.2. Discussion
5.2.1. Impact of Feature Reduction on Accuracy
The impact of feature reduction on classification accuracy is explicitly demonstrated in Table 2 and Table 3. The initial value in all columns is the original number of features the DINO-ViT model extracted, providing a highly informative representation of the data, and allowing the SVM classifier to achieve high accuracy. However, reducing the number of components using PCA or NCA had different effects on accuracy, depending on the dataset.
As shown in Table 2 (PCA results), the highest accuracy was consistently achieved when the full 384 components were used, as seen in Caltech101 (96.87%) and Brain Tumor (97.05%). Naturally, as the number of components decreased, a general decline in accuracy was observed, with the most significant reductions occurring when fewer than 80 components were used. For example, reducing the number of features to five resulted in a significant drop in accuracy for Caltech256 (28.77%) and Cifar100 (24.85%). However, there were datasets for which even a significant reduction of components led to the best results, i.e., better than for the original number of DINO features. For instance, the Eurosat dataset obtained the best accuracy for the number of components reduced to 200, which was almost half of the original number of components. This shows the increasing generalization properties of the PCA-DINO method and for some datasets.
Table 3 (NCA results) shows a similar pattern. The highest accuracy was also achieved with almost all 384 components. However, NCA showed greater resilience with smaller feature sets for certain datasets. For instance, Cifar10 achieved 95% accuracy with only 80 components, suggesting that NCA may be more effective than PCA in preserving critical information with fewer features for specific datasets.
In Table 2 and Table 3, the bold values indicate the highest accuracy achieved for each dataset across all the feature counts evaluated. These bold values help to identify the optimal number of components that gave the best accuracy. For example, in BreakHis-40×, the highest accuracy for PCA (89.32%) was achieved with 384 components, while the best performance for NCA (80.99%) was achieved with 310 components. Overall, while both PCA and NCA provided effective feature reduction techniques, there was a trade-off between model efficiency and accuracy. However, NCA showed potential for maintaining more stable results with a decrease in the number of components, making it a promising option in scenarios where computational efficiency is crucial.
Moreover, the underlined values, as seen in both Table 2 and Table 3, represent an approximate 1% reduction in accuracy compared to the highest accuracy achieved (bold values) for each dataset. This highlights the trade-off between feature dimensionality and model performance. In many cases, a significant reduction in the number of components—sometimes a reduction of over 30%, depending on the dataset—resulted in only a marginal loss in accuracy of around 1%. This demonstrates the effectiveness of dimensionality reduction techniques from PCA and NCA in preserving classification performance while significantly reducing computational complexity. Such a balance is particularly beneficial in resource-constrained settings, where reducing feature dimensionality can improve efficiency without significant accuracy loss.
5.2.2. Comparison PCA and NCA
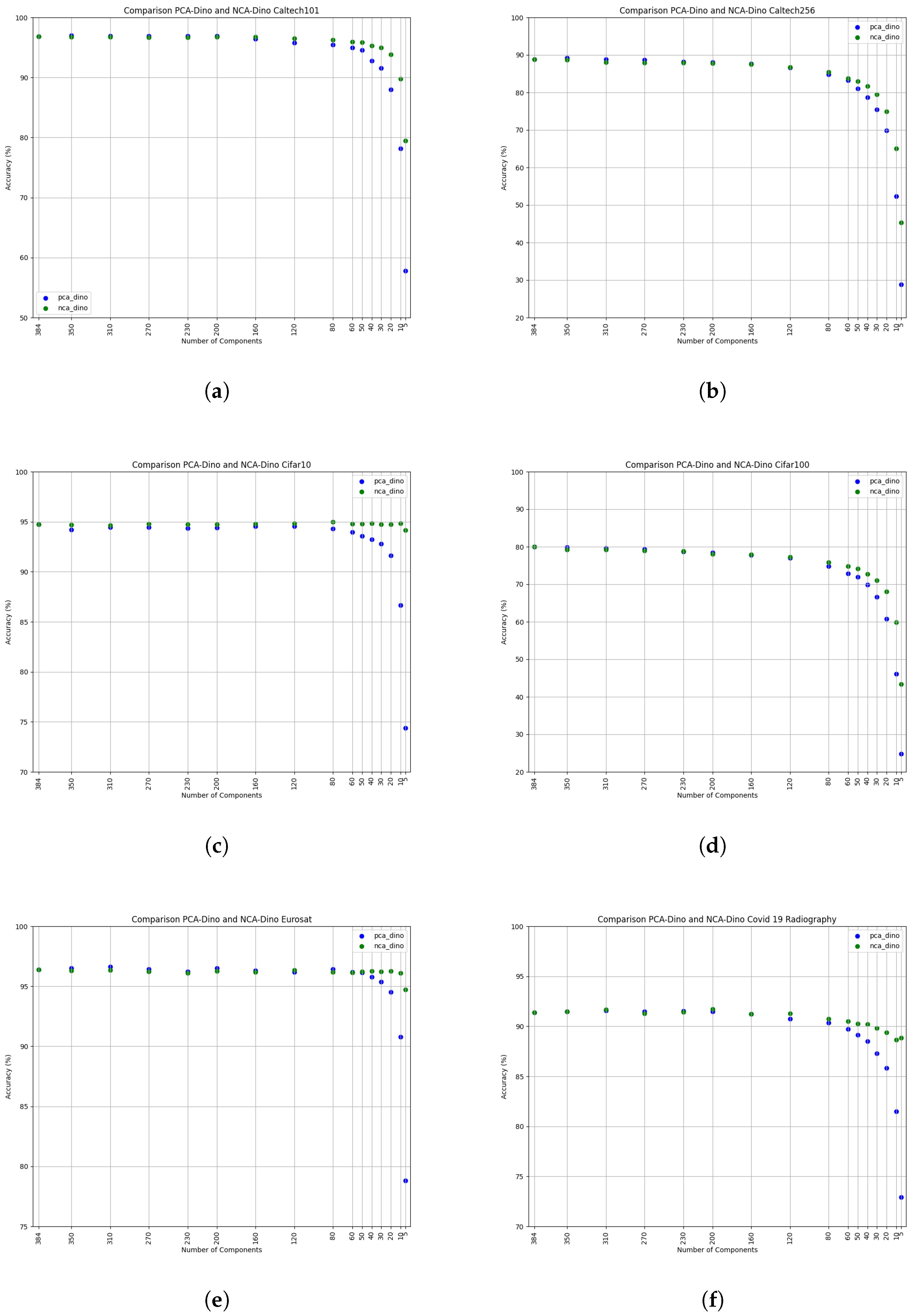
Based on the results presented in Table 2 and Table 3, the comparison of accuracy between PCA and NCA across various datasets after feature reduction was used to generate a performance comparison graph. This comparison is visualized in Figure 3 and Figure 4. A notable observation is at 80 components, where the difference in accuracy between PCA and NCA is clearly shown.
Figure 3.
The first part of the comparison of accuracy for various numbers of components across all datasets between PCA-DINO and NCA-DINO. The plots show the accuracy of PCA-DINO (blue dots) and NCA-DINO (green dots) for different numbers of components. Each plot corresponds to a different dataset: (a) Caltech101, (b) Caltech256, (c) Cifar10, (d) Cifar100, (e) Eurosat, and (f) COVID-19 Radiography. Note that the x-axis represents the number of components, while the y-axis represents the percentage accuracy. As can be seen from the plots, for most datasets the accuracy for NCA was consistently higher than that of PCA and for a significantly lower number of components. The results suggest that NCA outperforms PCA in terms of classification accuracy, especially for low numbers of components.
Figure 4.
Second part of the comparison of accuracy for various numbers of components across all datasets between PCA-DINO and NCA-DINO (the second part continues from Figure 3). The subfigures (a–e) correspond to the datasets: (a) BreakHis40×; (b) BreakHis100×; (c) BreakHis200×; (d) BreakHis400×; (e) Brain Tumor. This figure builds upon Figure 3 but focuses on different datasets. The results indicate that NCA consistently outperforms PCA, especially in cases with low numbers of components.
NCA consistently outperformed PCA when the number of features was reduced to 80 components. This trend was observed across all datasets without exception. For example, in the Cifar10 dataset NCA managed to maintain high accuracy of 95% with only 80 components while PCA showed a more significant drop in accuracy in the same conditions. Similarly, in several other datasets NCA’s performance remained robust, with reduced components, highlighting its resilience and ability to retain critical information despite a significant reduction in feature dimensions.
This advantage of NCA’s suggests that it may encourage better clustering of the data, making it better-equipped to handle scenarios involving aggressive feature reduction while preserving classification performance. Such behavior makes NCA particularly suitable for applications where computational efficiency and a reduced number of components are critical. These results strengthen the argument that NCA offers a more effective approach to feature reduction than PCA, especially when the model is constrained to use a limited number of components.
5.2.3. Impact of Categories Number on Accuracy and Features Reduction
The number of categories within a dataset significantly influences classification accuracy, particularly when utilizing feature reduction techniques such as PCA and NCA. As illustrated by the results in Table 2, datasets with a higher number of categories, such as Caltech256 (256 categories) and Cifar-100 (100 categories), exhibited a more pronounced decline in accuracy as the number of components was reduced. To illustrate, the application of PCA at 30 components resulted in an accuracy of 75.43% for Caltech256 and 66.64% for Cifar100. This indicates that general datasets with a greater number of categories encounter more challenges, as the increased complexity and overlapping class boundaries make it more difficult to preserve discriminative features through the application of dimensionality reduction techniques. In contrast, medical datasets with a reduced number of categories, such as Brain Tumor (4 categories) and COVID-19 Radiography (4 categories), demonstrated greater stability in accuracy, even with a reduction in the number of components. To illustrate, with 30 components the accuracy of the Brain Tumor dataset was 91.12%, while the accuracy of the COVID-19 Radiography dataset was 89.82%. This enhanced stability may be attributable to the relatively lower complexity of the selected medical datasets compared to the general image datasets, which typically encompassed a larger number of categories with less distinct separability.
Furthermore, NCA was shown to improve the performance of both general and medical datasets relative to PCA, which operated as an unsupervised method. As shown in Table 3, at 30 components NCA achieved 79.42% accuracy on Caltech256, exceeding PCA’s 75.43%, and 91.12% on Brain Tumor, in comparison to PCA’s 89.66%. This performance gap suggests that NCA’s capacity to incorporate class label information enables it to more effectively maintain inter-class separability, particularly in datasets containing a greater number of categories, such as those representing general images. NCA’s advantage was also evident in the medical datasets, where the preservation of subtle diagnostic distinctions between categories was of paramount importance, further demonstrating its effectiveness in handling diverse types of data. The results demonstrate that both PCA and NCA can achieve optimal performance, dependent on the dataset and the number of categories within it.
5.2.4. Feature Reduction Thresholds: Accuracy Drops Compared to Original DINO-ViT
Table 4 shows the number of components required by PCA-DINO and NCA-DINO to reach a point where the accuracy dropped by 5% compared to the original DINO-ViT model. This threshold provided a useful benchmark for understanding the sensitivity of each method to feature reduction across different datasets. As shown in the table, NCA-DINO generally required fewer components to maintain high accuracy compared to PCA-DINO, suggesting that NCA can better preserve discriminative information even with aggressive dimensionality reduction. For instance, in datasets such as Cifar10 and Eurosat, NCA required only 5 components to achieve a 5% drop in accuracy, while PCA required 20 and 10 components, respectively. This was consistent with our previous findings in Section 5.2.1, where NCA consistently showed better performance at reduced feature counts.
Table 4.
Results of the number of components in PCA-DINO and NCA-DINO across all datasets, with accuracy drops of 5% compared to the original DINO-ViT with all 384 components.
Furthermore, in other datasets, such as Brain Tumor and COVID-19 Radiography, NCA outperformed PCA, requiring fewer components (40 for Brain Tumor and 5 for COVID-19 Radiography) compared to PCA’s 50 and 20 components, respectively. This trend suggests that NCA-DINO is more adaptable to complex datasets, particularly in medical imaging tasks where preserving critical features with fewer components is essential to maintaining diagnostic accuracy. The ability of NCA to effectively reduce dimensionality while preserving significant information is essential to these contexts, as it directly impacts the reliability of diagnostic decisions. Furthermore, the reduced component requirement not only improves computational efficiency but also minimizes the risk of overfitting, which is a common challenge in medical datasets. These advantages underline the potential of NCA-DINO as a preferred method in scenarios where fast and accurate analysis is paramount.
The possibility of such a good representation using a significantly reduced number of components also allows for a better interpretation of the performance of classifiers by analyzing these dominant components. This feature may also be useful in the analysis and explainability of medical classifications.
5.2.5. Impact of Feature Reduction on File Size
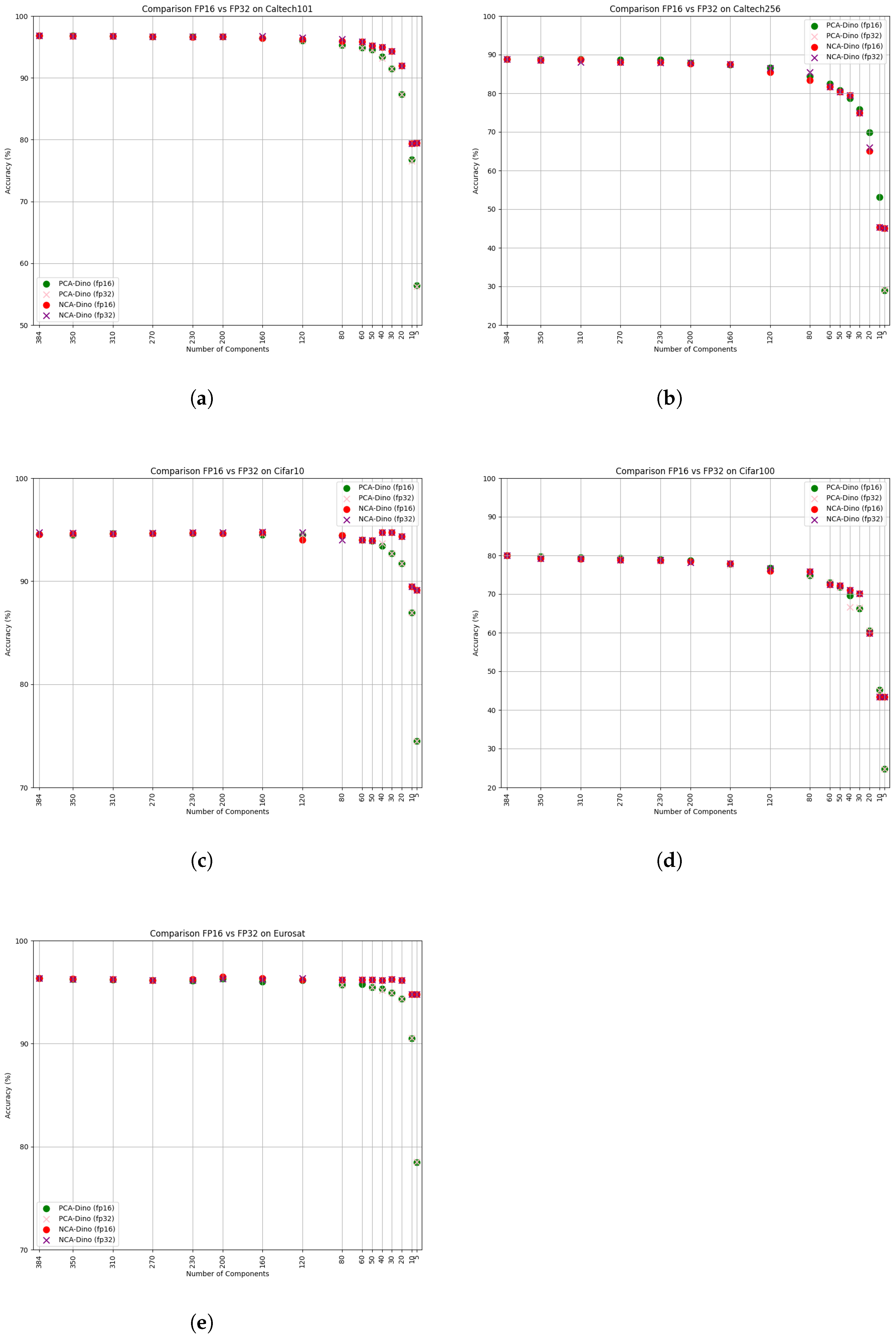
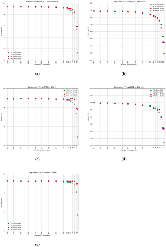
In this research, we adopted Floating Point 32 (FP32) as our default representation size. Previous research by Łażewski and Cyganek [1] has shown that using FP16 can reduce image size without significantly affecting accuracy. We aimed to test whether a similar reduction from FP32 to FP16 would maintain accuracy in our experiments. The results, shown in Figure 5, compare the performance of PCA-DINO and NCA-DINO using both FP32 and FP16.
Figure 5.
Comparison of accuracy over different numbers of components using FP16 and FP32 precision on different datasets: (a) Caltech101, (b) Caltech256, (c) CIFAR10, (d) CIFAR100, and (e) EuroSAT. The accuracy performance trends were similar for both FP16 and FP32 across all datasets, indicating consistent performance across varying numbers of components (notice that the accuracy axis starts from the level of 70%).
We used a variety of datasets for our analysis, including Caltech101, Caltech256, Cifar10, Cifar100, and Eurosat. These datasets cover a wide range of image types and classification tasks, such as object recognition and remote sensing, and they provide a comprehensive basis for evaluating dimensionality reduction techniques such as PCA and NCA.
The results show no significant difference in accuracy between FP32 and FP16. This is consistent with the conclusions of Łażewski and Cyganek [1], who found that switching to FP16 did not result in a noticeable drop in performance. Our results were consistent across all datasets, suggesting that reducing precision from FP32 to FP16 can be effectively implemented without sacrificing accuracy, even across tasks of varying complexity. Again, the analysis highlights that NCA-DINO outperformed PCA-DINO, particularly at higher levels of compression (i.e., with fewer components), demonstrating NCA’s superior ability to maintain accuracy while significantly reducing the number of components required.
In addition, the use of FP16 proves to be a practical choice for minimizing computational load and memory consumption, particularly in large or resource-constrained environments. This reduction in resource consumption is particularly beneficial in real-world applications where processing power or memory is limited, such as in mobile devices or embedded systems. As a result, the use of FP16 not only maintains accuracy but also increases the efficiency of model deployment in various real-world scenarios.
5.2.6. Comparison Results with PCA-Resfeats
To further investigate the performance and efficacy of the proposed feature reduction method, an exhaustive comparative analysis between our method and PCA-Resfeats was performed, as detailed in the research conducted by Łażewski and Cyganek [1]. This analysis was designed to highlight each method’s differences and potential advantages. The results of this comprehensive comparison are presented in Figure 6, providing an in-depth assessment of their relative performance across a wide range of numbers of components.
Figure 6.
Detailed comparison of the performance of PCA-DINO, NCA-DINO, and PCA-ResFeats over different numbers of components, using both FP16 and FP32 precision, on three different datasets: (a) Caltech101, (b) Caltech256, and (c) Eurosat (notice that the accuracy axis starts from the level of 70%).
Accuracy was selected to serve as the primary benchmark metric for this evaluation, as well as the Caltech256, Caltech101, and Eurosat datasets. Caltech-256 was preferred for its extensive diversity and complexity, encompassing a wider range of categories and greater intra-class variability, thus providing a more comprehensive and challenging environment for assessing the generalization and robustness of machine learning models.
As shown in Figure 6, we performed a comparison using the FP16 and FP32 precision formats. The results show that PCA-DINO and NCA-DINO consistently achieved higher accuracy than PCA-Resfeats across different numbers of component values. This finding confirms the effectiveness of our proposed method in preserving critical information regardless of the specific number of components used and highlights its robustness and efficiency in feature extraction. In addition, the size results for PCA-Resfeats were similar to those for PCA-DINO and NCA-DINO, with each feature representing 2 bytes for FP16, resulting in a 120 bytes representation for 60 components. This indicates comparable performance in terms of model compactness.
5.2.7. Computation Time and Memory Usage Evaluation in PCA-DINO and NCA-DINO
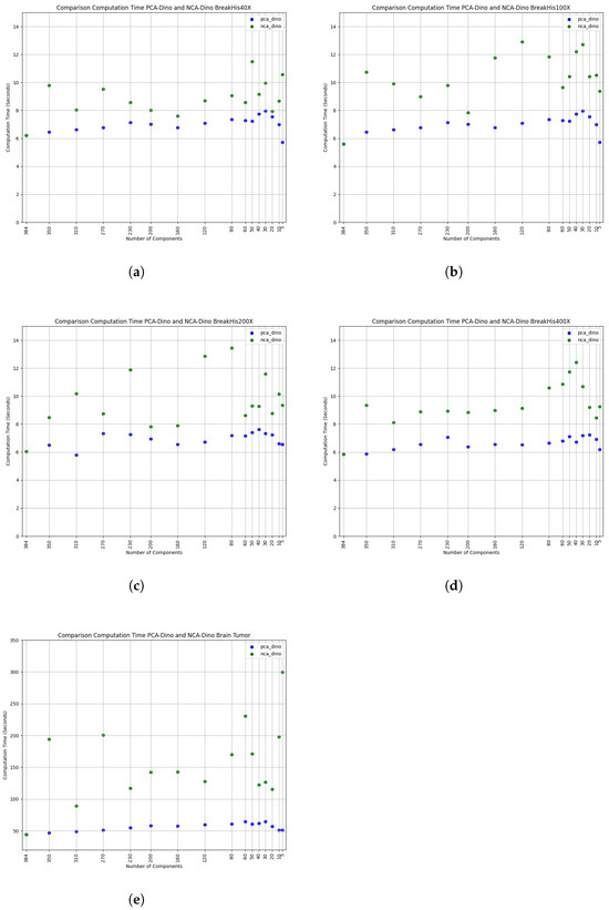
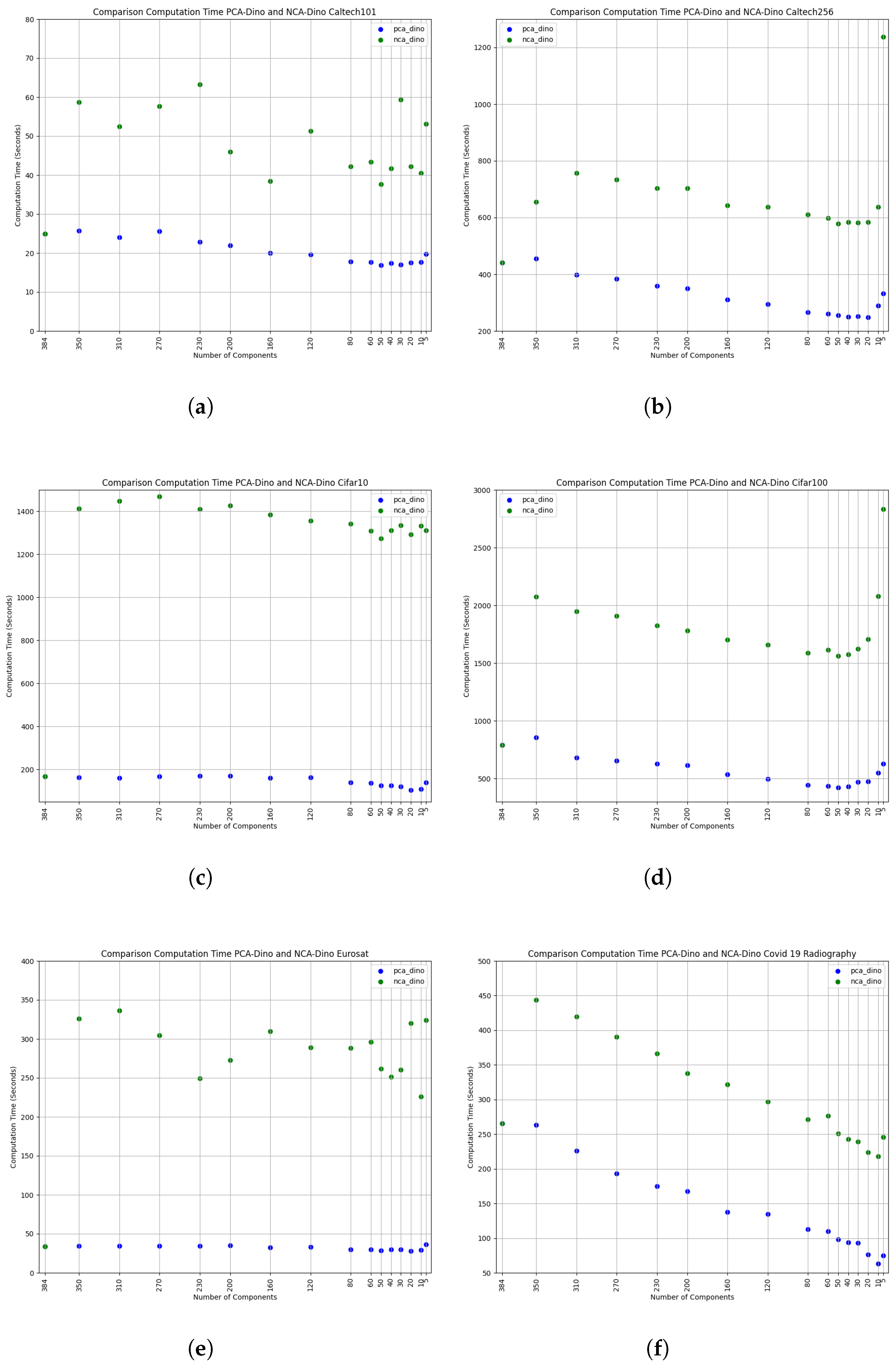
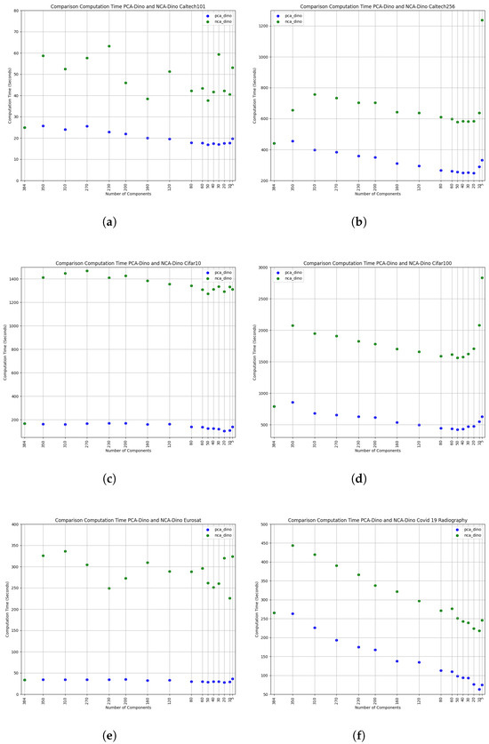
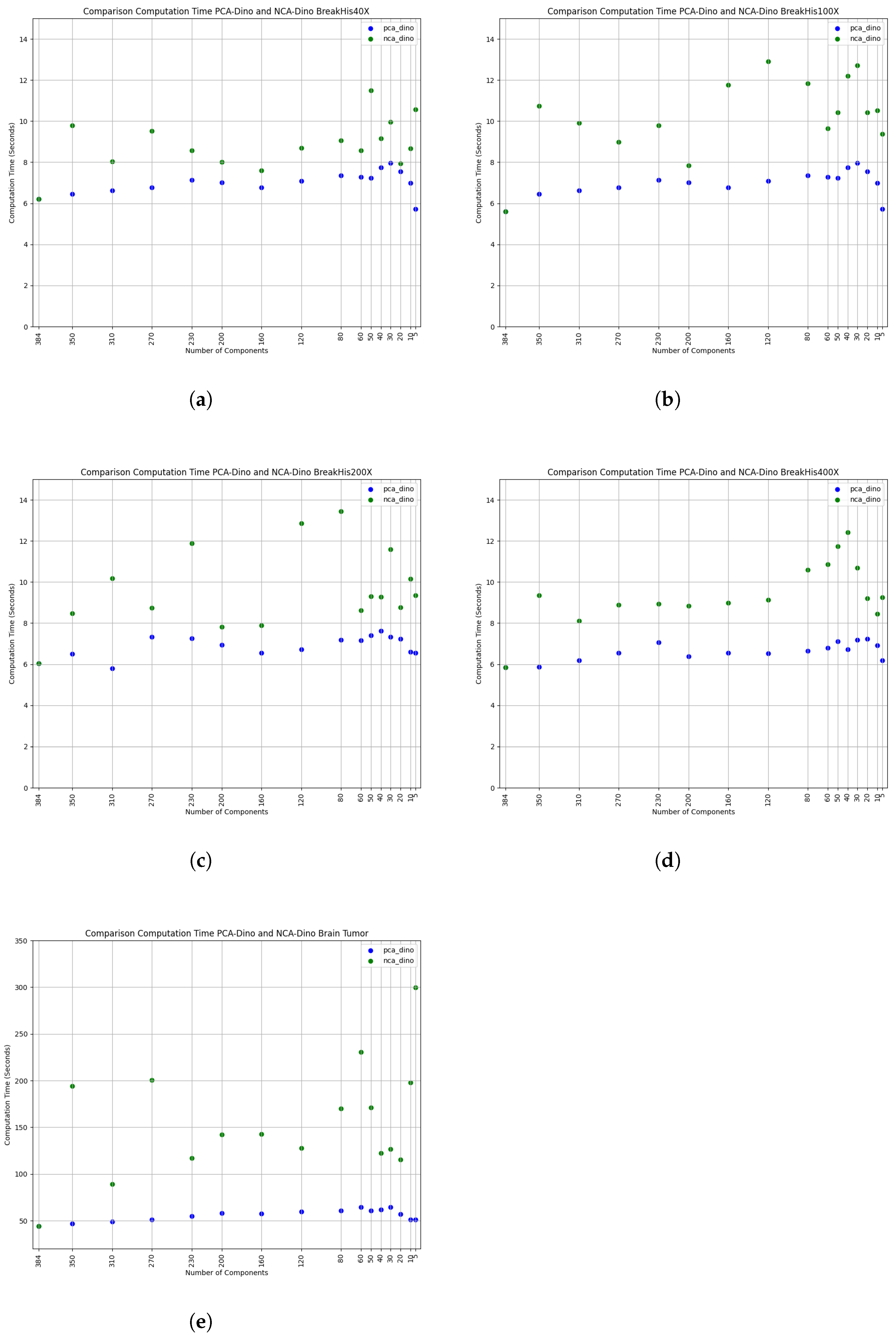
In this study, we assessed the computational performance and memory requirements of PCA-DINO and NCA-DINO. Our experiments were conducted on a system running Ubuntu Operating System, equipped with a CPU supported by two GeForce RTX 4090 GPUs (each with 24 GB of memory), 125 GB of RAM, and a 1 TB SSD for storage. The findings indicated that PCA-DINO was computationally more efficient than NCA-DINO, as seen in Figure 7 and Figure 8. The extended computation time observed for NCA-DINO may have been attributable to its iterative optimization process, which involved calculating the distances between the data points to learn a transformation that enhanced the classification performance. This process was more computationally expensive, as NCA adjusted the feature space based on these distances. In contrast, PCA employed variance-based calculations, which were inherently simpler and faster. Additionally, PCA-DINO significantly reduced the computation time relative to the original 384 features set by selecting the most informative features based on variance. This dimensionality reduction not only accelerated the processing but also mitigated the risk of overfitting.
Figure 7.
Computation time for PCA-DINO (blue dots) and NCA-DINO (green dots) across varying numbers of components for all datasets. Each subplot represents a specific dataset: (a) Caltech101, (b) Caltech256, (c) Cifar10, (d) Cifar100, (e) Eurosat, and (f) COVID-19 Radiography. The x-axis denotes the number of components, while the y-axis shows the computation time in seconds.
Figure 8.
Computation time for PCA-DINO (blue dots) and NCA-DINO (green dots) across varying numbers of components for additional datasets. This plot builds upon the analysis presented in Figure 7 and covers (a) BreakHis40×, (b) BreakHis100×, (c) BreakHis200×, (d) BreakHis400×, and (e) Brain Tumor. The x-axis represents the number of components, while the y-axis indicates the computation time in seconds.
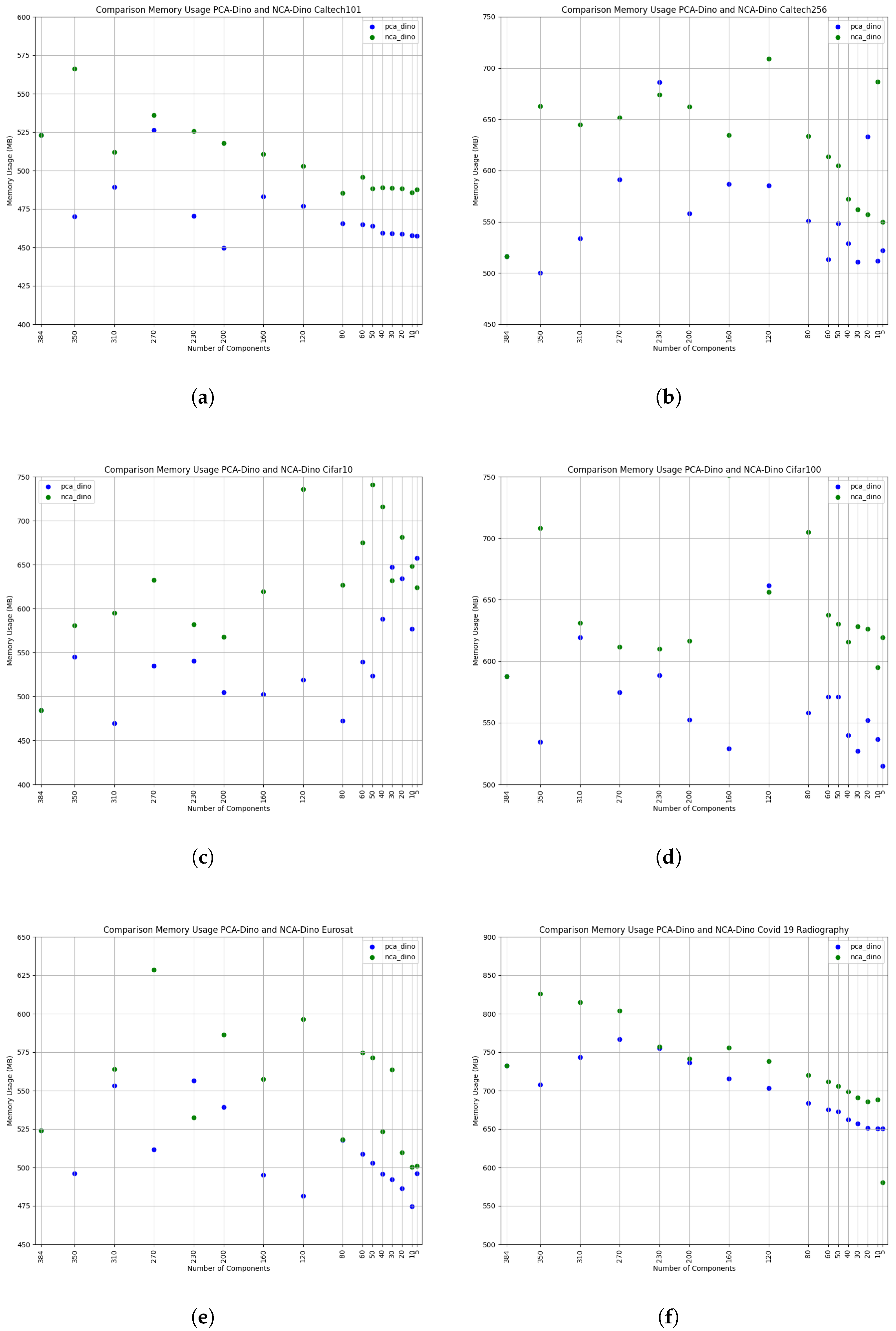
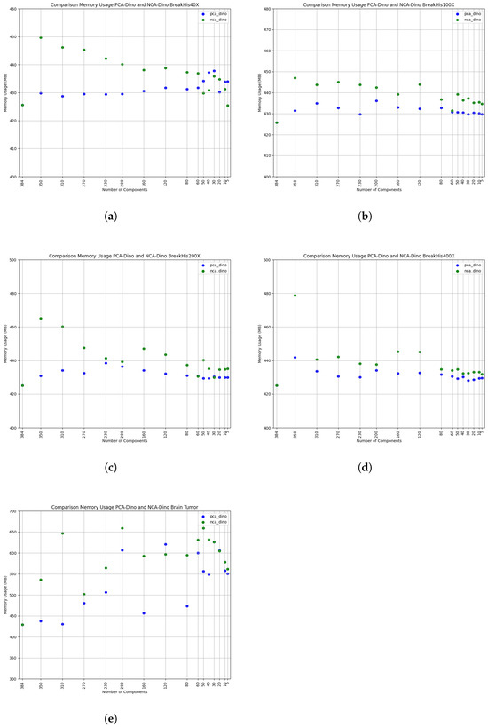
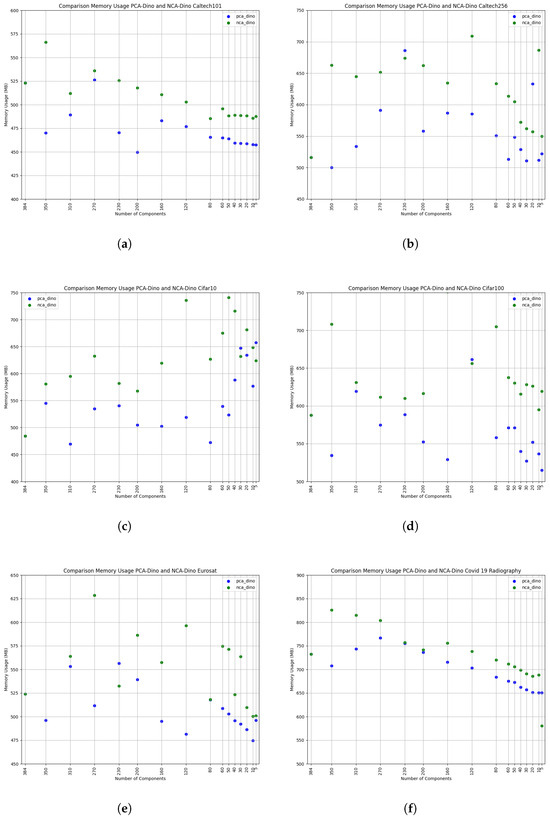
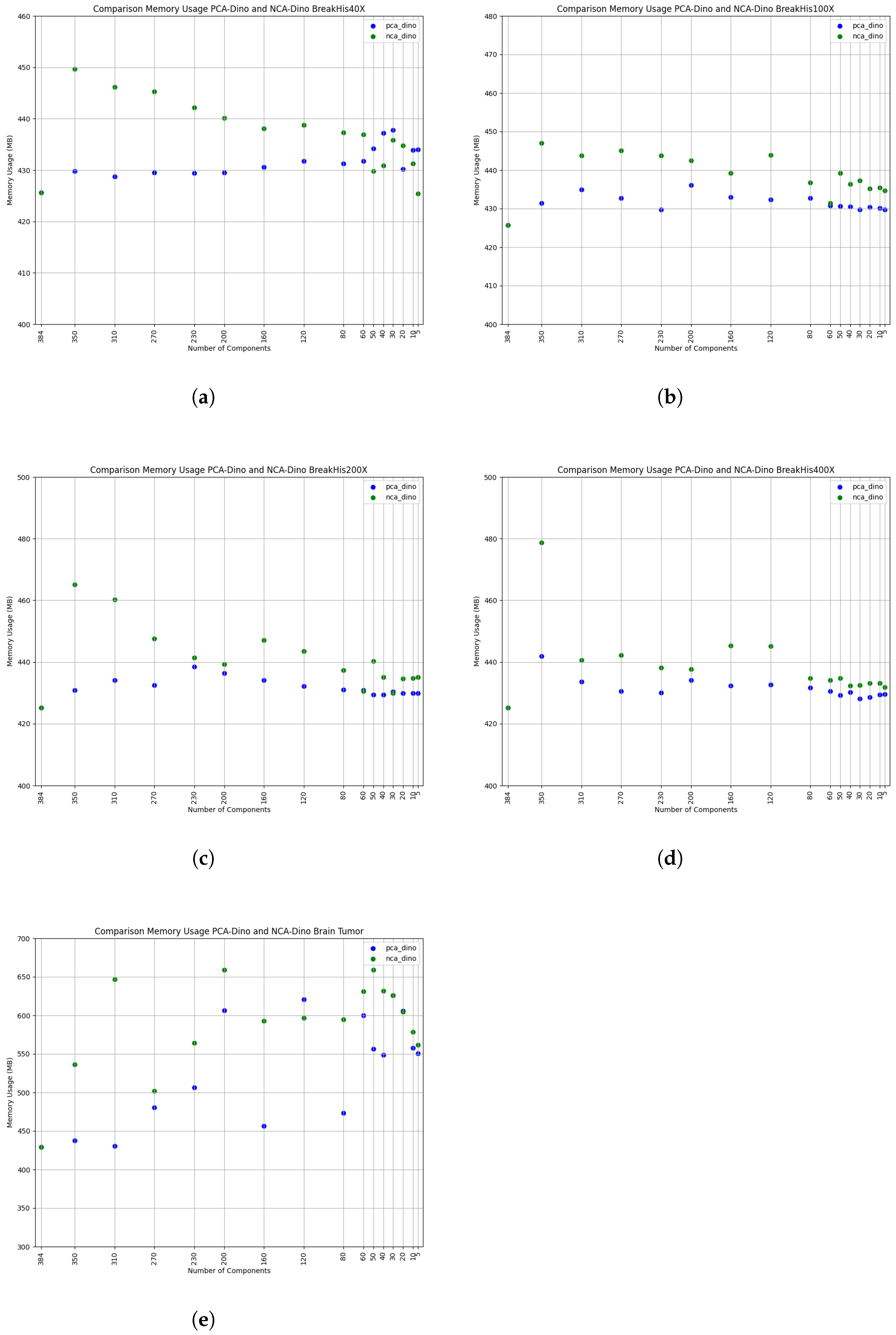
Although NCA-DINO requires more computation time, it achieves higher accuracy by optimizing the feature space for classification tasks, making it particularly advantageous for high-dimensional datasets where classification performance is paramount. In terms of memory consumption (as shown in Figure 9 and Figure 10), NCA-DINO demands more memory, due to the complexity of its iterative optimization process. This increased memory usage stems from the method’s focus on improving classification accuracy. In contrast, PCA-DINO is more efficient in terms of time and memory usage but sacrifices some accuracy. Thus, while PCA-DINO is preferable for applications prioritizing rapid results and reduced resource consumption, NCA-DINO is better-suited for tasks prioritizing performance and accuracy, despite its higher computational cost.
Figure 9.
Memory usage (in megabytes) for PCA-DINO (blue dots) and NCA-DINO (green dots) across varying numbers of components for all datasets. Each subplot corresponds to a specific dataset. The datasets are as follows: (a) Caltech101, (b) Caltech256, (c) Cifar10, (d) Cifar100, (e) Eurosat, and (f) COVID-19 Radiography. The x-axis represents the number of components, while the y-axis indicates memory usage.
Figure 10.
Memory usage (in megabytes) for PCA-DINO (blue dots) and NCA-DINO (green dots) across varying numbers of components for additional datasets. This plot extends the analysis presented in Figure 9, covering (a) BreakHis40×, (b) BreakHis100×, (c) BreakHis200×, (d) BreakHis400×, and (e) Brain Tumor. The x-axis represents the number of components, while the y-axis indicates memory usage.
5.2.8. Comparison of PCA, NCA, and UMAP for Dimensionality Reduction on DINO-ViT
In this evaluation, we conducted a comprehensive comparison between PCA, NCA, and UMAP to assess their impact on the performance of the DINO-ViT model. UMAP, a non-linear dimensionality reduction technique, was selected over t-SNE, due to its superior capacity to preserve both local and global structures in high-dimensional data [20,38]. In contrast to t-SNE, which is most effective when reducing to fewer than 50 components and, thus, unsuitable for our scenario, UMAP demonstrates effectiveness across a broader range of components, making it a more suitable choice for our analysis. On the other hand, PCA, which is a widely used linear method, reduces data dimensionality by projecting it onto orthogonal axes that capture the largest variance, while NCA, a supervised linear approach, learns projections that maximize class separation. The primary goal of this comparison was to evaluate the relative strengths of non-linear dimensionality reduction techniques, such as UMAP, against linear techniques like PCA and NCA, focusing on their effects on model accuracy and overall performance within the DINO-ViT framework.
The results of the experiments, presented in Figure 11 and Figure 12, show that both PCA and NCA consistently yielded higher accuracy compared to UMAP in the datasets with lower numbers of categories as well as at higher numbers of components in the cases of the most complex datasets (Cifar-100 and Caltech256). This finding indicates that linear dimensionality reduction techniques are, in general, more effective for the DINO-ViT model than for non-linear approaches such as UMAP. The better performance of PCA and NCA may have been attributable to the structure of the DINO-ViT model, in which linear methods are more appropriate for capturing relevant features in the high-dimensional space of the dataset. However, UMAP demonstrated superior performance under specific conditions, particularly in the most complex datasets at the highest compression levels, likely because of its non-linear manifold learning approach to preserving critical local and global structures when extreme dimensionality reduction is required.

Figure 11.
Performance of PCA, NCA, and UMAP across different numbers of components for each dataset. Each subplot corresponds to a specific dataset: (a) Caltech101, (b) Caltech256, (c) Cifar10, (d) Cifar100, (e) Eurosat, and (f) COVID-19 Radiography. The x-axis represents the number of components used, while the y-axis indicates the accuracy achieved by each dimensionality reduction technique.

Figure 12.
Performance of PCA, NCA, and UMAP across varying numbers of components for additional datasets. This section expands on the analysis shown in Figure 12 and includes the following datasets: (a) BreakHis40×, (b) BreakHis100×, (c) BreakHis200×, (d) BreakHis400×, and (e) Brain Tumor. In this plot, the x-axis denotes the number of components used, while the y-axis indicates the accuracy achieved for each dimensionality reduction technique.
5.3. Ablation Study of PCA-DINO and NCA-DINO
This section presents an empirical analysis of PCA-DINO and NCA-DINO, utilizing ViT-S as the base model throughout the study. The analysis examined the influence of critical factors, including patch size, the number of attention heads, and the presence of noise, to assess the robustness of the architecture. The Caltech256 and BreakHis400× datasets were selected, providing a diverse basis for understanding how these modifications affect the performance of both PCA-Dino and NCA-Dino across different configurations.
5.3.1. Impact of Patch Size in PCA-DINO and NCA-DINO
This evaluation investigated the effect of varying patch sizes, specifically 8 and 16, on the performance of the DINO-ViT model. Patch size 16 corresponded to the configuration originally employed in the model (PCA-DINO and NCA-DINO) and served as the baseline for comparison. The study aimed to determine whether modifications to patch size significantly influenced the model’s accuracy in processing high-dimensional data. As illustrated in Figure 13, the results reveal that alterations in patch size had a slight impact on the model’s classification accuracy, regardless of whether the features were utilized in their original form or processed using dimensionality reduction techniques such as PCA or NCA.
Figure 13.
Comparison of patch size (8 and 16) impact on accuracy in PCA-DINO and NCA-DINO: (a) Caltech256; (b) BreakHis400× datasets.
This observation indicated that the process of dividing an image into smaller patches, such as splitting it into eight parts (patch size 8) or sixteen parts (patch size 16), primarily affected the specificity of the image representation but played a minor role in the underlying performance of the DINO-ViT model. It is noteworthy that on Caltech256, the use of patch size 8 demonstrated a slight performance improvement compared to patch size 16. However, on BreakHis400× there was a negligible difference in accuracy between patch size 8 and patch size 16. Therefore, the selection of patch size is primarily a matter of user preference or specific application requirements, rather than a critical determinant of the model’s effectiveness. This flexibility allows researchers to choose a patch size based on computational constraints or the nature of the dataset without compromising classification outcomes. Furthermore, both patch size 8 and patch size 16 produced comparable results, ensuring that the DINO-ViT model remained robust across different configurations.
5.3.2. Impact of Attention Heads Number in PCA-DINO and NCA-DINO
In this evaluation, we conducted a comparative analysis of various attention head configurations to evaluate their influence on model performance. The baseline configuration employed six attention heads, while additional configurations with 8, 12, and 16 attention heads were also tested. As depicted in Figure 14, the use of six attention heads yielded the highest accuracy on the Caltech256 dataset, outperforming the other configurations. Increasing the number of attention heads led to a decline in accuracy. This may have been attributable to overfitting by the additional attention heads, which may have failed to contribute significantly to the model’s performance and potentially reduced its generalization ability.
Figure 14.
Comparison of PCA-DINO and NCA-DINO accuracy on Caltech256 and BreakHis400× datasets with varying attention heads (6, 8, 12, 16). Subplots (a) Caltech256 and (b) BreakHis400× show PCA-DINO performance, while (c) Caltech256 and (d) BreakHis400× depict NCA-DINO performance. Accuracy trends were evaluated over different numbers of PCA components.
In contrast, the BreakHis400× dataset showed a different pattern, where the performance remained nearly identical across different attention head configurations. This suggests that the optimal number of attention heads may vary depending on the dataset. While the Caltech256 dataset indicated that six attention heads were optimal for stability and accuracy, the BreakHis400× dataset demonstrated minimal variation with different configurations. These findings, in alignment with prior research, indicate that a configuration with six attention heads generally provides the most stable and reliable performance across a range of datasets. This makes it a preferable choice over configurations with 8, 12, or 16 attention heads. This underscores the importance of dataset-specific tuning when selecting the number of attention heads for optimal model performance.
5.3.3. The Impact of Noise on PCA-DINO and NCA-DINO Performance
While there are various techniques for generating adversarial examples, such as by assigning different weights to each color channel [39], in this evaluation we decided to asses the impact of Gaussian noise on the accuracy of both PCA-DINO and NCA-DINO by applying noise at levels of 0.01, 0.1, and 1. The results, as shown in Figure 15, demonstrate that noise levels of 0.01 and 0.1 had no significant effect on accuracy. This indicates that minimal amounts of noise had a limited impact on the model’s performance. Both PCA-DINO and NCA-DINO were able to maintain high accuracy under these conditions, suggesting that slight input variations, such as those introduced by minor noise, did not significantly disrupt the models.
Figure 15.
Impact of Gaussian noise on PCA-DINO and NCA-DINO performance across varying levels of noise (standard deviations of 0.01, 0.1, and 1): (a) PCA-DINO on Caltech256, (b) PCA-DINO on BreakHis400×, (c) NCA-DINO on Caltech256, and (d) NCA-DINO on BreakHis400×. Each plot shows the effect of noise on model accuracy over different numbers of PCA components.
However, when the noise level was increased to 1, a significant decline in accuracy was observed across all the datasets. This suggests that higher levels of noise had a more pronounced negative impact on the model performance, potentially disrupting the feature extraction process through interference. In this context, the findings indicate that the addition of small amounts of noise, such as those at levels 0.01 and 0.1, has a minor impact on the accuracy of the models. This suggests that slight changes to image compression or pre-processing are unlikely to have a significant effect. Conversely, higher levels of noise can result in a notable decline in accuracy, emphasizing the importance of controlling noise levels during data preparation, to maintain optimal model performance.
6. Conclusions
This research demonstrates that the application of feature reduction techniques to DINO-ViT effectively reduces feature size while maintaining a satisfactory level of accuracy. The use of the specified number of components with PCA-DINO and NCA-DINO resulted in a slight decrease in accuracy, which was only observed in a few datasets and was considered insignificant. In particular, when the number of components was reduced below the threshold (see Table 4), NCA-DINO showed a slight decrease in accuracy compared to PCA-DINO. This advantage may have been attributable to NCA’s ability to optimize feature selection using distance-based metrics, thereby preserving more information during the reduction process.
In addition, the adoption of the FP16 format resulted in a significant reduction in feature size compared to FP32, with minimal impact on accuracy. This dual benefit of size reduction and maintained accuracy underscores the effectiveness of FP16 in optimizing both memory and computational efficiency. Both PCA-DINO and NCA-DINO, when combined with FP16, achieved a substantial decrease in data volume while ensuring that accuracy remained largely unaffected. This demonstrates a highly efficient approach to managing large datasets. Our experiments with different configurations of SVM with PCA and NCA produced consistent results with only minor variations in accuracy. The full results are available on our GitHub repository.
Moreover, the variety of datasets used in this research, including those relevant to medical applications, highlights the potential for efficient analysis. The ability to efficiently analyze medical datasets can lead to faster diagnosis and treatment, ultimately improving patient outcomes. Additionally, the use of these techniques could facilitate the sharing and collaboration of medical data among researchers and healthcare professionals, leading to a more comprehensive understanding of diseases and the development of more effective treatments. No less important is the ability to explain phenomena based on the analysis of the dominating components of the PCA and NCA methods.
A comprehensive comparison of PCA and NCA with UMAP on the Dino-ViT model demonstrated that PCA and NCA are more effective feature reduction techniques for this architectural configuration, as evidenced by their superior performance compared to UMAP. Modifications to the patch size and the number of attention heads had a minimal impact on the accuracy of the model. When noise levels were slightly increased, the accuracy of PCA-DINO and NCA-DINO remained comparable to that of their baseline, noise-free counterparts. However, substantial noise resulted in a notable decline in accuracy, due to significant data distortion. These findings confirm that PCA-DINO and NCA-DINO demonstrate robust accuracy and resilience across diverse conditions. For optimal performance and accuracy, NCA-DINO is the preferred choice, despite the higher computational cost. Conversely, PCA-DINO is an excellent option for faster classification and reduced computation, making the selection dependent on the available resources and specific requirements of the application.
Future research could focus on further reducing dataset sizes by implementing compression techniques that neither compromise the number of components nor accuracy. Additionally, investigating the use of t-SNE for feature reduction in scenarios where fewer than 50 components are sufficient could provide insights into its effectiveness for dimensionality reduction while preserving data structure. The exploration of alternative feature reduction methods, such as N-Multidimensional tensor decompositions [24,40], may also lead to improvements in both efficiency and performance, thereby broadening the applicability of these techniques across different domains. Furthermore, the proposed methods could be explored with other types of signals, such as far infrared [41], as well as with other applications, in such domains as surveillance, security, environmental monitoring, and data retrieval, to name a few.
Author Contributions
Conceptualization, B.C.; Methodology, B.C. and D.R.C.; Software, D.R.C. and P.N.; Validation, P.N. and B.C.; Formal analysis, P.N. and B.C.; Investigation, D.R.C.; Data curation, D.R.C.; Writing—original draft, D.R.C.; Writing—review & editing, P.N. and B.C.; Supervision, B.C. All authors have read and agreed to the published version of the manuscript.
Funding
Research project no. 10741 supported by program “Excellence initiative-research university” for the AGH University of Krakow.
Informed Consent Statement
Not applicable.
Data Availability Statement
Code used in the presented experiments is available on our GitHub repository: https://github.com/didih02/pca-dino (accessed on 26 October 2024).
Conflicts of Interest
The authors declare no conflicts of interest.
References
- Łażewski, S.; Cyganek, B. Highly compressed image representation for classification and content retrieval. Integr.-Comput.-Aided Eng. 2024, 31, 267–284. [Google Scholar] [CrossRef]
- Dosovitskiy, A.; Beyer, L.; Kolesnikov, A.; Weissenborn, D.; Zhai, X.; Unterthiner, T.; Dehghani, M.; Minderer, M.; Heigold, G.; Gelly, S.; et al. An image is worth 16×16 words: Transformers for image recognition at scale. arXiv 2020, arXiv:2010.11929. [Google Scholar] [CrossRef]
- Caron, M.; Touvron, H.; Misra, I.; Jégou, H.; Mairal, J.; Bojanowski, P.; Joulin, A. Emerging properties in self-supervised vision transformers. In Proceedings of the IEEE/CVF International Conference on Computer Vision, Virtual Conference, 10–17 October 2021; pp. 9650–9660. [Google Scholar]
- Zebari, R.; Abdulazeez, A.; Zeebaree, D.; Zebari, D.; Saeed, J. A comprehensive review of dimensionality reduction techniques for feature selection and feature extraction. J. Appl. Sci. Technol. Trends 2020, 1, 56–70. [Google Scholar] [CrossRef]
- Ramasubramanian, S.; Sowmyarani, C.; Athreya, A.J.; Devarajan, A.; Shankar, A.U.; Kumar, R. Data Dimensionality Reduction Using Principal Component Analysis: A Case Study. In Proceedings of the 2024 1st International Conference on Communications and Computer Science (InCCCS), Bangalore, India, 22–24 May 2024; IEEE: Washington, DC, USA, 2024; pp. 1–6. [Google Scholar] [CrossRef]
- Goldberger, J.; Hinton, G.E.; Roweis, S.; Salakhutdinov, R.R. Neighbourhood components analysis. Adv. Neural Inf. Process. Syst. 2004, 17, 513–520. [Google Scholar]
- Mwangi, B.; Tian, T.S.; Soares, J.C. A review of feature reduction techniques in neuroimaging. Neuroinformatics 2014, 12, 229–244. [Google Scholar] [CrossRef] [PubMed]
- Velliangiri, S.; Alagumuthukrishnan, S. A review of dimensionality reduction techniques for efficient computation. Procedia Comput. Sci. 2019, 165, 104–111. [Google Scholar] [CrossRef]
- Parhizkar, T.; Rafieipour, E.; Parhizkar, A. Evaluation and improvement of energy consumption prediction models using principal component analysis based feature reduction. J. Clean. Prod. 2021, 279, 123866. [Google Scholar] [CrossRef]
- Reddy, G.T.; Reddy, M.P.K.; Lakshmanna, K.; Kaluri, R.; Rajput, D.S.; Srivastava, G.; Baker, T. Analysis of dimensionality reduction techniques on big data. IEEE Access 2020, 8, 54776–54788. [Google Scholar] [CrossRef]
- McInnes, L.; Healy, J.; Melville, J. UMAP: Uniform Manifold Approximation and Projection for Dimension Reduction, 2020. arXiv 2018, arXiv:1802.03426. [Google Scholar] [CrossRef]
- Cherifi, M.; Mesloub, A.; El Korso, M.N.; Touhami, T.; Gharbi, A.H. Dimensionality Reduction for Hyperspectral Image Classification. In Proceedings of the 2024 8th International Conference on Image and Signal Processing and their Applications (ISPA), IEEE, Biskra, Algeria, 21–22 April 2024; pp. 1–8. [Google Scholar] [CrossRef]
- Sharma, R.; Singh, A. An integrated approach towards efficient image classification using deep CNN with transfer learning and PCA. Adv. Technol. Innov. 2022, 7, 105. [Google Scholar] [CrossRef]
- Agrawal, A.K.; Chakraborty, G. Neighborhood component analysis to leverage the class label information during feature selection to enhance the damage classification performance. Structures 2023, 57, 105174. [Google Scholar] [CrossRef]
- Amir, S.; Gandelsman, Y.; Bagon, S.; Dekel, T. Deep vit features as dense visual descriptors. arXiv 2021, arXiv:2112.05814. [Google Scholar] [CrossRef]
- Mo, S.; Sun, Z.; Li, C. Multi-level contrastive learning for self-supervised vision transformers. In Proceedings of the IEEE/CVF Winter Conference on Applications of Computer Vision, Waikoloa, HI, USA, 3–8 January 2023; pp. 2778–2787. [Google Scholar] [CrossRef]
- Kamra, C.G.; Mastan, I.D.; Kumar, N.; Gupta, D. SimSAM: Simple Siamese Representations Based Semantic Affinity Matrix for Unsupervised Image Segmentation. arXiv 2024, arXiv:2406.07986. [Google Scholar] [CrossRef]
- Doorsamy, W.; Rameshar, V. Investigation of PCA as a compression pre-processing tool for X-ray image classification. Neural Comput. Appl. 2023, 35, 1099–1109. [Google Scholar] [CrossRef]
- Ye, H.J.; Yin, H.H.; Zhan, D.C. Modern Neighborhood Components Analysis: A Deep Tabular Baseline Two Decades Later. arXiv 2024, arXiv:2407.03257. [Google Scholar] [CrossRef]
- van der Maaten, L.; Hinton, G. Visualizing Data using t-SNE. J. Mach. Learn. Res. 2008, 9, 2579–2605. [Google Scholar]
- Oquab, M.; Darcet, T.; Moutakanni, T.; Vo, H.; Szafraniec, M.; Khalidov, V.; Fernandez, P.; Haziza, D.; Massa, F.; El-Nouby, A.; et al. DINOv2: Learning Robust Visual Features without Supervision. arXiv 2024, arXiv:2304.07193. [Google Scholar] [CrossRef]
- Suri, S.; Walmer, M.; Gupta, K.; Shrivastava, A. LiFT: A Surprisingly Simple Lightweight Feature Transform for Dense ViT Descriptors. In Proceedings of the European Conference on Computer Vision, Milan, Italy, 29 September–4 October 2024; Springer: Berlin/Heidelberg, Germany, 2024; pp. 110–128. [Google Scholar] [CrossRef]
- Ibrahem, H.; Salem, A.; Kang, H.S. Rt-vit: Real-time monocular depth estimation using lightweight vision transformers. Sensors 2022, 22, 3849. [Google Scholar] [CrossRef]
- Cyganek, B. Object Detection and Recognition in Digital Images: Theory and Practice; John Wiley & Sons: Hoboken, NJ, USA, 2013. [Google Scholar]
- Gupta, P.; Rasheed, A.; Steen, S. Correlation-based outlier detection for ships’ in-service datasets. J. Big Data 2024, 11, 85. [Google Scholar] [CrossRef]
- Sinaice, B.B.; Owada, N.; Saadat, M.; Toriya, H.; Inagaki, F.; Bagai, Z.; Kawamura, Y. Coupling NCA dimensionality reduction with machine learning in multispectral rock classification problems. Minerals 2021, 11, 846. [Google Scholar] [CrossRef]
- Ehrlinger, L.; Wöß, W. A survey of data quality measurement and monitoring tools. Front. Big Data 2022, 5, 850611. [Google Scholar] [CrossRef] [PubMed]
- Thara, D.; PremaSudha, B.; Xiong, F. Auto-detection of epileptic seizure events using deep neural network with different feature scaling techniques. Pattern Recognit. Lett. 2019, 128, 544–550. [Google Scholar] [CrossRef]
- Fei-Fei, L.; Fergus, R.; Perona, P. Learning generative visual models from few training examples: An incremental Bayesian approach tested on 101 object categories. In Proceedings of the Computer Vision and Pattern Recognition Workshop, Washington, DC, USA, 27 June–2 July 2004; p. 178. [Google Scholar] [CrossRef]
- Griffin, G.; Holub, A.; Perona, P. Caltech-256 Object Category Dataset; Technical Report; California Institute of Technology: Los Angeles, CA, USA, 2007. [Google Scholar]
- Krizhevsky, A.; Hinton, G. Learning Multiple Layers of Features from Tiny Images; Technical Report; University of Toronto: Toronto, ON, Canada, 2009. [Google Scholar]
- Helber, P.; Bischke, B.; Dengel, A.; Borth, D. EuroSAT: A novel dataset and deep learning benchmark for land use and land cover classification. IEEE J. Sel. Top. Appl. Earth Obs. Remote Sens. 2019, 12, 2216–2226. [Google Scholar] [CrossRef]
- Ambarish. BreakHis Dataset. 2019. Available online: https://www.kaggle.com/datasets/ambarish/breakhis?select=BreaKHis_v1 (accessed on 4 September 2024).
- Chowdhury, M.; Rahman, T.; Khandakar, A.; Mazhar, R.; Kadir, M.; Mahbub, Z.; Islam, K.; Khan, M.; Iqbal, A.; Al-Emadi, N.; et al. Can AI help in screening Viral and COVID-19 pneumonia? IEEE Access 2020, 8, 132665–132676. [Google Scholar] [CrossRef]
- Rahman, T.; Khandakar, A.; Qiblawey, Y.; Tahir, A.; Kiranyaz, S.; Kashem, S.; Islam, M.; Maadeed, S.; Zughaier, S.; Khan, M.; et al. Exploring the Effect of Image Enhancement Techniques on COVID-19 Detection using Chest X-ray Images. arXiv 2020, arXiv:2012.02238. [Google Scholar] [CrossRef] [PubMed]
- Saisanthosh, R.K. Brain Tumour Classification. 2024. Available online: https://www.kaggle.com/datasets/rishiksaisanthosh/brain-tumour-classification (accessed on 4 September 2024).
- Pinto, N.; Cox, D.D.; DiCarlo, J.J. Why is real-world visual object recognition hard? PLoS Comput. Biol. 2008, 4, e27. [Google Scholar] [CrossRef]
- Becht, E.; McInnes, L.; Healy, J.; Dutertre, C.A.; Kwok, I.W.; Ng, L.G.; Ginhoux, F.; Newell, E.W. Dimensionality reduction for visualizing single-cell data using UMAP. Nat. Biotechnol. 2019, 37, 38–44. [Google Scholar] [CrossRef]
- Kwon, H. Adversarial image perturbations with distortions weighted by color on deep neural networks. Multimed. Tools Appl. 2022, 82, 13779–13795. [Google Scholar] [CrossRef]
- Cyganek, B.; Wozniak, M. Tensor-Based Shot Boundary Detection in Video Streams. New Gener. Comput. 2017, 35, 311–340. [Google Scholar] [CrossRef]
- Knapik, M.; Cyganek, B.; Balon, T. Multimodal Driver Condition Monitoring System Operating in the Far-Infrared Spectrum. Electronics 2024, 13, 3502. [Google Scholar] [CrossRef]
Disclaimer/Publisher’s Note: The statements, opinions and data contained in all publications are solely those of the individual author(s) and contributor(s) and not of MDPI and/or the editor(s). MDPI and/or the editor(s) disclaim responsibility for any injury to people or property resulting from any ideas, methods, instructions or products referred to in the content. |
© 2024 by the authors. Licensee MDPI, Basel, Switzerland. This article is an open access article distributed under the terms and conditions of the Creative Commons Attribution (CC BY) license (https://creativecommons.org/licenses/by/4.0/).