A Local Path Planning Algorithm for Robots Based on Improved DWA
Abstract
1. Introduction
- (1)
- Robots may approach obstacles during traveling. When encountering pedestrians or moving objects, the safety and humanization of the robots may be reduced and collisions occur.
- (2)
- The weights of the DWA cost function are usually fixed, and cannot adapt to the complex obstacle environment, resulting in poor obstacle avoidance performance.
2. Theoretical Basis
- (1)
- Kinematic model establishment
- (2)
- Velocity space collection
- (3)
- Candidate path evaluation
3. Improved DWA Algorithm
3.1. Cost Function Optimization
3.1.1. Optimize the Velocity Cost Subfunction
3.1.2. Introduce Target Deviation Evaluation
3.2. Fuzzy Control Adaptive DWA Algorithm
- (1)
- When the distance do between the robot and the nearest obstacle is long and so is the distance dg between the robot and the target, the robot has higher priority to drive towards the target at high speed and does not avoid the obstacle urgently, so the weight of the velocity cost subfunction γ increases as the distance increases. The distance between the robot and the obstacle and the direction of the target are non-major factors—their weights β and θ are smaller than γ.
- (2)
- When the distance do between the robot and the nearest obstacle is short, obstacle avoidance must be prioritized from the safety point of view. While avoiding obstacles, it is necessary to slow the robot appropriately to avoid collision accidents. In this case, the weight of the velocity cost subfunction γ decreases as the distance do decreases, and β and θ are larger than γ.
- (3)
- When the distance dg between the robot and the target point is short, the robot should adjust the driving direction to the target position and the moving speed should be reduced at the same time, so θ is increased and γ is decreased as the distance dg decreases.
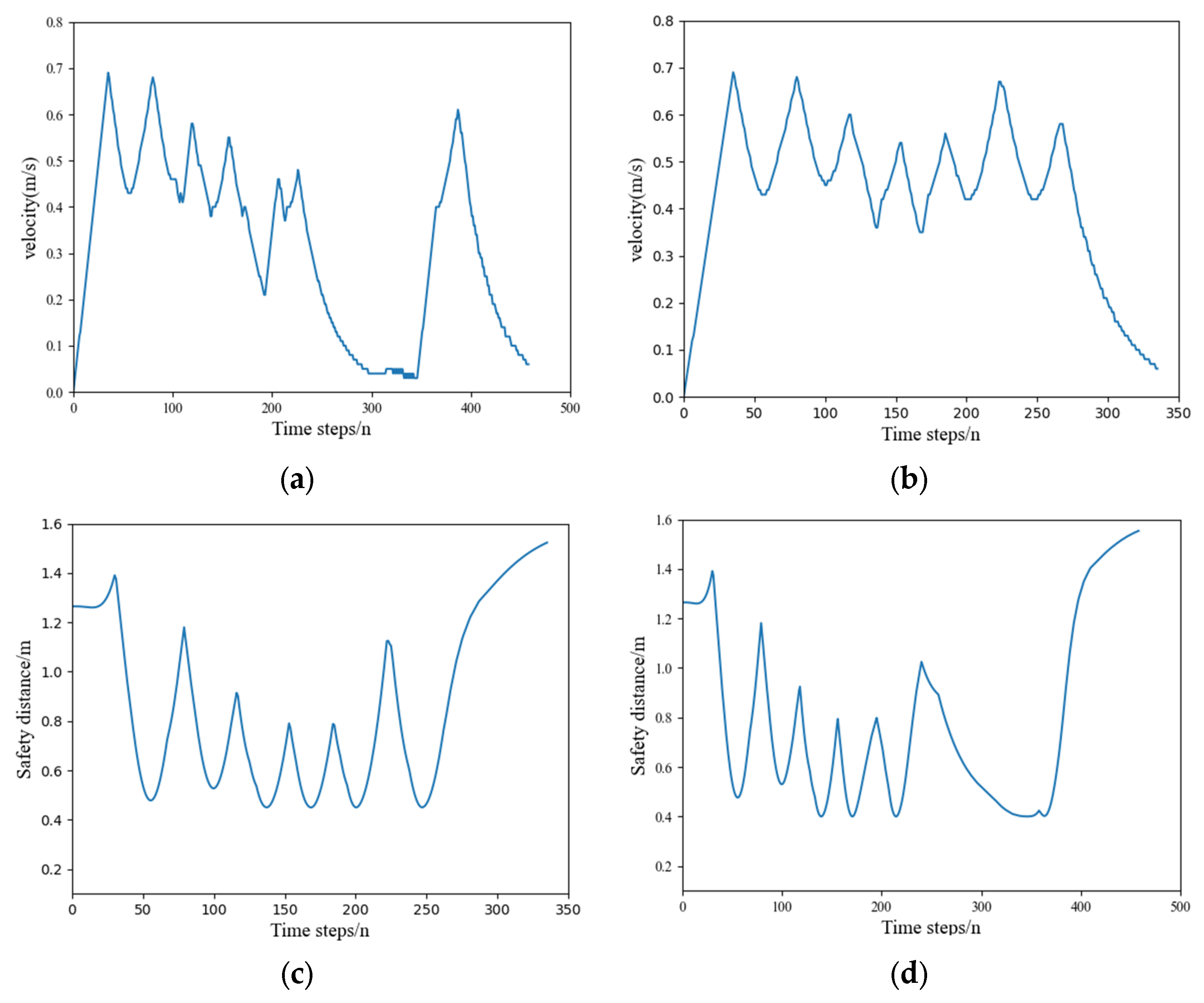
4. Simulation Experiments and Result Analysis
4.1. Dense Obstacle Environment
4.2. Complex Obstacle Environment
4.3. Random Obstacle Environment
5. Conclusions
- -
- The velocity cost subfunction of the original DWA is improved so that the path with gentle speed change among the candidate paths is more likely to be selected and the robot runs more smoothly.
- -
- The target deviation cost subfunction is added to evaluate the candidate paths, and the robot’s ability to navigate to the target is enhanced, so the path length is shorter.
- -
- The fuzzy logic algorithm is used to adaptively and dynamically adjust the weight value of the cost function according to the environmental information, so the robot can drive to the target point at a higher speed in the area far from the obstacle and can pass smoothly and safely in the dense obstacle area.
Author Contributions
Funding
Data Availability Statement
Acknowledgments
Conflicts of Interest
References
- Chang, L.; Shan, L.; Li, J.; Dai, Y. Sliding mode control of T-shaped pedestrian channel. J. Shanghai Jiaotong Univ. Sci. 2020, 25, 478–485. [Google Scholar] [CrossRef]
- Durrant-Whyte, H. Where am I? A tutorial on mobile vehicle localization. Ind. Robot. Int. J. 1994, 21, 11–16. [Google Scholar] [CrossRef]
- Cong, Y.F. The Path Planning Method Research Based on Rolling Optimization Theory. Master’s Thesis, College of Communication Engineering, Jilin University, Changchun, China, 2007. [Google Scholar]
- Peta, K.; Wlodarczyk, J.; Maniak, M. Analysis of trajectory and motion parameters of an industrial robot cooperating with a numerically controlled machine tools. J. Manuf. Process. 2023, 101, 1332–1342. [Google Scholar] [CrossRef]
- Ding, S.; Chen, M.M.; Wang, M.; Gu, Z.M.; Ren, F. ROV global path planning method based on RRT* algorithm. Ship Sci. Technol. 2019, 41, 66–73. [Google Scholar]
- Li, X.X.; Ma, X.L.; Wang, X.P. A Survey of Path Planning Algorithms for Mobile Robots. Comput. Meas. Control 2022, 30, 9–19. [Google Scholar]
- Lin, Y.Z.; Feng, C.H.; Wang, Z.X.; Wang, Z. UAV design and control with A* algorithm. Int. Core J. Eng. 2021, 7, 212–224. [Google Scholar]
- Qureshi, A.H.; Ayaz, Y. Potential functions based sampling heuristic for optimal path planning. Auton. Robot. 2016, 40, 1079–1093. [Google Scholar] [CrossRef]
- Wang, X.Y.; Yang, L.; Zhang, Y.; Meng, S. Robot path planning based on improved ant colony algorithm with potential field heuristic. Control Decis. 2018, 33, 1775–1781. [Google Scholar]
- Li, X.; Zhong, X.Y.; Peng, X.F.; Gong, Z.H.; Zhong, X.G. Fast ICP-SLAM method based on multi-resolution search and multi-density point cloud matching. Robot 2020, 42, 583–594. [Google Scholar]
- Zhong, X.G.; Zhong, X.Y.; Peng, X.F. Robots visual servo control with features constraint employing Kalman-neural-network filtering scheme. Neurocomputing 2015, 151, 268–277. [Google Scholar] [CrossRef]
- Khatib, O. Real-time obstacle avoidance for manipulators and mobile robots. Int. J. Robot. Res. 1986, 5, 90–98. [Google Scholar] [CrossRef]
- Wen, Y.; Huang, J.S.; Jiang, T.; Su, X.J. Safe and smooth improved time elastic band path planning algorithm. Control Decis. 2022, 37, 2008–2016. [Google Scholar]
- Li, Y.; Wei, W.; Gao, Y.; Wang, D.; Fan, Z. PQ-RRT*: An improved path planning algorithm for mobile robots. Expert Syst. Appl. 2020, 152, 113425. [Google Scholar] [CrossRef]
- Zeng, D.; Chen, H.; Yu, Y.; Hu, Y.; Deng, Z.; Zhang, P.; Xie, D. Microrobot path planning based on the multi-module DWA method in crossing dense obstacle scenario. Micromachines 2023, 14, 1181. [Google Scholar] [CrossRef]
- Ballesteros, J.; Urdiales, C.; Velasco, A.B.M.; Ramos-Jimenez, G. A biomimetical dynamic window approach to navigation for collaborative control. IEEE Trans. Hum.-Mach. Syst. 2017, 47, 1123–1133. [Google Scholar] [CrossRef]
- Wei, B.; Han, S.; Zhang, X. An improved dynamic window approach with environment awareness for local obstacle avoidance of mobile robots. Int. J. Mech. Mechatron. Eng. 2019, 13, 303–310. [Google Scholar]
- Chang, L.; Shan, L.; Jiang, C.; Dai, Y. Reinforcement based mobile robot path planning with improved dynamic window approach in unknown environment. Auton. Robot. 2021, 45, 51–76. [Google Scholar] [CrossRef]
- Wang, Y.X.; Tian, Y.Y.; Li, X.; Li, L.H. Self-adaptive dynamic window approach in dense obstacles. Control Decis. 2019, 34, 927–936. [Google Scholar]
- Fox, D.; Burgard, W.; Thrun, S. The dynamic window approach to collision avoidance. IEEE Robot. Autom. Mag. 1997, 4, 23–33. [Google Scholar] [CrossRef]
- Lao, C.L.; Li, P.; Feng, Y. Path planning of greenhouse robot based on fusion of improved a algorithm and dynamic window approach. Trans. Chin. Soc. Agric. Mach. 2021, 52, 14–22. [Google Scholar]
- Tian, Y.Y.; Li, L.H. Dynamic Window Approach Based on Judgment of Speed Direction. Agric. Equip. Veh. Eng. 2018, 56, 39–42. [Google Scholar]










| Input Variables | Output Variables | |||
|---|---|---|---|---|
| do | dg | β | γ | θ |
| C | C | M | XS | L |
| C | M | L | S | M |
| C | F | L | M | S |
| M | C | M | M | L |
| M | M | M | L | M |
| M | F | M | XL | S |
| F | C | S | M | L |
| F | M | S | L | M |
| F | F | S | XL | S |
| Maximum Linear Velocity/(m/s) | Minimum Linear Velocity/(m/s) | Maximum Angular Velocity/(°/s) | Minimum Angular Velocity/(°/s) | Linear Acceleration/(m/s2) | Angular Acceleration/(°/s2) |
|---|---|---|---|---|---|
| 1.0 | 0.0 | 45 | −45 | 0.2 | 45 |
| Velocity Resolution/(m/s) | Angular Velocity Resolution/(°/s) | Sampling Interval/s | Path Prediction Time/s |
|---|---|---|---|
| 0.01 | 0.5 | 0.1 | 3.0 |
| Map Size (m) | Starting Point Position (m) | Initial Velocity (m/s) | Initial Angular Velocity (°/s) | Initial Heading Angle (°) | Direction Angle Weight α |
|---|---|---|---|---|---|
| 12 × 12 | (1, 1) | 0 m/s | 0 | 18 | 0.5 |
| Minimum Safe Distance/m | Time Steps/n | Path Length/m | |
|---|---|---|---|
| β = 0.8, γ = 0.3 | 0.24767 | 624 | 14.01 |
| β = 1.2, γ = 1.3 | 0.40027 | 947 | 14.57 |
| β = 1.7, γ = 0.4 | / | / | / |
| dynamic weight | 0.40143 | 403 | 13.83 |
| Minimum Safe Distance/m | Time Steps/n | Path Length/m | |
|---|---|---|---|
| β = 1.3, γ = 0.5 | / | / | / |
| β = 1.2, γ = 1.3 | / | / | / |
| β = 0.5, γ = 0.3 | 0.40 | 458 | 14.62 |
| dynamic weight | 0.45 | 335 | 14.44 |
Disclaimer/Publisher’s Note: The statements, opinions and data contained in all publications are solely those of the individual author(s) and contributor(s) and not of MDPI and/or the editor(s). MDPI and/or the editor(s) disclaim responsibility for any injury to people or property resulting from any ideas, methods, instructions or products referred to in the content. |
© 2024 by the authors. Licensee MDPI, Basel, Switzerland. This article is an open access article distributed under the terms and conditions of the Creative Commons Attribution (CC BY) license (https://creativecommons.org/licenses/by/4.0/).
Share and Cite
Gong, X.; Gao, Y.; Wang, F.; Zhu, D.; Zhao, W.; Wang, F.; Liu, Y. A Local Path Planning Algorithm for Robots Based on Improved DWA. Electronics 2024, 13, 2965. https://doi.org/10.3390/electronics13152965
Gong X, Gao Y, Wang F, Zhu D, Zhao W, Wang F, Liu Y. A Local Path Planning Algorithm for Robots Based on Improved DWA. Electronics. 2024; 13(15):2965. https://doi.org/10.3390/electronics13152965
Chicago/Turabian StyleGong, Xue, Yefei Gao, Fangbin Wang, Darong Zhu, Weisong Zhao, Feng Wang, and Yanli Liu. 2024. "A Local Path Planning Algorithm for Robots Based on Improved DWA" Electronics 13, no. 15: 2965. https://doi.org/10.3390/electronics13152965
APA StyleGong, X., Gao, Y., Wang, F., Zhu, D., Zhao, W., Wang, F., & Liu, Y. (2024). A Local Path Planning Algorithm for Robots Based on Improved DWA. Electronics, 13(15), 2965. https://doi.org/10.3390/electronics13152965
