Flexible Integrated Scheduling Considering Periodic Maintenance
Abstract
1. Introduction
- For the flexible integrated scheduling, the scheduling problem under periodic maintenance of equipment was addressed for the first time;
- For the scheduling of operations, the layer priority strategy and the short-time strategy are preferred when establishing the initial operation set. For the operation adjustment, the flexible equipment priority strategy is used to dynamically adjust the operations.
- For effective optimization, we have comprehensively considered the horizontal and the vertical directions. For the horizontal direction, the hierarchical relationship and equipment priority in the product structure attribute of the tree are studied, and the intensity of parallel processing is effectively improved. For the vertical direction, based on the dynamic adjustment of the selected flexible equipment, the starting time and the duration of the maintenance are determined, which effectively improves the intensity of the compact processing of the operation on the equipment and realizes periodic maintenance activities.
2. Problem Description and Model Construction
- (1)
- At the beginning of the processing, each machine is idle, the health value is full, and the performance is perfect;
- (2)
- The sufficient and necessary condition for each operation to start processing is that all the predecessor operations have been completed;
- (3)
- In order to ensure the long-term stable operation of the equipment, during the maintenance period, the equipment will not be able to perform any processing procedures;
- (4)
- Operation processing and equipment maintenance are continuous processes, its consistency and stability must be maintained, and any form of the interruption is never allowed;
- (5)
- The equipment can be idle before starting maintenance.
3. Algorithm Design and Analysis
3.1. Algorithm Description
3.2. Complexity Analysis
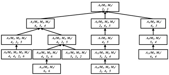
4. Algorithm Example Description
4.1. Petri Net Modeling Analysis
- (1)
- Concurrency state: each disjoint transition is preferentially excited in its own place. For example, transitions T15, T14, T9, and T11 have tokens at the same time at t = 0, which are excited at the same time at P1, P2, P3, and P4, respectively.
- (2)
- The sequential state with tight constraints between transitions: only when the tight constraint transition of the transition excites and releases the token, can it have the token in the corresponding place and enter the excitation state.
- (3)
- The order state of the place constraint relationship between the transitions: in the same place, only after the current transition is triggered, the next transition can have a token.
4.2. Scheduling Example Analysis
5. Experimental Analysis
5.1. Comparative Analysis of the Dynamic Adjustment Strategy
5.2. Comparative Analysis of Data Sets
5.3. The Advantage Analysis of the Proposed Algorithm
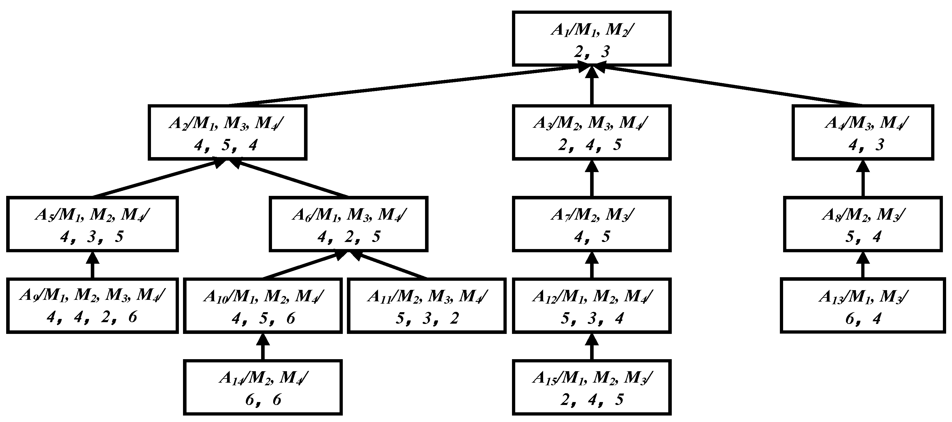
- (1)
- From the perspective of improving the compact scheduling optimization of processes, the classic strategy combination, the layer priority strategy with the short-time strategy, is adopted to effectively shorten the processing time of parallel operations. The dynamic adjustment strategy is proposed according to the total processing cost and significantly optimizes the processing efficiency, which effectively reduces the makespan of the complex product and further shortens the waiting time for operations. With M1 in Figure 7, A5 starts to be processed at , which is seven working hours earlier than in Figure 5. This makes the successor operations, A2 and A1, also have the advantage of earlier processing, which is 3 working hours earlier.
- (2)
- From the perspective of optimizing the utilization rate of the equipment, the proposed algorithm not only improves the overall utilization rate of the equipment and reduces the makespan of the complex product, but also completes the equipment maintenance task. As shown in Figure 7: ① all the operations on M1, M2, and M3 achieve seamless high-density scheduling, and the equipment utilization reaches 100% before the maintenance begins; ② the overall utilization rate of M1 is increased from 32% to 91%, achieving a significant improvement. The machine sequence can process more operations in a short period of time, and achieve the optimization effect of tight machining of the operations on the same machine.
5.4. Analysis of Applicability and Potential Limitations
6. Conclusions
- (1)
- The proposed dynamic adjustment strategy significantly improves the overall utilization rate of the equipment and realizes the compact operation processing. Compared with non-dynamic adjustment and non-maintenance, the overall equipment utilization rate of the proposed algorithm is improved by 35%.
- (2)
- In this paper, the loss value and maintenance time are calculated together, which effectively improves the ability of close processing of the operations, reduces the makespan of the product by 12%, and completes the maintenance activities that account for 18% of the total processing time during the processing.
- (3)
- In this paper, the strategy combination of the layer priority, the short-time, the equipment priority, and the dynamic adjustment strategies is comprehensively applied to realize scheduling optimization of the complex products in vertical and horizontal directions, and periodic maintenance is realized in the flexible integrated scheduling.
Author Contributions
Funding
Data Availability Statement
Conflicts of Interest
References
- Han, J. Influencing Factors of Mechanical Wear and Routine Maintenance. Mod. Manuf. Technol. Equip. 2019, 12, 159–161. [Google Scholar] [CrossRef]
- Pang, S.; Jia, Y.X.; Liu, X.; Deng, Y.C. Study on simulation modeling and evaluation of equipment maintenance. J. Shanghai Jiaotong Univ. (Sci.) 2016, 21, 594–599. [Google Scholar] [CrossRef]
- Jiang, Z.G.; Dong, M. Study on Single-machine Problem with Maintenance and Variable Processing Time. Ind. Eng. Manag. 2011, 16, 68–74. [Google Scholar] [CrossRef]
- Lou, P.; Yu, D.; Jiang, X.M.; Hu, J.M.; Zeng, Y.H. Knowledge Graph Construction Based on a Joint Model for Equipment Maintenance. Mathematics 2023, 11, 3748. [Google Scholar] [CrossRef]
- Song, W.J.; Zhang, C.Y.; Yin, Y.; Shao, X.Y. Integrated Optimization of Equipment Maintenance and Shop Scheduling Problem Based on Multi-objective Hybrid Imperialist Competitive Algorithm. China Mech. Eng. 2015, 26, 1478–1487. [Google Scholar] [CrossRef]
- Ashary, A.; Rayguru, M.M.; SharafianArdakani, P.; Kondaurova, I.; Popa, D.O. Multi-Joint Adaptive Motion Imitation in Robot-Assisted Physiotherapy with Dynamic Time Warping and Recurrent Neural Networks. In Proceedings of the SoutheastCon 2024, Atlanta, GA, USA, 15–24 March 2024; IEEE: New York, NY, USA, 2024; pp. 1388–1394. [Google Scholar] [CrossRef]
- Ashary, A.; Rayguru, M.M.; Dowdy, J.; Taghavi, N.; Popa, D.O. Adaptive Motion Imitation for Robot Assisted Physiotherapy Using Dynamic Time Warping and Recurrent Neural Network. In Proceedings of the 17th International Conference on PErvasive Technologies Related to Assistive Environments, Crete, Greece, 26–28 June 2024; pp. 55–62. [Google Scholar] [CrossRef]
- Sheen, G.; Liao, L.; Lin, C. Optimal parallel machines scheduling with machine availability and eligibility constraints. Int. J. Adv. Manuf. Technol. 2008, 36, 132–139. [Google Scholar] [CrossRef]
- Li, D.W.; Zhang, Z.H.; Liu, T.H.; Zhong, Q.H. Product Maintenance Strategy Research Based on Scheduled Servicing. Acta Aeronaut. Astr-Onautica Sin. 2013, 34, 1101–1107. [Google Scholar] [CrossRef]
- Bingchan, L.; Mao, B.; Cao, J. Maintenance and Management of Marine Communication and Navigation Equipment Based on Virtual Reality. Procedia Comput. Sci. 2018, 139, 221–226. [Google Scholar] [CrossRef]
- Xie, Z.Q.; Zhou, W.; YU, Z.R. Integrated Scheduling Algorithm for Dynamic Adjustment of Equipment Maintenance Start Time. J. Mech. Eng. 2021, 57, 240–246. [Google Scholar]
- Zhang, G.P. Research on predictive maintenance system of mechanical equipment based on mega data. Mach. China 2023, 36, 61–64+69. [Google Scholar]
- Sun, K.; Li, H. Scheduling problems with multiple maintenance activ-ities and non-preemptive jobs on two identical parallel machines. Int. J. Prod. Econ. 2010, 124, 151–158. [Google Scholar] [CrossRef]
- Xie, Z.Q. Study on Operation Scheduling of Complex Product with Constraint among Jobs. Ph.D. Thesis, Harbin University of Science and Technology, Harbin, China, 2009. [Google Scholar]
- Xie, Z.Q.; Zhou, W.; Yang, J. Resource Cooperative Integrated Scheduling Algorithm Based on Sub-tree Cycle Decomposition of Process Tree. J. Mech. Eng. 2022, 58, 228–239. [Google Scholar] [CrossRef]
- Xie, Z.Q.; Yang, D.; Ma, M.R.; Yu, X. An improved artificial bee colony algorithm for the flexible integrated scheduling problem using networked devices collaboration. Int. J. Coop. Inf. Syst. 2020, 29, 2040003. [Google Scholar] [CrossRef]
- Xie, Z.Q.; Yang, G.; Tan, G.Y. An algorithm of JSSP with dynamic collection of job with priority. In Proceedings of the International Technology and Innovation Conference 2006-Advanced Manufacturing Technologies, Hangzhou, China, 6–7 November 2006; pp. 106–111. [Google Scholar]
- Xie, Z.Q.; Hao, S.Z.; Ye, G.J.; Tan, G.Y. A new algorithm for complex product flexible scheduling with constraint between jobs. Comput. Ind. Eng. 2009, 57, 766–772. [Google Scholar] [CrossRef]
- Zhou, W.; Xie, Z.Q. Resource Collaborative Integrated Scheduling Algorithm Considering Multi-process Equipment Weight. J. Electron. Inf. Technol. 2022, 44, 1625–1635. [Google Scholar] [CrossRef]
- Xie, Z.Q.; Wang, Q. Flexible Integrated Scheduling Algorithm Based on Reverse Order Layer Priority. J. Electron. Inf. Technol. 2022, 44, 1554–1562. [Google Scholar] [CrossRef]
- Teng, K.; Xie, Z.Q.; Yue, X.G. A Flexible Integrated Scheduling Algorithm for Dynamic Determination Processing Equipment Considering the Root-Subtree Vertical and Horizontal Pre-Scheduling. IEEE Access 2022, 10, 132298–132314. [Google Scholar] [CrossRef]
- Zhou, W.; Zhou, P.W.; Zheng, Y.; Xie, Z.Q. A Heuristic Integrated Scheduling Algorithm via Processing Characteristics of Various Machines. Symmetry 2022, 14, 2150–2170. [Google Scholar] [CrossRef]
- Gui, Z.Y.; Yang, J.; Xie, Z.Q. Scheduling algorithm for flexible job shop based on pruning and layering. Control Decis. 2017, 32, 1921–1932. [Google Scholar] [CrossRef]
- Xie, Z.Q.; Zhou, W.; Yang, J. Resource cooperative integrated scheduling algorithm considering hierarchical scheduling order. Comput. Integr. Manuf. Syst. 2022, 28, 3391–3402. [Google Scholar] [CrossRef]
- Zhou, P.W.; Xie, Z.Q.; Zhou, W.; Tan, Z.J. A Heuristic Integrated Scheduling Algorithm Based on Improved Dijkstra Algorithm. Electronics 2023, 12, 4189. [Google Scholar] [CrossRef]
- Zhou, W.; Zhou, P.W.; Yang, D.; Cao, W.C.; Tan, Z.J. Symmetric Two-Workshop Heuristic Integrated Scheduling Algorithm Based on Process Tree Cyclic Decomposition. Electronics 2023, 12, 1553. [Google Scholar] [CrossRef]
- Xie, Z.Q.; Zhou, H.X.; Yu, J.; Gui, Z.Y. Conflict Mediation Algorithm of the Integrated Flexible Scheduling Based on Device Driver. Trans. Beijing Inst. Technol. 2014, 34, 1150–1156. [Google Scholar] [CrossRef]
- Zhou, W.; Ding, X.Y.; Xie, Z.Q. An Integrated Scheduling Algorithm Considering the Processing Capacity of Flexible Equipment. J. South China Norm. Univ. (Nat. Sci. Ed.) 2024, 56, 110–118. [Google Scholar] [CrossRef]










| Adjustment Operation | Before | After | ||
|---|---|---|---|---|
| Machine | Completion Time | Machine | Completion Time | |
| A12 | M2 | 9 | M4 | 6 |
| A8 | M3 | 16 | M3 | 10 |
| A5 | M2 | 12 | M1 | 6 |
| A2 | M4 | 23 | M1 | 20 |
| Processing Moment | The Number of Processed Operations | The Number of Processing Operations | The State of Equipment Health | Loss Value of Equipment |
|---|---|---|---|---|
| t = 2.5 | 3 | 4 | 90% | 0.1 |
| t = 5 | 3 | 4 | 80% | 0.2 |
| t = 7.5 | 7 | 3 | 70% | 0.3 |
| t = 10 | 10 | 0 | 60% | 0.4 |
| Machine | Equipment Utilization without the Dynamic Adjustment and the Maintenance | Equipment Utilization by the Proposed Algorithm | Relative Increase Rate of the Overall Equipment Utilization | ||
|---|---|---|---|---|---|
| t = 0 to t = 10 | Overall Utilization of Equipment | t = 0 to t = 10 | Overall Utilization of Equipment | ||
| M1 | 60% | 32% | 100% | 91% | 59% |
| M2 | 100% | 100% | 100% | 100% | - |
| M3 | 60% | 75% | 100% | 100% | 25% |
| M4 | 20% | 39% | 60% | 76% | 37% |
Disclaimer/Publisher’s Note: The statements, opinions and data contained in all publications are solely those of the individual author(s) and contributor(s) and not of MDPI and/or the editor(s). MDPI and/or the editor(s) disclaim responsibility for any injury to people or property resulting from any ideas, methods, instructions or products referred to in the content. |
© 2024 by the authors. Licensee MDPI, Basel, Switzerland. This article is an open access article distributed under the terms and conditions of the Creative Commons Attribution (CC BY) license (https://creativecommons.org/licenses/by/4.0/).
Share and Cite
Ding, X.; Xie, Z.; Zhou, W.; Tan, Z.; Sun, M. Flexible Integrated Scheduling Considering Periodic Maintenance. Electronics 2024, 13, 3730. https://doi.org/10.3390/electronics13183730
Ding X, Xie Z, Zhou W, Tan Z, Sun M. Flexible Integrated Scheduling Considering Periodic Maintenance. Electronics. 2024; 13(18):3730. https://doi.org/10.3390/electronics13183730
Chicago/Turabian StyleDing, Xueying, Zhiqiang Xie, Wei Zhou, Zhenjiang Tan, and Ming Sun. 2024. "Flexible Integrated Scheduling Considering Periodic Maintenance" Electronics 13, no. 18: 3730. https://doi.org/10.3390/electronics13183730
APA StyleDing, X., Xie, Z., Zhou, W., Tan, Z., & Sun, M. (2024). Flexible Integrated Scheduling Considering Periodic Maintenance. Electronics, 13(18), 3730. https://doi.org/10.3390/electronics13183730

