6.5 kV SiC PiN and JBS Diodes’ Comparison in Hybrid and Full SiC Switch Topologies
Abstract
1. Introduction
2. Materials and Experimental Methods
3. Results and Discussion
3.1. Device Characterization
3.1.1. Static Characterization
3.1.2. Dynamic Characterization
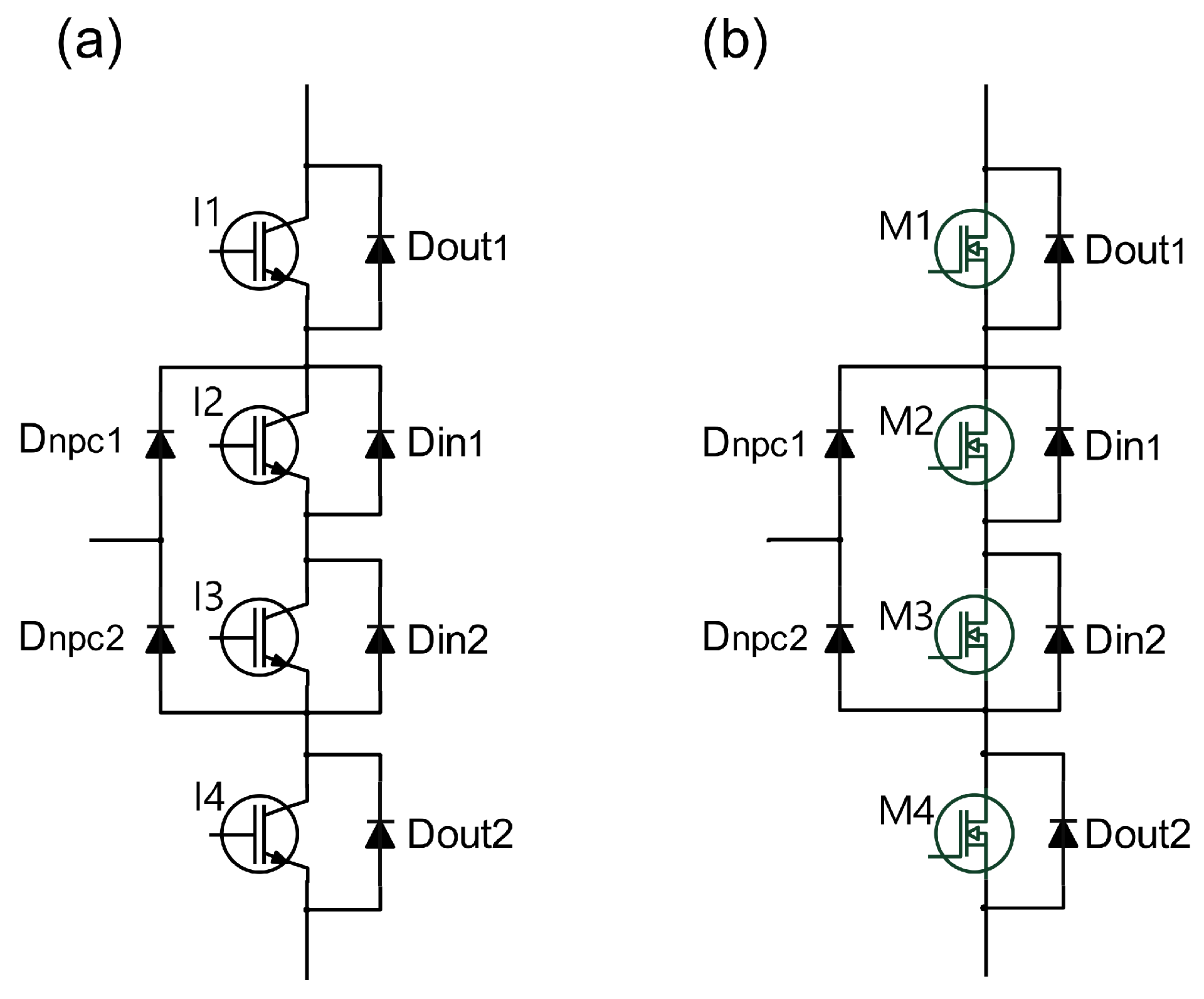
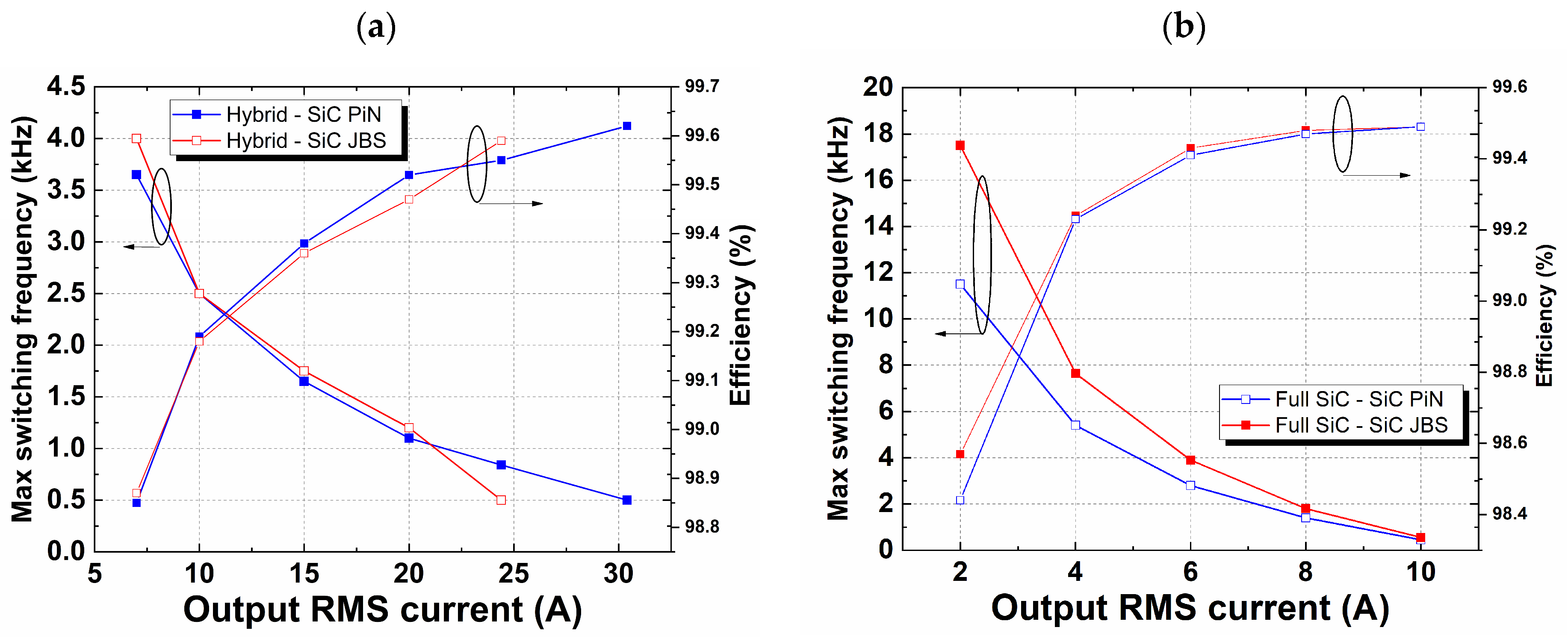
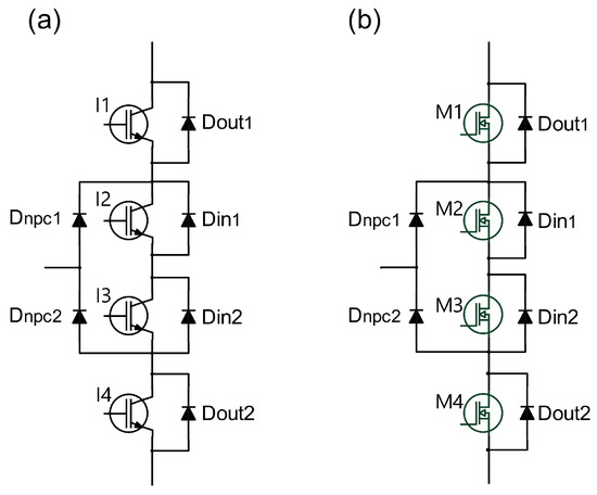
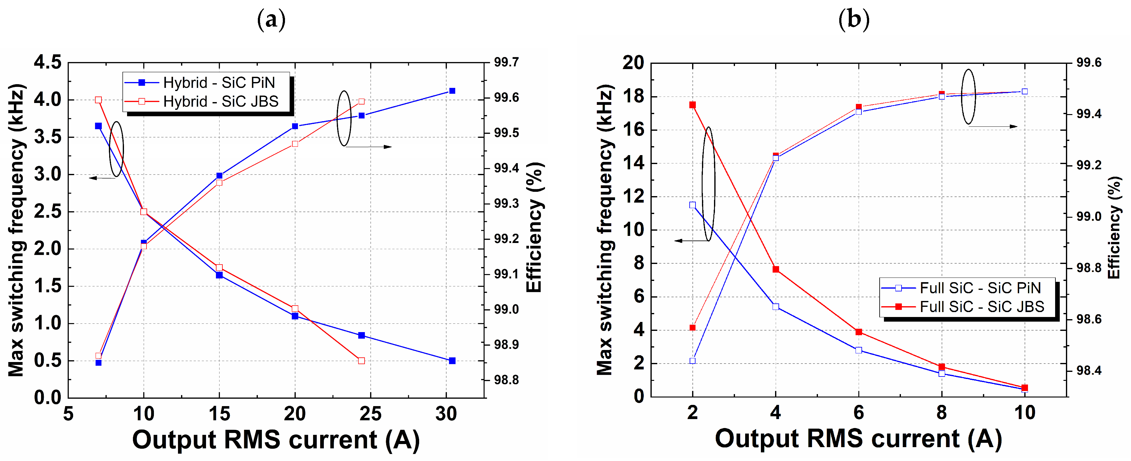
3.2. Performance Evaluation in Inverter System (3L-NPC)
3.3. Long-Term SiC PiN Diode Ruggedness (H3TRB)
4. Conclusions
Author Contributions
Funding
Data Availability Statement
Conflicts of Interest
References
- Mihaila, A.; Knoll, L.; Bianda, E.; Bellini, M.; Wirths, S.; Alfieri, G.; Kranz, L.; Canales, F.; Rahimo, M. The current status and future prospects of SiC high voltage technology. In Proceedings of the 2018 IEEE International Electron Devices Meeting (IEDM), San Francisco, CA, USA, 1–5 December 2018; pp. 440–443. [Google Scholar] [CrossRef]
- Parashar, S.; Kumar, A.; Bhattacharya, S. High Power Medium Voltage Converters Enabled by High Voltage SiC Power Devices. In Proceedings of the 2018 International Power Electronics Conference (IPEC-Niigata 2018—ECCE Asia), Niigata, Japan, 20–24 May 2018; pp. 3993–4000. [Google Scholar] [CrossRef]
- Marzoughi, A.; Burgos, R.; Boroyevich, D. Investigating Impact of Medium-Voltage SiC Mosfets on Medium-Voltage High-Power Industrial Motor Drives. IEEE J. Emerg. Sel. Top. Power Electron. 2019, 7, 1371–1387. [Google Scholar] [CrossRef]
- Ding, R.; Dou, Z.; Qu, Y.; Mei, W.; Liu, G. Analysis on characteristic of 3.3-kV full SiC device and railway traction inverter converter design. IET Power Electron. 2022, 15, 978–988. [Google Scholar] [CrossRef]
- Belkhode, S.; Shukla, A.; Doolla, S. Split-Output Hybrid Active Neutral-Point-Clamped Converter for MV Applications. IEEE J. Emerg. Sel. Top. Power Electron. 2021, 2, 184–195. [Google Scholar] [CrossRef]
- Yin, T.; Lin, L.; Shi, X.; Jing, K. A Si/SiC Hybrid Full-bridge Submodule for Modular Multilevel Converter with Its Control Scheme. IEEE J. Emerg. Sel. Top. Power Electron. 2023, 11, 712–721. [Google Scholar] [CrossRef]
- Belkhode, S.; Shukla, A.; Doolla, S. A Highly Efficient Si/SiC-based Hybrid Active NPC Converter with a Novel Modulation Scheme. IEEE Trans. Ind. Appl. 2022, 58, 7445–7456. [Google Scholar] [CrossRef]
- Diao, F.; Li, Y.; Du, X.; Zhao, Y. An Active Hybrid Modulation Strategy for a Si/SiC Hybrid Multilevel Converter. IEEE Open J. Power Electron. 2021, 2, 401–413. [Google Scholar] [CrossRef]
- Rujas, A.; López, V.M.; Bediaga, A.G.; Berasategi, A.; Nieva, T. Railway Traction DC-DC converter: Comparison of Si, SiC-hybrid, and Full SiC versions with 1700 V power modules. IET Power Electron. 2019, 12, 3265–3271. [Google Scholar] [CrossRef]
- Zhang, L.; Zheng, Z.; Li, C.; Ju, P.; Wu, F.; Gu, Y.; Chen, G. A Si/SiC Hybrid Five-Level Active NPC Inverter With Improved Modulation Scheme. IEEE Trans. Power Electron. 2020, 35, 4835–4846. [Google Scholar] [CrossRef]
- Filsecker, F.; Álvarez, R.; Bernet, S. The Investigation of a 6.5-kV, 1-kA SiC Diode Module for Medium Voltage Converters. IEEE Trans. Power Electron. 2014, 29, 2272–2280. [Google Scholar] [CrossRef]
- Mirzaee, H.; De, A.; Tripathi, A.; Bhattacharya, S. Design Comparison of High-Power Medium-Voltage Converters Based on a 6.5-kV Si-IGBT/Si-PiN Diode, a 6.5-kV Si-IGBT/SiC-JBS Diode, and a 10-kV SiC-MOSFET/SiC-JBS Diode. IEEE Trans. Ind. Appl. 2014, 50, 609–619. [Google Scholar] [CrossRef]
- Fuentes, C.D.; Kouro, S.; Bernet, S. Comparison of 1700-V SiC-MOSFET and Si-IGBT Modules Under Identical Test Setup Conditions. IEEE Trans. Ind. Appl. 2019, 55, 7765–7775. [Google Scholar] [CrossRef]
- Zhang, L.; Yuan, X.; Wu, X.; Shi, C.; Zhang, J.; Zhang, Y. Performance Evaluation of High-Power SiC MOSFET Modules in Comparison to Si IGBT Modules. IEEE Trans. Power Electron. 2019, 34, 1181–1196. [Google Scholar] [CrossRef]
- Qi, J.; Yang, X.; Li, X.; Tian, K.; Mao, Z.; Yang, S.; Song, W. Temperature Dependence of Dynamic Performance Characterization of 1.2-kV SiC Power MOSFETS Compared With Si IGBTs for Wide Temperature Applications. IEEE Trans. Power Electron. 2019, 34, 9105–9117. [Google Scholar] [CrossRef]
- Park, K.-B.; Burkart, R.M.; Agostini, B.; Soeiro, T.B. Application of 1.7-kV 700-A SiC Linpack to Optimize LCL Grid-Tied Converters. In Proceedings of the 2019 10th International Conference on Power Electronics and ECCE Asia (ICPE 2019—ECCE Asia), Busan, Republic of Korea, 27–30 May 2019; pp. 127–133. [Google Scholar] [CrossRef]
- Fabre, J.; Ladoux, P.; Piton, M. Characterization and Implementation of Dual-SiC MOSFET Modules for Future Use in Traction Converters. IEEE Trans. Power Electron. 2015, 30, 4079–4090. [Google Scholar] [CrossRef]
- Marzoughi, A.; Burgos, R.; Boroyevich, D. Characterization and Performance Evaluation of the State-of-the-art 3.3 kV 30 A Full-SiC MOSFETS. IEEE Trans. Ind. Appl. 2019, 55, 575–583. [Google Scholar] [CrossRef]
- Marzoughi, A.; Wang, J.; Burgos, R.; Boroyevich, D. Characterization and Evaluation of the State-of-the-art 3.3-kV 400 A SiC MOSFETS. IEEE Trans. Ind. Electron. 2017, 64, 8247–8257. [Google Scholar] [CrossRef]
- Kicin, S.; Burkart, R.; Loisy, J.-Y.; Canales, F.; Nawaz, M.; Stampf, G.; Morin, P.; Keller, T. Ultra-Fast Switching 3.3 kV SiC High-Power Module. In PCIM Europe; IEEE: Piscataway, NJ, USA, 2020; pp. 150–157. ISBN 978-3-8007-5245-4. [Google Scholar]
- Rujas, A.; Lopez-Martin, V.M.; Jauregi, A.; Larzabal, I.; Nieva, T. Railway inverter for metro application with 3.3 Kv Full-SiC MOSFET modules. In Proceedings of the 2021 IEEE Vehicle Power and Propulsion Conference (VPPC), Gijon, Spain, 25–28 October 2021. [Google Scholar] [CrossRef]
- Sato, K.; Kato, H.; Fukushima, T. Development of SiC Applied Traction System for Next-Generation Shinkansen High-Speed Trains. IEEJ J. Ind. Appl. 2020, 9, 453–459. [Google Scholar] [CrossRef]
- Li, D.; Li, X.; Chang, G.; Qi, F.; Packwood, M.; Pottage, D.; Wang, Y.; Luo, H.; Dai, X.; Liu, G. Characterization of a 3.3-kV Si-SiC Hybrid Power Module in Half-Bridge Topology for Traction Inverter Application. IEEE Trans. Power Electron. 2020, 35, 13429–13440. [Google Scholar] [CrossRef]
- Guo, Z.; Li, H.; Dong, X. A Self-Voltage Balanced Hybrid Three-Level MV Inverter Using 3.3-kV SiC MOSFET Module With False-Trigger-Proof Design. IEEE J. Emerg. Sel. Top. Power Electron. 2022, 10, 6854–6864. [Google Scholar] [CrossRef]
- Filsecker, F.; Álvarez, R.; Bernet, S. Evaluation of 6.5-kV SiC p-i-n Diodes in a Medium Voltage, High Power 3L-NPC Converter. IEEE Trans. Power Electron. 2014, 29, 5148–5156. [Google Scholar] [CrossRef]
- Peters, D.; Bartsch, W.; Thomas, B.; Sommer, R. 6.5 kV SiC PiN Diodes with Improved Forward Characteristics. Mater. Sci. Forum 2010, 645–648, 901–904. [Google Scholar] [CrossRef]
- Peters, D.; Thomas, B.; Duetemeyer, T.; Hunger, T.; Sommer, R. An Experimental Study of High Voltage SiC PiN Diode Modules designed for 6.5 kV/1 kA. Mater. Sci. Forum 2011, 679–680, 531–534. [Google Scholar] [CrossRef]
- Devaty, R.P.; Dudley, M.; Chow, T.P.; Neudeck, P.G. Characterization of Packaged 6.5 kV SiC PiN-Diodes up to 300 °C. Mater. Sci. Forum 2012, 717–720, 957–960. [Google Scholar] [CrossRef]
- Bartsch, W.; Elpelt, R.; Schoerner, R.; Dohnke, K.-O.; Bloecher, B.; Koerber, K. Bipolar 6.5 kV-SiC-Diodes: On the Road to Industrial Application. In Proceedings of the 2005 European Conference on Power Electronics and Applications, Dresden, Germany, 11–14 September 2005; pp. 1–7. [Google Scholar] [CrossRef]
- Elasser, A.; Agamy, M.S.; Nasadoki, J.; Loose, P.A.; Bolotnikov, A.V.; Stum, Z.; Raju, R.; Stevanovic, L.; Mari, J.; Menzel, M.; et al. Static and Dynamic Characterization of 6.5-kV 100-A SiC Bipolar PiN Diode Modules. IEEE Trans. Ind. Appl. 2014, 50, 609–619. [Google Scholar] [CrossRef]
- Sundaramoorthy, V.; Mihaila, A.; Spejo, L.; Minamisawa, R.A.; Knoll, L. Performance Comparison of 6.5 kV SiC PiN Diode with 6.5 kV SiC JBS and Si Diodes. Mater. Sci. Forum 2022, 1062, 588–592. [Google Scholar] [CrossRef]
- Knoll, L.; Mihaila, A.; Kranz, L.; Bellini, M.; Wirths, S.; Bianda, E.; Papadopoulos, C.; Rahimo, M. Dynamic Switching and Short Circuit Capability of 6.5 kV Silicon Carbide MOSFETs. In Proceedings of the 2018 IEEE 30th International Symposium on Power Semiconductor Devices and ICs (ISPSD), Chicago, IL, USA, 13–17 May 2018; pp. 451–454. [Google Scholar] [CrossRef]
- Kawahara, K.; Hino, S.; Sadamatsu, K.; Nakao, Y.; Yamashiro, Y.; Yamamoto, Y.; Iwamatsu, T.; Nakata, S.; Tomohisa, S.; Yamakawa, S. 6.5 kV Schottky-Barrier-Diode-Embedded SiC-MOSFET for Compact Full-Unipolar Module. In Proceedings of the 2017 29th International Symposium on Power Semiconductor Devices and IC’s (ISPSD), Sapporo, Japan, 28 May–1 June 2017; pp. 41–44. [Google Scholar] [CrossRef]
- Sakaguchi, T.; Aketa, M.; Nakamura, T.; Nakanishi, M.; Rahimo, M. Characterization of 3.3 kV and 6.5 kV SiC MOSFETs. In PCIM Europe; IEEE: Piscataway, NJ, USA, 2017; pp. 39–43. ISBN 978-3-8007-4424-4. [Google Scholar]
- Sabri, S.; Van Brunt, E.; Barkley, A.; Hull, B.; O’Loughlin, M.; Burk, A.; Allen, S.; Palmour, J. New Generation 6.5 kV SiC power MOSFET. In Proceedings of the 2017 IEEE 5th Workshop on Wide Bandgap Power Devices and Applications (WiPDA), Albuquerque, NM, USA, 30 October–1 November 2017; pp. 246–250. [Google Scholar] [CrossRef]
- Du, Y.; Tang, X.; Wei, X.; Sun, S.; Yang, F.; Zhao, Z. Dynamic performance of 6.5 kV SiC MOSFETs body diodes and anti-parallel Schottky barrier diodes. J. Power. Electron. 2023, 23, 1028–1040. [Google Scholar] [CrossRef]
- Mihaila, A.; Knoll, L.; Kranz, L.; Bianda, E.; Alfieri, G.; Bellini, M.; Papadopoulos, M.; Rahimo, M. Performance Evaluation of SiC JBS Diodes Rated for 6.5 kV Applications. Mater. Sci. Forum 2018, 924, 597–600. [Google Scholar] [CrossRef]
- GeneSiC. 1200 V SiC JBS Diodes with Ultra-Low Capacitive Reverse Recovery Charge for Fast Switching Applications. Available online: https://genesicsemi.com/technical-support/sic-schottky-mps/app-notes/1008%20JBS%20Reverse%20Recovery.pdf (accessed on 29 April 2023).
- Baliga, B.J. Fundamentals of Power Semiconductor Devices; Springer: Cham, Switzerland, 2019. [Google Scholar]
- Madhusoodhanan, S.; Hatua, K.; Bhattacharya, S.; Leslie, S.; Ryu, S.-H.; Das, M.; Argarwal, A.; Grider, D. Comparison study of 12 kV n-type SiC IGBT with 10 kV SiC MOSFET and 6.5 kV Si IGBT based on 3L-NPC VSC applications. In Proceedings of the 2012 IEEE Energy Conversion Congress and Exposition (ECCE), Raleigh, NC, USA, 15–20 September 2012. [Google Scholar] [CrossRef]
- Spejo, L.B.; Akor, I.; Rahimo, M.; Minamisawa, R.A. Life-cycle energy demand comparison of medium voltage silicon IGBT and silicon carbide MOSFET power semiconductor modules in railway traction applications. Power Electron. Dev. Comp. 2023, 6, 100050. [Google Scholar] [CrossRef]
- Ma, K.; He, N.; Liserre, M.; Blaabjerg, F. Frequency-Domain Thermal Modelling and Characterization of Power Semiconductor Devices. IEEE Trans. Power Electron. 2016, 31, 7183–7193. [Google Scholar] [CrossRef]
- Xu, M.; Ma, K.; Zhong, Q.; Liserre, M. Frequency-Domain Thermal Modelling of Power Modules Based on Heat Flow Spectrum Analysis. IEEE Trans. Power Electron. 2023, 38, 2446–2455. [Google Scholar] [CrossRef]
- Jormanainen, J.; Mengotti, E.; Soeiro, T.B.; Bianda, E.; Baumann, D.; Friedli, T.; Heinemann, A.; Vulli, A.; Ingman, J. High Humidity, High Temperature and High Voltage Reverse Bias—A Relevant Test for Industrial Applications. In PCIM Europe; IEEE: Piscataway, NJ, USA, 2018; pp. 563–569. ISBN 978-3-8007-4646-0. [Google Scholar]
- Mengotti, E.; Bianda, E.; Baumann, D.; Schlottig, G.; Canales, F. Industrial approach to the chip and package reliability of SiC MOSFETs (Invited). In Proceedings of the 2023 International Reliability Physics Symposium (IRPS), Monterey, CA, USA, 26–30 March 2023. [Google Scholar] [CrossRef]
















| Configurations | I or M | Din | Dout | Dnpc |
|---|---|---|---|---|
| Hybrid–SiC PiN | Si IGBT | SiC PiN | SiC PiN | SiC PiN |
| Hybrid–SiC JBS | Si IGBT | SiC JBS | SiC JBS | SiC JBS |
| Full SiC–SiC PiN | SiC MOSFET | Body diode | Body diode | SiC PiN |
| Full SiC–SiC JBS | SiC MOSFET | Body diode | Body diode | SiC JBS |
| Layers | Thickness (mm) | Density (kg/m3) | Specific Heat (J/kg °C) | Thermal Conductivity (W/m °C) | Thermal Resistance (K/W) | Thermal Capacitance (J/K) |
|---|---|---|---|---|---|---|
| Chip | 0.45 | 3210 | 750 | 350 | 8.0357 × 10−2 | 1.7334 × 10−2 |
| Chip solder | 0.05 | 9700 | 260 | 78 | 4.0064 × 10−2 | 2.0176 × 10−3 |
| Copper | 0.25 | 8900 | 397 | 386 | 3.5857 × 10−2 | 1.5955 × 10−2 |
| Al2O3 | 1 | 3700 | 880 | 18 | 1.8365 | 9.8494 × 10−2 |
| Copper | 0.25 | 8900 | 397 | 386 | 1.4215 × 10−2 | 4.0246 × 10−2 |
| Base solder | 0.1 | 9700 | 260 | 78 | 2.5432 × 10−2 | 1.2713 × 10−2 |
| Base | 3 | 8900 | 397 | 386 | 7.4702 × 10−2 | 1.1028 |
| Thermal grease | 0.1 | 2250 | NA | 1 | 5.6497 × 10−1 |
| DC link voltage | 7.2 kV |
| Output frequency | 50 Hz |
| Output Voltage | 4.16 kV |
| Ambient temperature | 40 °C |
| Max junction temperature | 125 °C |
| Switching frequency | 500–20,000 Hz |
Disclaimer/Publisher’s Note: The statements, opinions and data contained in all publications are solely those of the individual author(s) and contributor(s) and not of MDPI and/or the editor(s). MDPI and/or the editor(s) disclaim responsibility for any injury to people or property resulting from any ideas, methods, instructions or products referred to in the content. |
© 2024 by the authors. Licensee MDPI, Basel, Switzerland. This article is an open access article distributed under the terms and conditions of the Creative Commons Attribution (CC BY) license (https://creativecommons.org/licenses/by/4.0/).
Share and Cite
Spejo, L.B.; Knoll, L.; Minamisawa, R.A. 6.5 kV SiC PiN and JBS Diodes’ Comparison in Hybrid and Full SiC Switch Topologies. Electronics 2024, 13, 4548. https://doi.org/10.3390/electronics13224548
Spejo LB, Knoll L, Minamisawa RA. 6.5 kV SiC PiN and JBS Diodes’ Comparison in Hybrid and Full SiC Switch Topologies. Electronics. 2024; 13(22):4548. https://doi.org/10.3390/electronics13224548
Chicago/Turabian StyleSpejo, Lucas Barroso, Lars Knoll, and Renato Amaral Minamisawa. 2024. "6.5 kV SiC PiN and JBS Diodes’ Comparison in Hybrid and Full SiC Switch Topologies" Electronics 13, no. 22: 4548. https://doi.org/10.3390/electronics13224548
APA StyleSpejo, L. B., Knoll, L., & Minamisawa, R. A. (2024). 6.5 kV SiC PiN and JBS Diodes’ Comparison in Hybrid and Full SiC Switch Topologies. Electronics, 13(22), 4548. https://doi.org/10.3390/electronics13224548
