You are currently viewing a new version of our website. To view the old version click .
Electronics
  • Article
  • Open Access

8 November 2024

Lower Energy Consumption in Multi-CPU Cell-Free Massive MIMO Systems

,
and
1
The School of Electronics and Information, Northwestern Polytechnical University, Xi’an 710129, China
2
Xi’an Intellectual Property Protection Center, Xi’an 710007, China
*
Author to whom correspondence should be addressed.
This article belongs to the Special Issue Advanced Techniques for Massive MIMO Systems in Next-Generation Wireless Communication and Networks

Abstract

Under the ideal assumption of deploying only one central processing unit (CPU) in the entire system, cell-free (CF) systems can achieve significant macro-diversity gain, thereby providing uniformly reliable service to each user equipment (UE). However, due to limitations in system scalability and the feasibility of strict phase synchronization, CF systems require a multi-CPU setup and perform coherent transmission at a smaller scale. Moreover, conventional CF systems typically operate in time-division duplex (TDD) mode and utilize statistical channel state information (CSI) for downlink (DL) decoding, but the channel hardening effect is not significant. These factors reduce downlink spectral efficiency (SE) and increase DL transmission time, leading to higher energy consumption in CF systems. To address these issues, we introduce downlink channel estimation (DLCE) in multi-CPU CF systems and derive the approximate achievable DL SE. To reduce DL pilot overhead, we propose an uplink–pilot-reuse-constrained DL pilot allocation principle. Based on this principle, we develop a farthest distance pilot allocation (FDPA) algorithm to mitigate pilot contamination. In addition, leveraging the characteristics of the heuristic distributed power allocation algorithm, we propose two access point (AP) clustering algorithms: one based on CSI (BCSI) and the other based on coherent group size (BCGS). Simulation results indicate that the introduction of DLCE significantly improves DL SE in multi-CPU CF massive MIMO systems, while the proposed FDPA algorithm further enhances DL SE. The BCSI and BCGS algorithms also effectively improve DL SE and help reduce energy consumption. By combining DLCE, the FDPA algorithm, and the proposed AP clustering algorithms, the energy consumption of multi-CPU CF systems can be significantly reduced.

1. Introduction

In a single central processing unit (CPU) cell-free (CF) massive multiple-input multiple-output (MIMO) system, one CPU manages all distributed access points (APs), which serve as distributed service antennas with computational capabilities, to achieve significant macro-diversity gains and powerful interference control through cooperation among all APs. The single-CPU setup can offer uniform, high-quality service to each user equipment (UE) [1,2].
However, using a single CPU to manage the entire CF system is not scalable, as the burden on the CPU to coordinate and manage the network significantly increases with the growing number of APs and UEs. In CF systems, both APs and UEs tend to be infinitely large, which restricts the large-scale deployment of CF systems in a single-CPU setup [3]. To address this issue, the authors in [3,4,5] propose the multi-CPU CF system where each CPU manages a portion of the APs in its vicinity, and only the APs connected to the same CPU can achieve strict synchronization for performing coherent transmission. This setup prevents the management scale from increasing proportionally to the number of APs and ensures system scalability. Moreover, in single-CPU CF systems, it is often assumed that all APs are strictly phase-synchronized, enabling them to jointly perform coherent transmission. This means that all serving APs transmit the same data, and that data intended for a specific UE is available at each serving AP. Coherent transmission can achieve significant macro-diversity gain, which is the key reason why single-CPU CF systems can provide high-quality service to each UE. However, strict synchronization across the entire network is not feasible. As an alternative to coherent transmission, non-coherent transmission does not impose strict requirements on synchronization and data availability. Instead, it allows each AP to transmit data independently [6]. However, this strategy also has limitations. The primary limitation is that non-coherent transmission hinders the ability of the system to achieve macro-diversity gains, significantly reducing spectral efficiency (SE) [4]. Additionally, at the UE side, successive interference cancellation (SIC) of a large number of superimposed signals requires high computational complexity [7]. To address these issues, the authors in [3,4] proposed a partial coherent transmission strategy in multi-CPU CF systems, where APs serving each UE are divided into several coherent groups (CGs) based on their association with the CPU. Each CG consists of all APs belonging to the same CPU that serve a specific UE. All APs within a CG perform coherent transmission, while APs in different CGs execute non-coherent transmission. This reduces the requirement for strict synchronization across the entire network to only APs connected to the same CPU, making it more feasible. Additionally, since the partial coherent transmission strategy still gains macro-diversity benefits, its SE is higher than that of non-coherent transmission [3,4]. However, compared to coherent transmission, partial coherent transmission only achieves partial macro-diversity gains, resulting in a significant reduction in SE, especially when the AP cluster is divided into many CGs [4].
The CF system operates in time-division duplex (TDD) mode, utilizing channel reciprocity to design precoding based on estimated channel state information (CSI) obtained from uplink (UL) training. Furthermore, CF systems typically assume a significant channel hardening effect, whereby UEs use only statistical CSI for downlink (DL) decoding to reduce DL pilot overhead. The channel hardening effect refers to the phenomenon in massive MIMO systems where fluctuations in the channel average out when signals are transmitted through a large number of antennas over multiple independent fading channels, causing the instantaneous channel gain to converge to its average value. Therefore, relying on long-term statistical CSI for decoding can still yield high SE. However, in CF systems, the distributed deployment of antennas greatly reduces antenna density, and to ensure system scalability, AP clustering is essential. To reduce computational cost at each AP, only a small number of antennas are deployed at each AP. These factors weaken the channel hardening effect in CF systems compared to centralized MIMO systems [8,9]. Consequently, using statistical CSI for DL decoding leads to SE degradation [10]. Although deploying a larger number of antennas at APs could potentially enhance the channel hardening effect [11,12], increasing the number of antennas would result in higher AP costs and elevated computational complexity, which contradicts the design principles of low-cost APs in CF systems [13,14]. In this regard, introducing downlink channel estimation (DLCE) into multi-CPU CF systems, allowing UEs to use instantaneous CSI for DL decoding, is expected to mitigate the SE degradation issue associated with the partial coherent transmission strategy. The authors in [15,16,17] studied the introduction of DLCE in CF systems to improve DL SE. However, they only considered single-CPU CF systems, which are primarily suitable for theoretical analysis. To date, no research has explored the incorporation of DLCE in more scalable and practical multi-CPU CF systems.
AP clustering is crucial for maintaining the scalability of CF systems. In single-CPU CF systems, where all APs are assumed to be strictly synchronized, AP clustering can be accomplished by selecting geographically proximate APs to serve UEs. The authors in [18] proposed AP clustering algorithms based on received energy and CSI, where each UE selects APs with the least energy attenuation or the best CSI for service. The authors in [19] proposed an AP clustering algorithm that simultaneously handles access, pilot assignment, and clustering. This approach ensures that each AP serves fewer UEs, while each UE is still adequately served, thus improving system scalability. However, these algorithms are only suitable for single-CPU CF systems. To the best of our knowledge, only the authors in [3] considered an AP clustering algorithm for multi-CPU CF systems, where UEs first select the serving CPUs and then choose a subset of APs managed by the selected CPUs to provide service. This study focused solely on improving SE while neglecting the energy consumption of APs (ECAP), which is a significant component of the total energy consumption in CF systems. The energy consumption arises from both DL transmission and hardware operation [4]. Furthermore, this prior work only considered CSI, overlooking the impact of power allocation algorithms on AP clustering. In CF systems, due to the massive number of distributed APs performing DL transmission and the weak channel hardening effect, the SE in conventional CF systems using statistical CSI for DL decoding remains low, resulting in slower transmission speed and higher ECAP. In single-CPU CF systems, coherent transmission by all APs often makes selecting nearby APs sufficient for achieving significant macro-diversity gains. However, in multi-CPU CF systems, the additional division of AP clusters into multiple coherent groups (CGs) makes the simple and effective AP clustering algorithms designed for single-CPU CF systems unsuitable.
Motivated by the above discussion, we consider introducing DLCE into multi-CPU CF systems to enable UEs to use instantaneous CSI for decoding, thereby improving DL SE and reducing ECAP. Furthermore, considering that multiple CGs serve each UE in multi-CPU CF systems, a new DL pilot allocation algorithm, different from that in [15], is required. Additionally, compared to single-CPU CF systems, AP clustering in multi-CPU CF systems must take both SE and ECAP into account. The contributions of this paper are summarized as follows:
  • We introduce DLCE into multi-CPU CF systems and derive a closed-form expression for the approximate DL SE.
  • We propose the farthest distance pilot allocation (FDPA) algorithm based on the UL pilot reuse constraints to improve DL SE and reduce DL pilot overhead.
  • We propose AP clustering algorithms based on channel state information (BCSI) and CG size (BCGS) to improve DL SE and reduce ECAP.
  • We quantitatively compare the DL SE with and without DLCE in systems with different CPU setups, as well as the performance of the FDPA, BCSI, and BCGS algorithms.
The rest of the paper is organized as follows. In Section 2, we model the multi-CPU CF system. In Section 3, we conduct a performance analysis regarding the introduction of DLCE and propose the FDPA algorithm, as well as the BCSI and BCGS algorithms. Simulation results are presented and analyzed in Section 4. Lastly, conclusions are drawn in Section 5.
Notation: Bold lowercase and uppercase letters denote column vectors and matrices, respectively. Superscripts * and H denote conjugate and conjugate transpose, respectively. E · and · denote the expectation and the Euclidean norm operators, respectively. h N C 0 , β denotes a circularly symmetric complex Gaussian random variable h with zero mean and variance β . I X denotes the X × X identity matrix.

2. System Model

Consider a CF system consisting of K single antenna UEs and L single antenna APs, satisfying L K . There are C CPUs in the system. The APs and UEs are randomly distributed over the area of size S a , which is wrapped-around to reduce edge effects [20]. All APs are connected to the CPUs through fronthaul links organized in a star topology, as shown in Figure 1. The CPUs, serving as edge-cloud processors [13], connect to the core network through backhaul links. The CF system works in TDD mode. Since we only study DL transmission, we assume that a coherent block contains τ = τ up + τ dp + τ d channel uses, where τ up is for UL training, τ dp is for DL training and τ d is for DL transmission. h l i C is the channel between AP l and UE i in each coherence block.
h l i N C 0 , β l i ,
where β l i is the large-scale fading coefficient known a priori wherever needed [14].
Figure 1. A Multi-CPU CF System.

2.1. UL Pilot Transmission and Channel Estimation

In the UL pilot transmission and channel estimation phase, as shown in Figure 2, each UE sends a UL pilot sequence to all APs.
Figure 2. UL Pilot Transmission.
Assuming there are τ up mutually orthogonal UL pilot sequences ϕ 1 , , ϕ τ up C τ up in the system and ϕ k 2 = τ up , k . Considering the large number of UEs and relatively limited coherent block length in CF systems, UL pilot reuse will occur, so we set K > τ up . Let t i 1 , , τ up represent the number of UL pilot sequence allocated to UE i in the UL training phase and T i 1 , , K represent the set of UEs that use the UL pilot t i . The UL pilot signal y up , l t i C transmitted by the UE using the UL pilot t i received in the l-th AP is
y up , l u i = k T i τ up ρ ul h l k + n l t i ,
where ρ ul is the transmit power of each UE, n l t i N C 0 , σ 2 is additive Gaussian white noise.
Each AP performs channel estimation locally. According to [21], the minimum mean square error (MMSE) estimation of the channel h l i obtained in AP l is
h ^ l i = E h l i + Cov h l i , y up , l t i Cov y up , l t i , y up , l t i y up , l t i E y up , l t i = E y up , l t i * h l i E y up , l t i 2 y up , l t i ,
where
E y up , l t i * h l i = τ up ρ ul β l i , E y up , l t i = τ up k T i ρ ul β l k + σ 2 1 .
The channel estimation error is h ˜ l i = h l i h ^ l i , where h ^ l i and h ˜ l i are statistically independent [9]. Because the mean square value of h ˜ l i is
γ l i = E h ^ l i 2 = τ up ρ ul β l k E y up , l t i * h l k E y up , l t i 2 ,
so the channel estimate and the estimation error are, respectively, distributed as
h ^ l i N C 0 , γ l i , h ˜ l i N C 0 , β l i γ l i .

2.2. DL Data Transmission

We adopt the AP clustering algorithm proposed in [18], where each UE selects Q APs with the largest large-scale fading coefficient to form the AP clusters. We refer to the user-centric AP cluster that serves UE i as cluster i. The set of UEs served by AP l is D l . The set of APs serving UE i is L i . The number of APs in L i is L i . According to [3,4], in a multi-CPU CF system, all APs in each AP cluster are divided into multiple CGs based on their ownership relationship with the CPUs. Let A i , v represent the AP set of CG v in cluster i. A i , v can be represented as a diagonal matrix, denoted by
G i , v = diag G 1 i , v , , G L i , v .
If AP l serves UE i in A i , v , G l i , v = 1 , otherwise, G l i , v = 0 . Each AP is managed by only one CPU, therefore, different CGs within a cluster do not overlap with each other. G i = A i , 1 , , A i , V i represents the set of all CGs in L i , where V i represents the number of CGs in L i . We adopt the partial coherent transmission strategy proposed in [3,4] to maximize DL SE while ensuring system scalability and synchronization feasibility. The APs in the same CG perform coherent transmission while the APs in different CGs perform non-coherent transmission.
Our research focuses on channel estimation and AP clustering algorithms, so we only use maximum ratio transmission (MRT) precoding algorithm for DL transmission, the MRT precoding coefficient of AP l for UE i in multi-CPU CF systems is
w m , l i = v = 1 V i G l i , v h ^ l i .
In a multi-CPU CF system, each UE needs to use SIC technology to decode the DL transmission superimposed signals from multiple CGs. We only consider the case of perfect SIC without error propagation. (The authors of [4,6] have already proven the validity of this hypothesis in multi-CPU systems, so we will not elaborate further in this paper). Assuming that UE i decodes sequentially from A i , v 1 , the signals of other CGs are considered as interferences. When decoding the signal from A i , v 2 , since the signal from A i , v 1 is known, signals other than those from A i , v 1 and A i , v 2 can be considered as interferences. Repeat the above process until all signals are decoded. According to [6], when SIC is perfect, the decoding order does not affect the sum of SEs of all CGs serving a UE. Therefore, we do not focus on the decoding order of SIC. In a multi-CPU CF system, the DL superimposed signal received by UE i from all CGs is
y m , d l , i = l = 1 L k = 1 K v = 1 V k ρ dl , l k G l k , v h l i * w ¯ m , l k s l k + n m , i ,
where s l k is the uncorrelated data symbol from AP l to UE i and E s l k 2 = 1 ,
w ¯ m , l k = w m , l k / E w m , l k 2
is the normalized precoding vector assigned from AP l to UE i [19], n m , i N C 0 , σ 2 is additive Gaussian white noise and ρ dl , l k is the DL transmit power allocated to UE i by AP l. We employ the heuristic distributed power allocation algorithm proposed in [22], namely,
ρ dl , l i = ρ dl β l i k D l β l k , i D l , 0 , i D l .
Because the partial coherent transmission strategy is used, when l 1 A k , v 1 and l 2 A k , v 1 , s l 1 k = s l 2 k , and when l 1 A k , v 1 , l 2 A k , v 2 and v 1 v 2 , s l 1 k s l 2 k .
We define a m , i k , v l = 1 L ρ dl , l k G l k , v h l i * w ¯ m , l k , k = 1 , , K , v = 1 , , V k as the effective channel gain, then (9) can be re-expressed as
y m , dl , i = k = 1 K v = 1 V k a m , i k , v s l k + n m , i .

2.3. DL Pilot Transmission and Channel Estimation

There are multiple CGs in an AP cluster and all CGs will transmit DL data independently. Therefore, each CG needs to assign different DL pilot sequences to the UE to distinguish the data of each CG in SIC decoding, as shown in Figure 3.
Figure 3. DL Pilot Transmission.
Assume there are τ dp mutually orthogonal DL pilot sequences φ 1 , , φ τ dp C τ dp in the system and φ k 2 = τ dp , k . Let φ m , i , v φ 1 , , φ τ dp represent the DL pilot sequence assigned by A i , v to UE i. Let J m , t i = { φ m , i , 1 , , φ m , i , V i } represent the set of DL pilot sequences allocated to UE i by all CGs in L i . In order to distinguish the signals from all CGs in L i , the DL pilot sequences in J m , t i must be orthogonal to each other. That is,
φ m , i , v 1 H φ m , i , v 2 = 0 , if A i , v 1 , A i , v 2 L i and v 1 v 2 .
The DL pilot signal transmitted by AP l is
x l , m , p = τ dp k = 1 K v = 1 V k ρ dl , l k G l k , v w ¯ m , l k φ ¯ m , k , v ,
where φ ¯ m , k , v represents the normalized DL pilot sequence assigned to UE k by A i , v .
The DL pilot signal received by UE i is
y m , dp , i = τ dp k = 1 K v = 1 V k a m , i k , v φ ¯ m , k , v + n m , dp , i ,
where n m , dp , i N C 0 , σ 2 I τ dp is additive Gaussian white noise.
In order to estimate the effective DL channel a m , i i , v 1 , i.e., the pilot sequence signal transmitted from A i , v 1 to UE i, UE i multiplies y m , dp , i by the normalized pilot sequence φ ¯ m , i , v 1 , i.e.,
y ˜ m , dp , i , v 1 = φ ¯ m , i , v 1 H y m , dp , i = τ dp a m , i i , v 1 + τ dp v = 1 , v v 1 V i a m , i i , v φ ¯ m , i , v 1 H φ ¯ m , i , v + τ dp k = 1 , k i K v = 1 V k a m , i k , v φ ¯ m , i , v 1 H φ ¯ m , k , v + n m , dp , i ,
where n m , dp , i = φ ¯ m , i , v 1 H n m , dp , i N C 0 , σ 2 .
Because the DL pilot sequences allocated to a UE by different CGs serving the UE are mutually orthogonal, therefore,
τ dp v = 1 , v v 1 V i a m , i i , v φ ¯ m , i , v 1 H φ ¯ m , i , v = 0 .
According to [15,17,23], given y ˜ m , dp , i , v 1 , the MMSE estimate of a m , i i , v 1 performed by UE i is
a ^ m , i i , v 1 = E a m , i i , v 1 + Cov a m , i i , v 1 , y ˜ m , dp , i , v 1 Cov y ˜ m , dp , i , v 1 , y ˜ m , dp , i , v 1 y ˜ m , dp , i , v 1 E y ˜ m , dp , i , v 1 .
Since we employ MRT precoding and assume an independent Rayleigh fading channel, the terms in (18) can be obtained based on [16] as follows:
E a m , i i , v 1 = l = 1 L z m , l i , v 1 γ l i , z m , l i , v 1 = G l i , v 1 ρ dl , l i E w m , l i 2 ,
E y ˜ m , dp , i , v 1 = τ dp l = 1 L k = 1 K v = 1 V k z m , l i , v γ l k β l i β l k φ ¯ m , i , v 1 H φ ¯ m , k , v ϕ ¯ t i H ϕ ¯ t k ,
Cov a m , i i , v 1 , y ˜ m , dp , i , v 1 = τ dp k = 1 K v = 1 V k φ ¯ m , k , v H φ ¯ m , i , v 1 l = 1 L z m , l i , v 1 z m , l k , v γ l i γ l k β l k j = 1 K β l j ϕ ¯ t j H ϕ ¯ t i ϕ ¯ t k H ϕ ¯ t j + ϕ ¯ t k H ϕ ¯ t i τ up ρ ul + ϕ ¯ t k H ϕ ¯ t i l = 1 L l = 1 L z m , l i , v 1 z m , l k , v γ l i γ l k β l i β l k E a m , i i , v 1 E y ˜ m , dp , i , v 1 * ,
Cov y ˜ m , dp , i , v 1 , y ˜ m , dp , i , v 1 = σ 2 + τ dp l = 1 L k = 1 K v = 1 V k z m , l k , v 2 γ l k β l i φ ¯ m , i , v 1 H φ ¯ m , k , v 2 + τ dp l = 1 L k = 1 K j = 1 , j k K v = 1 V k v = 1 V i z m , l k , v z m , l j , v γ l k γ l j β l i 2 β l k β l j φ ¯ m , i , v 1 H φ ¯ m , k , v φ ¯ m , j , v H φ ¯ m , i , v 1 ϕ ¯ t i H ϕ ¯ t k ϕ ¯ t j H ϕ ¯ t i
and ϕ ¯ t i = ϕ t i / τ up is the normalized UL pilot sequence assigned to UE i.
Inspired by the pilot allocation method used in the simplified analysis for single-CPU CF systems in [15], where UEs using the same UL pilot sequence are forced to use different DL pilot sequences during DL training, and the orthogonality among the different DL pilot sequences is leveraged to simplify extremely lengthy expressions, we propose the first principle of pilot allocation for multi-CPU CF systems: consider a multi-CPU CF system with C CPUs, where two arbitrary UEs are denoted as UE i 1 and UE i 2 . The UL pilot sequence indices allocated to them are t i 1 and t i 2 , respectively, and the sets of DL pilot sequences allocated to them are J m , t i 1 and J m , t i 2 , respectively. Each set of DL pilot sequences contains K mutually orthogonal DL pilot sequences. When two UEs use the same UL pilot sequence, all elements of their DL pilot sequence sets must be completely different, i.e.,
J m , t i 1 J m , t i 2 = , if ϕ t i 1 = ϕ t i 2
By utilizing the first principle of pilot allocation, (20), (21) and (22) can be simplified to
E y ˜ m , dp , i , v 1 = τ dp l = 1 L v = 1 V k z m , l i , v γ l i , Cov a m , i i , v 1 , y ˜ m , dp , i , v 1 = τ dp l = 1 L z m , l i , v 1 γ l i β l i , Cov y ˜ m , dp , i , v 1 , y ˜ m , dp , i , v 1 = σ 2 + τ dp l = 1 L k = 1 K v = 1 V k z m , l k , v 2 γ l k β l i φ ¯ m , i , v 1 H φ ¯ m , k , v 2 .
Using the above method, the approximate estimates of the effective channel from each CG to UE i can be obtained sequentially. The estimation error of the effective channel is denoted as a ˜ m , i i , v = a m , i i , v a ^ m , i i , v . Depending on the characteristics of MMSE estimation, a ^ m , i i , v and a ˜ m , i i , v are uncorrelated but not independent [15,17].

2.4. ECAP Model

Since all precoding and power allocation are computed locally at the APs, according to [4], ECAP can be modeled as
E t = E dl + E circuit ,
where
E dl = i = 1 K t dl , i α l L i ρ l i
is the DL wireless transmit energy consumption,
t dl , i = F B × S E m , i
is the time for DL wireless transmitting F Mbits from UE i, S E m , i is the DL SE of UE i, α is the power amplifier efficiency and B is the bandwidth [24],
E circuit = l = 1 L t circuit , l P circuit
is the component energy consumption of all APs,
t circuit , l = max i D l t dl , i
is the work time of AP l, P circuit is the component power consumption of a single AP [18].

3. Performance Analysis

3.1. Approximate Achievable DL SE with DLCE

Rewrite (12) as
y dl , i , v 1 = a m , i i , v 1 s l i + n ˜ m , v 1 , i ,
where n ˜ m , v 1 , i = v = 1 , v v 1 V i a m , i i , v s l i + k = 1 , k i K v = 1 V k a m , i k , v s l k + n m , i is effective non-Gaussian noise. Assume s l i has zero mean and is independent of a m , i i , v , i , v . In non-coherent transmission, the signals transmitted from different CGs are independent [25]. According to [15], we can get
E n ˜ m , v 1 , i | a ^ m , i i , v 1 = E s l i * n ˜ m , v 1 , i | a ^ m , i i , v 1 = E a m , i i , v 1 * s l i * n ˜ m , v 1 , i | a ^ m , i i , v 1 = 0 .
According to the Cramér central limit theorem [15], we have:
a m , i k , v 1 = l = 1 L ρ dl , l k G l k , v 1 h l i * w ¯ m , l k d N C ϕ ¯ t i H ϕ ¯ t k l = 1 L z m , l i , v 1 γ l k β l i β l k , ς m , i k , v 1 , as L , k i , a m , i k , v 1 = l = 1 L ρ dl , l i G l i , v 1 h l i * w ¯ m , l i d N C l = 1 L z m , l i , v 1 γ l i , ς m , i i , v 1 , as L
where ς m , i k , v 1 l = 1 L z m , l k , v 1 2 β l i γ l k is the variance of the effective DL channel.
During SIC decoding at the UE side, all unknown signals are treated as interference. As decoding progresses, the interference diminishes due to the increase in known information. A multi-CPU CF system can essentially be viewed as smaller and more numerous AP clusters serving the UEs. Under the assumption of Gaussian inputs and treating the interference and noise as worst-case uncorrelated additive noise, according to the method in [15,16], the approximate achievable DL SE between UE i and A i , v n is given by
S E m , i , n τ d τ log 2 1 + l = 1 L z m , l i , v n γ l i 2 + K m , i , v n TS i , v n SS i , v n + σ 2 ,
where
K m , i , v n = τ d p l = 1 L z m , l i , v n 2 γ l i β l i 2 σ 2 + τ dp l = 1 L k = 1 K v = 1 V k z m , l k , v 2 γ l k β l i φ ¯ m , i , v n H φ ¯ m , k , v 2 , TS i , v n = k = 1 V i ς m , i i , v k + l = 1 L z m , l i , v k γ l i 2 + k = 1 , k i K v = 1 V k ς m , i k , v + ϕ ¯ t k H ϕ ¯ t i 2 l = 1 L z m , l k , v γ l k β l i β l k 2 , SS i , v n = k = 1 n l = 1 L z m , l i , v k γ l i 2 + K m , i , v k .
Therefore, in a multi-CPU CF system with DLCE, the achievable DL SE of UE i is given by
S E m , i = v = 1 V i S E m , i , v .

3.2. Achievable DL SE Without DLCE

When DLCE is not introduced, according to [4,21], the DL achievable SE between UE i and A i , v n is given by
SE m , i , n τ d τ log 2 1 + l = 1 L z m , l i , v n γ l i 2 TS i , v n SS i , v n + σ 2 ,
where
TS i , v n = k = 1 n ς m , i i , v k + l = 1 L z m , l i , v k γ l i 2 + k = 1 , k i K v = 1 V k ς m , i k , v + ϕ ¯ t k H ϕ ¯ t i 2 l = 1 L z m , l k , v γ l k β l i β l k 2 , SS i , v n = k = 1 n l = 1 L z m , l i , v k γ l i 2 .
Therefore, in a multi-CPU CF system without DLCE, the DL SE of UE i is given by
SE m , i = v = 1 V i SE m , i , v .
By comparing the DL SE of the multi-CPU cf system with and without DLCE, i.e, Equations (33) and (36), it can be observed that, after introducing DLCE, an additional term K m , i , v n appears in the numerator of the SE and a term k = 1 n K m , i , v k , is subtracted from the denominator. The increase in SE represents the gain from introducing DLCE, where both K m , i , v n and k = 1 n K m , i , v k are non-negative. Therefore, after introducing DLCE, the DL SE of the multi-CPU CF system improves.

3.3. FDPA Algorithm

According to the first principle of pilot allocation, when UE i 1 and UE i 2 use the same UL pilot sequence, their DL pilots must be orthogonal to each other. Assuming the system has C CPUs in total, then each UE requires at most C DL pilot sequences. To ensure correct SIC decoding and simplify the analysis, the aforementioned 2 C DL pilot sequences must be orthogonal. Similarly, when there are n UEs sharing the same UL pilot sequence, the number of orthogonal DL pilot sequences required is n C . Therefore, reducing the reuse of UL pilots can significantly reduce DL pilot overhead. Since K > τ p , UL pilot reuse is unavoidable in the CF systems. Observing the relationship between the number of UL pilots and the number of UEs, each UL pilot sequence is reused on average by K / τ up . Thus, to minimize DL pilot overhead, we propose the second principle of pilot allocation: constrain each UL pilot to be used by no more than the ceiling of K / τ up , i.e., the UL pilot reuse constraint is R c = K / τ up .
According to Figure 2 and Figure 3, when UEs using the same UL pilot sequence are located close to each other, it results in severe pilot contamination among all CGs serving these UEs. However, when only some of the CGs serving the UEs use the same DL pilots, the probability that all CGs serving the two UEs use exactly the same DL pilots is very low, typically causing pilot contamination only within a smaller region. Therefore, prioritizing the allocation of UL pilots, which has a greater impact, by assigning the same UL pilots to UEs that are far apart can reduce pilot contamination, improve channel estimation accuracy and enhance DL SE [19]. Based on this idea, to obtain a better pilot allocation scheme, we propose the FDPA algorithm, as shown in Figure 4 and Figure 5.
Figure 4. FDPA algorithm with R c = 2 .
Figure 5. FDPA algorithm with R c = 3 .
When the UL pilot reuse constraint is 2, as shown in Figure 4, select any UE and label it as UE i 1 . Identify the UE that is farthest from UE i 1 and label it as UE i 2 , i.e.,
i 2 = arg max i d i , i 1 ,
where d i , i 1 represents the physical distance between UE i and UE i 1 . Assign the same UL pilot sequence to both UE i 1 and UE i 2 , and allocate two sets of DL pilot sequences that are mutually orthogonal for all pilots. Next, randomly select another UE, different from UE i 1 and UE i 2 , and label it as UE i 3 . Identify the UE that is farthest from UE i 3 and label it as UE i 4 , i.e.,
i 4 = arg max i { i 1 , i 2 } d i , i 3 .
Assign the same UL pilot sequence, different from that of UE i 1 and UE i 2 , to both UE i 3 and UE i 4 , and allocate two sets of fully orthogonal DL pilot sequences to them. Repeat this process until all UEs are assigned pilot sequences.
The algorithm can be extended according to the UL pilot reuse constraint, as illustrated in Figure 5. When UL pilot reuse constraint is 3, randomly select a UE and label it as UE i 1 . Identify the UE that is farthest from UE i 1 and label it as UE i 2 . Then, find the UE that is farthest from both UE i 1 and UE i 2 , and label it as UE i 3 , i.e.,
i 3 = arg max i ( d i , 1 + d i , 2 ) .
Assign the same UL pilot sequence to UE i 1 , UE i 2 and UE i 3 , and allocate three sets of fully orthogonal DL pilot sequences to them. Continue this process until all UEs are assigned pilot sequences. For higher UL pilot reuse constraints, the method can be further extended accordingly.
The FDPA algorithm minimizes uplink pilot contamination to improve DL SE. However, it requires extensive global computations to search for the most distant UEs, which compromises the scalability of CF systems. In contrast, the random pilot allocation (RPA) algorithm avoids global computations by sequentially assigning pilots, resulting in lower implementation complexity and preserving the scalability of CF systems, albeit with relatively lower SE. In this paper, we theoretically evaluate the potential of the FDPA algorithm to improve DL SE by considering its application across the entire system. In practical scenarios, the FDPA algorithm can be applied in areas with high UE density such as schools, stations and shopping malls to maximize DL SE, while the RPA algorithm can be used in other regions to reduce system complexity. This approach limits global computation to smaller areas, ensuring system scalability.
It should be specifically noted that another major category of pilot allocation algorithms in CF systems is the greedy pilot allocation algorithm [13,15]. This type of algorithm is not scalable and leads to significant computational complexity. In current mainstream greedy pilot allocation algorithms, the UE with the lowest SE is first identified and all pilot pairs are assigned to this UE, with its SE being continuously recalculated until the most suitable pilot pair is found. In multi-CPU systems, each CG assigns different DL pilots to UEs. As a result, during one iteration of the greedy algorithm, τ up × C τ dp C pilot pairs must be computed, where C τ dp C is the combination of selecting C elements from a set of τ dp elements [15]. This creates enormous computational complexity, while the improvement in SE is relatively small, especially when using scalable power allocation algorithms [13,14,15]. Designing a simple and efficient greedy pilot allocation algorithm suitable for multi-CPU CF systems remains a challenge for future research.

3.4. AP Clustering Algorithms

In the previous section, we introduced DLCE and proposed the FDPA algorithm to improve DL SE, thereby reducing ECAP. In this section, we focus on further reducing ECAP by designing AP clustering algorithms suitable for multi-CPU CF systems.
The main objective of the AP clustering algorithm is to select APs that can effectively serve UEs. In a single-CPU CF system, where the system is assumed to have only one CPU, all APs are strictly phase-synchronized, and each selected AP participates in coherent transmission. Therefore, when clustering APs, only the large-scale fading coefficient needs to be considered. As long as the channel condition is favorable, the AP is selected to provide service to the UE, allowing the system to achieve significant macro-diversity gains. However, in a multi-CPU CF system, coherent transmission can only be performed among APs associated with the same CPU. Therefore, using the AP clustering algorithms that consider only the large-scale fading coefficient does not result in optimal performance. In this case, the CPU association of each AP must also be taken into account during the clustering process. If we consider switching APs from a CG with fewer APs to a CG with more APs, it is expected that higher macro-diversity gains can be achieved, potentially improving the DL SE.
We employ a widely used distributed heuristic power allocation algorithm, as described in [22]. To ensure system scalability, this algorithm allows each AP to focus solely on the UEs it serves. Each AP operates at full power, and among the UEs it serves, more DL power is allocated to those with better channel conditions. If an AP does not serve any UEs or serves only a few UEs, it indicates that the AP is far from most UEs. In such cases, if the AP serves a UE with poor channel conditions, high transmit power would be required while delivering low data rates, leading to excessive energy consumption. Therefore, the characteristics of the power allocation algorithm we use must also be considered when clustering APs. If the numbers of UEs served by the switching AP and switched AP are kept similar, significant fluctuations in the transmit power of APs for a particular UE can be minimized. This approach helps avoid scenarios where SE is improved at the expense of increased ECAP.
Based on the above discussion, two AP clustering algorithms—BCSI and BCGS—are proposed, as shown in Figure 6. Without loss of generality, this figure illustrates the AP clustering algorithm in a 4-CPU setup, where each colored region represents an area managed by a specific CPU. When AP l belongs to the area managed by the first CPU, it is denoted as l B 1 , where B 1 is the set of APs managed by the first CPU.
Figure 6. BCSI and BCGS algorithms.
First, we introduce the BCSI algorithm, as shown in Figure 6a,b:
(Step 1.) Taking UE i as an example, select Q APs with the largest large-scale fading coefficients between UE i from all APs to form L i ;
(Step 2.) Divide the APs in L i into several CGs based on the association between the APs and CPUs, denoted as A i , v , v = 1 , , V i .
(Step 3.) We first select the CG with the fewest APs from A i , v , v = 1 , , V i , denoted as A i , v n , where the number of APs in this set is A i , v n and this set belongs to B v n . The algorithm terminates when A i , v n > Υ , where Υ is the threshold for the minimum number of APs in a CG. When A i , v n Υ , we select A i , v n APs with the largest large-scale fading coefficients from all APs that do not belong to B v n and have not yet served UE i, ensuring that the number of UEs served by the switched APs is greater than or equal to the number of UEs served by the switching APs. Finally, all APs in A i , v n stop serving UE i. Next, we select the CG with the second-fewest number of APs and repeat the above process, continuing until the number of APs in all CGs is greater than or equal to Υ . Additionally, if the number of APs required for switching in a CG is too large and exceeds the number of APs available for switching within the CPU management area of the larger CG, then all APs in that CG will not be switched, and the AP clustering algorithm will terminate.
In CF systems, coherent transmission is employed to achieve macro-diversity gain and thereby improve SE. In multi-CPU CF systems, the APs in a cluster are further divided into multiple CGs, which reduces the macro-diversity gain. Using the BCSI algorithm, APs from smaller CGs are switched to one or more of the bigger CGs, increasing the size of the CGs to achieve greater macro-diversity gain and improve SE. Two key methods to enhance SE are using APs with better channel conditions and involving more APs in coherent transmission [4]. The BCSI algorithm balances both of these factors, but in CF systems, macro-diversity gain plays a more significant role in improving SE [14]. However, the macro-diversity gain of the aforementioned algorithm is not fully maximized. Therefore, we propose the following BCGS algorithm, which is shown in Figure 6a,c:
(Step 1.) Taking UE i as an example, the steps 1 and 2 of the BCSI algorithm are used for preliminary clustering and grouping of APs.
(Step 2.) We select the CG with the fewest APs from A i , v , v = 1 , , V i , denoted as A i , v n , where the number of APs in this set is A i , v n . The algorithm terminates when A i , v n > Υ . When A i , v n Υ , we select the CG with the most APs from A i , v , v = 1 , , V i , denoted as A i , v m , where the number of APs in this set is A i , v m and this set belongs to B v m . We select each AP in B v m A i , v m to replace the AP in A i , v n to serve the UE i, based on their large-scale fading coefficients in descending order, ensuring that the number of UEs served by the switched AP is greater than or equal to the number served by the switching AP. When the number of APs in B v m A i , v m is less than A i , v n or none of the APs meet the selection criteria, we select APs with large-scale fading coefficients that have not yet served UE i from the CPU management area of the CG with the second-largest number of APs, just below A i , v m , and add them to L i . This process continues iteratively until A i , v n APs have been switched. Next, we select the CG with the second-fewest APs and repeat the above procedure, continuing until the number of APs in all CGs exceeds Υ . Furthermore, if the number of APs that need to be switched from a CG exceeds the number of available APs that can be switched within the CPU management area of the larger CG, then no APs from that CG will be switched and the AP clustering algorithm will terminate.

4. Numerical Results

We adopt the same CPU deployment method as described in [3,4] to construct multi-CPU CF systems with both 4-CPU and 9-CPU setups. The coverage area of the CF system is a square region centered at the origin, with its sides parallel to the horizontal and vertical axes of the coordinate system. In the single-CPU setup, referred to as the S-CPU setup, the CPU is placed at the origin. For the 4-CPU setup, the CPUs are located at the coordinates [−250, 250] m, [250, 250] m, [250, −250] m and [−250, −250] m, respectively. In the 9-CPU setup, the CPUs are placed at the coordinates [1000/3, 1000/3] m, [0, 1000/3] m, [−1000/3, 1000/3] m, [1000/3, 0] m, [0, 0] m, [−1000/3, 0] m, [1000/3, −1000/3] m, [0, −1000/3] m and [−1000/3, −1000/3] m, respectively. The wireless channel model is consistent with [19]. According to [18], in a CF system, only about 10% of the total APs provide effective service to the UEs. This conclusion is applied in this study to limit the number of APs in each AP cluster. All simulations were conducted in MATLAB 2021a. Unless otherwise stated, other simulation parameters refer to the literature in [3,4,19] and these parameters are summarized in Table 1 below.
Table 1. System Parameters.
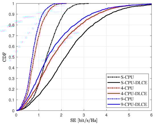
Figure 7 shows the cumulative distribution functions (CDF) of the DL SE for each UE in the CF system with and without DLCE (It is important to note that for ease of analysis, we introduce the first principle of pilot allocation, which will reduce the flexibility of pilot allocation, consequently impairing the DL SE. Nevertheless, based on the simulations presented in this paper, it is still demonstrated that the introduction of DLCE can significantly improve the DL SE. A quantitative analysis of the SE loss caused by the reduced flexibility in pilot allocation due to the first principle of pilot allocation is left for our future work). For simplicity, in Figure 7, the label “DLCE” indicates its inclusion, and the absence of the label means DLCE is not applied. The simulation adopts the AP clustering algorithm proposed in [18], where each UE selects Q APs with the largest large-scale fading coefficients to serve it. When DLCE is not introduced, there is no DL pilot overhead, so τ d = 190 . We employ the proposed two pilot assignment principles to constrain pilot allocation scheme, based on which the RPA algorithm is used. When DLCE is introduced, the desired signal is enhanced and the interference signal is suppressed. As a result, the DL SE of each UE in the CF system can be significantly improved, achieving approximately a twofold performance enhancement under various CPU setups. Each AP in an AP cluster is divided into multiple CGs based on its affiliation with the CPUs. When the number of CPUs is 1, all APs belong to the same CPU and all APs jointly perform coherent transmission for DL transmission, achieving the maximum macro-diversity gain. As the number of CPUs increases, the AP cluster is more likely to be divided into more CGs and each AP can only perform coherent transmission within its CG. In this case, the macro-diversity gain is reduced. Therefore, the DL SE in the CF system with a 9-CPU setup is lower than that in the system with a 4-CPU setup. The simulation results verify that introducing DLCE can greatly improve DL SE. By increasing the DL pilot overhead and computational complexity on the UE side, introducing DLCE into CF systems is an effective solution for enabling CF systems to meet the extremely high data rate and ultra-low latency requirements of beyond 5G. This has profound implications for fields that demand high data rate, such as autonomous driving and remote healthcare. Therefore, in the subsequent simulation experiments of this paper, unless otherwise specifically noted or stated, DLCE is assumed by default.
Figure 7. The DL SE with and without DLCE.
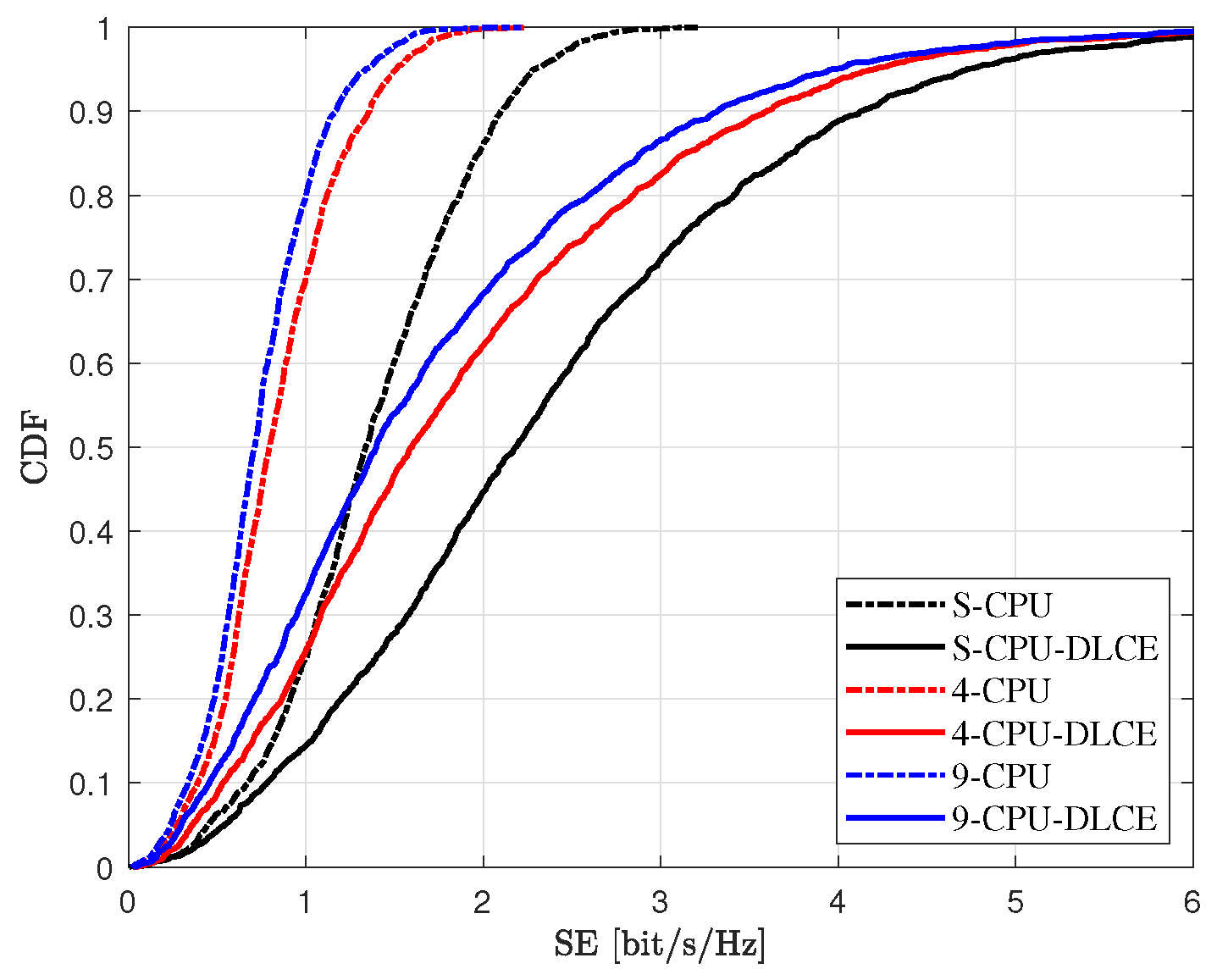
Figure 8 shows the DL SE of each UE when using the RPA and FDPA algorithms, respectively. We adopt the AP clustering algorithm proposed in [18]. When the RPA algorithm is used, nearby UEs may employ the same UL pilot, leading to severe UL pilot contamination, which reduces the accuracy of the estimated effective channel and results in lower SE. On the other hand, when the FDPA algorithm is used, it minimizes the use of the same UL pilot for nearby UEs, thereby reducing UL pilot contamination and ensuring more accurate estimation of the effective DL channel [20], resulting in higher SE. We conduct simulations of K = 12 , τ up = 6 with R c = 2 and K = 12 , τ up = 4 with R c = 3 separately for comparison. For simplicity, RPA-Rc=2 indicates the use of the RPA algorithm with R c set to 2 and the same applies to other cases. The more pilot reuse occurs, the more severe the pilot contamination becomes, which leads to less accurate estimation of the effective DL channel and lower DL SE for each UE. Therefore, when R c = 3 , the DL SE of each UE is lower than when R c = 2 . It is worth noting that in the CF system, where all UEs share the same frequency band resources, even a small improvement in SE can result in a significant increase in data rates. So the FDPA algorithm plays an important role in enhancing DL data rates, particularly in densely populated urban environments. In the case where the AP clustering scheme is fixed, higher SE is beneficial for reducing ECAP. Therefore, the FDPA algorithm can reduce ECAP. In the subsequent simulation experiments, we used the FDPA algorithm exclusively for pilot allocation.
Figure 8. The DL SE using RPA and FDPA algorithms.
Figure 9 shows the average DL SE when using different AP clustering algorithms. To more comprehensively demonstrate the performance of our proposed AP clustering algorithms in reducing ECAP, we remove the consideration of the characteristics of heuristic power allocation in the proposed BCSI and BCGS algorithms. As a result, these algorithms have fewer constraints in AP switching, allowing for more flexibility in selecting APs that provide higher SE. We use BCSI-SE and BCGS-SE to denote these two algorithms, emphasizing their ability to maximize macro-diversity gain. Additionally, to clearly distinguish between BCSI-SE and BCGS-SE, since our proposed AP clustering algorithms are specifically designed to reduce ECAP, we refer to them as BCSI-ECAP and BCGS-ECAP in the simulation comparisons. The baseline represents the SE obtained by using the AP clustering algorithm in [18], where each UE selects Q APs with the largest large-scale fading coefficients to serve it. In multi-CPU setups, APs within an AP cluster are forced to group according to their CPU affiliations, which weakens the macro-diversity gain. Due to not being constrained by the characteristics of the heuristic distributed power allocation algorithm, the size of CGs can be maximized, significantly increasing the macro-diversity gain. Therefore, the SE of BCSI-SE and BCGS-SE is higher than that of the BCSI-ECAP and BCGS-ECAP algorithms. Comparing the BCSI and BCGS algorithms, the former focuses on the impact of CSI in enhancing SE, while the latter emphasizes the importance of macro-diversity gain. From Figure 9a,b, it can be observed that under different CPU setups, the SE of the BCGS algorithm is consistently slightly higher than that of the BCSI algorithm, especially when the minimum AP number in a CG is very small or very large. The reason is that when the minimum AP number in a CG is very small or very large, fewer APs need to be switched. In these cases, the SE approaches the baseline. According to the complete square formula, for CGs that already have a high macro-diversity gain, adding fewer APs can lead to greater macro-diversity gain. So the BCGS algorithm prioritizes switching APs to the CG with the highest macro-diversity gain, making it more effective at improving SE than BCSI. Comparing Figure 9a,b, which show different CPU setups, we observe that with fewer CPUs, UEs can achieve a higher macro-diversity gain, resulting in higher SE. This conclusion is consistent with the results from Figure 7. Moreover, when the number of CPUs is small, each CPU manages a large number of APs. For a UE located at a certain position, only a few APs can provide effective service. Both the BCSI and BCGZ algorithms inevitably involve some APs that cannot provide effective service, resulting in a similar SE for both algorithms. However, as the number of CPUs increases, the number of APs managed by each CPU decreases. Additionally, when a CPU provides service to a UE, all the APs it manages are more likely to provide effective service. Based on this fact, the BCGZ algorithm progressively enlarges the CG size to its maximum when serving the UE to obtain greater macro-diversity gain. As a result, the SE of BCGZ-ECAP is higher than that of BCSI-ECAP, especially when the number of CPUs is large. This analysis can be validated by Figure 9a,b.
Figure 9. DL SE of different AP clustering algorithms.
Figure 10 shows the average ECAP when using different AP clustering algorithms. For an objective and fair comparison, the ECAP of all AP clustering algorithms is measured based on the ECAP generated by transmitting the same number of files within 1 s as the AP clustering algorithm proposed in [24]. The ECAP generated within 1 s by the AP clustering algorithm in [24] is used as the benchmark. The ECAP of a multi-CPU CF system is mainly composed of two parts: the energy consumption of DL wireless transmission and the energy consumption of AP circuit components [4]. Typically, for a certain number of files, higher SE results in shorter transmit times and reduced AP working times, which is beneficial for lowering ECAP. However, according to the classic heuristic power allocation algorithm used in this paper, each AP operates at full power. When switching an AP with good channel conditions for UE i to an AP with poorer conditions to achieve macro-diversity gain, if the switched AP serves only a small number of UEs, despite high path loss, most of its energy will still be used to serve UE i, which leads to an increase in ECAP. BCSI-SE and BCGS-SE algorithms do not account for this situation, resulting in higher ECAP. Particularly in the 9-CPU setup, compared to the 4-CPU setup, each AP cluster is divided into more CGs and each CPU manages fewer APs, limiting the macro-diversity gain after AP switching. The combination of lower SE and the characteristics of the heuristic power allocation algorithm causes higher ECAP in 9-CPU setup. In contrast, BCSI-ECAP and BCGS-ECAP algorithms take the characteristics of the heuristic power allocation algorithm into consideration. When an AP serves multiple UEs, the total DL power is divided and allocated to each UE. By selecting APs with a similar number of served UEs for switching, the power allocation difference between the switching and switched APs are minimized. Although the path loss of the switched AP may be greater than that of the switching AP, the larger macro-diversity gain reduces AP working times significantly. Therefore, using BCSI-ECAP and BCGS-ECAP algorithms can effectively reduces ECAP. Comparing the 4-CPU and 9-CPU setups, the 4-CPU setup offers higher SE, resulting in lower average ECAP. Moreover, as discussed in Figure 9, when the number of CPUs is large, the SE of BCGZ-ECAP is higher than that of BCSI-ECAP. The APs managed by the CPUs serving the UE are closer to the UE, providing effective service, without the occurrence of APs with high transmit energy consumption and poor service quality. Therefore, when the number of CPUs is large, the ECAP of BCGZ-ECAP is lower than that of BCSI-ECAP, as can be validated by the comparison of Figure 10a,b. It is important to note that in a CF system, any performance improvement is highly significant, as the system is extremely large in scale, and performance enhancements can lead to substantial benefits. Our proposed AP clustering algorithm not only reduces coordination overhead and computational complexity by dividing multiple APs into smaller clusters but also effectively lowers ECAP. Its ease of deployment and energy-efficient design make CF systems better suited to meet the demands of beyond 5G.
Figure 10. ECAP of different AP clustering algorithms.
Based on Figure 7, it can be observed that after introducing DLCE, the SE improves by approximately twofold compared to the system without DLCE. Since ECAP is primarily determined by the DL SE, as shown in Figure 11, the ECAP with DLCE is approximately twice as high as that without DLCE when transmitting the same amount of data. When DLCE is not introduced, the very low SE leads to a much longer transmit time, thereby causing a significant increase in both the energy consumption of DL wireless transmission and the energy consumption of AP circuit components. As a result, the ECAP without DLCE is far higher than that with DLCE. Regardless of whether DLCE is introduced, the BCSI and BCGS algorithms contributes to reduce ECAP. In the single-CPU setup, all APs are managed by the same CPU and the entire network of APs is strictly synchronized, allowing for maximum-range coherent transmission to achieve substantial macro-diversity gains. Additionally, since there are no APs that provide poor service with high transmit power, each AP will only provide high transmit power to the UEs with good channel conditions, resulting in better service quality. Therefore, in the single-CPU setup, selecting the APs with the best channel conditions to form an AP cluster for each UE can achieve the highest SE and the lowest ECAP. Moreover, since the single-CPU system only needs to select the APs with the best signal conditions, there is no need for AP grouping as in the multi-CPU setup, making the AP clustering algorithm simpler. Despite these advantages, at present, the single-CPU system is not scalable and cannot achieve network-wide synchronization, and thus can only be used for simplified theoretical analysis. In conclusion, combining the introduction of DLCE with BCSI and BCGS algorithms can greatly reduce ECAP. This combination can greatly enhance SE and effectively utilize the characteristics of power allocation algorithms, thereby reducing ECAP and enabling multi-CPU CF systems to meet the green communication demands of beyond 5G.
Figure 11. The DLCE of the AP clustering algorithm with and without DLCE introduced.

5. Conclusions

In this paper, to address the issue of high ECAP in multi-CPU CF systems, we introduced DLCE, which enables UEs to use instantaneous CSI for DL decoding, significantly improving the DL SE for each UE. Subsequently, we proposed the FDPA algorithm to reduce pilot contamination, further enhancing DL SE. Lastly, we presented the BCSI and BCGS algorithms, leveraging the characteristics of the classic heuristic distributed power allocation algorithm. These approaches, combined through the AP clustering algorithm, achieved higher macro-diversity gains in multi-CPU CF systems while avoiding inefficient APs that consume high energy but provide low-quality service. Simulation results demonstrated that the combination of DLCE, FDPA, and the proposed AP clustering algorithm can greatly reduce ECAP. Additionally, as the SE in CF systems benefits from macro-diversity gain, the BCGS algorithm performed slightly better than the BCSI algorithm in terms of both higher SE and lower ECAP, especially in scenarios with a larger number of CPUs.
The symbol-level precoding algorithm can effectively reduce system energy consumption but requires instantaneous CSI for DL decoding, which is not applicable in conventional CF systems that rely on DL statistical CSI for decoding. This paper investigates the introduction of DLCE in multi-CPU CF systems, enabling UEs to obtain instantaneous CSI for decoding, thus laying the foundation for the application of symbol-level precoding in such systems. Based on our findings, designing suitable symbol-level precoding schemes to further reduce ECAP in multi-CPU CF systems, while ensuring scalability, is a topic worthy of further investigation.

Author Contributions

Conceptualization, H.Z. and X.W.; methodology, H.Z. and X.W.; software, H.Z.; validation, X.W.; formal analysis, H.Z.; investigation, X.W.; resources, H.Z.; data curation, H.Z.; writing—original draft preparation, H.Z. and X.W.; writing—review and editing, H.Z. and X.W.; visualization, H.Z. and X.W.; supervision, H.L.; project administration, H.L.; funding acquisition, H.L. All authors have read and agreed to the published version of the manuscript.

Funding

This research received funding from the National Natural Science Foundation of China under Grant No. 62271395.

Data Availability Statement

The data presented in this study are available on request from the corresponding author.

Conflicts of Interest

The authors declare no conflicts of interest.

Abbreviations

The following abbreviations are used in this manuscript:
APAccess Point
BCGSBased on Coherent Group Size
BCSIBased on Channel State Information
CFCell-free
CGCoherent Group
CPUCentral Processing Unit
CSIChannel State Information
DLDownlink
DLCEDownlink Channel Estimation
ECAPEnergy Consumption of Access Points
FDPAFarthest Distance Pilot Allocation
MIMOMultiple-Input Multiple-Output
MMSEMinimum Mean Square Error
MRTMaximum Ratio Transmission
RPARandom Pilot Assignment
SESpectral Efficiency
SICSuccessive Interference Cancellation
TDDTime-Division Duplex
UEUser Equipment
ULUplink

References

  1. Nayebi, E.; Ashikhmin, A.; Marzetta, T.L.; Yang, H. Cell-Free Massive MIMO systems. In Proceedings of the 2015 49th Asilomar Conference on Signals, Systems and Computers, Pacific Grove, CA, USA, 8–11 November 2015; pp. 695–699. [Google Scholar] [CrossRef]
  2. Buzzi, S.; D’Andrea, C. Cell-Free Massive MIMO: User-Centric Approach. IEEE Wirel. Commun. Lett. 2017, 6, 706–709. [Google Scholar] [CrossRef]
  3. Antonioli, R.P.; Braga, I.M.; Fodor, G.; Silva, Y.C.; Freitas, W.C. Mixed Coherent and Non-Coherent Transmission for Multi-CPU Cell-Free Systems. In Proceedings of the ICC 2023—IEEE International Conference on Communications, Rome, Italy, 28 May–1 June 2023; pp. 1068–1073. [Google Scholar] [CrossRef]
  4. Zhang, H.; Li, H.; Liu, T.; Dong, L.; Shi, G.; Gao, X. Lower energy consumption in cache-aided cell-free massive MIMO systems. Digit. Signal Process. 2023, 135, 103936. [Google Scholar] [CrossRef]
  5. Kim, S.; Ahn, S.; Park, J.; Youn, J.; Kwon, Y.; Cho, S. Revisiting the Coverage Boundary of Multi-CPU Cell-Free Massive MIMO: CPU Cooperation Aspect. In Proceedings of the ICC 2023—IEEE International Conference on Communications, Rome, Italy, 28 May–1 June 2023; pp. 1022–1028. [Google Scholar] [CrossRef]
  6. Pan, C.; Ren, H.; Elkashlan, M.; Nallanathan, A.; Hanzo, L. The Non-Coherent Ultra-Dense C-RAN Is Capable of Outperforming Its Coherent Counterpart at a Limited Fronthaul Capacity. IEEE J. Sel. Areas Commun. 2018, 36, 2549–2560. [Google Scholar] [CrossRef]
  7. Shi, G.; Aboagye, S.; Ngatched, T.M.N.; Dobre, O.A.; Li, Y.; Cheng, W. Secure Transmission in NOMA-Aided Multiuser Visible Light Communication Broadcasting Network With Cooperative Precoding Design. IEEE Trans. Inf. Forensics Secur. 2022, 17, 3123–3138. [Google Scholar] [CrossRef]
  8. Elhoushy, S.; Ibrahim, M.; Hamouda, W. Cell-Free Massive MIMO: A Survey. IEEE Commun. Surv. Tutor. 2022, 24, 492–523. [Google Scholar] [CrossRef]
  9. Hochwald, B.; Marzetta, T.; Tarokh, V. Multiple-antenna channel hardening and its implications for rate feedback and scheduling. IEEE Trans. Inf. Theory 2004, 50, 1893–1909. [Google Scholar] [CrossRef]
  10. Ammar, H.A.; Adve, R.; Shahbazpanahi, S.; Boudreau, G.; Srinivas, K.V. User-Centric Cell-Free Massive MIMO Networks: A Survey of Opportunities, Challenges and Solutions. IEEE Commun. Surv. Tutor. 2022, 24, 611–652. [Google Scholar] [CrossRef]
  11. Chen, Z.; Björnson, E. Channel Hardening and Favorable Propagation in Cell-Free Massive MIMO With Stochastic Geometry. IEEE Trans. Commun. 2018, 66, 5205–5219. [Google Scholar] [CrossRef]
  12. Ngo, H.Q.; Larsson, E.G. No Downlink Pilots Are Needed in TDD Massive MIMO. IEEE Trans. Wirel. Commun. 2017, 16, 2921–2935. [Google Scholar] [CrossRef]
  13. Ngo, H.Q.; Ashikhmin, A.; Yang, H.; Larsson, E.G.; Marzetta, T.L. Cell-Free Massive MIMO Versus Small Cells. IEEE Trans. Wirel. Commun. 2017, 16, 1834–1850. [Google Scholar] [CrossRef]
  14. Demir, Ö.T.; Björnson, E.; Sanguinetti, L. Foundations of User-Centric Cell-Free Massive MIMO. Found. Trends® Signal Process 2021, 14, 162–472. [Google Scholar] [CrossRef]
  15. Interdonato, G.; Ngo, H.Q.; Frenger, P.; Larsson, E.G. Downlink Training in Cell-Free Massive MIMO: A Blessing in Disguise. IEEE Trans. Wirel. Commun. 2019, 18, 5153–5169. [Google Scholar] [CrossRef]
  16. Interdonato, G.; Ngo, H.Q.; Larsson, E.G.; Frenger, P. How Much Do Downlink Pilots Improve Cell-Free Massive MIMO? In Proceedings of the 2016 IEEE Global Communications Conference (GLOBECOM), Washington, DC, USA, 4–8 December 2016; pp. 1–7. [Google Scholar] [CrossRef]
  17. Jin, S.N.; Yue, D.W.; Nguyen, H.H. Spectral and Energy Efficiency in Cell-Free Massive MIMO Systems Over Correlated Rician Fading. IEEE Syst. J. 2021, 15, 2822–2833. [Google Scholar] [CrossRef]
  18. Ngo, H.Q.; Tran, L.N.; Duong, T.Q.; Matthaiou, M.; Larsson, E.G. On the Total Energy Efficiency of Cell-Free Massive MIMO. IEEE Trans. Green Commun. Netw. 2018, 2, 25–39. [Google Scholar] [CrossRef]
  19. Björnson, E.; Sanguinetti, L. Scalable Cell-Free Massive MIMO Systems. IEEE Trans. Commun. 2020, 68, 4247–4261. [Google Scholar] [CrossRef]
  20. Interdonato, G.; Karlsson, M.; Björnson, E.; Larsson, E.G. Local Partial Zero-Forcing Precoding for Cell-Free Massive MIMO. IEEE Trans. Wirel. Commun. 2020, 19, 4758–4774. [Google Scholar] [CrossRef]
  21. Björnson, E.; Hoydis, J.; Sanguinetti, L. Massive MIMO Networks: Spectral, Energy, and Hardware Efficiency. Found. Trends® Signal Process 2017, 11, 154–655. [Google Scholar] [CrossRef]
  22. Interdonato, G.; Frenger, P.; Larsson, E.G. Scalability Aspects of Cell-Free Massive MIMO. In Proceedings of the ICC 2019—2019 IEEE International Conference on Communications (ICC), Shanghai, China, 20–24 May 2019; pp. 1–6. [Google Scholar] [CrossRef]
  23. Zuo, J.; Zhang, J.; Yuen, C.; Jiang, W.; Luo, W. Multicell Multiuser Massive MIMO Transmission with Downlink Training and Pilot Contamination Precoding. IEEE Trans. Veh. Technol. 2016, 65, 6301–6314. [Google Scholar] [CrossRef]
  24. Doan, T.X.; Ngo, H.Q.; Duong, T.Q.; Tourki, K. On the Performance of Multigroup Multicast Cell-Free Massive MIMO. IEEE Commun. Lett. 2017, 21, 2642–2645. [Google Scholar] [CrossRef]
  25. Pinto Antonioli, R.; Braga, I.M.; Fodor, G.; Silva, Y.C.B.; de Almeida, A.L.F.; Freitas, W.C. On the Energy Efficiency of Cell-Free Systems With Limited Fronthauls: Is Coherent Transmission Always the Best Alternative? IEEE Trans. Wirel. Commun. 2022, 21, 8729–8743. [Google Scholar] [CrossRef]
Disclaimer/Publisher’s Note: The statements, opinions and data contained in all publications are solely those of the individual author(s) and contributor(s) and not of MDPI and/or the editor(s). MDPI and/or the editor(s) disclaim responsibility for any injury to people or property resulting from any ideas, methods, instructions or products referred to in the content.

Article Metrics

Citations

Article Access Statistics

Multiple requests from the same IP address are counted as one view.