You are currently viewing a new version of our website. To view the old version click .
Electronics
  • Article
  • Open Access

13 September 2024

Application of Genetic Algorithms for Strejc Model Parameter Tuning

and
Department of Automatic Control and Robotics, Faculty of Electrical Engineering, Bialystok University of Technology, Wiejska 45D Street, 15-351 Bialystok, Poland
*
Author to whom correspondence should be addressed.
This article belongs to the Special Issue Advances in Signals and Systems Research

Abstract

In this paper, genetic algorithms are applied to fine-tune the parameters of a system model characterized by unknown transfer functions utilizing the Strejc method. In this method, the high-order plant dynamic is approximated by the reduced-order multiple inertial transfer function. The primary objective of this research is to optimize the parameter values of the Strejc model using genetic algorithms to obtain the optimal value of the integral quality indicator for the model and step responses which fit the plant response. In the analysis, various structures of transfer functions will be considered. For fifth-order plants, different structures of a transfer function will be employed: second-order inertia and multiple-inertial models of different orders. The genotype structure is composed in such a way as to ensure the convergence of the method. A numerical example demonstrating the utility of the method of high-order plants is presented.

1. Introduction

Genetic algorithms (GAs), inspired by the natural drive of organisms to survive in external environments, find wide application in modern techniques for optimizing physical systems and selecting their parameters [1]. Currently, they are commonly used in various fields of science and industry. The authors of [2,3] provide a wide range of algorithm techniques, such as chromosome construction, selection, and mutation rules. These fundamentals offer the opportunity to develop a variety of advanced parameter optimization tools for various purposes.
Genetic algorithms were applied to the identification process in [4], where the authors considered models in both continuous-time and discrete-time domains. Similar methods have proven successful in handling nonlinear structure processes, as demonstrated in [5,6].
In the estimation process of model parameter values, GAs offer an intriguing alternative to existing identification methods. For instance, in [7], this method was used to determine the values of induction motor model parameters, while in [8], they were utilized for the R-L-C-M transformer model. In [9], a genetic algorithm (GA) was employed to determine the parameters of the model which described an unknown difference equation. The GA approach and the least mean square method were compared in [10], where both were applied to the dynamic parameter identification of modular robot manipulators. A hybrid version of a GA found an application in identification of the control parameters for the converters of doubly fed wind turbines [11]. Other applications include the identification of a photovoltaic module model [12] and finding the parameter values of a hysteretic brushless exciter model for synchronous generators [13]. Genetic algorithms are useful in the PID controller tuning process. In [14], the authors presented an application of evolutionary algorithms to tune fuzzy logic PID controllers for industrial usage. Genetic algorithms (GAs) and improved genetic algorithms (IGAs) were also applied to the tuning process of a PID controller for a second-order inertial system as described in [15].
In control theory, when addressing problems associated with describing systems whose internal structure is unknown, the popular method of Strejc is widely employed [16,17]. This method relies on a system’s step response and the experimentally matched parameters of a mathematical model of the plant to ensure correspondence between the responses of the real object and the model. In this method, the high-order plant dynamic is approximated by the reduced-order multiple-inertial transfer function. The greatest challenge is determining the model order and the time-constant values such that the approximation error remains sufficiently small. In [18], Byrski focused on the fundamental Strejc method and introduced a newer approach to identify a plant’s transfer function.
The Strejc method is limited by a system’s complex behaviors and nonlinearity. Applying this method optimally to more intricate systems is challenging due to the difficulty in selecting appropriate time constants, leading to reduced effectiveness. The preference for a genetic algorithm over other stochastic optimization methods is largely due to its simplicity and intuitive implementation. Additionally, genetic algorithms can utilize any objective function regardless of differentiability, making them suitable for further development in systems with discontinuous time responses, such as switching systems. They can also be combined with other optimization algorithms, enabling further advancements.
This paper will discuss the application of genetic algorithms in control theory to address a problem concerning the mathematical description of systems with unknown transfer functions. It will utilize the Strejc method in conjunction with genetic algorithms. This paper will focus on describing the process of optimizing the Strejc model’s parameters, using GAs to minimize the integral quality indicator value of the model.
In the analysis, various structures of transfer functions will be considered. For high-order plants, second-order inertia and multiple-inertial models of different orders will be employed. The algorithm is designed to ensure convergence of the method. The functioning of the method will be demonstrated and discussed through a numerical example.
This paper is organized as follows. Section 2 presents Vladimir Strejc’s technique for parameter estimation, particularly in cases where the system’s transfer functions are not known. In Section 3, a detailed description of the designed genetic algorithm is provided, covering aspects such as the genotype structure, reproduction, crossover, and mutation operations. Section 4 presents the results of numerical analysis conducted on a chosen transfer function of the sixth order. The concluding remarks drawn from the the obtained results are provided in the last section of this paper.

2. Strejc Method

The Strejc method has two variants. According to [18], the first variant focuses on identification of the unknown plant using the nth-order transfer function with multiple time constants T n and transport time delay τ n :
G ( s ) = k ( s T n + 1 ) n e s τ n ,
where k is the gain coefficient.
A model constructed in this manner approximates the dynamic behavior of the process based on the shape of its experimentally measured step response. Strejc [16] suggested that his method is suitable only for objects exhibiting an aperiodic step response.
The primary challenge of this approach is the error associated with determining the inflection point [18]. To determine the time constant and time delay of a transfer function, it is necessary to identify the time instant at which the step response reaches 80% of its steady state value. This method is described in [18], where we may find a table of the computing parameters of the multiple-inertial model based on the determined time T 80 .
The multi- T n version of the Strejc model is particularly useful when dealing with complex systems which exhibit behavior which cannot be accurately described using a single time constant. By introducing multiple time constants into the model, it becomes possible to precisely capture the system’s behavior and accurately predict its response to various types and values of input signals.
The second version of the method assumes a double inertia transfer function model which approximates the dynamics of the plant:
G ( s ) = k ( T 1 s + 1 ) ( T 2 s + 1 ) .
In this variant, the first step is to determine the time t 0.7 at which the step response reaches 0.7 of its steady state value. Next, this time should be divided by four, and the corresponding value of the step response at this time should be read from the response curve. Based on this value, the ratio of time constants can be determined from Table 1, and T 1 can be calculated with the equation
T 1 = t 0.7 1.2 1 + T 2 T 1 .
Table 1. Dependencies for determining the transfer function using the Strejc method (double-inertia model).
Finally, time constant T 2 can be calculated with the ratio of time constants given in Table 1.
The two methods presented above are straightforward to use for plants exhibiting step responses characteristic of low-order systems (second or third order). However, when the process is more complex, or oscillating components appear in the transient response, these methodologies may result in an inaccurate mathematical model or render it impractical for real-world applications. In such cases, finding the parameter values for Strejc models becomes a complex problem requiring the utilization of optimization methods. One possibility is the application of genetic algorithms, which are based on natural selection processes.

3. Genetic Algorithm

When developing a genetic algorithm-based program, the initial step involves determining the genotype of the individuals. In this specific scenario, where the gain of the double-inertia system has been accurately determined, the only parameters requiring adjustment are the time constants T 1 and T 2 . These parameters are represented as floating-point numbers because, according to [19], this format allows the algorithm to proceed faster and more consistently than in binary form. To represent the genetic makeup of an individual in this case, a vector containing two variables can be used as a genotype. However, it is essential to note that mutations can induce significant changes in the genetic code, leading to less favorable and more random outcomes. Therefore, encoding the parameters in a hidden manner by dividing the parameter value into three separate variables can be beneficial (see Figure 1). Once the parameters of the Strejc model have been identified, they can be represented as fractional expressions. Numerical division introduces small errors, resulting in minor fluctuations around the originally derived parameters. Random numbers can then be generated within a close range of these fractional parameters to form the initial population of random genotypes. These division-induced errors introduce initial fluctuations to the Strejc method, offering an alternative starting point for the algorithm. The ability of the algorithm to reach specific solutions from a given initial point serves as a measure of its performance. If the genetic algorithm (GA) consistently converges to the Strejc model, then this indicates that the GA is inadequate, and the Strejc model is superior.
Figure 1. Chromosome and genotype structure.
The initialization procedure is as follows:
Step 1.
Obtain the model parameters using the Strejc method;
Step 2.
Divide the parameters into fractions;
Step 3.
Select random numbers within the close range of these parameter fractions to populate the genotypes.
The fractional parameters approach can reduce fluctuations when introducing mutations into the genotype and offers enhanced opportunities for partitioning the chromosome during crossover. This method facilitates the creation of chromosomes with adjustable lengths, which then enable phenotypes—–representing the physical traits and behaviors of individuals—–to converge toward optimal outcomes.
The second essential aspect of working with genetic algorithms is to establish a criterion which evaluates the quality of an individual. By examining the genotype of an individual, the time constants of the system are extracted. Subsequently, a step response is generated based on these time constants. The performance of an individual is evaluated using the integral performance indicator described by the formula
F = 0 t e n d e ( t ) 2 d t 0 t e n d y ( t ) 2 d t · 100 % ,
where
e ( t ) = y ( t ) g ( t ) ,
where e ( t ) is the error signal, y ( t ) is the real object response, and g ( t ) is the model step response.
In this process, an averaged value of the difference between the curves is computed, which can be compared to the mean value of the original curve by dividing the two values. However, this is insufficient to determine the condition which defines the quality of the obtained genotype. This is because if the average curve obtained from the genotype exceeds the average of the original object curve, the average error will be negative, while the best individual will have error values close to zero. Therefore, it is beneficial to square the obtained relative average value of the difference and then take the square root. Subsequently, during the selection process, individuals can be ranked from the best one, with a curve which closely matches the original, to the individual that returns a curve farthest from the original. These considerations lead to the derivation of an Equation (4), which determines the proximity between two step responses.
The process of crossing over individuals in genetic algorithms is a crucial step in the optimization process. By exchanging genetic information between two individuals, the algorithm can generate new individuals with different combinations of traits, potentially resulting in an individual with a better fitness score. In this specific case, the crossing over process involves exchanging two thirds of the genotype between individuals (Figure 2).
Figure 2. Chromosome crossing procedure diagram.
  • Reproduction Procedure:
    Step 1. Rank individuals based on the fitness criterion.
    Evaluate each individual in the population using a predefined fitness function. Individuals are assigned ranks according to their fitness levels, with higher ranks for those exhibiting better performance. This ranking is essential for selecting which individuals will contribute to the next generation.
  • Step 2. Sort genotypes according to their ranking scores.
    Arrange the genotypes in ascending order based on their fitness ranks. This sorting ensures that neighboring individuals who are adjacent in terms of fitness are paired for the crossover process.
  • Step 3. Mix two thirds of the parameter fractions in the genotypes of neighboring individuals.
    Perform a crossover by selecting pairs of neighboring genotypes and exchanging two thirds of their parameter fraction values. This approach aims to combine beneficial traits from adjacent individuals, potentially resulting in offspring with improved fitness.
Individuals are ranked according to their fitness scores, which are determined by an integral criterion (Equation (4)) which assesses the similarity between the step response of the real object and the step response obtained from the individual’s genotype. The rank selection method is employed to order individuals from best to worst, with the best individuals having a higher chance of being selected for further optimization.
Overall, the genetic algorithm’s capability to exchange genetic information between individuals, combined with the utilization of selection methods and random mutations, enables the optimization of individuals with improved fitness scores, leading to more efficient and effective solutions [3].
When optimizing problems with small-sized chromosomes, the optimal population size and mutation ratio are critical factors which can significantly influence the effectiveness of the genetic algorithm. A population size of 30 individuals is a common choice for such problems, as it has been shown to be effective in generation a diverse set of individuals capable of efficiently exploring the search space. This means that a population size of 30 individuals can lead to superior results compared with smaller populations, as it facilitates the exploration and evaluation of a wider range of solutions.
Furthermore, the most common mutation ratio for small-sized chromosomes is 0.01, as noted by Chuang and Chen [20]. This value has been found to strike a balance between exploration and exploitation of the search space. High mutation rates can result in a random search strategy which is inefficient for optimization problems. On the other hand, a low mutation ratio may lead to premature convergence, where the search process becomes trapped in a local minimum and fails to explore other regions of the search space [21].
For a population of 30 individuals, where the whole population is represented by 180 fractional parameters (derived by dividing each parameter into three fractions), applying a mutation rate of 0.01 results in 18 fractional parameters selected for mutation. The mutation operation involves adjusting these parameters by adding or subtracting random values within a range of 10% of their original values.
  • Mutation Procedure:
    Step 1. Randomly select 1% of the fractional parameters from the population.
    In this case, with 180 fractional parameters in total, 18 parameters are randomly chosen for mutation.
  • Step 2. Apply a mutation rule by either adding or subtracting 10% of the original parameter value.
    For each of the selected parameters, randomly modify the value by ±10% of its original magnitude. This introduces variability and helps maintain genetic diversity within the population.

4. Results

The primary objective of this study is to attain high-quality parameters for a model which accurately maps the dynamics of a randomly generated, stable, and aperiodic response object. This will be accomplished through a synergistic combination of the Strejc method and genetic algorithms. To initiate the investigation, a random model was generated, and then the Strejc method was applied to obtain the initial parameters for the model.
Subsequently, a genetic algorithm was employed to optimize the parameters of the Strejc model. This iterative process facilitated the evolution of the parameter values toward an optimal solution, thereby enabling the attainment of a model which accurately captures the dynamics of the system under scrutiny.
In this study, the plant described by the transfer function of the sixth order with an aperiodic response was investigated. To construct models for this object, the Strejc method and double-inertia multi- T n second-, third-, and fourth-order models were utilized.
The initial randomly generated model was characterized by the following transfer function:
G ( s ) = 83 s 5 + 55 s 4 + 4 s 3 + 83 s 2 + 25 s + 87 s 6 + 10 s 5 + 26 s 4 + 59 s 3 + 65 s 2 + 74 s + 7 .
To construct an accurate model, we first investigated a double-inertia approximation. Using the method described in Section 2, we obtained
G D B ( s ) = 12.42 ( 4.93 s + 1 ) ( 4.93 s + 1 ) ,
where G D B ( s ) is the transfer function’s second-order inertia model before the tuning process.
Using a GA, we found the optimized model of the process:
G D A ( s ) = 12.42 ( 5.33 s + 1 ) ( 5.356 s + 1 ) ,
where G D A ( s ) is the transfer function’s second-order inertia model after the tuning process.
In this case, the time constants T 1 and T 2 were identical, resulting in the double-inertia model effectively operating as a second-order multi- T n model. However, the time constant obtained from the multi- T n method was found to differ from that of the double-inertia approximation. The step responses of both models are shown in Figure 3.
Figure 3. Step responses of object and double inertia model before and after correction.
The difference in the models in comparison to the real plant is illustrated in Figure 4, where the error signals before and after the GA optimization process are shown.
Figure 4. Error signal of double-inertia model before and after correction.
In addition, the convergence of optimized values to zero is an indication that the algorithm used for optimization is effective and can identify the optimal parameter values which minimize the discrepancies between the model and the real-world object or system. This aspect of model optimization is critical, as it ensures the accurate representation of a real-world object by the model, enabling reliable predictions and analyses. By successfully navigating the parameter space and finding optimal values, the algorithm can enhance the performance of the model, leading to more accurate and precise results. Overall, understanding and analyzing the error signal are essential for model evaluation and optimization, playing a crucial role in ensuring the reliability of scientific simulations and predictions.
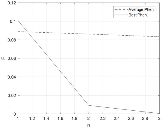
The parameters of the optimization process can be observed in Figure 5, which depicts the phenotypes attained by the top individuals and the average phenotypes of the population. In both cases, a declining trend is evident. Additionally, the figure illustrates that individuals possessing superior genetic material exhibited the most effective adaptation.
Figure 5. Adaptation process.
The optimization process illustrated in this particular example spanned over a period of three generations. However, on average, it typically requires between 8 and 15 generations to achieve superior parameters for this problem when working with a population size of 30 individuals.
In the presented form, the algorithm exhibited significant changes in the objective function up to the fifth generation of the initial population. As the algorithm approached the optimal solution, the changes in the objective function diminished and eventually ceased. At this point, only random mutations continued to introduce variations. Despite these mutations, the algorithm consistently converged to the optimal objective function value, beyond which a further reduction in errors was not achievable. The algorithm was executed multiple times, converging to the same solutions. Between the 8th and 15th iterations, the population showed only random changes, attributed to the applied mutation method. The subsequent stage of the research involved evaluating the program’s ability to tune the parameters of the multi- T n model.
The first model subjected to testing was a second-order model expressed through the following transfer function before tuning:
G 2 B ( s ) = 12.42 ( 6.948 s + 1 ) 2 ,
where G 2 B ( s ) is a second-order multi- T n model, and after tuning, we obtain
G 2 A ( s ) = 12.42 ( 5.048 s + 1 ) 2 ,
where G 2 A is the second-order multi- T n model after tuning.
Figure 6 depicts the step responses of the second-order multi- T n model, which underwent analysis using the algorithm. The resulting error signals are illustrated in Figure 7. This facilitated a visual comparison of the model’s performance before and after the optimization algorithm was applied.
Figure 6. Step responses of object and second-order multi- T n model.
Figure 7. Error signal of second-order multi- T n model before and after correction.
As shown in Figure 7, the algorithm was able to significantly improve the performance of the model, as evidenced by the reduction in the error signal between the actual response and the predicted response to the degree that the difference in signals after correction reached values closer to zero.
The next example involved a third-order multi- T n model. Before application of the optimization algorithm, we had the following transfer function:
G 3 B ( s ) = 12.42 ( 4.3 s + 1 ) 3 ,
where G 3 B ( s ) is the third-order multi- T n model before GA tuning. The model was improved using GA, and we obtained the following transfer function model:
G 3 A ( s ) = 12.42 ( 3.38 s + 1 ) 3 ,
where G 3 A ( s ) is the third-order multi- T n model after tuning.
A comparison of the step responses of the models in Equations (11) and (12) is presented in Figure 8, and a comparison of the error signals is shown in Figure 9.
Figure 8. Step responses of object and third-order multi- T n model.
Figure 9. Error signal of third-order multi- T n model before and after correction.
The last example presented in the context of model optimization concerns a fourth-order multi- T n model before the tuning process, which has a transfer function of the form
G 4 B ( s ) = 12.42 ( 3.31 s + 1 ) 4 ,
After the tuning process, the transfer function takes the form
G 4 A ( s ) = 12.42 ( 2.81 s + 1 ) 4 ,
where G 4 A ( s ) is the fourth-order multi- T n model after tuning.
A comparison of the step responses obtained using Equations (13) and (14) is presented in (Figure 10). Overall, as we can see, when the order of the model increases, the time of the inflection point moves forward in time. Because of this, if the aperiodic response of the object does not have dynamics which proceeds to allocate the inflection point further forward over time, then the multi- T n model with a high order would be more inaccurate than previous examples. However, even in this example, a genetic algorithm can provide sufficient results.
Figure 10. Step responses of object and fourth-order multi- T n model.
As shown in Figure 11, the algorithm adjusted the responses in such a way that the waveform tilted. Therefore, attempting to derive higher-order models in this case would be futile.
Figure 11. Error signal of fourth-order multi- T n model before and after correction.
In some cases, it may be challenging to determine whether the application of an optimization algorithm has significantly improved the performance of a model based solely on visual inspection of the difference in signal. To obtain a more objective and quantitative measure of a model’s performance, integral criteria are used. These criteria are mathematical functions which calculate the average difference in the signal and, from that, the relative error (Equation (4)). In the context of the presented examples, Table 2 provides a comparison of the integral criteria for the models.
Table 2. Integral criteria for models obtained and time constant changes.
After application of the optimization algorithm, the model’s response was significantly improved, as shown by the reduction in the integral criteria (Table 2) for the error signal. This indicates that the algorithm was successful in identifying the optimal values of the model’s parameters and achieving a more accurate representation of the system’s behavior.

5. Concluding Remarks

The results presented in this study demonstrate that genetic algorithms can be successfully employed to optimize the parameters of models obtained through the Strejc method. The comprehensive quality criterion utilized in this work was proven to be adequate for the optimization of mathematical models. As indicated by the results outlined in Table 2, the discrepancy between the step responses was significantly reduced.
The successful application of genetic algorithms to the optimization of mathematical models is a promising avenue for future research. The ability to efficiently tune model parameters provides a means for enhancing the accuracy and precision of models, thereby improving their utility for a range of applications. Furthermore, the adoption of comprehensive quality criteria may prove beneficial in evaluating the efficacy of optimization techniques and enhancing the optimization process itself.
While Strejc’s method has been proven effective in various applications over the years, its combination with stochastic algorithms suggests significant potential for further development and refinement. In practical applications, such a combined approach could have profound impacts. For example, in structural engineering, it could improve the accuracy of models predicting the behavior of complex structures like bridges and high-rise buildings under dynamic loads and environmental conditions. In control systems, it could lead to better designs for industrial processes and robotics, enabling the creation of more adaptive and precise controllers capable of managing more complex behaviors. Similarly, in mechanical systems, it could enhance the modeling of dynamic responses, improving the design and maintenance of machinery such as turbines and conveyor systems.
The limitation of the current algorithm lies in the complexity of the identified object. In more complex cases, the model based on the Strejc identification method may overlook nuances related to the more intricate and nonlinear nature of plants. By analyzing the transfer function in Equation (6) and Table 2, a certain pattern can be observed. The transfer function of the object was of the sixth order, and the identification error increased with the order of the Strejc model. Only after applying a genetic algorithm (GA) was a decreasing trend in the identification error achieved. Increasing the model order allowed for better alignment with the object, but the higher the order, the more challenging it became to empirically determine the appropriate time constants, a process significantly aided by the application of GAs. There are also other identification methods which might perform better than the Strejc method. However, the purpose of this study was to demonstrate that existing models based on the Strejc method can easily be improved by enabling quick and cost-effective enhancement of existing, already-operational models. This objective was successfully achieved.
Overall, the findings presented in this study underscore the potential of genetic algorithms as a powerful tool for model optimization. The ability to improve model performance through parameter optimization has significant implications for a variety of fields, including engineering, physics, and economics. As such, the continued development and refinement of optimization techniques is of paramount importance in advancing our understanding of complex systems and phenomena.

Author Contributions

Conceptualization, D.O. and K.R.; methodology, D.O. and K.R.; software, D.O.; validation, D.O. and K.R.; formal analysis, D.O. and K.R.; investigation, D.O. and K.R.; writing—original draft preparation, D.O. and K.R.; writing—review and editing, K.R. and D.O.; supervision, K.R.; funding acquisition, K.R. All authors have read and agreed to the published version of the manuscript.

Funding

The studies were carried out in the framework of work No. WZ/WE-IA/5/2023 and financed by the funds for science from the Polish Ministry of Science and Higher Education.

Data Availability Statement

All data underlying the results are available as part of the article and no additional source data are required.

Conflicts of Interest

The authors declare no conflicts of interest. The funders had no role in the design of the study; in the collection, analyses, or interpretation of data; in the writing of the manuscript; or in the decision to publish the results.

References

  1. Goldberg, D.E. Genetic Algorithms in Search, Optimization, and Machine Learning; Addison-Wesley Publishing Company, Inc.: Reading, MA, USA, 1989. [Google Scholar]
  2. Man, K.F.; Tang, K.S.; Kwong, S. Genetic Algorithms: Concepts and Designs; Springer: Berlin/Heidelberg, Germany, 2001. [Google Scholar]
  3. Sivanandam, S.; Deepa, S. Introduction to Genetic Algorithms; Springer: Berlin/Heidelberg, Germany, 2008. [Google Scholar] [CrossRef]
  4. Kristinsson, K.; Dumont, G.A. System identification and control using genetic algorithms. IEEE Trans. Syst. Man Cybern. 1992, 22, 1033–1046. [Google Scholar] [CrossRef]
  5. Gray, G.J.; David, J.; Murray-Smith, D.J.; Li, Y.; Sharman, K.C.; Weinbrenner, T. Nonlinear model structure identification using genetic programming. Control. Eng. Pract. 1998, 6, 1341–1352. [Google Scholar] [CrossRef]
  6. Madár, J.; Abonyi, J.; Szeifert, F. Genetic Programming for the Identification of Nonlinear Input-Output Models. Ind. Eng. Chem. Res. 2005, 44, 3178–3186. [Google Scholar] [CrossRef]
  7. Alonge, F.; D’Ippolito, F.; Ferrante, G.; Raimondi, F.M. Parameter identification of induction motor model using genetic algorithms. IEE Proc. Control. Theory Appl. 1998, 145, 587–593. [Google Scholar] [CrossRef]
  8. Rashtchi, V.; Rahimpour, E.; Rezapour, E.M. Using a genetic algorithm for parameter identification of transformer R-L-C-M model. Electr. Eng. 2006, 88, 417–422. [Google Scholar] [CrossRef]
  9. Nowaková, J.; Pokorný, M. System Identification Using Genetic Algorithms. In Proceedings of the Fifth International Conference on Innovations in Bio-Inspired Computing and Applications IBICA, Ostrava, Czech Republic, 23–25 June 2014; Kömer, P., Abraham, A., Snášel, V., Eds.; Springer: Cham, Switzerland, 2014; pp. 413–418. [Google Scholar] [CrossRef]
  10. Lu, Z.; Wei, C.; Ni, D.; Bi, J.; Wang, Q.; Li, Y. Dynamic parameter identification of modular robot manipulators based on hybrid optimization strategy: Genetic algorithm and least squares method. Soft Comput. 2024, 28, 1–15. [Google Scholar] [CrossRef]
  11. Wu, L.; Liu, H.; Zhang, J.; Liu, C.; Sun, Y.; Li, Z.; Li, J. Identification of Control Parameters for Converters of Doubly Fed Wind Turbines Based on Hybrid Genetic Algorithm. Processes 2022, 10, 567. [Google Scholar] [CrossRef]
  12. Dizqah, A.M.; Maheri, A.; Busawon, K. An accurate method for the PV model identification based on a genetic algorithm and the interior-point method. Renew. Energy 2014, 72, 212–222. [Google Scholar] [CrossRef]
  13. Aliprantis, D.C.; Sudhoff, S.D.; Kuhn, B.T. Genetic algorithm-based parameter identification of a hysteretic brushless exciter model. IEEE Trans. Energy Convers. 2006, 21, 148–154. [Google Scholar] [CrossRef]
  14. Boukhalfa, G.; Belkacem, S.; Chikhi, A.; Benaggoune, S. Genetic algorithm and particle swarm optimization tuned fuzzy PID controller on direct torque control of dual star induction motor. J. Cent. South Univ. 2019, 26, 1886–1896. [Google Scholar] [CrossRef]
  15. Jiangang, Y.; Peng, L.; Jiajun, W.; Changsong, X.; Jun, G.; Xin, G. Research on Improved Genetic Algorithm to Optimize PID Parameters of Second-Order System. In Proceedings of the Advanced Intelligent Technologies for Information and Communication, Xi’an, China, 28–30 October 2022; Nakamatsu, K., Kountchev, R., Patnaik, S., Abe, J.M., Eds.; Springer: Singapore, 2023; pp. 345–355. [Google Scholar] [CrossRef]
  16. Strejc, V. Näherungsverfahren für aperiodische Übergangscharakteristiken. Automatisierungstechnik 1959, 7, 124–128. [Google Scholar] [CrossRef]
  17. Mikleš, J.; Fikar, M. Process Modelling, Identification, and Control; Springer: Berlin/Heidelberg, Germany, 2007. [Google Scholar]
  18. Byrski, W. A new method of multi-inertial systems identification by the Strejc model. In Proceedings of the Trends in Advanced Intelligent Control, Optimization and Automation, Kraków, Poland, 18–21 June 2017; KKA 2017; Mitkowski, W., Kacprzyk, J., Oprzedkiewicz, K., Skruch, P., Eds.; Springer: Cham, Switzerland, 2017; Volume 577, pp. 536–549. [Google Scholar] [CrossRef]
  19. Janikow, Z.; Michalewicz, Z. An Experimental Comparison of Binary and Floating Point Representations in Genetic Algorithms. In Proceedings of the Fourth International Conference on Genetic Algorithms, San Diego, CA, USA, 13–16 July 1991. [Google Scholar]
  20. Chuang, Y.; Chen, C. A study on real-coded genetic algorithm for process optimization using ranking selection, direction-based crossover and dynamic mutation. In Proceedings of the 2011 IEEE Congress of Evolutionary Computation (CEC), New Orleans, LA, USA, 5–8 June 2011; pp. 2488–2495. [Google Scholar] [CrossRef]
  21. Hassanat, A.; Almohammadi, K.; Alkafaween, E.; Abunawas, E.; Hammouri, A.; Prasath, V.B.S. Choosing Mutation and Crossover Ratios for Genetic Algorithms—A Review with a New Dynamic Approach. Information 2019, 10, 390. [Google Scholar] [CrossRef]
Disclaimer/Publisher’s Note: The statements, opinions and data contained in all publications are solely those of the individual author(s) and contributor(s) and not of MDPI and/or the editor(s). MDPI and/or the editor(s) disclaim responsibility for any injury to people or property resulting from any ideas, methods, instructions or products referred to in the content.

Article Metrics

Citations

Article Access Statistics

Multiple requests from the same IP address are counted as one view.