Abstract
This paper proposes a novel feedforward control scheme to achieve a very smooth transition from Constant Current (CC) to Constant Voltage (CV) charging modes, the commonly used method for electric vehicle charging applications. Furthermore, a three-loop model-independent Linear Active Disturbance Rejection Control (LADRC)-based system is proposed, replacing the traditional two-loop Proportional-Integral (PI) control system. The extra loop performs a decoupled dq vector control of the inductor current, which is typically not used in single-phase Dual Active Bridge (DAB) systems. This additional loop not only facilitates the optimal determination of both internal and external phase shift angles of a Dual-Phase Shift (DPS) modulator but also lowers the peak input current of the converter, allowing for lower-rated switches. Numerical simulations using MATLAB/Simulink demonstrate the robustness of the proposed control strategy against both input voltage disturbances and load disturbances during the transition from CC to CV charging modes. Hence, the dynamic performance of the charging system is significantly improved with minimal controller effort.
1. Introduction
Electric vehicles (EVs) are gaining popularity due to their environmental advantages. They produce zero emissions, enhance air quality, and boast superior energy efficiency, thereby reducing carbon footprints and decreasing dependence on fossil fuels [1]. The widespread adoption of EVs is crucial for achieving a cleaner planet and a more sustainable transportation sector. However, EVs depend on powerful batteries that require frequent charging cycles. Charging stations typically employ a combination of AC-DC and DC-DC converters to efficiently transfer electrical energy from the grid to the vehicle’s battery [2]. Moreover, the potential benefits of EVs extend beyond simply reducing emissions. In a fascinating development, modern power systems are starting to view EVs not just as consumers of electricity, but also as potential contributors. With the implementation of specialized bidirectional chargers equipped with DC-DC converters, EVs can become distributed energy resources. This allows the stored energy within an EV’s battery to be fed back into the grid during peak demand periods, thereby helping to stabilize and strengthen the power system [3]. In essence, EVs are not only revolutionizing transportation but also paving the way for a more sustainable and environmentally friendly energy infrastructure.
Several strategies for charging EV batteries are found in the literature. These include Constant Current (CC) charging, Constant Voltage (CV) charging, single-stage CC/CV charging, multistage CC-CV charging, reflex charging, pulse charging, boost charging, sinusoidal ripple current charging, and constant power-constant voltage charging [4,5]. Among the aforementioned methods for battery charging, the CC/CV technique is the most widely used as it ensures safe charging and good health of the battery. In this method, the battery is first charged at CC, during which its voltage and State of Charge (SoC) increase. Once the voltage reaches a predefined value, the charging mode is then switched to CV. In this last stage, the SoC continues to increase while the charging current decreases [6,7]. Two main control approaches are generally used to implement CC-CV charging. The first approach uses two independent single battery current and battery voltage loops which alternate between each other depending on the charging stage [8,9]. The alternative approach is to nest the battery current control loop within the voltage loop [10,11]. In this way, the battery current is always under control during both CC and CV stages, which helps protect the battery from overcurrent and hence extends the battery’s lifetime.
In the competitive world of bidirectional DC-DC converters for EV battery charging, the dual active bridge (DAB) stands out for its impressive blend of features. This topology boasts a high power density, thus managing significant power levels in a compact design [12]. Furthermore, the DAB converter utilizes soft switching, a technique that minimizes energy loss during operation and contributes to its exceptionally high efficiency. Additionally, the DAB offers galvanic isolation, a built-in safety feature that electrically separates the input and output sides, enhancing both safety and versatility. Finally, the DAB converter boasts voltage versatility, effortlessly handling a wide range of voltage levels on both the input and output. Figure 1 shows the DAB converter circuit which is composed of two full-bridge converters, an isolating high-frequency transformer, and an energy storage inductor which could be an external inductor or the lumped leakage inductor of the transformer [13].
Figure 1.
Typical DC-DC DAB topology.
The most basic method for controlling power flow in DAB converters is Single Phase Shift (SPS) modulation. It generates two phase-shifted 2-level square voltages on both full bridges, but this simplicity comes at a cost; when the input and output voltages do not match, SPS leads to high circulating power (backflow) and limited soft switching capabilities. This translates to high current stress, switching losses in the semiconductors, and increased losses in the magnetic components (inductors and transformers), ultimately limiting overall system efficiency [14]. To enhance efficiency, researchers have developed advanced modulation techniques such as Extended Phase Shift (EPS), Dual Phase Shift (DPS), and Triple Phase Shift (TPS) modulation. EPS introduces an inner phase shift within the primary bridge, reducing current stress and circulating power, and resulting in improved efficiency with three-level voltage on one side and two-level on the other. DPS, like EPS, applies inner phase shifts to both bridges, producing symmetrical three-level square waves and enhancing efficiency. TPS offers the highest efficiency by allowing independent inner phase shifts within each bridge, minimizing current stress and conduction losses, and maximizing the Zero Voltage Switching (ZVS) operating range [15].
For the advanced modulation techniques mentioned, efficiency improvement algorithms have been designed to be adaptable to various objectives. The four main objectives are summarized as: inductor current minimization; switches with soft switching; backflow power or reactive power minimization; and power loss minimization. The task therefore is to find the optimal phase shift angles that meet these objectives. However, the mathematical model of the DAB converter under these advanced modulation schemes is quite complex as it requires a piecewise function for different operating conditions and time intervals. Thus, various complex iterative approaches have been employed to address these optimization problems, including the Karush–Kuhn–Tucker or Lagrange multiplier method [16], Newton-Raphson’s method [17], mathematical programming methods, graphical optimization method [18], Particle Swarm Optimization [19], Ant Colony Optimization [20], genetic algorithm [21], and Deep Reinforcement Learning technique [22]. Nevertheless, these methods exhibit clear drawbacks, such as significant computational overhead when implemented in DSPs, strong reliance on the initial guess configuration, and the need for detailed model understanding.
Furthermore, in nearly every application of DAB converters, ensuring a robust and superior dynamic performance under challenging and uncertain conditions—such as input voltage fluctuations and output load disturbances—is crucial. Numerous advanced control schemes have been suggested to improve the dynamic response. In [23], the load current is measured and fed through a feedforward path to generate a phase shift which is added to the phase shift generated from the voltage feedback control loop. In this way, quick load changes can instantaneously lead to a step change in the phase shift in the feedforward path, hence leading to swift change in the converter output power, and hence, tight output voltage regulation is achieved. Another feedforward control scheme proposed in [24] is the virtual direct power control. This method improves the dynamic performance of the converter by introducing a virtual output voltage which eliminates the dependence of the feedforward phase-shift on circuit parameters like switching frequency, transformer turns ratio, and inductance. However, these methods are mostly applied to SPS systems only. Furthermore, Ref. [25] proposes a simple power estimation scheme with TPS. This scheme is based on the operational parameters of the DAB converter and helps enhance the dynamic response of the output voltage. In [26], an H-Infinity robust controller with load current feedforward is proposed for a DAB converter employing DPS modulation with the main aim being the enhancement of the dynamic response of the converter considering parameter uncertainty resulting from variations in input voltage within a large range and load uncertainty too. Also, Ref. [27] introduces an Improved Dynamic Response strategy with Dual Phase-Shift (IDR-DPS) for dual-active-bridge DC–DC converter. This IDR-DPS approach aims to boost system performance and eliminate DC bias issues arising from power fluctuations.
To address efficiency and dynamic response in DAB converters, Ref. [28] proposes a direct power control with a current-stress optimized method. This approach leverages unified phase-shift control to improve output voltage regulation, specifically maintaining a constant voltage even during sudden input voltage changes. One downside of all the above-mentioned dynamic enhancement techniques is that they are only applied to single-loop control systems. For a cascaded two or three-loop control system, especially for battery charging applications, these techniques are no longer valid.
In all the works mentioned so far, the DAB converter control has been conducted using the well-known Proportional-Integral (PI) controller. Even though PI control is simple, it suffers from instability and poor dynamic performances in the presence of disturbances due to the highly nonlinear nature of the DAB converter [29]. In an attempt to solve the issues faced with PI controllers, more advanced and robust controllers have been proposed including linear quadratic regulator, model predictive control, sliding mode control, adaptive control, backstepping control, etc. Despite the strengths of these advanced controllers, their effectiveness hinges greatly on accurate mathematical models of the system or a deep comprehension of its input-output dynamics [30]. Acknowledging this limitation, there has been a gradual shift towards techniques focused on disturbance estimation and rejection with Active Disturbance Rejection Control (ADRC) emerging as a notable approach. ADRC, as a model-free control approach, addresses both internal and external disturbances by estimating their collective impact using an extended state observer (ESO) [31]. The linear form of ADRC is easy to implement as only two parameters (observer and controller bandwidths) need to be set based on pole placement. Nowadays, thanks to the development of artificial intelligence, there is the possibility of applying predictive control techniques with benefits [32]. Recently, X. Li et al. [33] introduced the error proportion in the Linear Extended State Observer (LESO) to improve the linear ADRC. The LESO-based linear ADRC strategy applies the LESO to predict and cancel the disturbance signals in real time. As a result, this improves the control performance.
Furthermore, existing control methods for single-phase DAB converters, like those mentioned earlier, typically rely on scalar control. This approach struggles to independently manage the flow of reactive power between the primary and secondary full-bridges. Vector control, a technique commonly used in controlling three-phase grid-connected systems, offers a potential solution by enabling separate control of active and reactive power flow. While vector control is not extensively developed in DAB applications, several studies have shown the potential of employing this alternative technique to improve the performance of the DAB converter, resulting in notable benefits such as enhanced fault handling capability, quicker dynamics, increased power density, and improved efficiency [34,35,36,37].
For battery charging applications using the CC-CV charging technique, one of the difficulties often encountered is obtaining a smooth transition from CC charging mode to the CV charging mode. In [38], a feedforward scheme is proposed to solve this problem, but this applies only to DAB converters employing SPS modulation. Moreover, [39] proposes a new PWM switching method and CC/CV control technique which eliminates the chattering effect and poor transient performances during the mode switching from CC to CV. Even though very efficient, this technique only applies to control loops where the battery current and voltage are both independently controlled. In [40], a load-adaptive DPS-based controlled DAB is presented for battery charging. However, the focus is on phase shift angle selection for obtaining a wide output voltage range and minimizing peak inductor current. Nothing is said about the dynamic performance optimization during the change of charging modes from pre to CC and CV. Finally, Refs. [41,42] propose a hybrid modulation scheme for obtaining high efficiency in a three-phase DAB converter specifically employed for cascaded CC-CV battery charging but nothing is said of the dynamic performance of the different voltages and currents.
To address all the challenges discussed, this paper introduces a novel droop-based feedforward control scheme aimed at enhancing the efficiency of the charge and discharge processes in electric vehicle storage systems. This improvement is achieved by ensuring a smooth transition from CC to CV charging modes in a DAB converter controlled by a DPS, thereby eliminating potential disruptions during the charging process. Traditionally, such systems rely on a two-loop proportional-integral control. However, this paper proposes a more sophisticated three-loop model-independent Linear Active Disturbance Rejection Control (LADRC) system. This advanced LADRC system is distinguished by an additional loop that performs decoupled dq vector control of the inductor current, a feature uncommon in single-phase DABs. The contributions of this innovative control strategy are substantial. First, the LADRC system with dq vector control enables the optimal selection of both internal and external phase shift angles within the DPS modulator using the Fourier series decomposition of three-level square wave bridge voltages. This optimization significantly reduces the peak input current, allowing for the use of lower-rated switches and a more cost-effective design. Furthermore, the independent control over the direct and quadrature components of the current, facilitated by the LADRC system, achieves a unity power factor. This translates to a system operating at peak efficiency, minimizing reactive energy during power conversion. In essence, this paper presents a significant advancement in DAB converter control, offering a combination of smooth mode transitions, improved efficiency, and the ability to achieve a perfect power factor.
The rest of this paper is arranged as follows: Section 2 presents the generalized functioning of the DAB converter based on three-level voltage signals while Section 3 presents the modeling of the battery and the CC-CV battery charging profile characteristics. Section 4 presents the basic principles of LADRC used in the design. Section 5 provides the three-loop control where the LADRC-based design of each loop is provided. In particular, the coordinate transformation for the extraction of the dq components of the inductor current is presented. This section also presents the proposed droop-based feedforward control for dynamic performance enhancement while Section 6 provides some numerical simulations to validate the various control algorithms. Finally, Section 7 concludes the work.
2. Operational Principle of Three-Level Phase Shift Modulation
At steady state, the equivalent circuit of the DAB converter is shown in Figure 2a. It consists of two high frequency square wave voltage sources connected on opposite sides of the inductor. Moreover, inductance Ls in Figure 2a is the sum of an externally connected series inductor and the leakage inductance of the high frequency transformer; Vp and Vs are, respectively, the high frequency link (HFL) voltages of full bridges FB1 and FB2 (Vs is FB2 voltage seen from the primary of the HFL transformer); ILs is the HFL inductor current. The universal waveforms obtained with three-level modulated phase-shift control are shown in Figure 2b, where and represent the fundamental sinusoidal component of the two voltages.
Figure 2.
(a) Equivalent circuit of DAB converter. (b) Typical waveforms of three-level modulated DAB under unified phase-shift control.
The unified phase-shift control waveforms contain three phase shift angles: β1, β2, and β3. β1 and β2 are the internal phase shifts between the parallel legs of FB1 and FB2, respectively, while β3 is the external phase shift between square wave voltages of FB1 and FB2. The external phase shift between the fundamental components of the square wave voltages of each full bridge, φ, is related to the other phase angles by [43]. Therefore, the unified phase shift control is a generalized way of describing all the phase shift control methods described in Section 1. SPS is obtained when β1 = β2 = 0 and φ ≠ 0, EPS is obtained when either β1 ≠ 0, β2 = 0, φ ≠ 0 or β1 = 0, β2 ≠ 0, φ ≠ 0, and DPS is obtained when β1 = β2 = α ≠ 0 and φ ≠ 0.
Considering the special case of the DPS which would be used in this work, two modes of operation are possible: 0 < α < β3 < 1 (b) 0 < β3 < α < 1. The waveforms of the DAB converter under these two modes of operation and buck power flow are shown in Figure 3. The switches conducting during each operating interval are shown in Table 1.
Figure 3.
Waveforms of DAB operating with DPS in different buck modes: (a) 0 < β3 < α < 1; (b) 0 < α < β3 < 1.
Table 1.
Devices conducting during each interval in DPS.
The high frequency voltages across the transformer windings can be expressed mathematically using Fourier series expansion of three-level square wave signals as:
where m denotes the harmonic number, and is the converter switching frequency.
Power flow control can be performed by either varying the phase shift φ or the amplitude of the fundamental component of the two H-bridge voltages with β1 and β2 where 0 ≤ β1 ≤ π, 0 ≤ β2 ≤ π and −π ≤ φ ≤ π. Since the voltages Vp and Vs are periodic functions, they can be written in phasor form with RMS values as:
From Equation (2), the inductor current phasor can be obtained, followed by the complex apparent power at the output of FB1. Unlike active power, reactive power arises not only from the interaction between voltage and current of the same harmonics but also from differences in harmonic numbers. The resulting mismatch in reactive power, as well as the magnitude of the apparent power and the global HFL factor, can be found in reference [44].
3. Battery Charging Profile and Model
The constant current-constant voltage (CC-CV) method shown in Figure 4 is the most commonly used technique for charging batteries. In the initial phase, a constant current is applied, causing the battery terminal voltage to steadily increase until it reaches a threshold/reference value. Once this threshold is reached, the charging transitions to the final phase, which involves constant voltage charging. During this phase, the battery current gradually decreases, and charging stops when the current drops to about one-tenth of the reference current or when a specific C-rating (typically between 0.05 C and 0.1 C) is achieved [45]. Throughout the charging process, the battery’s equivalent resistance varies significantly, presenting a considerable challenge in control system design [46]. The first phase enables faster charging, while the second phase protects the battery from overvoltage.
Figure 4.
CC-CV battery charging profile.
To conduct power electronic simulations involving batteries, it is essential to model them electrically. Researchers have proposed various electrical equivalent circuit models for batteries [47], but for this work, the second-order Thevenin equivalent model shown in Figure 5 was selected. This model was chosen due to its simplicity and sufficiently accurate computational results. It does not account for the battery’s self-discharge effect. The battery’s open circuit voltage, resistances, and capacitances depend on the state of charge (SoC) and temperature; however, this work ignores the temperature’s effect on these parameters.
Figure 5.
Thevenin second-order equivalent circuit battery model.
The terminal voltage in the frequency domain is given by (3).
where VR1(s) and VR2(s) are given by (4) and (5), respectively:
The SoC is computed based on the coulomb counting technique. Here, the discharging current of the battery is measured and integrated over time to estimate the SoC [48]. This is given mathematically by:
where Qrated is the rated or nominal capacity of the battery (Ah).
The resistance and capacitance values are derived experimentally at different SoCs and used to build a look-up table in MATLAB/Simulink from which the Thevenin equivalent model is then constructed using (3)–(6) as shown in Figure 6.
Figure 6.
MATLAB/Simulink implementation of the second order Thevenin equivalent circuit battery model.
4. Basic Principle of Linear Active Disturbance Rejection Control (LADRC)
LADRC is based on the effective estimation and compensation of internal and external disturbances [49]. It contains a linear state error feedback (LSEF) control law, and a linear extended state observer (LESO) as shown in Figure 7. Moreover, it is made up of two main control loops: the inner loop, also called the disturbance rejection loop, and the outer loop, also called the feedback control loop. The total disturbances of the system are estimated in advance by the LESO and eliminated by the inner loop, which is combined with the feedback control loop to improve the transient and stability performance of the system [50].
Figure 7.
Diagrammatic representation of LADRC principle.
In Figure 7, r is the reference input signal; u0 and u are the controlled quantities; du and dn are external disturbances of the system; Gp is the controlled object; y is the system output signal; is the estimated value of system output; is the estimated value of the total disturbance; kp is the controller parameter; and b is the system gain.
Any first-order single-input single-output system can be approximated as
where f is the total or lump sum of the internal and external disturbances.
We assign the system output signal (y) the state x1 i.e., y = x1 and also assign an extended state x2 to the lump disturbance (f), i.e., f = x2. If we assume that f is differentiable, then the system dynamics in (7) can be written in state-space form as
where , , , , and .
The corresponding Luenberger-based LESO constructed from the system in (8) is given in (9) as
where is the estimate of the state variable x1 and x2 and is the observer gain vector.
The characteristic equation, of the LESO is obtained from (9) and given in (10) as follows:
According to the bandwidth parameterization method [51], all poles of the characteristic equation are assigned to the observer bandwidth (wo), then:
From (11), the observer gains are obtained as: and .
For the above system, the estimated variables can be used to implement the control law, including the disturbance rejection and error feedback control laws and is given in (12) [52]:
where , and .
By using (9) and (12), the transfer function of the closed-loop control when the disturbance is compensated is given by (13):
Using the bandwidth parameterization approach again, we assign the controller bandwidth (wc) to the poles of the transfer function G(s). We then obtain:
Thus, by using the bandwidth method, the design of the LADRC boils down to setting just the bandwidths of the observer and controller which greatly simplifies the parameter tuning and design process. The controller bandwidth should be less than the observer bandwidth (typically, ).
Even though LADRC is the main focus of this work, it is important to see how it compares with a conventional PI controller. The control law of a PI controller is given by (15)
where kp1 and ki1 are the PI control parameters to be tuned. The expression given in (15) can be easily rewritten in the form shown in (16).
where kp2 = bokp1 and ki2 = boki1, with bo being a positive constant. By comparing (12) with (16), we observe that the PI controller uses the integral action to estimate the disturbance as given in (17) where z2 is the estimated disturbance by the PI controller.
If we set kp = kp2, then we see that the main difference between the LADRC and PI control is the way the total disturbance is estimated. LADRC uses an extended state observer (ESO) while PI controller directly uses the integral action of the error of the variable being controlled.
5. Control System Design
The proposed control system which is used for the battery charging is shown in Figure 8. It consists of an external LADRC voltage loop which generates the reference battery current for the inner LADRC battery current loop. This loop in turn generates the reference current for the innermost inductor current LADRC loop. There’s also the presence of a novel feedforward loop which is added to the output of the external voltage loop. The output of the inductor current LADRC loop is fed to a block that computes the internal and external phase shift angles, and these angles are then sent to the DPS modulator to control power flow. The design specifications of the DAB converter for the control system design are shown in Table 2.
Figure 8.
Proposed three-loop battery charging control system.
Table 2.
DAB converter specifications.
5.1. DPS Modulation
The three-level DPS modulator is shown in Figure 9a. It consists of a triangular carrier generator which produces a triangular signal from 0 to 2π. This phase signal is phase-shifted with both the internal and external phase angles and then passed through a sinusoidal signal generator to generate a signal between −1 and 1. This signal is then sent to a comparator to generate the respective PWM signals of each full-bridge pair having a fixed duty ratio of 50%. Figure 9b shows an example implementation when α = 0.1π and ϕ = 0.3π. We observe the sinusoidally generated signals phase-shifted from each other and sent to their respective comparators to generate phase-shifted modulating signals for each full bridge. The overall effect is the production of a three-level square wave voltage profile at both ends of each full bridge as observed in the figure.
Figure 9.
DPS power flow modulator: (a) Block diagram; (b) Generated waveforms of the modulator.
5.2. Extraction of Inductor Current Orthogonal Components
The design of the inductor current vector control loop starts with performing the extraction of the orthogonal components of the inductor current. This is shown in Figure 10.
Figure 10.
Block diagram of the model for the extraction of active and quadrature components of inductor current.
As can be seen, the sensed inductor current is first passed through a bandpass filter (BPF) to extract its fundamental component and attenuate higher-order harmonics. A second-order BPF is used whose transfer function is given by (18) [53,54]:
where K is the filter DC gain, is the center or resonant frequency, and Q is the quality factor. The bandwidth (BW) is related to Q and by (19).
where and are, respectively, the high and low cutoff frequencies of the filter in radians per second. The relationship between , and is given in (20):
The BPF is designed using (18)–(20) and the parameters in Table 3.
Table 3.
Bandpass filter specifications.
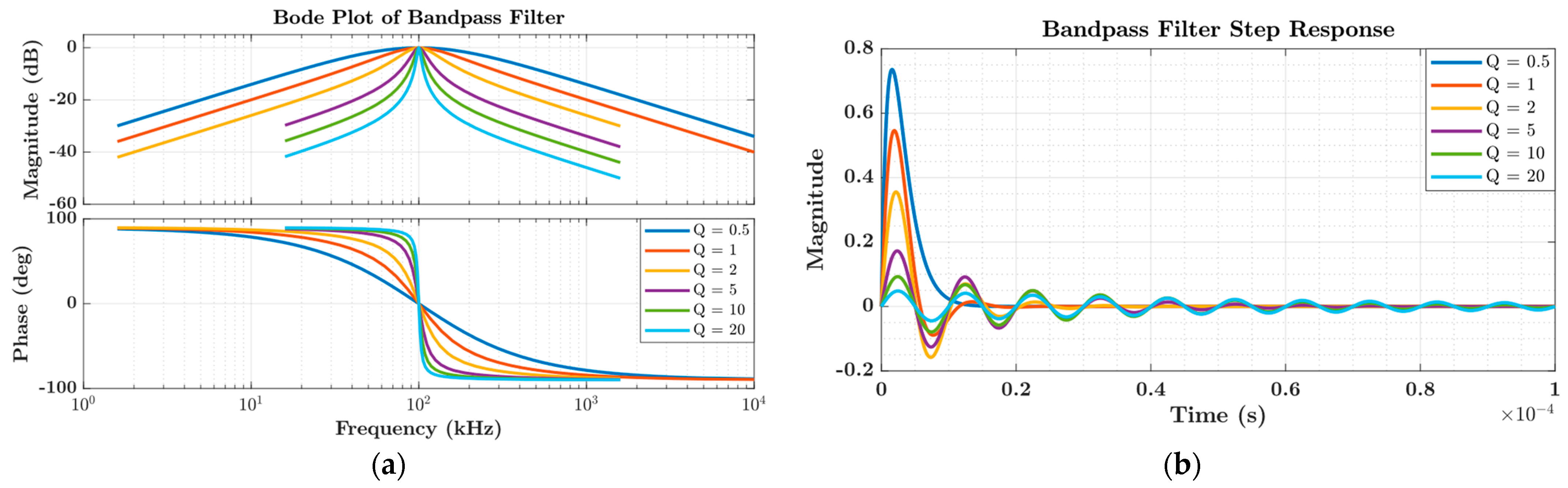
The frequency responses of the BPF for Q = 0.5, 1, 2, 5, 10, and 20 are shown in Figure 11a. We observe that the higher the value of Q, the better the pass-wave performance of the BPF (higher selectivity), but the allowable frequency range is reduced. Furthermore, Figure 11b shows the unit step responses of the BPF for Q = 0.5, 1, 2, 5, 10, and 20. We see that as Q increases, the initial system overshoot reduces while the attenuation time and oscillations increase, which influences the dynamic performance of the DAB converter when the load changes suddenly. Considering all that has been said before, Q = 5 has been selected as a compromise between better system dynamic performance and signal attenuation capabilities of the BPF.
Figure 11.
BPF responses for different Q-values: (a) Frequency response; (b) unit step response.
After extracting the fundamental component of the inductor current, an orthogonal current signal is generated by applying a phase shift to it. Then a stationary frame (αβ) to synchronous rotating frame (dq) coordinate transformation (Park transform) is performed to generate the active and reactive components of inductor current, permitting the decoupled and independent control of the DAB active and reactive power. This transformation is given by (21) [55,56]:
The instantaneous phase angle (θ) required to perform the αβ-dq transformation is given by (22):
To remove any noise that may be present at the output of the αβ-dq coordinate transformation, a second-order low-pass filter (LPF) is used to obtain the DC components and . The transfer function adopted for this is given in (23):
The LPF design coefficients are given in Table 4.
Table 4.
Low-pass filter specifications.
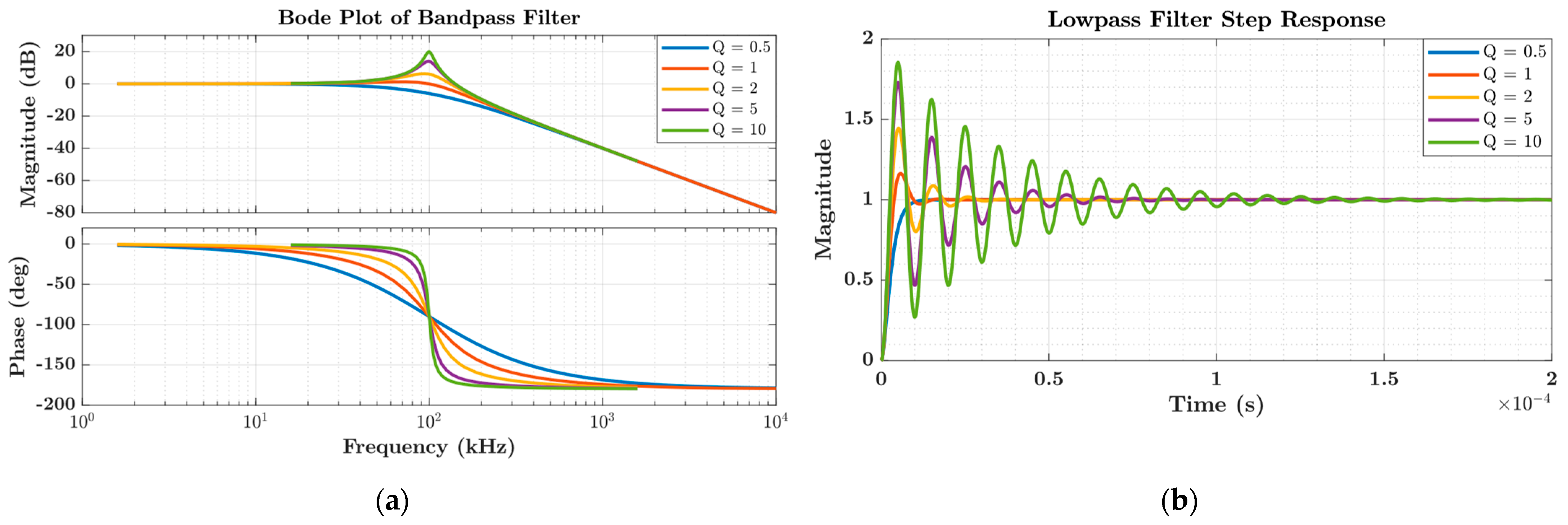
The LPF frequency responses for Q = 0.5, 1, 2, 5, and 10 are shown in Figure 12a. We observe that the higher the Q value, the higher the resonant peak. Moreover, the unit step responses of the LPF for Q = 0.5, 1, 2, 5, and 10 are shown in Figure 12b. It is observable that as Q increases, the system oscillations, overshoots, and response time all increase, hampering the dynamic performance of the DAB converter, especially in the presence of system disturbances. Therefore, Q = 1 has been selected as a compromise between better system dynamic performance and signal attenuation capabilities of the LPF.
Figure 12.
LPF responses for different Q-values: (a) Frequency response; (b) unit step response.
5.3. LADR-Based Inductor Current Control
The inductor current control using LADR begins with the dynamic equation of the inductor current derivative using the DAB equivalent circuit in Figure 2a and is given by:
To decouple (31), an easy technique is to use generalized average modeling (GAM) based on complex exponential Fourier series expansion of periodic time-dependent variables. According to [57], the derivative of the kth harmonic Fourier coefficient for a periodic signal x(t) is given by (25), which uses the time differentiation property of the complex Fourier series where ω is the angular switching frequency:
Furthermore, the kth harmonic complex Fourier coefficient of the product of two variables x and y based on the one-dimensional discrete convolution property of complex Fourier series is given by:
For this work, k = 0 for DC signals, while k = ±1 for the transformer AC signals and switching function components at the switching frequency ωs.
Applying (25) to (24), we obtain the following:
If we let , and , then simplifying (27), we can obtain the decoupled system of equations in (28):
The system of equations in (28) can be rewritten in a form suitable for LADRC as follows:
The system of equations in (29) is in the form , hence their tuning follows the principles explained in Section 4. The control variables in (29) are and , and these variables are used to obtain the internal and external phase shift angles simply and optimally to control power flow. The internal phase angle () and external phase angle () for DPS control are obtained from the Fourier series expansion in (1) and are given by (30), respectively.
Thus, by controlling the magnitude of the fundamental component of the primary voltage, it is possible to easily control not only the reactive current of the DAB converter but also the peak input current. This approach makes analysis more straightforward by using the same analysis method regardless of the system’s operating state and avoids the need for intricate control functions.
5.4. LADRC-Based Output Current Loop Control
This loop controls the output current, hence the battery average current, and generates the reference active inductive current to feed to the LADR-based inductor current control loop. The DAB converter output and inductive currents are related by the following relationship:
where n is the transformer turns ratio and S is the switching function of full bridge 2 and given by (32):
By substituting (24) into the time derivative of (31), (33) is obtained:
Applying (25) to (33), we obtain:
From (34) and using (26), we obtain the following equation:
If we let , then . We can obtain the other products in a similar way and are given in (36):
(34) can then be finally simplified as follows:
(37) can be rewritten in the form , which then makes it easy to apply LADRC. This is given in (38). The tuning of the LADR output current controller follows the same tuning principles laid down in Section 4:
Exponential Fourier series expansion of (32) gives the real and imaginary components of . These values are given in (39):
5.5. Battery Voltage Loop Control Based on LADRC
This controller regulates the battery voltage during the CV mode of battery charging. For LADRC implementation, the dynamic equation of the output capacitor voltage derivative is required and given by:
Since (40) is already in the form , can then be directly controlled to produce the reference output current () based on the LADR principle of Section 4.
5.6. Proposed Feedforward for Dynamic Performance Enhancement
The switch from CC to CV is seen as a huge system disturbance resulting in poor voltage and current dynamic performances. In order to enhance the dynamic response, improve efficiency, and guarantee a smooth transition from CC to CV, we included the feedforward compensation (FF block) that generates a feedforward current (Iof) typically introduced at the output of the external voltage loop controller. The most commonly used feedforward expression [58], based on the balance of the total equivalent load conductance at each time step, is the following:
Despite LADRC’s strong capability to eliminate both external and internal disturbances through its ESO, the highly nonlinear nature of the DAB converter and battery systems poses significant challenges for the LADR controller, particularly when three-level DAB modulation strategies are employed. As a result, (41) becomes unusable in this context. To overcome this challenge, we propose a novel feedforward expression applicable to both three-level and two-level phase-shift modulated systems, which is described next.
A linear droop control approach has been adopted to determine the reference input current signal of the controller. Suppose that is a fixed point on a non-vertical line, , whose slope is . Let be an arbitrary point on as shown in Figure 13a. Then, from linear algebra, the slope of is given by:
Figure 13.
Relationship between: (a) input current and output voltage; (b) output voltage and output current.
The slope is a conductance which can be considered equal to the converter input conductance or output load conductance . Hence can have two values depending on and given by:
Expression (43) is then used to derive a new output current feedforward term as follows:
where and are the acceleration factors and determine how fast the converter transitions from CC to CV mode.
Using a similar droop approach as before, another feedforward term is derived from the linear relationship between the output voltage and current as shown in Figure 13b. The slope of the line is:
From (45), we obtain the second feedforward expression as in (46):
where is the system’s nominal output voltage. If we assume that at a particular time instant, the system’s nominal output voltage is equal to its instantaneous output voltage i.e., , then (46) simplifies to:
Combining (44) and (47), we obtain the overall robust feedforward expression in (48), which is able to eliminate system disturbances and improve system dynamics:
6. Numerical Simulations
To validate the different DPS-based DAB control techniques proposed in this paper, MATLAB Simulink is used. The parameters of the three loop controllers together with the feedforward constants are given in Table 5.
Table 5.
Controller parameters.
The battery charging is performed by first charging the battery at a constant current of 270 A, then at a constant voltage of 900 V. Figure 14 shows the DAB inductor current with its decoupled alpha and beta components during the second charging period, with the beta component phase-shifted by 90° from its alpha counterpart as expected.
Figure 14.
Inductor current and its decoupled components.
The separated alpha and beta components of the inductor current, as illustrated in Figure 14, are utilized to generate the orthogonal current signal by applying a 90° phase shift. Subsequently, a Park transform is executed to produce the active and reactive components of the inductor current, enabling the decoupled and independent control of the DAB active and reactive power.
Figure 15 shows the actual and reference battery voltage and average battery current during each charging mode with and without the proposed droop-based feedforward technique. In both cases, the battery is first charged at a constant current of 270 A, during which the voltage is not being controlled. Afterwards, at t = 0.035 s, the charging switches to constant voltage, wherein the battery voltage starts being controlled at a value of 904 V. However, without the proposed feedforward technique, there is a large dip in both the battery current and voltage during the switch from CC to CV, lasting 20 ms. With the proposed technique, we observe a very smooth and seamless transition from CC to CV lasting 8 ms.
Figure 15.
Battery voltage (top) and average battery current (bottom) with (left) and without (right) feedforward.
The same behavior is observed in the inductor current dq-axis control loop shown in Figure 16. In this loop, the q-axis component is fixed at a reference value of zero to minimize the reactive power dissipation in the converter. As observed, without the proposed technique, the q-axis shows a very large overshoot of 30 A during the switch from CC to CV. It takes about 20 ms for the q-axis component to regain its control, whereas with the proposed technique, the overshoot in the q-axis component is greatly minimized (3 A). It takes 8 ms for the system to regain its control.
Figure 16.
DQ-axis inductor current control with and without the proposed feedforward technique.
The overall effect of the switch from CC to CV on the converter is shown in the input current waveforms and inductor current waveforms of Figure 17. We notice the large dip in both the inductor and input currents in the absence of the proposed technique, whereas we see a very smooth transition in their waveforms when the proposed technique is applied in the control loop. The change from CC to CV represents a sudden change in the load demand, which means that the system dynamics change significantly. Since the control strategy does not account for this mode change, the sudden switch therefore leads to a mismatch between the controller’s expected and actual conditions. This mismatch causes a rapid change in the battery output current, leading to a sharp drop, which is, however, resolved with the implementation of the proposed feedforward scheme, which predicts the transition and adjusts the control effort in advance, reducing the impact of the mode transition and improving the system stability.
Figure 17.
Input and inductor current transient waveforms with and without the proposed feedforward technique.
Next, the effect of the acceleration factors ( and ) on the dynamic performance of the converter battery current and voltage is studied. The results obtained are shown in Figure 18. We see that for both the battery current and voltage, the switching time from CC to CV reduces as we increase the acceleration factors, in this case from 4 to 6. Therefore, the higher the acceleration factor, the faster the transition speed is and the faster disturbances of any type can be eliminated.
Figure 18.
Effect of acceleration factor on dynamic performance.
In the simulations performed above, control parameters given in Table 5, such as the proportional gain and ADRC bandwidths, were selected such that optimal transient and steady-state performance is ensured. This followed the design guidelines provided in Section 4. However, in practice, the parameters are usually designed depending on the power rating of the converter, expected disturbances, and the dynamic behavior of the EV battery model. It is required that the bandwidth of the observer should be wide enough to track disturbances but not so wide that noise becomes a significant issue.
Finally, LADRC and the PI controller are compared, both designed with identical bandwidths, and the results obtained without and with the proposed feedforward technique are shown in Figure 19. Without feedforward, both PI and LADRC have a huge dip in battery current and voltage during the transition from CC to CV; however, the LADRC takes less time to transition to the CV mode and attain steady state as well as having lesser dips compared to PI. As can be seen, the introduction of the proposed feedforward control scheme eliminates the voltage and current dips during the mode transition for both the LADRC and PI controllers, with both controllers possessing similar transition times, thus demonstrating the robustness of the proposed feedforward scheme.
Figure 19.
Comparison of PI and LADRC: Battery voltage (top) and average battery current (bottom) without (left) and with (right) feedforward.
As has been seen, the LADRC has a better performance than the PI controller in the absence of feedforward during the switch from one charging mode to the other. This is due to the inherent nature of LADRC, which can estimate and reject disturbances more effectively through its ESO and adapt to dynamic changes, making it quicker to adjust to abrupt changes in reference modes. However, when the feedforward control is added to both the PI and LADRC systems, it directly anticipates the transition and provides a corrective input, thus reducing the need for corrective actions from both controllers and resulting in a similar performance for both.
7. Conclusions
This work has presented the design and dynamic control of a dual active bridge-based battery charging system employing DPS modulation. Moreover, a detailed LADRC modeling of each of the three loops making up the entire control system was developed. Also, a vector control approach was utilized to decouple and control the orthogonal components of the inductor current, and a Fourier series-based approach was used to determine the optimum phase shift angles that can be used to control power flow in the converter, which is less cumbersome than the traditional piecewise time-domain approaches typically used. A novel droop-based feedforward control was also proposed to smoothen the transition from CC to CV charging modes. It was also shown how the acceleration factors in the feedforward expression affect the dynamic performance of the converter. Furthermore, comparisons were made for both LADRC and PI controller, and it was shown that LADRC offers better performance in terms of transition time and voltage/current dips in the absence of any kind of feedforward control due to its ESO.
To implement the proposed control schemes practically, it is necessary to ensure that the controller can handle the wide voltage and current variations typically present in EV charging systems as well as diverse battery models found in the market. Moreover, the use of LADRC poses challenges related to properly tuning the ESO gains in real-time due to the non-linear characteristics which batteries possess during charging. However, this can be readily tackled through the use of optimization algorithms like simulated annealing, genetic algorithm, bee algorithm, as well as learning-based techniques to adaptively set the controller parameters, thus properly eliminating all system uncertainties. Additionally, the conventional LADRC described in this work requires accurate measurement of system states and lumped disturbances, which may be challenging in a noisy, real-world environment. To overcome this, techniques based on cascaded ESO, resonant ESO, model-compensated ESO, or a linear-nonlinear ESO can be adopted to keep a balance between estimation accuracy and noise attenuation. Furthermore, by properly tuning the proposed LADRC system, it can tackle small signal transmission delays found in many practical EV charging applications. However, when the time delay is quite large, techniques like polynomial-based predictive ADRC (PP-ADRC), Smith predictor-based ADRC (SP-ADRC), and predictor observer-based ADRC (PO-ADRC) can be used to enhance the performance of the traditional ADRC.
Author Contributions
Conceptualization, A.A.N., I.K., E.S. and N.D.; methodology, I.K.; modeling, A.A.N., D.S. and F.A.; formal analysis, A.A.N.; investigation, A.A.N.; writing—original draft preparation, A.A.N.; writing—review and editing, N.D. and D.S.; supervision, N.D.; project administration, P.C.; funding acquisition, N.D. and P.C. All authors have read and agreed to the published version of the manuscript.
Funding
This research was funded by the Italian Ministero dell’Istruzione, dell’Università e della Ricerca—Programma Operativo Nazionale 2014–2020 (PON): AZIONE IV.5—Dottorati su tematiche Green del PON R&I 2014–2020, and under the National Recovery and Resilience Plan (NRRP), Mission 4 Component 2 Investment 1.5—Call for tender No. 3277 of 12/30/2021 of Italian Ministry of University and Research funded by the European Union—NextGenerationEU. Project code: ECS00000033, Concession Decree No. 1052 of 23 June 2022 adopted by the Italian Ministry of University and Research, CUP D93C22000460001, Project title: Ecosystem for Sustainable Transition in Emilia-Romagna.
Data Availability Statement
The original contributions presented in the study are included in the article. Further inquiries can be directed to the corresponding author.
Conflicts of Interest
Author Emilio Sacchi was employed by the company Poseico S.p.A. The remaining authors declare that the research was conducted in the absence of any commercial or financial relationships that could be construed as a potential conflict of interest.
References
- Ehsani, M.; Singh, K.V.; Bansal, H.O.; Mehrjardi, R.T. State of the Art and Trends in Electric and Hybrid Electric Vehicles. Proc. IEEE 2021, 109, 967–984. [Google Scholar] [CrossRef]
- Nkembi, A.A.; Cova, P.; Sacchi, E.; Coraggioso, E.; Delmonte, N. A comprehensive review of power converters for E-mobility. Energies 2023, 16, 1888. [Google Scholar] [CrossRef]
- Khan, S.A.; Islam, M.R.; Guo, Y.; Zhu, J. A New Isolated Multi-Port Converter with Multi-Directional Power Flow Capabilities for Smart Electric Vehicle Charging Stations. IEEE Trans. Appl. Supercond. 2019, 29, 0602504. [Google Scholar] [CrossRef]
- Ghaeminezhad, N.; Monfared, M. Charging control strategies for lithium-ion battery packs: Review and recent developments. IET Power Electron. 2022, 15, 349–367. [Google Scholar] [CrossRef]
- Jeon, S.U.; Park, J.-W.; Kang, B.-K.; Lee, H.-J. Study on Battery Charging Strategy of Electric Vehicles Considering Battery Capacity. IEEE Access 2021, 9, 89757–89767. [Google Scholar] [CrossRef]
- Gücin, T.N.; Biberoğlu, M.; Fincan, B. A Constant-Current Constant-Voltage Charging based control and design approach for the parallel resonant converter. In Proceedings of the 2015 International Conference on Renewable Energy Research and Applications (ICRERA), Palermo, Italy, 22–25 November 2015; pp. 414–419. [Google Scholar] [CrossRef]
- Diep, N.T.; Trung, N.K.; Minh, T.T. Control the Constant Current/Voltage Charging Mode in the Wireless Charging System for Electric Vehicle with LCC Compensation Circuit. In Proceedings of the 2019 IEEE Vehicle Power and Propulsion Conference (VPPC), Hanoi, Vietnam, 14–17 October 2019; pp. 1–5. [Google Scholar] [CrossRef]
- Bao, L.; Fan, L.; Miao, Z. Real-Time Simulation of Electric Vehicle Battery Charging Systems. In Proceedings of the 2018 North American Power Symposium (NAPS), Fargo, ND, USA, 9–11 September 2018. [Google Scholar] [CrossRef]
- Safayatullah, M.; Rezaii, R.; Ghosh, S.; Batarseh, I. Control of Electric Vehicle Fast Charger based on Vienna Rectifier and Dual Active Bridge DC-DC Converter. In Proceedings of the 2022 IEEE International Conference on Industrial Technology (ICIT), Shanghai, China, 22–25 August 2022. [Google Scholar] [CrossRef]
- Bao, K.; Li, S.; Zheng, H. Battery charge and discharge control for energy management in EV and utility integration. In Proceedings of the IEEE Power and Energy Society General Meeting, San Diego, CA, USA, 22–26 July 2012. [Google Scholar] [CrossRef]
- Pavković, D.; Hrgetić, M.; Komljenović, A.; Smetko, V. Battery current and voltage control system design with charging application. In Proceedings of the 2014 IEEE Conference on Control Applications (CCA), Juan Les Antibes, France, 8–10 October 2014; pp. 1133–1138. [Google Scholar] [CrossRef]
- Hebala, O.M.; Aboushady, A.A.; Ahmed, K.H.; Abdelsalam, I.; Burgess, S.J. A New Active Power Controller in Dual Active Bridge DC–DC Converter with a Minimum-Current-Point-Tracking Technique. IEEE J. Emerg. Sel. Top. Power Electron. 2021, 9, 1328–1338. [Google Scholar] [CrossRef]
- Huang, J.; Li, Z.; Shi, L.; Wang, Y.; Zhu, J. Optimized Modulation and Dynamic Control of a Three-Phase Dual Active Bridge Converter with Variable Duty Cycles. IEEE Trans. Power Electron. 2019, 34, 2856–2873. [Google Scholar] [CrossRef]
- Rashwan, A.; Ali, A.I.; Senjyu, T. Current stress minimization for isolated dual active bridge DC–DC converter. Sci. Rep. 2022, 12, 16980. [Google Scholar] [CrossRef]
- Wang, Y.; Wen, H.; Zhu, Y.; Shi, H.; Bu, Q.; Hu, Y.; Yang, Y. Minimum-Current-Stress Scheme of Three-Level Dual-Active-Bridge DC–DC Converters with the Particle Swarm Optimization. IEEE Trans. Transp. Electrif. 2021, 7, 2067–2084. [Google Scholar] [CrossRef]
- Ren, Q.; Xiao, F.; Liu, J.; Chen, P.; Zhu, Z. Efficiency improvement and high-performance control of dual-active-bridge DC-DC converter with triple-phase-shift modulation. CSEE J. Power Energy Syst. 2022, 1–12. [Google Scholar] [CrossRef]
- Nguyen, D.-D.; Yukita, K.; Katou, A.; Yoshida, S. Design Optimization of a Three-Phase Dual-Active-Bridge Converter for Charging Stations. In Proceedings of the 2019 IEEE Vehicle Power and Propulsion Conference (VPPC), Hanoi, Vietnam, 14–17 October 2019; pp. 1–6. [Google Scholar] [CrossRef]
- Chen, Z.; Zheng, Z.; Tang, X.; Wu, Y.; Xiang, T. Efficiency improvement of dual active bridge converter using simple graphical optimization method. Int. J. Circuit Theory Appl. 2023, 52, 248–262. [Google Scholar] [CrossRef]
- Wang, Y.; Zhu, Y.; Wen, H. PSO-based Current Stress Optimization for Three-Level Dual Active Bridge DC-DC Converters. In Proceedings of the 2020 Chinese Automation Congress (CAC), Shanghai, China, 6–8 November 2020; pp. 4283–4287. [Google Scholar] [CrossRef]
- Zhang, H.; Tong, X.; Yin, J. Optimal triple-phase-shift controller design of isolated bidirectional DC-DC converter based on ant colony algorithm and BP neural network. In Proceedings of the IECON 2017-43rd Annual Conference of the IEEE Industrial Electronics Society, Beijing, China, 29 October–1 November 2017; pp. 8802–8807. [Google Scholar] [CrossRef]
- Zhou, L.; Gao, Y.; Ma, H.; Krein, P.T. Wide-Load Range Multiobjective Efficiency Optimization Produces Closed-Form Control Solutions for Dual Active Bridge Converter. IEEE Trans. Power Electron. 2021, 36, 8612–8616. [Google Scholar] [CrossRef]
- Tang, Y.; Hu, W.; Zhang, B.; Cao, D.; Hou, N.; Li, Y.; Chen, Z.; Blaabjerg, F. Deep Reinforcement Learning-Aided Efficiency Optimized Dual Active Bridge Converter for the Distributed Generation System. IEEE Trans. Energy Convers. 2022, 37, 1251–1262. [Google Scholar] [CrossRef]
- Segaran, D.; Holmes, D.G.; McGrath, B.P. Enhanced Load Step Response for a Bidirectional DC–DC Converter. IEEE Trans. Power Electron. 2013, 28, 371–379. [Google Scholar] [CrossRef]
- Song, W.; Hou, N.; Wu, M. Virtual Direct Power Control Scheme of Dual Active Bridge DC-DC Converters for Fast Dynamic Response. IEEE Trans. Power Electron. 2018, 33, 1750–1759. [Google Scholar] [CrossRef]
- An, F.; Song, W.; Yang, K.; Yang, S.; Ma, L. A Simple Power Estimation with Triple Phase-Shift Control for the Output Parallel DAB DC–DC Converters in Power Electronic Traction Transformer for Railway Locomotive Application. IEEE Trans. Transp. Electrif. 2019, 5, 299–310. [Google Scholar] [CrossRef]
- Xu, X.; Bao, G.; Wang, Y.; Li, Q. Design of H∞ Robust Controller with Load-Current Feedforward for Dual-Active-Bridge DC–DC Converters Considering Parameters Uncertainty. IEEE Access 2023, 11, 72332–72342. [Google Scholar] [CrossRef]
- Sun, J.; Sun, Q.; Ma, D.; Wang, P. Improved dynamic response strategy with dual phase-shift control for dual-active-bridge DC–DC converter. IET Power Electron. 2020, 13, 2671–2674. [Google Scholar] [CrossRef]
- An, F.; Song, W.; Yang, K. Direct Power Control of dual-active-Bridge DC–DC converters based on unified phase shift control. J. Eng. 2018, 2019, 2180–2184. [Google Scholar] [CrossRef]
- Zhou, X.; Zhong, W.; Ma, Y.; Guo, K.; Yin, J.; Wei, C. Control Strategy Research of D-STATCOM Using Active Disturbance Rejection Control Based on Total Disturbance Error Compensation. IEEE Access 2021, 9, 50138–50150. [Google Scholar] [CrossRef]
- Bose, S.; Hote, Y.V.; Siddhartha, V. Analysis and Application of Linear ADRC for the Control of DC-DC Converters. In Proceedings of the 2019 Fifth Indian Control Conference (ICC), New Delhi, India, 9–11 January 2019; pp. 436–441. [Google Scholar] [CrossRef]
- Ahmad, S.; Ali, A. Active disturbance rejection control of DC–DC boost converter: A review with modifications for improved performance. IET Power Electron. 2019, 12, 2095–2107. [Google Scholar] [CrossRef]
- Liu, X.; Qiu, L.; Fang, Y.; Wang, K.; Li, Y.; Rodríguez, J. Finite Control-Set Learning Predictive Control for Power Converters. IEEE Trans. Ind. Electron. 2024, 71, 8190–8196. [Google Scholar] [CrossRef]
- Li, X.; Zhan, S.; Yang, Z.; Guo, F.; Liao, H. Improved linear active disturbance rejection control for double active bridge series resonant converter with high voltage gain. Int. J. Circuit Theory Appl. 2024, 1–16. [Google Scholar] [CrossRef]
- Ganesan, P.; Hatua, K. Vector control adopted for single phase Dual Active Bridge. In Proceedings of the 2016 IEEE International Conference on Power Electronics, Drives and Energy Systems (PEDES), Trivandrum, India, 14–17 December 2016; pp. 1–6. [Google Scholar] [CrossRef]
- P, G.; Hatua, K. Implementation of Vector control for Single Phase Dual Active Bridge to achieve ZVS and ZCS for Switching Loss Reduction. In Proceedings of the 2022 IEEE Energy Conversion Congress and Exposition (ECCE), Detroit, MI, USA, 9–13 October 2022; pp. 1–6. [Google Scholar] [CrossRef]
- Rahman, M.I. Control for High Power Dual Active Bridge DC/DC Converter During DC Fault. In Proceedings of the 2018 IEEE PES Asia-Pacific Power and Energy Engineering Conference (APPEEC), Kota Kinabalu, Malaysia, 7–10 October 2018; pp. 627–632. [Google Scholar] [CrossRef]
- Tripathi, A.; Mainali, K.; Patel, D.; Bhattacharya, S.; Hatua, K. Control and performance of a single-phase dual active half bridge converter based on 15kV SiC IGBT and 1200V SiC MOSFET. In Proceedings of the 2014 IEEE Applied Power Electronics Conference and Exposition-APEC 2014, Fort Worth, TX, USA, 16–20 March 2014; pp. 2120–2125. [Google Scholar] [CrossRef]
- Nkembi, A.A.; Cova, P.; Kortabarria, I.; Sacchi, E.; Delmonte, N. An improved modelling and dynamic control of the dual active bridge converter for fast battery charging of electric vehicles. In Proceedings of the 12th International Conference on Power Electronics, Machines and Drives (PEMD 2023), Brussels, Belgium, 23–24 October 2023; pp. 247–254. [Google Scholar] [CrossRef]
- Kim, J.T.; Park, S.; Song, S.-M.; Kim, I.-D. Controller Design of DAB DC-DC Converter for Battery Charger. In Proceedings of the 2021 24th International Conference on Electrical Machines and Systems (ICEMS), Gyeongju, Republic of Korea, 31 October–3 November 2021; pp. 2050–2054. [Google Scholar] [CrossRef]
- Chaurasiya, S.; Singh, B. A Load Adaptive DPS Control for DAB with Reduced Current Stress for Wide Load and Voltage Range. In Proceedings of the 2020 IEEE International Conference on Power Electronics, Drives and Energy Systems (PEDES), Jaipur, India, 16–19 December 2020; pp. 1–6. [Google Scholar] [CrossRef]
- Wang, Y.-C.; Ni, F.-M.; Lee, T.-L. Hybrid modulation of bidirectional three-phase dual-active-bridge DC converters for electric vehicles. Energies 2016, 9, 492. [Google Scholar] [CrossRef]
- Lee, D.-M.; Hyun, S.-W.; Kang, J.-W.; Noh, Y.-S.; Won, C.-Y. A control strategy for bidirectional isolated 3-phase current-fed dual active bridge converter. Electronics 2018, 7, 214. [Google Scholar] [CrossRef]
- Shi, H.; Wen, H.; Chen, J.; Hu, Y.; Jiang, L.; Chen, G. Minimum-Reactive-Power Scheme of Dual-Active-Bridge DC–DC Converter with Three-Level Modulated Phase-Shift Control. IEEE Trans. Ind. Appl. 2017, 53, 5573–5586. [Google Scholar] [CrossRef]
- Xu, X.; Wang, Y.; Ma, M.; Bao, G. Multi-objective optimization phase-shift control strategy for dual-active-bridge isolated bidirectional DC-DC converter. Inf. MIDEM-J. Microelectron. Electron. Compon. Mater. 2021, 51, 169–179. [Google Scholar] [CrossRef]
- Chen, G.-J.; Chung, W.-H. Evaluation of charging methods for lithium-ion batteries. Electronics 2023, 12, 4095. [Google Scholar] [CrossRef]
- Li, X.; Yang, L.; Xu, Z.; Wu, Y.; Liu, S.; Cai, C. A communication-free WPT system based on transmitter-side hybrid topology switching for battery charging applications. AIP Adv. 2020, 10, 045302. [Google Scholar] [CrossRef]
- Saldaña, G.; Martín, J.I.S.; Zamora, I.; Asensio, F.J.; Oñederra, O. Analysis of the current electric battery models for electric vehicle simulation. Energies 2019, 12, 2750. [Google Scholar] [CrossRef]
- Chang, W.-Y. The state of charge estimating methods for Battery: A review. ISRN Appl. Math. 2013, 2013, 1–7. [Google Scholar] [CrossRef]
- Dong, H.; Wang, H.; Li, G.; Zhai, H. Linear active disturbance rejection control of new double full-bridge ZVZCS converter for Beam Supply. Electronics 2022, 11, 3062. [Google Scholar] [CrossRef]
- Smadi, A.A.; Khoucha, F.; Amirat, Y.; Benrabah, A.; Benbouzid, M. Active disturbance rejection control of an interleaved high gain DC-DC boost converter for fuel cell applications. Energies 2023, 16, 1019. [Google Scholar] [CrossRef]
- Kang, Z.; Li, Y. Active disturbance rejection control of full-Bridge DC–DC converter for a pulse power supply with controllable charging time. Electronics 2023, 12, 5018. [Google Scholar] [CrossRef]
- Li, H.; Liu, X.; Lu, J. Research on linear active disturbance rejection control in DC/DC boost converter. Electronics 2019, 8, 1249. [Google Scholar] [CrossRef]
- Yang, L.; Chen, Y.; Luo, A.; Wu, W.; Huai, K.; Zhou, X.; Zhou, L.; Xu, Q.; Guerrero, J.M. Second Ripple Current Suppression by Two Bandpass Filters and Current Sharing Method for Energy Storage Converters in DC Microgrid. IEEE J. Emerg. Sel. Top. Power Electron. 2017, 5, 1031–1044. [Google Scholar] [CrossRef]
- Meng, X.; Jia, Y.; Ren, C.; Han, X.; Wang, P. Modular Circulating Current and Second Harmonic Current Suppression Strategy by Virtual Impedance for DC Solid-State Transformer. IEEE Trans. Power Electron. 2021, 36, 11921–11933. [Google Scholar] [CrossRef]
- Nayak, S.; Gurunath, S.; Rajasekar, N. Advanced single-phase inverse park PLL with tuning of PI controller for improving stability of grid utility using soft computing technique. In Proceedings of the 2016 Online International Conference on Green Engineering and Technologies (IC-GET), Coimbatore, India, 19 November 2016; pp. 1–5. [Google Scholar] [CrossRef]
- Zou, Y.; Zhang, L.; Xing, Y.; Zhang, Z.; Zhao, H.; Ge, H. Generalized Clarke Transformation and Enhanced Dual-Loop Control Scheme for Three-Phase PWM Converters Under the Unbalanced Utility Grid. IEEE Trans. Power Electron. 2022, 37, 8935–8947. [Google Scholar] [CrossRef]
- Rolak, M.; Twardy, M.; Soból, C. Generalized average modeling of a dual active bridge DC-DC converter with triple-phase-shift modulation. Energies 2022, 15, 6092. [Google Scholar] [CrossRef]
- De Din, E.; Siddique, H.A.B.; Cupelli, M.; Monti, A.; De Doncker, R.W. Voltage Control of Parallel-Connected Dual-Active Bridge Converters for Shipboard Applications. IEEE J. Emerg. Sel. Top. Power Electron. 2018, 6, 664–673. [Google Scholar] [CrossRef]
Disclaimer/Publisher’s Note: The statements, opinions and data contained in all publications are solely those of the individual author(s) and contributor(s) and not of MDPI and/or the editor(s). MDPI and/or the editor(s) disclaim responsibility for any injury to people or property resulting from any ideas, methods, instructions or products referred to in the content. |
© 2024 by the authors. Licensee MDPI, Basel, Switzerland. This article is an open access article distributed under the terms and conditions of the Creative Commons Attribution (CC BY) license (https://creativecommons.org/licenses/by/4.0/).


















