Underwater Horizontal Attitude Determination Technology Based on Fusion Power Circle Theory and Improved 3D Cone Hough Transform
Abstract
1. Introduction
- (1)
- Technology ① can reduce the impact of ineffective pixels on the results. CiHT often needs to traverse all the pixels in an image to extract circles, but the presence of noise points in the image increases the computational load. Here, we first extract the possible Snell’s window pixels through the power circle theory, and then use 3D-CoHT to extract the center of Snell’s window for horizontal attitude calculation. By integrating the power circle theory into 3D-CoHT, the number of traversed pixels is reduced, increasing the proportion of effective Snell’s window pixels.
- (2)
- Technology ② can improve the extraction of distorted circles in a tilted state. The angle of view and nonlinear distortion of the fisheye lens can cause the Snell’s window to deviate from a perfect circle when tilted. By considering the lens model, 3D-CoHT can enhance performance when extracting these distorted circles.
- (3)
- Technology ③ can reduce the deviation when extracting the circle center. In the final voting stage of the 3D-CoHT transformation, to avoid errors in circle center extraction caused by a large number of voting points with the same count, a regional Euclidean distance criterion is introduced. Voting points with the same count are classified into regions based on the Euclidean distance, and the region with the highest total count is identified. The average pixel point within this region is then taken as the circle center, thereby improving the robustness of the algorithm.
2. Horizontal Attitude Angle Extraction Based on Snell’s Window
2.1. Power Theorem of Circles
| Algorithm 1: Power Theorem of Circles |
| Input: |
| I: original image |
| E: edge pixels set |
| N: Number of rays |
| δ1: Threshold |
| Output: |
| P: Target circle pixels |
| 1. Extract the binary edge map of image I |
| 2. Set observation points in the image |
| 3. for θ from 0 to π (with N) |
| 4. Extract the intersection point of the ray with E and in set U |
| 5. if number of U ≥ 2 |
| 6. Calculate the Euclidean distance between the intersection point and the observation point respectively |
| 7. Multiply the Euclidean distances in pairs and put them in set V |
| 8. end if |
| 9. end for |
| 10. Classify similar values in V and put them in set Ci (with δ1) |
| 11. Draw the power histogram of Ci |
| 12. Sort the set Ci (with the number of points) |
| 13. Extract the maximum set Ci and put them in set P |
2.2. Improved 3D Conical Hough Transformation
- (1)
- n-frame: The navigation coordinate system, an orthogonal coordinate system, has its origin at the center of Snell’s window, with its axes aligned with the North-East-Up (NEU) terrestrial axes.
- (2)
- b-frame: The body coordinate system, an orthogonal coordinate system, has its origin at the geometric center of the body. The x and y axes correspond to the roll and pitch axes, respectively. The z-axis is perpendicular to the plane formed by the x and y axes, pointing towards the water surface.
- (3)
- c-frame: The camera coordinate system, an orthogonal frame, has its origin at the center of the camera, with the z-axis aligned with the optical axis.
- (4)
- h-frame: The horizontal coordinate system is an intermediate frame between the b-frame and the n-frame. The direction of is consistent with the direction of . The angle between and is the heading angle of the AUV.
- (5)
- p-frame: The pixel coordinate system is a planar coordinate system with its origin at the top-left corner of the image sensor. u and v represent the row and column directions of the image sensor, respectively.
- (6)
- l-frame: The light coordinate system is established along the ray incident to the camera. Each light beam has an l-frame. The axis points in the opposite direction of the ray.
2.3. Horizontal Attitude Determination Using the Center Pixel of Snell’s Window
| Algorithm 2: 3D Conical Hough Transform for Improved Voting Method |
| Input: |
| P: Pixel collection |
| α0: Ideal Snell’s window half cone angle |
| Δα: Margin |
| na: Refraction index of air |
| nw: Refraction index of water |
| τ: Step angle |
| δ2: Threshold |
| Output: |
| Roll |
| Pitch |
| 1. Load pixel set P |
| 2. for i = 1: number of P |
| 3. Calculate |
| 4. Construct coordinate transform matrix |
| 5. Reverse from |
| 6. Construct coordinate transform matrix |
| 7. for αj = α0 − Δα: α0 + Δα |
| 8. for k = 1:τ:360 |
| 9. Calculate |
| 10. Reverse from |
| 11. Reverse from |
| 12. Calculate Pi(mi,ni) and in set Q |
| 13. end for |
| 14. end for |
| 15. end for |
| 16. Use the same Pi for cumulative voting and put in set Votei |
| 17. Find the maximum Votei in set MaxVote |
| 18. if number of MaxVote > 1 |
| 19. for i = 1: number of MaxVote |
| 20. for j = i + 1: number of MaxVote |
| 21. Calculate Pi and Pj of set MaxVote Euclidean distance DMaxV between two |
| 22. if DMaxV < δ2 |
| 23. Classify Pj in set Clusterk |
| 24. end |
| 25. Clusterk+1 |
| 26. end |
| 27. find max number of Clusterk (obtain Clusterkman) |
| 28. Calculate the average of Clusterkman as |
| 29. else = Pi of MaxVote |
| 30. end if |
| 31. Calculate Zb |
| 32. Calculate Roll and Pitch |
3. Comparison of Algorithms
3.1. Circular Hough Transformaton
3.2. D Conical Hough Transformation
4. Underwater Experiments
4.1. System Description
4.2. Experimental Results and Discussion
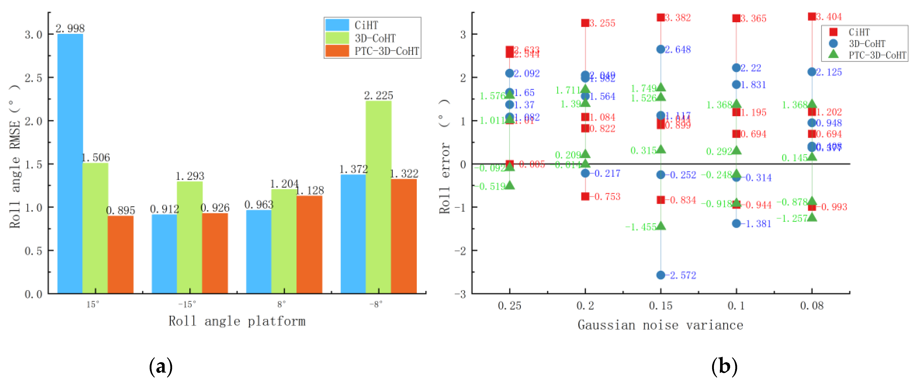
4.2.1. Interference-Free Experiment
4.2.2. Anti-Interference Experiment
5. Conclusions
Author Contributions
Funding
Data Availability Statement
Conflicts of Interest
References
- Mu, X.; He, B.; Wu, S.; Zhang, X.; Song, Y.; Yan, T. A practical INS/GPS/DVL/PS integrated navigation algorithm and its application on Autonomous Underwater Vehicle. Appl. Ocean Res. 2021, 106, 102441. [Google Scholar] [CrossRef]
- Zhang, Q. Integrated Navigation. In Encyclopedia of Ocean Engineering; Cui, W., Fu, S., Hu, Z., Eds.; Springer: Berlin/Heidelberg, Germany, 2022. [Google Scholar]
- Kepper, J.H.; Claus, B.C.; Kinsey, J.C. A navigation solution using a MEMS IMU, model-based dead-reckoning, and one-way-travel-time acoustic range measurements for autonomous underwater vehicles. IEEE J. Ocean. Eng. 2018, 44, 664–682. [Google Scholar] [CrossRef]
- Zhao, X.; Zheng, W.; Xu, K.; Zhang, H. Optimizing the Matching Area for Underwater Gravity Matching Navigation Based on a New Gravity Field Feature Parameters Selection Method. Remote Sens. 2024, 16, 2202. [Google Scholar] [CrossRef]
- Chen, P.; Li, Y.; Su, Y.; Chen, X.; Jiang, Y. Review of AUV underwater terrain matching navigation. J. Navig. 2015, 68, 1155–1172. [Google Scholar] [CrossRef]
- Zhao, T.; Wang, C.; Shen, C. Seamless MEMS-INS/Geomagnetic Navigation System Based on Deep-Learning Strong Tracking Square-Root Cubature Kalman Filter. Micromachines 2023, 14, 1935. [Google Scholar] [CrossRef]
- Xu, J.; He, H.; Qin, F.; Chang, L. A novel autonomous initial alignment method for strapdown inertial navigation system. IEEE Trans. Instrum. Meas. 2017, 66, 2274–2282. [Google Scholar] [CrossRef]
- Wang, X.; Shen, G. A fast and accurate initial alignment method for strapdown inertial navigation system on stationary base. J. Control Theory Appl. 2005, 3, 145–149. [Google Scholar] [CrossRef]
- Wu, M.; Wu, Y.; Hu, X.; Hu, D. Optimization-based alignment for inertial navigation systems: Theory and algorithm. Aerosp. Sci. Technol. 2011, 15, 1–17. [Google Scholar] [CrossRef]
- Sheng, W.; Wang, Q.; Zhu, S. Real-time automatic level bar calibration based on Canny edge detection and weighted least squares method. J. Mech. Electr. Eng. 2016, 33, 1182–1187. [Google Scholar]
- Li, S.; Kong, F.; Xu, H.; Guo, X.; Li, H.; Ruan, Y.; Cao, S.; Guo, Y. Biomimetic Polarized Light Navigation Sensor: A Review. Sensors 2023, 23, 5848. [Google Scholar] [CrossRef]
- Yang, J.; Du, T.; Liu, X.; Niu, B.; Guo, L. Method and implementation of a bioinspired polarization-based attitude and heading reference system by integration of polarization compass and inertial sensors. IEEE Trans. Ind. Electron. 2019, 67, 9802–9812. [Google Scholar] [CrossRef]
- Dupeyroux, J.; Serres, J.R.; Viollet, S. AntBot: A six-legged walking robot able to home like desert ants in outdoor environments. Sci. Robot. 2019, 4, eaau0307. [Google Scholar] [CrossRef] [PubMed]
- Powell, S.B.; Garnett, R.; Marshall, J.; Rizk, C.; Gruev, V. Bioinspired polarization vision enables underwater geolocalization. Sci. Adv. 2018, 4, eaao6841. [Google Scholar] [CrossRef] [PubMed]
- Pengwei, H.U.; Jian YA, N.G.; Lei GU, O.; Xiang, Y.U.; Wenshuo, L.I. Solar-tracking methodology based on refraction-polarization in Snell’s window for underwater navigation. Chin. J. Aeronaut. 2022, 35, 380–389. [Google Scholar]
- Zhang, T.; Yang, J.; Zhao, Q.; Liu, X.; Hu, P.; Yu, X.; Guo, L. Bio-Inspired Antagonistic Differential Polarization Algorithm for Heading Determination in Underwater Low-Light Environments. EEE Trans. Ind. Informatics 2024, 20, 6542–6551. [Google Scholar] [CrossRef]
- Pan, S.; Lin, J.; Zhang, Y.; Hu, B.; Liu, X.; Yu, Q. Image-registration-based solar meridian detection for accurate and robust polarization navigation. Opt. Express 2024, 32, 1357–1370. [Google Scholar] [CrossRef]
- Wan, Z.; Zhao, K.; Cheng, H.; Fu, P. Measurement Modeling and Performance Analysis of a Bionic Polarimetric Imaging Navigation Sensor Using Rayleigh Scattering to Generate Scattered Sunlight. Sensors 2024, 24, 498. [Google Scholar] [CrossRef]
- Cai, J.; Cheng, J.; Liu, J.; Wang, Z.; Xu, Y. A polar rapid transfer alignment assisted by the improved polarized-light navigation. IEEE Sens. J. 2021, 22, 2508–2517. [Google Scholar] [CrossRef]
- Kong, X.; Wu, W.; Zhang, L.; He, X.; Wang, Y. Performance improvement of visual-inertial navigation system by using polarized light compass. Ind. Robot Int. J. 2016, 43, 588–595. [Google Scholar] [CrossRef]
- Wang, Y.; Hu, X.; Zhang, L.; Lian, J.; He, X. Polarized light compass-aided visual-inertial navigation under foliage environment. IEEE Sens. J. 2017, 17, 5646–5653. [Google Scholar] [CrossRef]
- Liu, X.; Yang, J.; Li, W.; Huang, P.; Guo, L. Tightly coupled modeling and reliable fusion strategy for polarization-based attitude and heading reference system. IEEE Trans. Ind. Inform. 2022, 19, 62–73. [Google Scholar] [CrossRef]
- Hu, P.; Yang, J.; Qiao, J.; Li, W.; Guo, L. Underwater downwelling radiance fields enable three-dimensional attitude and heading determination. IEEE Trans. Ind. Inform. 2023, 20, 2109–2118. [Google Scholar] [CrossRef]
- Liang, H.; Bai, H.; Liu, N.; Shen, K. Limitation of Rayleigh sky model for bioinspired polarized skylight navigation in three-dimensional attitude determination. Bioinspir. Biomim. 2020, 15, 046007. [Google Scholar] [CrossRef] [PubMed]
- Schechner, Y.Y. A view through the waves. Mar. Technol. Soc. J. 2013, 47, 148–150. [Google Scholar] [CrossRef]
- Duntley, S.Q. Light in the sea. JOSA 1963, 53, 214–233. [Google Scholar] [CrossRef]
- Graham, J.J. Secchi disc observations and extinction coefficients in the central and eastern North Pacific Ocean. Limnol. Oceanogr. 1966, 11, 184–190. [Google Scholar] [CrossRef]
- Funk, C.J.; Bryant, S.B.; Heckman, P.J. Handbook of Underwater Imaging System Design; Ocean Technology Department, Naval Undersea Center: San Diego, CA, USA, 1972. [Google Scholar]
- McGlamery, B.L. A computer model for underwater camera systems. In Ocean Optics VI; SPIE: Bellingham, WA, USA, 1980; Volume 208, pp. 221–231. [Google Scholar]
- Davies-Colley, R.J. Measuring water clarity with a black disk. Limnol. Oceanogr. 1988, 33, 616–623. [Google Scholar] [CrossRef]
- Jaffe, J.S. Computer modeling and the design of optimal underwater imaging systems. IEEE J. Ocean. Eng. 1990, 15, 101–111. [Google Scholar] [CrossRef]
- Zaneveld JR, V.; Pegau, W.S. Robust underwater visibility parameter. Opt. Express 2003, 11, 2997–3009. [Google Scholar] [CrossRef]
- Hou, W.; Lee, Z.; Weidemann, A.D. Why does the Secchi disk disappear? An imaging perspective. Opt. Express 2007, 15, 2791–2802. [Google Scholar] [CrossRef]
- Hou, W.; Gray, D.J.; Weidemann, A.D.; Arnone, R.A. Comparison and validation of point spread models for imaging in natural waters. Opt. Express 2008, 16, 9958–9965. [Google Scholar] [CrossRef] [PubMed]
- Hou, W.W. A simple underwater imaging model. Opt. Lett. 2009, 34, 2688–2690. [Google Scholar] [CrossRef] [PubMed]
- Horváth, G.; Varjú, D. On the structure of the aerial visual field of aquatic animals distorted by refraction. Bull. Math. Biol. 1991, 53, 425–441. [Google Scholar] [CrossRef]
- Mokeichev, A.; Segev, R.; Ben-Shahar, O. Orientation saliency without visual cortex and target selection in archer fish. Proc. Natl. Acad. Sci. USA 2010, 107, 16726–16731. [Google Scholar] [CrossRef] [PubMed]
- Gerullis, P.; Schuster, S. Archerfish actively control the hydrodynamics of their jets. Curr. Biol. 2014, 24, 2156–2160. [Google Scholar] [CrossRef]
- Nilsson, D.E.; Gislén, L.; Coates, M.M.; Skogh, C.; Garm, A. Advanced optics in a jellyfish eye. Nature 2005, 435, 201–205. [Google Scholar] [CrossRef]
- Garm, A.; Oskarsson, M.; Nilsson, D.E. Box jellyfish use terrestrial visual cues for navigation. Curr. Biol. 2011, 21, 798–803. [Google Scholar] [CrossRef]
- Sabbah, S.; Barta, A.; Gál, J.; Horváth, G.; Shashar, N. Experimental and theoretical study of skylight polarization transmitted through Snell’s window of a flat water surface. JOSA A 2006, 23, 1978–1988. [Google Scholar] [CrossRef]
- Bhandari, P.; Voss, K.J.; Logan, L.; Twardowski, M. The variation of the polarized downwelling radiance distribution with depth in the coastal and clear ocean. J. Geophys. Res. Ocean. 2011, 116, C00H10. [Google Scholar] [CrossRef]
- Smereka, M.; Dulęba, I. Circular object detection using a modified Hough transform. Int. J. Appl. Math. Comput. Sci. 2008, 18, 85–91. [Google Scholar] [CrossRef]
- Kerbyson, D.J.; Atherton, T.J. Circle detection using Hough transform filters. In Proceedings of the Fifth International Conference on Image Processing and Its Applications, Edinburgh, UK, 4–6 July 1995. [Google Scholar]
- Zhou, Q.; Zhang, K.; Zhang, Z.; Yu, H. Improved Randomized Hough Transform Based on Circular Power Theory. In Proceedings of the 2023 International Conference on Image Processing, Computer Vision and Machine Learning (ICICML), Chengdu, China, 3–5 November 2023; IEEE: Piscataway, NJ, USA, 2023; pp. 288–293. [Google Scholar]
- Tan, D.; Chen, L.; Jiang, C.; Zhong, W.; Du, W.; Qian, F.; Mahalec, V. A circular target feature detection framework based on DCNN for industrial applications. IEEE Trans. Ind. Inform. 2020, 17, 3303–3313. [Google Scholar] [CrossRef]
- Yuan, B.; Liu, M. Power histogram for circle detection on images. Pattern Recognit. 2015, 48, 3268–3280. [Google Scholar] [CrossRef]
- Scaramuzza, D.; Martinelli, A.; Siegwart, R. A toolbox for easily calibrating omnidirectional cameras. In Proceedings of the 2006 IEEE/RSJ International Conference on Intelligent Robots and Systems, Beijing, China, 9–15 October 2006; IEEE: Piscataway, NJ, USA, 2006; pp. 5695–5701. [Google Scholar]






















| Category1 | Category2 | Category3 | Category4 | |
|---|---|---|---|---|
| Total turnout rate | 1.492% | 1.492% | 1.492% | 8.955% |
| Category5 | Category6 | Category7 | Category8 | |
| Total turnout rate | 1.492% | 17.91% | 1.492% | 1.492% |
| Category9 | Category10 | Category11 | Category12 | |
| Total turnout rate | 1.492% | 26.86% | 1.492% | 1.492% |
| Category13 | Category14 | Category15 | Category16 | |
| Total turnout rate | 4.477% | 1.492% | 2.985% | 1.492% |
| Category17 | Category18 | Category19 | Category20 | |
| Total turnout rate | 1.492% | 1.492% | 4.477% | 1.492% |
| Category21 | Category22 | Category23 | Category24 | |
| Total turnout rate | 1.492% | 1.492% | 1.492% | 1.492% |
| Category25 | Category26 | Category27 | Category28 | |
| Total turnout rate | 1.492% | 2.985% | 1.492% | 1.492% |
| −8° Pitch | 8° Pitch | −8° Roll | 8° Roll | −15° Pitch | 15° Pitch | −15° Roll | 15° Roll | |
|---|---|---|---|---|---|---|---|---|
| M | 75.84% | 75.87% | 76.05% | 68.5% | 77.08% | 80.13% | 83.42% | 82.89% |
Disclaimer/Publisher’s Note: The statements, opinions and data contained in all publications are solely those of the individual author(s) and contributor(s) and not of MDPI and/or the editor(s). MDPI and/or the editor(s) disclaim responsibility for any injury to people or property resulting from any ideas, methods, instructions or products referred to in the content. |
© 2024 by the authors. Licensee MDPI, Basel, Switzerland. This article is an open access article distributed under the terms and conditions of the Creative Commons Attribution (CC BY) license (https://creativecommons.org/licenses/by/4.0/).
Share and Cite
Zhang, H.; Wang, Z.; Zhou, S.; Ma, C.; Wang, S.; Zhang, F.; Xu, L. Underwater Horizontal Attitude Determination Technology Based on Fusion Power Circle Theory and Improved 3D Cone Hough Transform. Electronics 2024, 13, 4689. https://doi.org/10.3390/electronics13234689
Zhang H, Wang Z, Zhou S, Ma C, Wang S, Zhang F, Xu L. Underwater Horizontal Attitude Determination Technology Based on Fusion Power Circle Theory and Improved 3D Cone Hough Transform. Electronics. 2024; 13(23):4689. https://doi.org/10.3390/electronics13234689
Chicago/Turabian StyleZhang, Haosu, Zihao Wang, Shiyin Zhou, Cheng Ma, Sheng Wang, Fafu Zhang, and Lingji Xu. 2024. "Underwater Horizontal Attitude Determination Technology Based on Fusion Power Circle Theory and Improved 3D Cone Hough Transform" Electronics 13, no. 23: 4689. https://doi.org/10.3390/electronics13234689
APA StyleZhang, H., Wang, Z., Zhou, S., Ma, C., Wang, S., Zhang, F., & Xu, L. (2024). Underwater Horizontal Attitude Determination Technology Based on Fusion Power Circle Theory and Improved 3D Cone Hough Transform. Electronics, 13(23), 4689. https://doi.org/10.3390/electronics13234689

