Next Article in Journal
Fuel Cell-Based Distributed Robust Optimal Scheduling for Combined Heat and Power Supply
Previous Article in Journal
Rethinking Data Democratization: Holistic Approaches Versus Universal Frameworks
 
 
Font Type:
Arial Georgia Verdana
Font Size:
Aa Aa Aa
Line Spacing:
Column Width:
Background:
Article

Hardware-in-the-Loop Simulations and Experiments of Anti-Lock Braking System for Cornering Motorcycles

1
Department of Vehicle Engineering, National Taipei University of Technology, Taipei 10608, Taiwan
2
College of Electromechanical Engineering, Ningde Normal University, Ningde 352100, China
*
Author to whom correspondence should be addressed.
Electronics 2024, 13(21), 4171; https://doi.org/10.3390/electronics13214171
Submission received: 24 September 2024 / Revised: 18 October 2024 / Accepted: 21 October 2024 / Published: 24 October 2024

Abstract

This study focuses on developing an advanced anti-lock braking system (ABS) for motorcycles, specifically targeting the challenges associated with cornering. Significant roll angles during motorcycle turns can often lead to slipping and the loss of control, increasing the risk of accidents. Existing ABSs primarily address longitudinal dynamics and fail to provide optimal braking control during cornering. To address this gap, this study utilizes BikeSim and MATLAB/Simulink for simulations and experiments to design an ABS that adapts to varying roll angles by analyzing motorcycle dynamics during cornering. A tire model is constructed using the Magic Formula to examine both longitudinal and lateral characteristics under different conditions, which helps determine the current tire slip set-point. The controller, designed with a finite-state machine combined with bang-off-bang control, uses tire slip as the control variable. It adjusts the slip set-point based on changes in roll angle and sends control signals to the hydraulic actuator to regulate braking pressure, ensuring optimal braking performance without the loss of control. Finally, hardware-in-the-loop experiments are conducted, with real-time control commands sent to the hardware platform’s actuator via BikeSim RT. These experiments validate the effectiveness of the designed controller, significantly enhancing braking stability during cornering and improving safety for motorcycle riders.

1. Introduction

Motorcycles have the advantages of being economical and highly maneuverable, allowing them to easily navigate through congested urban streets, effectively improving travel efficiency. As a result, many countries rely on motorcycles as their primary means of short-distance commuting. However, due to their static instability, especially when braking abruptly during cornering to avoid sudden obstacles, the rider can easily lose balance because the motorcycle is in a tilted position, leading to accidents from the loss of control. The existing ABS is designed only for straight-line braking and cannot effectively be applied during turns. Therefore, there has been extensive international research on motorcycle braking control during cornering.
In terms of motorcycle dynamic modeling, Sharp [1] first simplified a two-wheeled vehicle into a rigid body model with four degrees of freedom in 1971 and derived three main dynamic characteristics: wobble, weave, and capsize. Cossalter et al. [2] proposed an 11-degree-of-freedom nonlinear dynamic model, using theoretical analysis and experimental data to explore the dynamic behavior of motorcycles in detail. Bonci et al. [3] developed a motorcycle dynamic model using equations of motion (EOMs), deriving the motion equations via the Lagrange formula and explaining tire–road dynamics with the Magic Formula. Arricale et al. [4] used nonlinear second-order ordinary differential equations (ODEs) to derive a nonlinear model and studied stability control using a PID control method. Rubio et al. [5] compared four braking dynamic models and verified their accuracy, providing theoretical support for the subsequent braking system design.
In the research of anti-lock braking systems, Melnikov et al. [6] proposed an improved ABS control algorithm, which adjusts brake pressure in real time by estimating tire lateral force changes, offering a better solution compared to traditional ABSs. Chereji et al. [7] developed a sliding mode control ABS algorithm. The design is simple, robust, and effectively improves motorcycle braking safety. Latreche et al. [8] combined fuzzy logic and sliding mode control (FSMC) to effectively reduce waver and improve the stability of slip control. Rafatnia et al. [9] combined GNSS and IMU systems to improve vehicle speed estimation algorithms, which enhances ABS control accuracy. This approach resolves the common errors in traditional ABSs, ensuring a better control of tire slip and preventing wheel lock-up. Pretagostini et al. [10] discussed several research studies and applications of slip control in anti-lock braking systems (ABSs), highlighting that nonlinear model predictive control (NMPC) offers better performance than traditional ABSs in terms of braking distance and stability, but it requires higher computational capability.
In terms of cornering braking control, Tanelli et al. [11] analyzed the dynamics during cornering through a tire model and adjusted the slip set-point according to the change in the roll angle. Abumi et al. [12] designed a camber angle disturbance observer (CADO) based on Lyapunov theory to stabilize the vehicle body dynamics. Baumann et al. [13] used a model predictive control allocation (MPCA) algorithm to optimize the braking force distribution between the front and rear wheels and improve stability and safety during cornering. Zhang et al. [14] adopted fuzzy PID control and verified the control effect in cornering braking through simulation.
In terms of hardware-in-the-loop experiments, Chen et al. [15] built a hardware-in-the-loop (HIL) simulation experiment for real-time experimental testing based on an asymmetric barrier Lyapunov function (ABLF) to verify the control effect of the anti-lock braking system under different road friction coefficients. Aksjonov et al. [16] used an electro-hydraulic braking (EHB) module connected to a dSPACE real-time simulation environment to establish a hardware-in-the-loop (HIL) platform and validated the effectiveness of an open-loop fuzzy anti-lock braking system. Chen et al. [17] used a proportional hydraulic braking module (PEHB) and applied it to the experiment of the anti-lock braking system of motorcycles. A simulation platform was established with a hydraulic pressure model for testing and verification. Similarly, Challa et al. [18] validated the rule-based anti-lock braking system (ABS) algorithm through HIL experiments, demonstrating its effectiveness in implementing brake torque control and preventing wheel lock-up during testing.
Based on the above research, numerous studies have provided valuable references for this study. The motorcycle dynamic models proposed in references [1,2,3,4,5] have laid a foundation for researching vehicle braking systems. Various braking systems proposed in references [6,7,8,9,10] control tire slip to achieve maximum longitudinal force. However, these methods focus only on longitudinal braking and fail to consider additional factors that emerge during motorcycle cornering. When braking during cornering, the effect of the roll angle on the tires must be considered. In references [11,12,13,14], the authors explored the relationship between roll angle and tire dynamics and proposed various control methods for cornering braking. These studies emphasized that the slip set-point changes in response to variations in the roll angle. These researchers only conducted simulation analyses and lacked experimental verification. Therefore, references [15,16,17,18] established a hardware-in-the-loop (HIL) simulation platform and conducted experiments to verify the braking control system’s development.
Several studies have utilized Simulink to build vehicle models and conduct HIL experiments. While these models are useful, they tend to be simpler and more linear, lacking the realism and accuracy required for more complex simulations. The authors of references [11] and [14] employed the BikeSim vehicle model, which is based on detailed vehicle dynamics and effectively simulates the real-world dynamic behavior of motorcycles. However, these studies did not directly integrate actual ABS actuators, limiting their ability to accurately simulate the hydraulic response variations produced by the actuators under real conditions. Therefore, the major contribution of this study is the integration of BikeSim RT with OPAL-RT to conduct HIL experiments on a hardware platform equipped with an actual ABS actuator. This set-up provides experimental results that closely reflect actual conditions and enhances the stability of motorcycle braking during cornering, thereby improving rider safety on the road.
This paper is organized as follows: In Section 2, a motorcycle cornering model is proposed and analyzed. In Section 3, the slip set-point and controller system are determined. In Section 4, the HIL experiment is established to validate the effectiveness of the proposed anti-lock braking system. In Section 5, an analysis of the experimental results is conducted. In Section 6, conclusions are drawn.

2. Motorcycle Cornering Model

2.1. Motorcycle Dynamic Model

The ISO coordinate system is used in this study to describe the vehicle’s position and orientation, as illustrated in Figure 1. The vehicle’s forward direction is along the x-axis, with the roll angle ϕ representing the rotation around the x-axis. The left side of the vehicle aligns with the y-axis, where the pitch angle θ represents the rotation around the y-axis. The upward direction corresponds to the z-axis, with the yaw angle ψ representing the rotation around the z-axis. These axes and angles are used to describe the dynamic behavior of the motorcycle.
To analyze the dynamic behavior of a motorcycle during cornering, this study adopts the “Bicycle Model”, refined by Liang et al. [19], to describe the vehicle’s longitudinal, lateral, and yaw motions. The model is illustrated in Figure 2, with the corresponding equations provided in Equations (1)–(3).
F x = F x f cos δ f + F x r F y f sin δ f
F y = m ( V y ˙ + V x ψ ˙ )
M z = I z ψ ¨ = l f [ F y f cos ( δ f ) + F x f sin ( δ f ) ] l r F y r
where V x and V y represent the vehicle’s longitudinal and lateral speeds, respectively; F x f and F x r are the longitudinal forces on the front and rear axles, while F y f and F y r denote the lateral forces; l is the vehicle’s wheelbase, with l f and l r indicating the distances from the vehicle’s center of mass to the front and rear axles, respectively; δ f is the steering angle of the front axle; ψ ˙ is the yaw rate; and α f and α r are the slip angles of the front and rear wheels.
Unlike four-wheeled vehicles, motorcycles generate a tilting moment from gravity and a righting moment from centrifugal force during cornering. The tilting moment causes the motorcycle to lean toward the ground, while the righting moment works to bring it back to an upright position (perpendicular to the ground). This interaction results in the motorcycle adopting a roll angle ϕ as it navigates a turn. By combining the motion equations with the roll dynamics specific to motorcycle cornering, the overall dynamics can be represented as shown in Figure 3.
The above analysis considers the forces acting on the motorcycle during cornering, treating the vehicle as a whole and resulting in a roll angle ϕ . However, in reality, the front and rear wheels each generate a camber angle γ relative to the vertical plane, as shown in Figure 4. The tire model discussed in Section 2.2 must account for the effects of the camber angle on the front and rear tires. Therefore, the relationship between the camber angle and the roll angle for both the front and rear wheels is described in Equations (4) and (5).
γ f = ϕ + δ f sin ε
γ r = ϕ
where ε represents the caster angle of the front wheel. During cornering, the front wheel’s camber angle is influenced by both the caster angle and the steering angle, while the rear wheel’s camber angle is equal to the vehicle’s roll angle. To simplify calculations, this study assumes that the vehicle is in a steady-state cornering condition where the steering angle approaches zero. Therefore, the camber angles of both the front and rear wheels are set equal to the vehicle’s roll angle, as shown in Equation (6).
γ f γ r ϕ
To validate the cornering dynamics model, this study uses the BikeSim motorcycle dynamics simulation software to design the cornering dynamic control. The built-in BikeSim motorcycle model, “Scooter, Big”, was employed in conjunction with the tire model used in this study for simulations and experiments. The vehicle parameters set in BikeSim are shown in Table 1.

2.2. Tire Model

Tires are the only contact points between the vehicle and the road, playing a critical role in the vehicle’s dynamics. In the motorcycle model, the vertical load on the front and rear wheels generates a vertical force F z on the road surface. During braking and cornering, the interaction between the tires and the road creates longitudinal forces F x and lateral forces F y , respectively. To better understand tire characteristics and design the control system, this study uses the “Magic Formula” to develop the tire model. The original equations were proposed by Pacejka [20] and later refined by Sharp et al. [21].
When the tire contacts the ground, longitudinal and lateral interactions cause longitudinal slip λ and the generation of a slip angle α . The longitudinal slip represents the relationship between the vehicle’s speed V x and the actual tire speed (the product of the tire radius r and the tire angular velocity ω w ). The slip angle describes the relationship between the tire’s longitudinal and lateral speeds during cornering. The corresponding equations are provided in Equations (7) and (8).
λ = V x r ω w V x
α = tan 1 (   V y V x )
When considering pure longitudinal and lateral forces, the slip angle α is zero during pure longitudinal force, and the longitudinal slip ratio λ is zero during pure lateral force. The equations for the tire’s longitudinal and lateral forces are as follows:
F x 0 = D x sin [ C x tan 1 { B x λ E x ( B x λ tan 1 ( B x λ ) ) } ]
F y 0 = D y sin [ C y tan 1 { B y α E y ( B y tan 1 ( B y α ) ) } + C γ tan 1 { B γ γ E γ ( B γ tan 1 ( B γ γ ) ) } ]
where B x and B y are stiffness factors, C x and C y are shape factors, D x and D y are peak factors, and E x and E y are curvature factors. Similarly, B γ , C γ , and E γ are the stiffness, shape, and curvature factors for the slip angle, respectively.
When braking during cornering, it is necessary to consider the combined effects of both longitudinal and lateral forces on each tire. Therefore, this study applies the combined slip method. In this approach, when both longitudinal slip λ and slip angle α are present, the equations for the combined slip longitudinal and lateral forces are as follows:
F x = cos [ C x a tan 1 ( B x a α ) ] F x 0
F y = cos [ C y k tan 1 ( B y k λ ) ] F y 0
where B x a is the longitudinal stiffness factor for combined slip, C x a is the longitudinal shape factor for combined slip, B y k is the lateral stiffness factor for combined slip, and C y k is the lateral shape factor for combined slip. The corresponding equations are as follows:
B x a = R B x 1 cos [ tan 1 ( R B x 2 λ ) ]
B y k = R B y 1 cos [ tan 1 ( R B y 2 ( α R B y 3 ) ) ]
Based on the tire model equations discussed above, the relationship between longitudinal and lateral forces with respect to longitudinal slip at different slip angles is illustrated in Figure 5. When the slip angle is 0°, no lateral force is generated, as shown in Figure 5a. In this case, during braking, only the longitudinal force is considered, and the tire can generate the maximum longitudinal force. However, as the slip angle increases, the longitudinal force decreases and cannot reach its ideal maximum value, as shown in Figure 5b. Therefore, when the vehicle generates a slip angle while cornering, it is essential to consider the impact of the slip angle on the tires. If the slip angle becomes excessive, it could increase the risk of vehicle rollover.
The camber angle generated during motorcycle cornering, as indicated by Equations (10) and (12), only affects the tire’s lateral force. As the camber angle increases, the lateral force increases accordingly. However, when braking during cornering, tires also generate longitudinal force. From the tire friction ellipse in Figure 6, it can be seen that there is an interaction between the tire’s longitudinal and lateral forces. As the tire’s lateral movement increases the slip angle, the lateral force increases while the longitudinal force decreases. Once the lateral force exceeds the limit, the longitudinal force rapidly decreases, causing the tire to lose traction. This loss of traction renders braking ineffective, leading to skidding and the loss of control. Therefore, when designing braking control strategies for motorcycles during cornering, the camber angle must be considered a critical factor.

3. Cornering ABS Design

Tire longitudinal slip occurs during braking. If the longitudinal slip value is too high, it can cause the tires to lock up, while if it is too low, the vehicle cannot stop effectively in emergency situations. To ensure stable braking and shorten the braking distance, the anti-lock braking system (ABS) assesses the current slip against the corresponding slip set-point and adjusts the brake pressure according to the current state.
A block diagram of the cornering anti-lock braking system (ABS) is shown in Figure 7. The controller designed in this study uses a finite-state machine (FSM) combined with bang-off-bang control, with tire slip as the control variable. It evaluates the system state and outputs control commands to the electro-hydraulic braking (EHB) actuator to regulate brake pressure, ensuring that the tire slip follows the target slip set-point and achieves the maximum braking force. The current tire slip and slip set-point are calculated based on a vehicle speed estimator and roll angle estimator. The design of the state estimation, referenced from [22], already yielded results. Therefore, this study focuses on the controller design and hardware-in-the-loop (HIL) experiments.

3.1. Slip Set-Point

In the design of anti-lock braking systems (ABSs), the control objective is typically to maintain the longitudinal slip λ within the peak region (stable zone) of the μ λ curve. This ensures optimized braking performance while preventing tire slip from exceeding the stable zone, which could lead to wheel lock-up. The ideal slip at this point is referred to as the slip set-point.
The slip set-point varies in response to different road conditions and driving states, including factors such as the road friction coefficient, tire normal force, and roll angle. During longitudinal braking, the slip set-points for different road friction coefficients are determined by the peak values of the μ x λ curve, as shown in Figure 8.
However, compared to four-wheeled vehicles, motorcycles experience a greater roll angle during cornering. Considering the impact of the roll angle on the tires, which indirectly affects the slip set-point, the roll angle generated during cornering combined with braking causes the tire to develop a slip angle α. As the slip angle increases, the lateral force increases while the longitudinal force decreases, leading to a reduction in the ideal slip set-point.
Additionally, as shown in the simplified tire vertical force Equations (15) and (16), during braking, the deceleration caused by load transfer increases the vertical force on the front wheel while reducing that on the rear wheel. As shown in Figure 9, when the tire vertical force increases, the corresponding tire slip at the maximum longitudinal force decreases. Therefore, when designing an anti-lock braking system (ABS), using different slip set-points for the front and rear wheels can result in better braking effects.
F z f = m g l r m A x h l
F z r = m g l f + m A x h l
The method for determining the slip set-point is shown in Figure 10. To obtain the ideal slip ratio under different friction coefficients and roll angles, this study uses a trial-and-error method, conducting braking tests with the Big Scooter vehicle and tire models in BikeSim. The effects of load transfer on vertical force are also considered, with separate braking applied to the front and rear wheels to derive the slip set-point curves for both wheels, as shown in Figure 11. The trial-and-error method was applied across different road friction coefficients ( μ = 1 ,   0.85 ,   0.5 ,   0.3 ), with braking tests performed at every 5 degrees of roll angle. The process for determining the optimal slip set-point for the front wheel involved testing various slip ratios while keeping the rear wheel brake pressure at a smaller, fixed value. This approach allowed for the identification of a slip ratio that minimized braking distance without causing the vehicle to skid, which was then defined as the optimal slip set-point. The same method was applied to the rear wheel. The results demonstrated that the tires could maintain stable braking at roll angles of up to 40 degrees on high-friction surfaces, 27 degrees on medium-friction surfaces, and 20 degrees on low-friction surfaces. Exceeding these angles resulted in the vehicle losing control and rolling over. Finally, the slip set-points were compiled into a look-up table, allowing the system to output the optimal slip ratio based on the motorcycle’s current dynamics.

3.2. Controller Design

Numerous studies have explored different control methods for designing anti-lock braking systems, including PID control, sliding mode control, and fuzzy control. However, considering cost-effectiveness and hardware computational limitations, there is a need for a control logic that is both fast-responding and low-latency, to provide real-time control commands to the actuator for adjusting brake pressure. Therefore, this study adopts a rule-based control logic, using a finite-state machine (FSM) combined with bang-off-bang control to design the controller. The controller quickly evaluates the changes between the current slip ratio and the slip set-point, outputting corresponding control commands to achieve both responsive and stable control performance. The controller architecture is shown in Figure 12.
First, the current state of the front and rear tires is determined using the slip set-point look-up table and the wheel slip estimator mentioned earlier. The controller then evaluates the status of each wheel and independently controls the actuators to apply the appropriate pressure commands, optimizing the brake pressure for both the front and rear wheels. This approach ensures optimal brake force distribution across the tires and validates the impact of load transfer, allowing for a greater longitudinal force on the front wheel during braking, which significantly enhances braking efficiency. The results verifying this are presented in Section 5.

3.2.1. Finite-State Machine

Finite-state machines (FSMs) operate based on a limited number of states and switch system behavior through transition rules, commonly used in digital logic design and decision-making in autonomous vehicles. In terms of braking control, Vignati et al. [23] proposed a six-state controller using acceleration as the basis for decision-making. In this study, the control strategy is designed based on tire slip, utilizing the ABS actuator’s three modes—pressure increase, pressure hold, and pressure decrease. These three states form a control loop, and the overall state transition process is illustrated in Figure 13.
In the control loop, the current estimated slip λ ^ and the slip set-point λ ¯ are used as the basis for decision-making, with upper and lower thresholds [ ε a , ε b ] set for reference. The control loop outputs a signal u = { k ,   0 , k } based on the decision. When the slip value is below the lower threshold of the set-point, this indicates that the slip has not yet reached the ideal value, and the output signal u = k , meaning that the brake is in the pressure increase mode. As the slip continues to rise and falls within the set-point’s range, the slip is within the ideal range, and the actuator is adjusted to the pressure hold mode, with the output signal switched to u = 0 . If the slip exceeds the upper threshold of the set-point, this indicates that the slip is entering an unstable region, and the system must immediately issue a pressure decrease command to reduce the slip to a controllable range, switching the output signal to u = k .
u i = { k , 0 , k ,           i f             λ ^ i < λ ¯ i ε a λ ¯ i ε a < λ ^ i < λ ¯ i + ε b λ ^ i > λ ¯ i + ε b   ,           i { f , r }

3.2.2. Bang-Off-Bang Control

Using the finite-state machine described in the previous section, the system determines the current state and outputs the corresponding signal u , which is then converted by the bang-off-bang control method into the actuator’s valve control signals C i and C o , to regulate the solenoid valves and motor. This adjusts the wheel cylinder pressure P w c . When u = k , the system is in the pressure increase mode, and control commands C i = 1 and C o = 0 are sent to the hydraulic model. When u = 0 , the system is in the pressure hold mode, and both control commands C i = 0 and C o = 0 are sent to the hydraulic model. When u = k , the system enters the pressure decrease mode, and control commands C i = 0 and C o = 1 are sent to the hydraulic model. Through these three modes, the solenoid valves and motor are switched to regulate brake pressure, keeping the slip ratio within the target range and preventing tire lock-up that could lead to vehicle rollover. Figure 14 shows a control flow chart of the bang-off-bang control method.

4. HIL Experiment Set-Up

To ensure the feasibility of implementing the motorcycle cornering ABS designed in this study on an actual motorcycle, and to ensure the safety of personnel during testing, a hardware-in-the-Loop (HIL) experimental platform is established. The system dynamics model, control algorithm, and hardware platform are interconnected to integrate software and hardware, creating a real-time simulation environment. This set-up is used to verify the actual control performance of the proposed control strategy. The hardware experiment in this study makes use of the BikeSim model and a controller developed in MATLAB/Simulink, along with an electro-hydraulic braking module. Real-time simulation experiments are conducted using BikeSim Real-Time to observe the vehicle’s actual performance, thereby verifying the feasibility and stability of the controller designed in this study.
The structure of the motorcycle hardware-in-the-Loop (HIL) braking experimental platform is shown in Figure 15. It consists of a brake master cylinder, hydraulic sensors, an electro-hydraulic braking module, calipers, and a shielded I/O junction box. The brake pressure is first transmitted from the brake master cylinder to the electro-hydraulic braking module, where system decisions convert the solenoid valve switching signals and hydraulic motor duty signals into CAN bus signals. These signals are then input into the braking module to control the solenoid valves and motor operation. The hydraulic sensors measure the pressure variations in the front and rear brake calipers, and the analog signals are fed back to the vehicle model to enable real-time dynamic simulation.
The architecture of the hardware-in-the-loop (HIL) braking experiment in this study is shown in Figure 16. It integrates the aforementioned experimental platform equipment and utilizes RT-LAB v11.3.6 software, developed by OPAT-RT, to establish a real-time computational environment. First, the system designed in this study is built on the Host PC using BikeSim and MATLAB/Simulink, with dynamic simulations performed using BikeSim RT. The program is then compiled into C code and transmitted to the Target PC for execution via network transmission through an RJ45 port. The system outputs corresponding control commands based on real-time evaluations, transmitting these commands as CAN signals to the hydraulic braking module to control the actuator for the pressure increase, pressure hold, and pressure decrease operations. Finally, the brake pressure is fed back to the Target PC in real time via pressure sensors for dynamic control. Simultaneously, the data from the controller and the vehicle are sent back to the Host PC for real-time monitoring and adjustments.
In this study, the Host PC integrates the system using the RT-LAB real-time simulation development software developed by OPAL-RT. The vehicle model created in BikeSim, scenario settings, and the control system designed in MATLAB/Simulink are compiled and transmitted over the network to the Target PC for real-time computation. This process generates real-time dynamic data and simulation animations. The Host PC is shown in Figure 17a. The Target PC in this study consists of a high-performance industrial computer, as shown in Figure 17b. It is equipped with an interface card and a digital-to-analog signal data acquisition card.
The interface card used is the Kvaser PCIEcan 4×HS high-speed CAN Bus network card, which transmits control signals to the electro-hydraulic braking module via the CAN bus communication protocol, enabling real-time pressure mode switching control. To monitor the changes in brake pressure within the hardware platform, the National Instruments PCI-6024E digital-to-analog signal data acquisition card is selected. This card captures hydraulic pressure signals measured by pressure sensors and transmits them as analog signals to the Host PC, providing real-time brake pressure data for both the front and rear wheels. The interface card and data acquisition card are shown in Figure 18.
The electro-hydraulic braking (EHB) module, as shown in Figure 19a, consists of an oil pump motor, two intake valves, and two exhaust valves. It is installed between the master cylinder and brake calipers of the front and rear wheels. CAN signals are sent to the Electronic Control Unit (ECU), which controls the solenoid valves and motor switches according to the FSM controller, executing the pressure increase, hold, and decrease actions to regulate the hydraulic pressure in the front and rear brake calipers, ensuring braking stability. The pressure sensors used are model JPT-131, constructed with ceramic pressure transducers. These sensors are installed on the brake calipers of both wheels to measure the brake pressure, which is then converted into voltage signals and fed back as analog signals to the PCI-6024E data acquisition card. This set-up connects to BikeSim RT and controls the braking operation of the simulated vehicle. The pressure sensors and their specifications are shown in Figure 19b and Table 2.

5. Results

Cornering braking control experiments were conducted using the BikeSim motorcycle model, with the motorcycle initially traveling at a speed of 80 km/h while cornering on a flat road surface. Hardware-in-the-loop (HIL) cornering braking experiments were also performed on road surfaces with varying friction coefficients, with the ABS deactivating when the speed dropped below 5 km/h. The slip set-point was adjusted according to changes in the roll angle. To achieve optimal braking performance, the controller’s decision thresholds ε a ,   b were fine-tuned, and the optimal values were determined through repeated testing.
A comparison was made between the cornering ABS, a vehicle without an ABS, and a vehicle using fixed-slip control. As shown in Figure 20, the blue vehicle represents the one equipped with the cornering ABS designed in this study, while the red vehicle represents one without an ABS. This comparison validated the effectiveness of the controller designed in this study during cornering and braking.
First, the experimental results of cornering braking on a high-friction road ( μ = 0.85 ) are shown in Figure 21, with the slip set-point range and corresponding upper and lower limits listed in Table 3. The motorcycle was braking while traveling at 80 km/h with a 30-degree roll angle at 5.1 s. The slip set-point reference range was adjusted according to the current roll angle, and the controller output the corresponding commands to the actuator to regulate the brake pressure. This allowed the motorcycle to stabilize, return to straight-line riding, and stop at 7.4 s.
The results indicate that during emergency braking while cornering, the system retrieved the current slip set-point from the look-up table, and the controller output control commands to follow changes in the slip set-point. Due to load transfer, the front wheel generated a higher vertical force than the rear wheel, as shown in Figure 9, resulting in a lower slip set-point. The stability of the front wheel was especially important during cornering braking, as locking the front wheel could result in sliding and potentially cause a rollover. Therefore, when the roll angle was high, the brake pressure on the front wheel was kept lower, and after the vehicle straightened to longitudinal travel, the brake pressure was maintained at around 60 bar to ensure stable braking. For the rear wheel, the actuator continuously output commands to increase or decrease brake pressure, regulating it to keep the slip as close to the slip set-point curve as possible. The slip angle was kept below 5 degrees to prevent excessive slip, which could result in the loss of control.
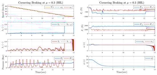
For a low-friction road ( μ = 0.3 ) , the experimental results are shown in Figure 22, with the slip set-point range and its upper and lower limits listed in Table 4. The motorcycle was braking while traveling at 80 km/h with a 20-degree roll angle at 6.9 sec. The controller similarly managed the actuator and adjusted the brake pressure, allowing the vehicle to come to a stable stop at 13 s.
On a low-friction road, excessive brake pressure can lead to tire lock-up. Based on the experimental results, it is evident that during braking while cornering on a low-friction road, the actuator operates in a pressure-holding mode, gradually increasing the front wheel’s brake pressure in a stepped manner while maintaining it at a lower level. Similarly, the rear brake pressure increased as the roll angle decreased. The front wheel brake pressure was maintained below 20 Bar, while the rear wheel brake pressure remained below 30 Bar.
Based on these results, the cornering ABS effectively adjusts the slip set-point threshold according to the roll angle, maintaining lower braking pressure during cornering and reducing the risk of slipping or losing control. To verify the effectiveness of the cornering ABS designed in this study, additional HIL experiments were conducted on motorcycles without ABSs and those equipped with traditional ABSs (fixed-slip), comparing their performance to those with the cornering ABS.
A comparison between the cornering ABS and the lack of an ABS is shown in Figure 23. The data used to assess vehicle stability during cornering and braking focus on two primary factors: lateral force and slip angle. The results show that, on a high-friction road (μ = 0.85), the cornering ABS successfully regulated both lateral force and slip angle within stable limits. For the vehicle equipped with a cornering ABS, the front lateral force F y f was maintained between approximately −500 N and 1000 N, while the rear lateral force F y r fluctuated within a narrower range of −500 N to 500 N, as shown in the figure. This controlled response allows the motorcycle to stabilize, return to straight-line riding, and stop safely.
In contrast, the vehicle without an ABS showed significant instability during braking. Initially, the vehicle remained stable, but due to the absence of the braking control to adjust brake pressure, the lateral force exceeded 1500 N at its peak. This large force, coupled with a high slip angle, resulted in the loss of stability, causing the motorcycle to slide out of control and eventually overturn. The slip angle α f , r for the vehicle without an ABS exceeded 8 degrees, far beyond the stability threshold of 5 degrees, highlighting the system’s lack of control.
A comparison between the cornering ABS and fixed-slip ABS is shown in Figure 24. A traditional ABS typically uses a fixed slip derived from the tire model as the control target. As shown in Figure 8, the fixed-slip value on a high-friction road is set at λ ¯ f = 0.092 and λ ¯ f = 0.144 for each tire. While this fixed-slip control is effective during longitudinal braking, it becomes insufficient during cornering due to changes in roll angle. The slip set-point must be reduced in such situations to prevent the vehicle from losing traction and sliding out of control. In the case of the cornering ABS, when the slip exceeds the set-point value, the system intervenes by reducing brake pressure through the actuator, preventing excessive pressure build-up. This fine-tuned control keeps both the front and rear lateral forces within the stable range of −500 N to 1000 N for the front wheel and −500 N to 500 N for the rear wheel, ensuring controlled braking.
In contrast, the fixed-slip ABS displays oscillations in both lateral force and slip angle. The front lateral force F y f experiences a high fluctuation, with values exceeding 1500 N, while the rear lateral force F y r similarly fluctuates, surpassing 1000 N. These high lateral forces, coupled with significant oscillations in slip angle, indicate that the fixed-slip system cannot adapt to changes in roll angle during cornering, leading to delayed braking responses. By the time brake pressure is reduced, the motorcycle already lost stability, causing it to overturn. This comparison highlights the cornering ABS’s superior ability to maintain stability during cornering on high-friction roads.

6. Conclusions

This study focuses on the cornering anti-lock braking system (ABS) designed for emergency braking in motorcycle cornering. The controller is designed by combining state estimation with the actual operating conditions of the actuator. Experiments on the cornering ABS were conducted under various road conditions and riding scenarios to verify the control effectiveness of the controller and its compatibility with electro-hydraulic braking (EHB). Considering the safety of the rider during actual riding tests, the braking experiments were conducted on a hardware-in-the-loop (HIL) platform. Control commands were converted into CAN signals and sent to the actuator, which output the actual brake pressure to the HIL platform, with feedback provided to the vehicle model. The experimental results show that although the brake pressure variations in the hardware tests were more pronounced, the controller was still able to effectively control the braking operation.
Based on the results of the HIL tests, the control system could be further tested on an actual motorcycle in the future to ensure that the cornering ABS operates correctly during on-road riding conditions. It is hoped that this research can serve as a foundation for the further development of safety assistance control systems related to motorcycle dynamic stability, ultimately enhancing rider safety on the road.

Author Contributions

Conceptualization, J.-A.H. and C.-K.C.; methodology, J.-A.H.; software, J.-A.H.; validation, J.-A.H.; formal analysis, J.-A.H.; investigation, X.-D.Z.; resources, X.-D.Z.; data curation, J.-A.H.; writing—original draft preparation, J.-A.H.; writing—review and editing, X.-D.Z. and C.-K.C.; visualization, J.-A.H.; supervision, C.-K.C.; project administration, C.-K.C.; funding acquisition, C.-K.C. All authors have read and agreed to the published version of the manuscript.

Funding

This work was supported by the Ministry of Science and Technology of Taiwan, ROC, under grant number MOST 110-2622-E-027-008.

Data Availability Statement

Data are contained within the article.

Conflicts of Interest

The authors declare no conflicts of interest.

References

  1. Sharp, R.S. The stability and control of motorcycles. J. Mech. Eng. Sci. 1971, 13, 316–329. [Google Scholar] [CrossRef]
  2. Cossalter, V.; Lot, R.; Massaro, M. Motorcycle dynamics. In Modelling, Simulation and Control of Two-Wheeled Vehicles; John Wiley & Sons, Ltd.: Oxford, UK, 2014; pp. 1–42. [Google Scholar]
  3. Bonci, A.; De Amicis, R.; Longhi, S.; Scala, G.A.; Andreucci, A. Motorcycle lateral and longitudinal dynamic modeling in presence of tyre slip and rear traction. In Proceedings of the 2016 21st International Conference on Methods and Models in Automation and Robotics (MMAR), Miedzyzdroje, Poland, 29 August–1 September 2016; pp. 391–396. [Google Scholar]
  4. Arricale, V.M.; Brancati, R.; Carputo, F.; Maiorano, A.; Dell’Annunziata, G.N. Non-linear Motorcycle Dynamic Model for Stability and Handling Analysis with Roll Motion and Longitudinal Speed Regulation. In Proceedings of the VEHITS, Online, 28–30 April 2021; pp. 292–300. [Google Scholar]
  5. Rubio, J.d.J.; Torres, C.; Rivera, R.; Hernandez, C.A. Comparison of four mathematical models for braking of a motorcycle. IEEE Lat. Am. Trans. 2011, 9, 630–637. [Google Scholar] [CrossRef]
  6. Melnikov, A.; Kim, V.; Melnikov, A. Increasing efficiency of braking control algorithm for a two-wheeled motorcycle. IOP Conf. Ser. Mater. Sci. Eng. 2020, 760, 012043. [Google Scholar] [CrossRef]
  7. Chereji, E.; Radac, M.-B.; Szedlak-Stinean, A.-I. Sliding mode control algorithms for anti-lock braking systems with performance comparisons. Algorithms 2020, 14, 2. [Google Scholar] [CrossRef]
  8. Latreche, S.; Benaggoune, S. Robust wheel slip for vehicle anti-lock braking system with Fuzzy Sliding Mode Controller (FSMC). Eng. Technol. Appl. Sci. Res. 2020, 10, 6368–6373. [Google Scholar] [CrossRef]
  9. Rafatnia, S.; Mirzaei, M. Adaptive estimation of vehicle velocity from updated dynamic model for control of anti-lock braking system. IEEE Trans. Intell. Transp. Syst. 2021, 23, 5871–5880. [Google Scholar] [CrossRef]
  10. Pretagostini, F.; Ferranti, L.; Berardo, G.; Ivanov, V.; Shyrokau, B. Survey on wheel slip control design strategies, evaluation and application to antilock braking systems. IEEE Access 2020, 8, 10951–10970. [Google Scholar] [CrossRef]
  11. Tanelli, M.; Corno, M.; Boniolo, I.; Savaresi, S.M. Active braking control of two-wheeled vehicles on curves. Int. J. Veh. Auton. Syst. 2009, 7, 243–269. [Google Scholar] [CrossRef]
  12. Abumi, T.; Murakami, T. Posture stabilization of two-wheel drive electric motorcycle by slip ratio control considering camber angle. In Proceedings of the 2015 IEEE International Conference on Mechatronics (ICM), Nagoya, Japan, 6–8 March 2015; pp. 353–358. [Google Scholar]
  13. Baumann, M.; Bächle, T.; Buchholz, M.; Dietmayer, K. Model-based corner braking control for electric motorcycles. IFAC Pap. 2016, 49, 291–296. [Google Scholar] [CrossRef]
  14. Zhang, X.-D.; Chen, C.-K. A study of a cornering braking control system for a motorcycle. Appl. Sci. 2022, 12, 12575. [Google Scholar] [CrossRef]
  15. Chen, X.; Dai, Z.; Lin, H.; Qiu, Y.; Liang, X. Asymmetric barrier Lyapunov function-based wheel slip control for antilock braking system. Int. J. Aerosp. Eng. 2015, 2015, 17807. [Google Scholar] [CrossRef]
  16. Aksjonov, A.; Ricciardi, V.; Augsburg, K.; Vodovozov, V.; Petlenkov, E. Hardware-in-the-loop test of an open-loop fuzzy control method for decoupled electrohydraulic antilock braking system. IEEE Trans. Fuzzy Syst. 2020, 29, 965–975. [Google Scholar] [CrossRef]
  17. Chen, C.-P.; Chiang, M.-H. Mathematical simulations and analyses of proportional electro-hydraulic brakes and anti-lock braking systems in motorcycles. Actuators 2018, 7, 34. [Google Scholar] [CrossRef]
  18. Challa, A.; Ramakrushnan, K.; Subramanian, S.C.; Vivekanandan, G.; Sivaram, S. Analysis of thresholds in rule-based antilock braking control algorithms. IFAC Pap. 2020, 53, 404–409. [Google Scholar] [CrossRef]
  19. Liang, J.; Lu, Y.; Yin, G.; Fang, Z.; Zhuang, W.; Ren, Y.; Xu, L.; Li, Y. A distributed integrated control architecture of AFS and DYC based on MAS for distributed drive electric vehicles. IEEE Trans. Veh. Technol. 2021, 70, 5565–5577. [Google Scholar] [CrossRef]
  20. Pacejka, H. Tire and Vehicle Dynamics; Elsevier: Amsterdam, The Netherlands, 2005. [Google Scholar]
  21. Sharp, R.; Evangelou, S.; Limebeer, D.J. Advances in the modelling of motorcycle dynamics. Multibody Syst. Dyn. 2004, 12, 251–283. [Google Scholar] [CrossRef]
  22. Chuang, T.-Y.; Zhang, X.-D.; Chen, C.-K. Estimating the Roll Angle for a Two-Wheeled Single-Track Vehicle Using a Kalman Filter. Sensors 2022, 22, 8991. [Google Scholar] [CrossRef] [PubMed]
  23. Vignati, M.; Sabbioni, E. Force-based braking control algorithm for vehicles with electric motors. Veh. Syst. Dyn. 2020, 58, 1348–1366. [Google Scholar] [CrossRef]
Figure 1. Vehicle coordinates and parameters.
Figure 1. Vehicle coordinates and parameters.
Electronics 13 04171 g001
Figure 2. Bicycle model.
Figure 2. Bicycle model.
Electronics 13 04171 g002
Figure 3. The dynamics of a cornering motorcycle.
Figure 3. The dynamics of a cornering motorcycle.
Electronics 13 04171 g003
Figure 4. Camber and roll angle relationship during motorcycle turning.
Figure 4. Camber and roll angle relationship during motorcycle turning.
Electronics 13 04171 g004
Figure 5. Tire forces as function of slip ratio λ under various slip angles α. (a) longitudinal force; (b) lateral force.
Figure 5. Tire forces as function of slip ratio λ under various slip angles α. (a) longitudinal force; (b) lateral force.
Electronics 13 04171 g005
Figure 6. Tire friction ellipse with side-slip curves.
Figure 6. Tire friction ellipse with side-slip curves.
Electronics 13 04171 g006
Figure 7. A block diagram of the cornering ABS.
Figure 7. A block diagram of the cornering ABS.
Electronics 13 04171 g007
Figure 8. Longitudinal friction coefficient as function of slip ratio for different road friction coefficients.
Figure 8. Longitudinal friction coefficient as function of slip ratio for different road friction coefficients.
Electronics 13 04171 g008
Figure 9. Longitudinal force as function of slip ratio for various vertical forces at μ = 1 .
Figure 9. Longitudinal force as function of slip ratio for various vertical forces at μ = 1 .
Electronics 13 04171 g009
Figure 10. Slip set-point look-up table.
Figure 10. Slip set-point look-up table.
Electronics 13 04171 g010
Figure 11. Front and rear wheel slip set-points λ ¯ for different road surfaces.
Figure 11. Front and rear wheel slip set-points λ ¯ for different road surfaces.
Electronics 13 04171 g011
Figure 12. Controller flow chart.
Figure 12. Controller flow chart.
Electronics 13 04171 g012
Figure 13. Finite-state machine in ABS controller.
Figure 13. Finite-state machine in ABS controller.
Electronics 13 04171 g013
Figure 14. Bang-off-bang control flow chart.
Figure 14. Bang-off-bang control flow chart.
Electronics 13 04171 g014
Figure 15. Motorcycle hardware-in-the-loop (HIL) braking experimental platform.
Figure 15. Motorcycle hardware-in-the-loop (HIL) braking experimental platform.
Electronics 13 04171 g015
Figure 16. Hardware-in-the-loop (HIL) braking experiment architecture diagram.
Figure 16. Hardware-in-the-loop (HIL) braking experiment architecture diagram.
Electronics 13 04171 g016
Figure 17. (a) Host and (b) Target PC.
Figure 17. (a) Host and (b) Target PC.
Electronics 13 04171 g017
Figure 18. (a) Kvaser PCIEcan 4xHS interface card and (b) National Instruments PCI-6024E data acquisition card.
Figure 18. (a) Kvaser PCIEcan 4xHS interface card and (b) National Instruments PCI-6024E data acquisition card.
Electronics 13 04171 g018
Figure 19. (a) Electro-hydraulic braking module and (b) JPT-131 pressure sensor.
Figure 19. (a) Electro-hydraulic braking module and (b) JPT-131 pressure sensor.
Electronics 13 04171 g019
Figure 20. Comparison scenario of cornering braking with and without cornering ABS.
Figure 20. Comparison scenario of cornering braking with and without cornering ABS.
Electronics 13 04171 g020
Figure 21. Cornering braking experiment results of high-friction road ( μ = 0.85 ).
Figure 21. Cornering braking experiment results of high-friction road ( μ = 0.85 ).
Electronics 13 04171 g021
Figure 22. Cornering braking experiment results of low-friction road ( μ = 0.3 ).
Figure 22. Cornering braking experiment results of low-friction road ( μ = 0.3 ).
Electronics 13 04171 g022
Figure 23. Comparison of cornering braking experiment with cornering ABS and without ABS control (on high-friction road).
Figure 23. Comparison of cornering braking experiment with cornering ABS and without ABS control (on high-friction road).
Electronics 13 04171 g023
Figure 24. Comparison of cornering braking experiment with cornering ABS and fixed-slip ABS control (on high-friction road).
Figure 24. Comparison of cornering braking experiment with cornering ABS and fixed-slip ABS control (on high-friction road).
Electronics 13 04171 g024
Table 1. Vehicle parameters.
Table 1. Vehicle parameters.
ParameterValue
Vehicle mass (including rider mass) m275.36 kg
Wheelbase l 1.576 m
Distance from center of mass to front axle l f 0.6 m
Distance from center of mass to rear axle l r 0.976 m
Height of center of mass above ground h0.35 m
Roll inertia I x 8 kg · m 2
Pitch inertia I y 19 kg · m 2
Yaw inertia I z 11 kg · m 2
Table 2. JPT-131 pressure sensor specification.
Table 2. JPT-131 pressure sensor specification.
JPT-131 Specification
Accuracy± 0.5% FS
Supply Voltage12~32 V
Output Voltage0~10 V
Range Pressure0~100 bar
Responding Speed1 ms
Table 3. Slip set-point range and corresponding upper and lower limits for cornering braking experiment on high-friction road ( μ = 0.85 ) .
Table 3. Slip set-point range and corresponding upper and lower limits for cornering braking experiment on high-friction road ( μ = 0.85 ) .
λ ¯ ε a ε b
Front Wheel0.065 ~ 0.0920.0150.01
Rear Wheel0.11 ~ 0.1440.010.015
Table 4. Slip set-point range and corresponding upper and lower limits for cornering braking experiment on low-friction road ( μ = 0.3 ) .
Table 4. Slip set-point range and corresponding upper and lower limits for cornering braking experiment on low-friction road ( μ = 0.3 ) .
λ ¯ ε a ε b
Front Wheel0.018~0.030.010.01
Rear Wheel0.07~0.10.0150.02
Disclaimer/Publisher’s Note: The statements, opinions and data contained in all publications are solely those of the individual author(s) and contributor(s) and not of MDPI and/or the editor(s). MDPI and/or the editor(s) disclaim responsibility for any injury to people or property resulting from any ideas, methods, instructions or products referred to in the content.

Share and Cite

MDPI and ACS Style

Hsu, J.-A.; Chen, C.-K.; Zhang, X.-D. Hardware-in-the-Loop Simulations and Experiments of Anti-Lock Braking System for Cornering Motorcycles. Electronics 2024, 13, 4171. https://doi.org/10.3390/electronics13214171

AMA Style

Hsu J-A, Chen C-K, Zhang X-D. Hardware-in-the-Loop Simulations and Experiments of Anti-Lock Braking System for Cornering Motorcycles. Electronics. 2024; 13(21):4171. https://doi.org/10.3390/electronics13214171

Chicago/Turabian Style

Hsu, Jie-An, Chih-Keng Chen, and Xiao-Dong Zhang. 2024. "Hardware-in-the-Loop Simulations and Experiments of Anti-Lock Braking System for Cornering Motorcycles" Electronics 13, no. 21: 4171. https://doi.org/10.3390/electronics13214171

APA Style

Hsu, J.-A., Chen, C.-K., & Zhang, X.-D. (2024). Hardware-in-the-Loop Simulations and Experiments of Anti-Lock Braking System for Cornering Motorcycles. Electronics, 13(21), 4171. https://doi.org/10.3390/electronics13214171

Note that from the first issue of 2016, this journal uses article numbers instead of page numbers. See further details here.

Article Metrics

Back to TopTop