Next Article in Journal
Corrective Evaluation of Response Capabilities of Flexible Demand-Side Resources Considering Communication Delay in Smart Grids
Next Article in Special Issue
Adaptive Aberrance Repressed Correlation Filters with Cooperative Optimization in High-Dimensional Unmanned Aerial Vehicle Task Allocation and Trajectory Planning
Previous Article in Journal
An Ultra-Thin Multi-Band Logo Antenna for Internet of Vehicles Applications
Previous Article in Special Issue
E-DNet: An End-to-End Dual-Branch Network for Driver Steering Intention Detection
 
 
Font Type:
Arial Georgia Verdana
Font Size:
Aa Aa Aa
Line Spacing:
Column Width:
Background:
Article

The Trajectory Prediction of Spacecraft under the Influence of Gyroscopic Effect Generated during Non-Keplerian Motion

1
School of Civil & Architecture Engineering, Xi’an Technological University, Xi’an 710021, China
2
Science and Technology on Liquid Rocket Engine Laboratory, Xi’an Aerospace Propulsion Institute, Xi’an 710100, China
*
Authors to whom correspondence should be addressed.
Electronics 2024, 13(14), 2793; https://doi.org/10.3390/electronics13142793
Submission received: 10 June 2024 / Revised: 11 July 2024 / Accepted: 12 July 2024 / Published: 16 July 2024

Abstract

Due to perturbation forces and control forces, trajectories of spacecraft around the Earth are usually non-Keplerian orbits, which may result in a gyroscopic effect. To meet the complex demands of space operations in the future, the trajectory prediction of spacecraft under the influence of the gyroscopic effect generated during non-Keplerian motion needs to be studied in depth. The paper investigated the trajectory of spacecraft under the gyroscopic effect generated during non-Keplerian motion. Firstly, according to the similarity between the spacecraft precession motion and the gyroscopic precession, as well as the definition of the “gyroscopic effect” of high-speed rotating bodies, the “gyroscopic effect” generated during the non-Keplerian motion of spacecraft around the earth was defined. Then, taking a continuous radial thrust orbit as an example, the dynamics equations of spacecraft under the influence of gyroscopic effect were deduced. Through theoretical analysis and numerical simulation, the trajectory of spacecraft under the influence of the gyroscopic effect generated during non-Keplerian motion was investigated. Finally, the paper simulated the examples and tested the performance of the proposed method. Simulation results show that a large gyroscopic moment may be generated in some non-Keplerian motion of the spacecraft. The greater the rotational angular velocity of the orbital plane, the greater the gyroscopic moment. Due to the gyroscopic effect, there is a significant deviation in the orbit and the orbital elements compared to those without considering the gyroscopic effect, which indicates that the influence of the gyroscopic effect generated during non-Keplerian motion on the orbit of the spacecraft cannot be ignored. It can be seen from the simulation results that the gyroscopic effect has a significant influence on the trajectory of spacecraft. In some special cases, the gyroscopic effect can be utilized reasonably to save fuel and realize low-energy orbit maneuver control technology in actual space missions; but the control should be considered for the spacecraft to bring it back to the desired orbit in most cases. It is necessary to study the trajectory of spacecraft under the influence of gyroscopic effect. The method and conclusions proposed can provide a theoretical reference for spacecraft trajectory prediction and future large-scale fast orbital maneuvers to meet the needs of complex space operations.

1. Introduction

Spacecraft orbit refers to the trajectory of the spacecraft’s center of mass under the action of celestial gravity and other external forces. Ideally, six orbital elements based on Kepler’s law can be used to describe spacecraft trajectories, but the spacecraft will be affected by various perturbation forces during its actual operation. Facing the urgent problems that need to be solved for future space development and to achieve some space missions, such as on-orbit maintenance, the trajectory prediction of spacecraft is particularly important [1,2]. Due to the action of external forces, such as control forces and perturbations, other than the central gravity of the celestial body, the spacecraft trajectory does not strictly follow the solution of the two-body problem. In such cases, the spacecraft trajectory is no longer a strictly, or even an ideal, Keplerian orbit, but a non-Keplerian orbit. Complex space operation is an inevitable development of space technology, and its realization cannot be achieved without space maneuver technology. With the expansion of space applications, the range and scope of orbital maneuvers are becoming larger, faster, and more complex. Maneuver theories based on Kepler’s law no longer perfectly describe the space maneuver and its process. The development of new theories and techniques for space maneuvers has been facilitated by the research of non-Keplerian orbit, which has become a hot topic for scholars at home and abroad [3,4,5].
At present, the world space field has entered a new phase [6,7]. Many forms of space motion belong to the category of space non-Keplerian motion, such as libration points orbit [8,9], interplanetary trajectory [10,11], the spacecraft collision avoidance framework [12], hovering orbit and spacecraft formation flying [13,14], and so on. Due to perturbation forces and control forces, trajectories of spacecraft around the Earth are usually non-Keplerian orbits [15,16,17], which may result in a gyroscopic effect. In some special cases, the influence of the gyroscopic effect can be utilized reasonably to save fuel and realize low-energy orbit maneuver control technology [18] in actual space missions, but the control should be considered for the spacecraft to bring it back to the desired orbit in most cases. It is necessary to study the trajectory of spacecraft under the gyroscopic effect generated during non-Keplerian motion, which can provide a non-Keplerian orbit theory and method for spacecraft in large-scale fast orbital maneuvers.
Precession and nutation of the gyroscope will occur under the action of an external moment. The gyroscopic effect is found in various fields, such as mechanical engineering [19,20,21], hydropower engineering [22,23], aerospace engineering [24,25], wind energy engineering [26,27], vehicle engineering [28], astronomy [29], and so on.
The normal direction of the spacecraft’s orbital plane remains constant in inertial space when it is only affected by central gravity. However, when subjected to perturbation or external forces, the spacecraft’s orbital plane undergoes precession, similar to a gyroscope. The spacecraft has a large angular momentum when it moves around the earth at high speed, which is also similar to gyroscopic precession [15,16,17]. Gyroscopic effects may occur during non-Keplerian motion of a spacecraft around the earth. Vitins [30] discussed the relation between Keplerian motion and gyration. Junkins et al. [31] indicated that the orbital precession phenomenon is similar to the classical gyroscopic precession. Yuan Jianping et al. [15] discussed the precession phenomena of spacecraft and studied two types of non-Keplerian orbits that are related to orbital precession. Cao Jing et al. [16] proposed a special kind of forced precession orbit through the comparison of dynamical models of gyroscopes and orbital planes and discussed the characteristics of forced precession orbital motion. These research methods and conclusions provide theoretical methods for orbital maneuvering. However, there is only a little literature available that incorporates the similarity between the orbital precession and the classical gyroscopic precession. As the similarity between the spacecraft precession motion and the gyroscopic precession, gyroscopic effect may be generated during some non-Keplerian motion; therefore, it is necessary to study the trajectory of spacecraft under the influence of the gyroscopic effect generated during non-Keplerian motion.
As mentioned above, the paper mainly studies the trajectory of spacecraft under the gyroscopic effect generated during non-Keplerian motion. Firstly, based on the similarity between the spacecraft precession motion and the gyroscopic precession, as well as the definition of the “gyroscopic effect” of high-speed rotating bodies, the “gyroscopic effect” generated during the non-Keplerian motion of spacecraft around the earth is defined. Then, taking a continuous radial thrust orbit as an example, the trajectory of spacecraft under the influence of the gyroscopic effect generated during non-Keplerian motion is investigated through theoretical analysis and numerical simulation. By comparing the trajectory without considering the gyroscopic effect, simulation results show that the gyroscopic effect has a significant influence on the orbit of the spacecraft. It is necessary to study the trajectory of spacecraft under the gyroscopic effect generated during non-Keplerian motion, which can provide a theoretical reference for spacecraft trajectory prediction and future large-scale fast orbital maneuvers.
This paper is organized as follows. Section 2 defines the “gyroscopic effect” generated during the non-Keplerian motion of spacecraft around the Earth and introduces coordinate systems used in the study. Section 3 deduces the dynamics equations of spacecraft under the influence of the gyroscopic effect generated during non-Keplerian motion, and then investigates the trajectory of spacecraft considering the gyroscopic effect. Section 4 simulates the examples and tests the performance of the proposed method. Finally, Section 5 draws the conclusions of the study.

2. Gyroscopic Effect and Coordinate System

This section defines the “gyroscopic effect” generated during the non-Keplerian motion of spacecraft around the earth and introduces coordinate systems used in the study.

2.1. Characteristics of Gyroscopes and the Gyroscopic Effect

Foucault introduced the term “gyroscope” in 1852 when he named a rigid body rotating at high speed around a fixed point a gyroscope.
Characteristics of a gyroscope [32] should be described first. As shown in Figure 1, when the gyroscope rotates at a high speed around its axis of symmetry, its angular momentum is along the direction of the gyro’s axis of symmetry, i.e., the z g -axis. If an external torque is applied in the x g -axis direction, then the H -axis (i.e., the rotational symmetry axis of the gyro) will rotate about the y g -axis at the angular velocity, ω G ; here, H is the gyro angular momentum. Under the external moment, M , the gyroscope rotor axis will rotate around the axis perpendicular to the external moment, M , which is called gyroscopic precession, and the angular velocity, ω G , is the gyroscopic precession angular velocity. In other words, gyroscopic precession will occur when an external torque is applied to the gyroscope spinning at high speed. According to Newton’s third law of motion, during the precession of a gyroscope, there must be a reaction moment, M G , which is equal in magnitude but opposite in direction to the external torque and is commonly referred to as the gyroscopic moment.
The gyroscopic effect [32] also needs an introduction. When its axis is forced to rotate, the high-speed rotating object is forced to precess. At this time, the high-speed rotating object will, like a gyroscope, give the object that forces it to precess a reaction torque; that is, the gyroscopic moment. For objects rotating at a high speed, the gyroscopic moment will be generated when its rotation axis changes direction, which is called the gyroscopic effect. The gyroscopic moment is essentially the sum of the moments of the Coriolis inertial forces of all particles on the high-speed rotating body relative to the center of rotation, known as the Coriolis inertial moment.

2.2. Gyroscopic Effect Generated during Non-Keplerian Motion of the Spacecraft

Firstly, the precession law [15] of spacecraft should be introduced. The precession phenomena of spacecraft discussed in [15] is as follows.
It is assumed that the spacecraft moves in a circular orbit, and an orbital coordinate system O x y z is used for reference. With frame O x y z , the frame’s origin is at the Earth’s center, the z -axis is perpendicular to the orbital plane, the y -axis lies in the orbital plane and points in a constant direction in the inertial space, and the x -axis completes the right-handed triad. In order to analyze the law of precession of a spacecraft, the orbital plane is rotated about the y -axis together with the frame O x y z , ω and the rotating angular velocity is denoted by ω y , as shown in Figure 2. Then, the force that needs to be applied to the spacecraft can be studied. We know that the precession angular velocity is far less than the angular momentum of the Gyro’s rotation, and effects of the precession angular velocity on the angular momentum would be negligible. Similarly, we assume that the precession angular velocity, which is denoted by ω y , is far less than the angular velocity, and effects of the precession angular velocity on the angular momentum of the spacecraft would be negligible.
From theoretical mechanics theory, the frame’s rotation about the y -axis will cause two kinds of additional accelerations: the transport acceleration, a e , and the Coriolis acceleration, a k , as shown in Figure 2. Because of the additional accelerations, there will be some corresponding force on the spacecraft. It can be seen from Figure 2 that there are moments of the forces about all axes, which vary along with the spacecraft’s position. In order to analyze conveniently, we average over both these forces and moments for a single circuit. Because of the geometric symmetry of the circular orbit, only a k will exert an average moment about the x -axis, denoted by M x . For the spacecraft with a unit mass, the average moment about the x -axis for a single circuit can be given by
M x = h ω y
Here, h is the angular momentum vector magnitude.
Similarly, if we make the orbital plane rotate about the x -axis together with the frame O x y z , and the rotating angular velocity is denoted by ω x , the average moment about the y -axis for a single circuit can be given by
M y = h ω x
Given the above, the motion of spacecraft around the Earth at a high speed is similar to that of the gyroscope. When a spacecraft is subjected to an external moment perpendicular to an axis in its orbital plane, it will precess along the axis, which is called the precession law of spacecraft [15]. Based on the similarity between the spacecraft precession motion and the gyroscopic precession, as well as the definition of the “gyroscopic effect” of high-speed rotating bodies, the gyroscopic effect generated during the non-Keplerian motion of spacecraft around the earth can be defined as follows. When subjected to an external moment M , Coriolis inertia moment M k (i.e., gyroscopic moment) will be generated during the precession of a spacecraft moving at high speed around the Earth, which is called the gyroscopic effect generated during non-Keplerian motion of the spacecraft.

2.3. Coordinate System and Coordinate Transformation

For the convenience of analysis, some orbital coordinate systems that take the orbital plane as datum are established, which are very useful auxiliary coordinate systems. This section introduces the Earth-centered inertial and orbital coordinate systems used in the study, as well as coordinate transformation [33].
(1)
The Earth-centered inertial
With the frame O X Y Z shown in Figure 3, whose origin is at the Earth’s center, the X -axis points in the Vernal Equinox direction, the Z -axis is directed towards the north pole, and the Y -axis lies in the plane of the equator and completes the right-handed triad.
(2)
The orbital coordinate system O x y z
The frame O x y z is established taking the initial orbital plane as a datum, the frame’s origin is also at the Earth’s center, the x -axis points in the ascending node direction, the z -axis is in the same direction as the angular momentum of the spacecraft h , and the y -axis lies in the orbital plane and completes the right-handed triad, as shown in Figure 3.
(3)
The orbital coordinate system O x y z
The orbital coordinate system O x y z is a rotating frame, as shown in Figure 3. The y -axis coincides with the y -axis in the O x y z coordinate system, the x -axis is obtained by rotating the x -axis about the y -axis, and the z -axis is obtained by rotating the z -axis about the y -axis. That is, the orbital coordinate system O x y z can be regarded as a rotary coordinate that rotates around the y -axis at an angular velocity.
(4)
The orbital coordinate system O x y z
With the frame O x y z , shown in Figure 3, whose origin is at the Earth’s center, the x -axis coincides with the geocentric vector, r , of the spacecraft, the z -axis is in the same direction as the angular momentum of the spacecraft, and the y -axis completes the right-handed triad.
In orbital mechanics, the velocity vector and position vector are usually described in the Earth-centered inertial. However, orbit analysis is usually carried out in an orbital coordinate system, so it is necessary to understand the transformation relationships between these coordinates, which can be described as follows: where Ω is the right ascension of the ascending point, i is the orbital inclination, u is the argument of latitude, and ω is the angular velocity of O x y z rotating around the y -axis, i.e., the y -axis.
The transformation matrix of the orbital coordinate system O x y z to the Earth- centered inertial can be expressed as
R 3 ( Ω ) R 1 ( i ) = cos Ω cos i sin Ω sin i sin Ω sin Ω cos i cos Ω sin i cos Ω 0 sin i cos i
then the corresponding coordinate transformation relation can be written as
X Y Z = R 3 ( Ω ) R 1 ( i ) x y z
The transformation matrix of the orbital coordinate system O x y z to the frame O x y z can be indicated as
R 2 ( ω t ) = cos ( ω t ) 0 sin ( ω t ) 0 1 0 sin ( ω t ) 0 cos ( ω t )
and the corresponding coordinate transformation relation can be written as
x y z = R 2 ( ω t ) x y z
The transformation matrix of the orbital coordinate system O x y z to the Earth-centered inertial O X Y Z can be indicated as
R 3 Ω R 1 i R 2 ω t = cos Ω cos ω t sin Ω sin i sin ( ω t ) sin Ω cos i cos Ω sin ω t + sin Ω sin i cos ( ω t ) sin Ω cos ω t + cos Ω sin i sin ω t cos Ω cos i sin Ω sin ω t cos Ω sin i cos ( ω t ) cos i sin ω t sin i cos i cos ( ω t )
and the corresponding coordinate transformation relation can be written as
X Y Z = R 3 Ω R 1 i R 2 ω t x y z
The transformation matrix of the orbital coordinate system O x y z to the Earth-centered inertial O X Y Z can be indicated as
R 3 Ω R 1 i R 3 u = cos Ω cos u sin Ω sin u cos i cos Ω sin u sin Ω cos u cos i sin Ω sin i sin Ω cos u + cos Ω sin u cos i sin Ω sin u + cos Ω cos u cos i cos Ω sin i sin u sin i cos u sin i cos i
then the corresponding coordinate transformation relation can be written as
X Y Z = R 3 Ω R 1 i R 3 u x y z
Here, R 1 , R 2 , and R 3 are rotation matrixes [33].

3. Trajectory of Spacecraft under the Influence of the Gyroscopic Effect

A gyroscopic effect may be generated during some non-Keplerian motion. The trajectory of spacecraft under the influence of the gyroscopic effect generated during non-Keplerian motion will be investigated in this section.

3.1. Spacecraft Dynamics Model

To investigate the gyroscopic effect of the exo-atmospheric spacecraft traveling around the Earth in near circular orbit, we just consider the Coriolis acceleration, a k , generated when the orbital plane of the spacecraft rotates together with the frame O x y z about the y -axis at an angular velocity, ω , which can be expressed in the orbital coordinate system O x y z as follows
a k = 0 0 a k
where a k = 2 ω v sin γ , v is the velocity magnitude of the spacecraft in the orbital plane, and γ is the angle between the position vector of the spacecraft r and the x -axis. Then, we have
sin γ = y r
and r is the magnitude of the position vector r .
According to the transform relationships between of coordinates mentioned above, the expression above can be written as
sin γ = cos i sin Ω · X + cos i cos Ω · Y + sin i Z r
Then, in O X Y Z , the Coriolis acceleration can be expressed by
a = a X a Y a Z = 2 ω v ( cos i sin Ω · X + cos i cos Ω · Y + sin i Z ) r cos Ω sin ω t + sin Ω sin i cos ω t sin Ω sin ω t cos Ω sin i cos ω t cos i cos ω t
When considering Coriolis acceleration, the dynamics equation of the spacecraft can be given by
r ¨ + μ r 3 r = a
where μ is the gravitational constant, which equals 3.986005 × 10 5   k m 3 s 2 .

3.2. Gyroscopic Effect and Its Influence on Trajectory of Spacecraft

According to the definition of the gyroscopic effect of a spacecraft, the magnitude of the Coriolis inertial moment (i.e., gyroscopic moment) generated during the spacecraft precession can be used to describe the gyroscopic effect of the spacecraft. From the concept of the moment, the Coriolis inertial moment M k generated during the spacecraft precession can be calculated by
M k = 2 ω v Y r Y cos ( ω t ) Z sin ( ω t ) X cos ( ω t ) Y sin ( ω t )
The gyroscopic effect can cause orbit precession, as well as a change of orbit parameters. Taking a continuous radial thrust orbit as an example, the trajectory of a spacecraft under the influence of the gyroscopic effect generated during non-Keplerian motion is investigated in this section.
In the Earth-centered inertial O X Y Z , the dynamics equation of spacecraft under continuous radial thrust can be written as [15]
r ¨ + μ r 3 r = a r
where a r represents radial acceleration, which can be expressed as
a r X a r Y a r Z = R 3 Ω R 1 i R 3 u a r   0   0 = ( cos Ω cos u sin Ω sin u cos i ) a r ( sin Ω cos u + cos Ω sin u cos i ) a r sin u sin i a r
Combining (15) and (17) gives the dynamics equation of a spacecraft under continuous radial thrust with a gyroscopic effect, as follows
r ¨ + μ r 3 r = a r + a
It can be written in the following component form
X ¨ = X ( X 2 + Y 2 + Z 2 ) 3 2 μ + a r X + a X Y ¨ = Y ( X 2 + Y 2 + Z 2 ) 3 2 μ + a r Y + a Y Z ¨ = Y ( X 2 + Y 2 + Z 2 ) 3 2 μ + a r Z + a Z
According to the orbital mechanics theory, the orbital elements of the spacecraft can be computed by the following equations
h = r × v = h X , h Y , h Z T ,   h = h = h X 2 + h Y 2 + h Z 2
cos i = h Z / h
tan Ω = h X / h Y
e = 1 μ ( v × h ) r r = e X , e Y , e Z T ,   e = e = e X 2 + e Y 2 + e Z 2
a = h 2 μ ( 1 e 2 )
tan u = Z ( Y sin Ω + X cos Ω ) sin i
tan ω = e Z ( e Y sin Ω + e X cos Ω ) sin i
where r and v represent the position vector and velocity vector of spacecraft, respectively, a is the orbital semimajor axis, e is the eccentricity of the orbit, and ω is the argument of perigee.
For Equation (20), the fourth-fifth Runge–Kutta method can quickly approach the answers from the initial position and velocity. The fourth-order Runge–Kutta algorithm, which has high accuracy and moderate computational complexity, provides candidate solutions, and the fifth-order method is used to control the error. Then, the trajectory of a spacecraft under the influence of gyroscopic effect generated during non-Keplerian motion can be analyzed and predicted.

4. Example Analyses

In this section, we take a continuous radial thrust orbit as an example and analyze the trajectory of a spacecraft under the influence of the gyroscopic effect.
For the convenience of analysis, the initial satellite orbit is assumed to be in the O X Y plane, then i 0 = 0 , Ω 0 = 0 . The initial orbital altitude was selected as r 0 = 1000   k m . The initial orbital angular velocity is expressed as n . Figure 4, Figure 5 and Figure 6 show the gyroscopic moments corresponding to different precession angular velocities ω when the initial phase angle of r 0 relative to the X -axis is 0. The corresponding maximum gyroscopic moments are shown in Table 1.
It can be seen that, for the thrust action time t f = 1 × 1 0 7 s , when ω = 0.0002 n , the maximum gyroscopic moment can reach to 5.780 × 10 13 N · m ; when ω = 0.02 n , the maximum gyroscopic moment can reach to 5.042 × 10 16 N · m . The angular velocity of the orbital plane increases by 10 times and the maximum gyroscopic moment increases by 11.2 times; however, when the angular velocity of the orbital plane increases by 100 times, the maximum gyroscopic moment increases by about 777 times. Simulation results show that a large gyroscopic moment will be generated in the non-Keplerian motion of the spacecraft. The greater the rotational angular velocity of the orbital plane, the greater the gyroscopic moment; the greater the increase of the rotational angular velocity of the orbital plane, the greater the increase of the gyroscopic moment. Therefore, the gyroscopic effect should be considered for trajectory prediction of spacecraft during non-Keplerian motion, which provides a theoretical basis for orbital maneuvering in space.
Then, the parameters were selected as r 0 = 1000   k m , a r = 3 × 1 0 2   m / s 2 , t f = 1.8 × 1 0 4   s . The trajectory of the spacecraft under continuous radial constant thrust is shown in Figure 7. For ω = 0.02 n , the trajectory of the spacecraft under continuous radial thrust with gyroscopic effect is shown in Figure 8. Comparison curves of orbit radius, velocity, eccentricity, and orbital inclination of the spacecraft before and after considering the gyroscopic effect are shown in Figure 9 and Figure 10.
It can be seen clearly from Figure 7 and Figure 8 that the orbit of the spacecraft will rotate around the Y -axis and deviates from its initial orbit due to the influence of the gyroscopic effect. The simulation results are in agreement with the characteristics of gyro orbits described in reference [15], which verifies the correctness of the study. Figure 9 and Figure 10 show that the gyroscopic effect has a significant influence on spacecraft orbit and orbital parameters. The simulation results show that due to the gyroscopic effect, there is a significant deviation. In the orbit and the orbital elements compared to those without considering the gyroscopic effect, which indicates that the influence of the gyroscopic effect generated during non-Keplerian motion on the orbit of the spacecraft cannot be ignored. Under the influence of the gyroscopic effect, the orbital inclination increases gradually and the orbital eccentricity changes approximately periodically with time.
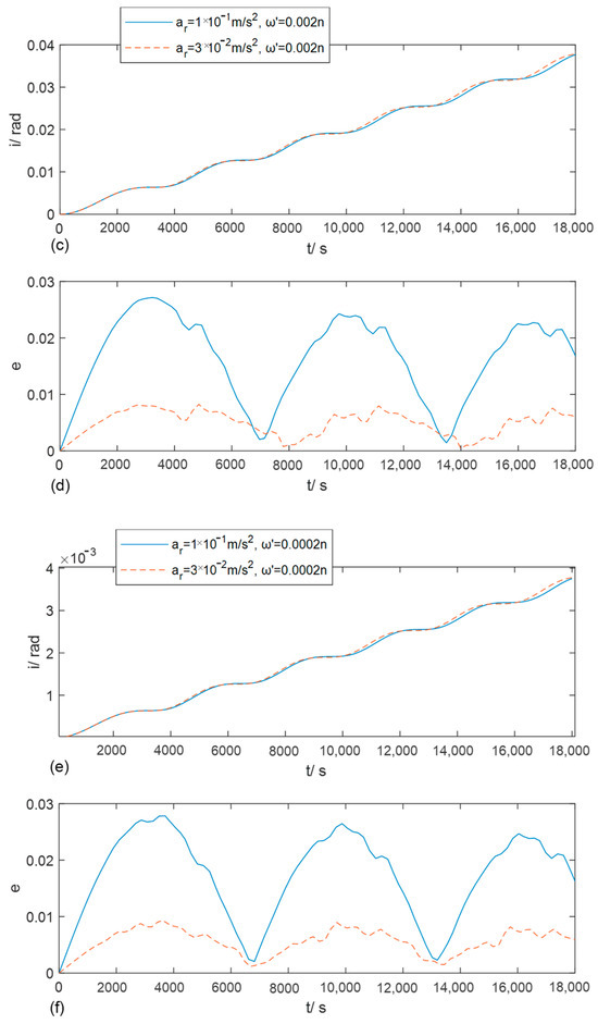
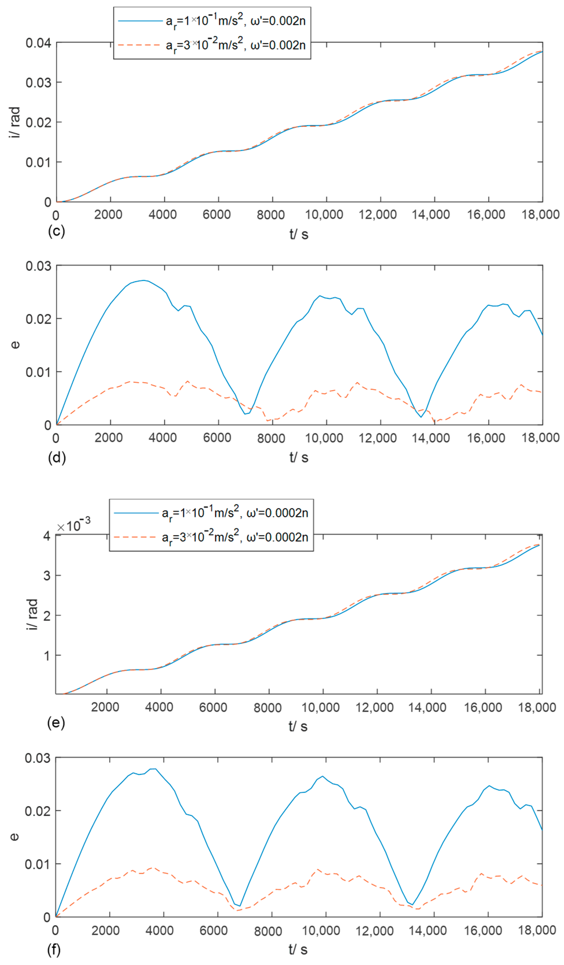
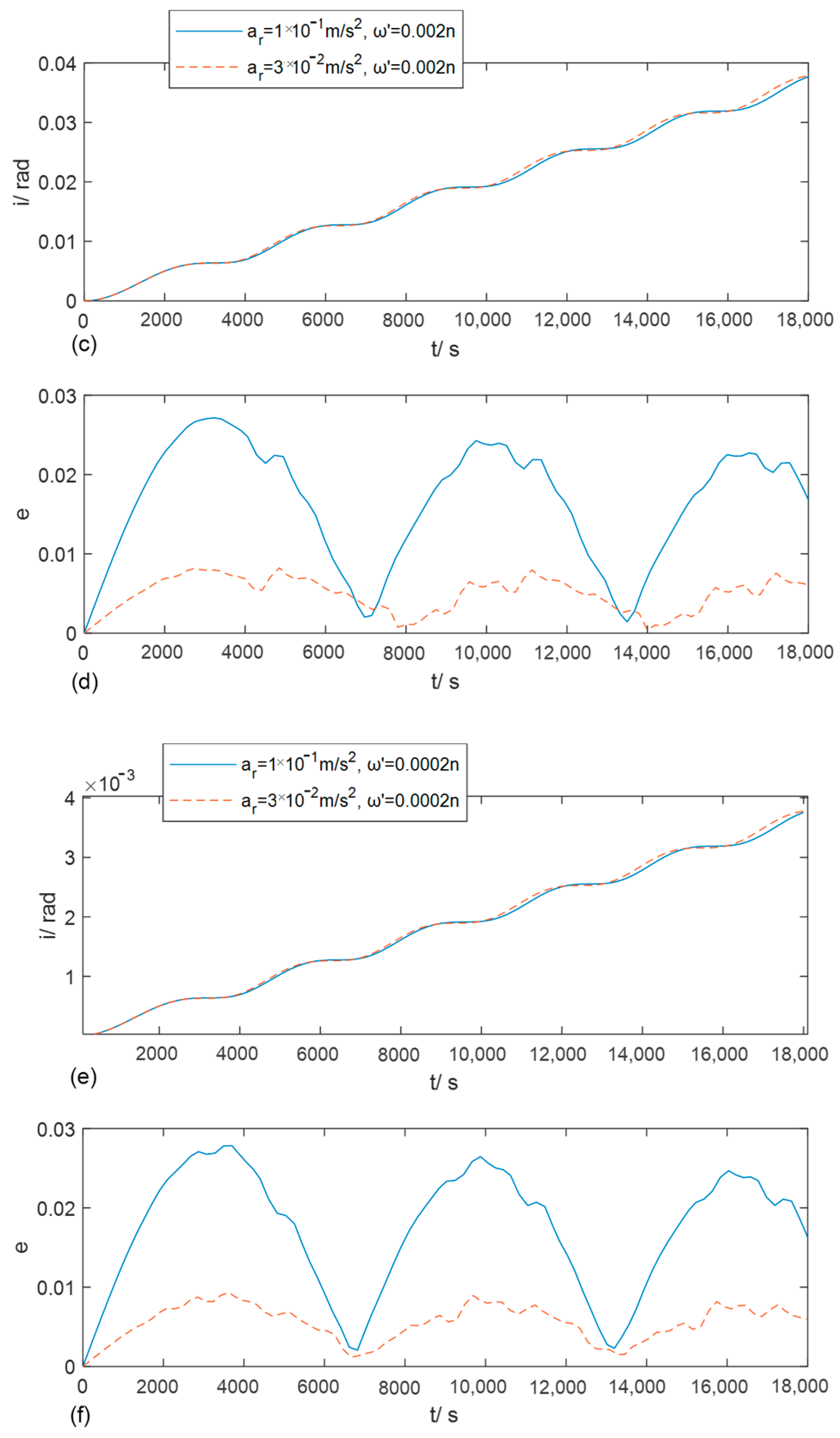
In order to further understand the influence of the gyroscopic effect on orbit, the motion of spacecraft under the influence of the gyroscopic effect was analyzed according to different precession angular velocities and continuous radial thrust accelerations. The orbit radius, velocity, eccentricity, and orbital inclination of the spacecraft under different continuous radial thrusts are shown in Figure 11 and Figure 12, and Figure 13 shows the comparison for eccentricity and orbital inclination of the spacecraft under different continuous radial thrusts with a gyroscopic effect. When t f = 1.8 × 1 0 4 s , Table 2 shows the maximum change values of orbital inclination and eccentricity under the influence of the gyroscopic effect.
It can be seen that for a r = 3 × 1 0 2   m / s 2 , when ω = 0.0002 n , the maximum change value in orbital inclination is 0.0038   r a d and the maximum change value in orbital eccentricity is 0.0093 ; when ω = 0.02 n , the maximum change value in orbital inclination can reach 0.38 rad and the maximum change value in orbital eccentricity is 0.0084 . For a r = 1 × 1 0 2   m / s 2 , when ω = 0.0002 , the maximum change value in orbital inclination is also 0.0038   r a d and the maximum change value in orbital eccentricity is 0.028 ; when ω = 0.02 , the maximum change value in orbital inclination can also reach 0.3 8 rad and the maximum change value in orbital eccentricity is 0.0 28.
Simulation results show that the orbital plane precession angular velocity and continuous thrust both have significant effects on spacecraft orbital parameters due to the gyroscopic effect. With the influence of the gyroscopic effect, the orbital inclination increases gradually and the orbital eccentricity changes approximately periodically with time.
Due to perturbation forces and control forces, the orbit of spacecraft around the Earth is usually a non-Keplerian orbit, which may result in a gyroscopic effect. It can be seen from the simulation results that the gyroscopic effect has a great influence on the orbital elements of spacecraft. That is to say, the gyroscopic effect generated during the non-Keplerian motion of spacecraft around the earth will affect the motion of spacecraft, even orbital maneuvers. It is necessary to study the trajectory of spacecraft under the gyroscopic effect generated during non-Keplerian motion.

5. Conclusions

The paper investigated the trajectory of spacecraft under the influence of the gyroscopic effect generated during non-Keplerian motion. Based on the similarity between the spacecraft precession motion and the gyroscopic precession, as well as the definition of the “gyroscopic effect” of high-speed rotating bodies, the “gyroscopic effect” generated during the non-Keplerian motion of spacecraft around the earth was defined. Taking a continuous radial thrust orbit as an example, the analysis and simulations for the trajectory of spacecraft under the influence of gyroscopic effect were carried out by combining theoretical analysis and numerical simulation. Also, the method proposed in the paper applies to any kind of continuous thrust orbit, which can provide a theoretical reference for spacecraft trajectory prediction and future orbital maneuvers to meet the needs of complex space operations.
The following conclusions can be drawn from this study:
(1)
A large gyroscopic moment may be generated in the non-Keplerian motion of the spacecraft. The greater the rotational angular velocity of the orbital plane, the greater the gyroscopic moment; the greater the increase of the rotational angular velocity of the orbital plane, the greater the increase of the gyroscopic moment.
(2)
The orbital plane precession angular velocity and continuous thrust both have significant effects on spacecraft orbital parameters due to the gyroscopic effect. Under the influence of the gyroscopic effect, the orbital inclination increases gradually and the orbital eccentricity changes approximately periodically with time.
Given the radial thrust, for different precession angular velocities, the change law of eccentricity is consistent, but the orbital inclination shows different variation laws. The greater the precession angular velocity, the greater the change of orbital inclination, and the maximum change value in orbital inclination increases in equal proportion to the precession angular velocity. When the precession angular velocity increases by 10 times, the maximum change value in eccentricity decreases by 11.8 percent; when the precession angular velocity increases by 100 times, the maximum change value in eccentricity decreases by 9.7 percent.
Given the precession angular velocity, for different radial thrusts, the eccentricities change significantly, while the orbital inclination changes only slightly. When the radial thrust increases by 3.33 times, the maximum change absolute value in orbital inclination increases by about 2.8 percent, however, the maximum change value in eccentricity increases by 2.29 times at least.
In summary, there is a significant deviation in the orbit and the orbital elements compared to those without considering the gyroscopic effect, which indicates that the influence of the gyroscopic effect generated during non-Keplerian motion on the orbit of the spacecraft cannot be ignored. It is necessary to study the trajectory of spacecraft under the gyroscopic effect generated during non-Keplerian motion. The method and conclusions proposed can provide a theoretical reference for spacecraft trajectory prediction and future orbital maneuvers to meet the needs of complex space operations.
The gyroscopic effects may be generated under various control forces and perturbations during the motion of the spacecraft, which will affect the motion of the spacecraft, even orbit maneuvers. Taking a continuous radial thrust orbit as an example, the trajectory of spacecraft under the influence of the gyroscopic effect caused by control forces was investigated in this paper.
However, perturbations may also result in a gyroscopic effect, which will have a certain influence on the spacecraft motion and even the orbital maneuver. Therefore, future research will aim to investigate the trajectory prediction of spacecraft under the influence of a gyroscopic effect caused by various perturbations, and then whether the gyroscopic effect can be utilized or controlled in orbital maneuvers will be analyzed, which can provide a theoretical reference for spacecraft trajectory prediction.

Author Contributions

Conceptualization, X.L.; Methodology, X.L. and Z.L.; Validation, X.L. and L.Z.; Formal analysis, X.L. and Z.L.; Investigation, X.L. and Z.L.; Resources, L.Z.; Data curation, X.L.; Writing—original draft, X.L.; Writing—review & editing, L.Z.; Visualization, Z.L.; Supervision, L.Z. All authors have read and agreed to the published version of the manuscript.

Funding

This research was funded by [Key technology research and development program of Shaanxi Province] grant number [2023-YBGY-006], [Key technology research and development program of Shaanxi Province] grant number [2024GX-YBXM-235] and [the Natural Science Foundation of Shaanxi Province] grant number [S2021-JC-YB-0590].

Data Availability Statement

The data presented in this study are available in this article.

Acknowledgments

The authors would also like to deliver their sincere thanks to the editors and anonymous reviewers.

Conflicts of Interest

The authors declare no conflict of interest.

Nomenclature

H gyro angular momentum
h angular momentum vector
h angular momentum vector magnitude
M external moment
M G reaction moment
M x , M y average moment
ω G gyroscopic precession angular velocity
ω x , ω y rotating angular velocity
ω angular velocity of the orbital plane
n initial orbit angular velocity
a e transport acceleration
a k Coriolis acceleration
a Coriolis acceleration in O X Y Z
a r radial acceleration
Ω right ascension of the ascending point
i orbital inclination
u argument of latitude
t flying time
R 1 , R 2 , R 3 rotation matrixes
v velocity vector
v velocity magnitude
r position vector
γ angle between the position vector of the spacecraft r and the x -axis
μ gravitational constant
e eccentricity
ω argument of perigee
a orbital semimajor axis

References

  1. Yang, Y.; Klein, E.; He, C.Y.; Cai, H.; Zhang, Y. PHiFA-A tool for numerical propagation of high-fidelity astrodynamics. Astrodynamics 2022, 6, 189–204. [Google Scholar] [CrossRef]
  2. Fossà, A.; Losacco, M.; Armellin, R. Perturbed initial orbit determination. Astrodynamics 2024, 8, 401–416. [Google Scholar] [CrossRef]
  3. Wang, W.; Mengali, G.; Quarta, A.A.; Yuan, J.P. Analysis of relative motion in non-Keplerian orbits via modified equinoctial elements. Aerosp. Sci. Technol. 2016, 58, 389–400. [Google Scholar] [CrossRef]
  4. Innocenti, M.; Bucchioni, G.; Franzini, G.; Galullo, M.; Onofrio, F.D.; Cropp, A.; Casasco, M. Dynamics and control analysis during rendezvous in non-Keplerian Earth—Moon orbits. Front. Space Technol. 2022, 3, 929179. [Google Scholar] [CrossRef]
  5. Bucchioni, G.; Gemignani, G.; Lombardi, F.; Bellome, A.; Leitão, J.P.F.; Lizy-Destrez, S.; Innocenti, M. Optimal time-fixed impulsive non-Keplerian orbit to orbit transfer algorithm based on primer vector theory. Commun. Nonlinear Sci. Numer. Simul. 2023, 124, 107307. [Google Scholar] [CrossRef]
  6. Zhang, J.R.; Cai, Y.F.; Xue, C.B.; Xue, Z.R.; Cai, H. LEO Mega Constellations: Review of Development, Impact, Surveillance, and Governance. Space Sci. Technol. 2022, 2022, 9865174. [Google Scholar] [CrossRef]
  7. Jiang, Y.X.; Tang, Y.J.; Ying, C.C. Finding a Needle in a Haystack: Faint and Small Space Object Detection in 16-Bit Astronomical Images Using a Deep Learning-Based Approach. Electronics 2023, 12, 4820. [Google Scholar] [CrossRef]
  8. Canales, D.; Howell, K.C.; Fantino, E. A versatile moon-to-moon transfer design method for applications involving libration point orbits. Acta Astronaut. 2022, 198, 388–402. [Google Scholar] [CrossRef]
  9. Gao, C.; Masdemont, J.J.; Gómez, G.; Chen, J.L.; Yuan, J.P. High order dynamical systems approaches for low-thrust station-keeping of libration point orbits. Acta Astronaut. 2022, 190, 349–364. [Google Scholar] [CrossRef]
  10. Li, J.; Zhao, J.H.; Li, F. A new method of patched-conic for interplanetary orbit. Optik 2018, 156, 121–127. [Google Scholar] [CrossRef]
  11. Morante, D.; Sanjurjo Rivo, M.; Soler, M. Multi-Objective Low-Thrust Interplanetary Trajectory Optimization Based on Generalized Logarithmic Spirals. J. Guid. Control. Dyn. 2019, 42, 476–490. [Google Scholar] [CrossRef]
  12. Fang, Q.; Zhang, Z.; Meng, H.D.; Wang, X.L.; Zhang, X.W. Maneuver Strategy for Active Spacecraft to Avoid Space Debris and Return to the Original Orbit. Int. J. Aerosp. Eng. 2022, 2022, 4650730. [Google Scholar] [CrossRef]
  13. Li, X.H.; Zhang, L.; Li, Z.J.; He, X.S. Application of the Relative Orbit in an On-Orbit Service Mission. Electronics 2023, 12, 3034. [Google Scholar] [CrossRef]
  14. Di Mauro, G.; Spiller, D.; Rafano Carnà, S.F.; Bevilacqua, R. Minimum-Fuel Control Strategy for Spacecraft Formation Reconfiguration via Finite-Time Maneuvers. J. Guid. Control. Dyn. 2019, 42, 752–768. [Google Scholar] [CrossRef]
  15. Yuan, J.P.; He, X.S. Spacecraft Orbital Maneuver Dynamics; China Astronautics Publishing House: Beijing, China, 2010; pp. 166–192. (In Chinese) [Google Scholar]
  16. Cao, J.; Yuan, J.P.; Luo, J.J. Gyroscopic precession and forced precession orbit. Chin. J. Theor. Appl. Mech. 2013, 45, 406–411. (In Chinese) [Google Scholar]
  17. Yuan, J.P.; Zhu, Z.X. Space Operations and Non-Keplerian Orbit Motion. J. Astronaut. 2009, 30, 42–46. (In Chinese) [Google Scholar]
  18. Bosso, A.; Azzollini, I.A.; Baldi, S.; Zaccarian, L. Adaptive hybrid control for robust global phase synchronization of Kuramoto oscillators. IEEE Trans. Autom. Control. 2024, 3403692. [Google Scholar] [CrossRef]
  19. Wan, M.; Dong, Z.Y.; Yang, Y.; Zhang, W.H. Stability analysis of milling process by combining the gyroscopic effect with the symmetry and runout of the cutter. Mech. Syst. Signal Process. 2021, 161, 107977. [Google Scholar] [CrossRef]
  20. Jahangiri, M.; Asghari, M.; Bagheri, E. Torsional vibration induced by gyroscopic effect in the modified couple stress based micro-rotors. Eur. J. Mech.-A/Solids 2020, 81, 103907. [Google Scholar] [CrossRef]
  21. Li, X.Z.; Su, K.; Li, T.J.; Zhang, L.Y. Vibration characteristics analysis of face gear transmission system considering gyroscopic effect. J. Vibroengineering 2022, 24, 624–636. [Google Scholar] [CrossRef]
  22. Li, J.L.; Chen, D.Y.; Liu, G.C.; Gao, X.; Miao, K.B.; Li, Y.X.; Xu, B.B. Analysis of the gyroscopic effect on the hydro-turbine generator unit. Mech. Syst. Signal Process. 2019, 132, 138–152. [Google Scholar] [CrossRef]
  23. Lu, H.; Chai, T.; Cooley, C.G. Vibration properties of a rotating piezoelectric energy harvesting device that experiences gyroscopic effects. J. Sound Vib. 2018, 416, 258–278. [Google Scholar] [CrossRef]
  24. Carpenter, M.D.; Peck, M.A. Reducing Base Reactions with Gyroscopic Actuation of Space-Robotic Systems. IEEE Trans. Robot. 2009, 25, 1262–1270. [Google Scholar] [CrossRef]
  25. Chen, X.; Ren, Y. Modal decoupling control for a double gimbal magnetically suspended control moment gyroscope based on modal controller and feedback linearization method. Proc. Inst. Mech. Eng. Part C J. Mech. Eng. Sci. 2014, 228, 2303–2313. [Google Scholar] [CrossRef]
  26. Bahramiasl, S.; Abbaspour, M.; Karimirad, M. Experimental study on gyroscopic effect of rotating rotor and wind heading angle on floating wind turbine responses. Int. J. Environ. Sci. Technol. 2018, 15, 2531–2544. [Google Scholar] [CrossRef]
  27. Chen, J.H.; Pei, A.G.; Chen, P.; Hu, Z.Q. Study on Gyroscopic Effect of Floating Offshore Wind Turbines. China Ocean. Eng. 2021, 35, 201–214. [Google Scholar] [CrossRef]
  28. Náhlík, T.; Smetanová, D. Applications of Gyroscopic Effect in Transportation. Nase More 2018, 65, 293–296. [Google Scholar] [CrossRef]
  29. Oks, E. Precession of the Orbit of a Planet around Stars Revolving along Low-Eccentricity Orbits in a Binary System: Analytical Solution. New Astron. 2021, 89, 101646. [Google Scholar] [CrossRef]
  30. Vitins, M. Keplerian motion and gyration. Celest. Mech. Dyn. Astron. 1978, 17, 173–192. [Google Scholar] [CrossRef]
  31. Junkins, J.L.; Singla, P. How Nonlinear Is It? A Tutorial on Nonlinearity of Orbit and Attitude Dynamics. J. Astronaut. Sci. 2004, 52, 7–60. [Google Scholar] [CrossRef]
  32. Liu, X.Z.; Lei, T.Y. Essential Gyroscopic Mechanics; Tsinghua University Press: Beijing, China, 1987. (In Chinese) [Google Scholar]
  33. Xi, X.N.; Wang, W.; Gao, Y. Fundamentals of Near-Earth Spacecraft Orbit, 4th ed.; NUDT Press: Changsha, China, 2003. (In Chinese) [Google Scholar]
Figure 1. Precession of the gyroscope spinning at high speed due to the action of external torque.
Figure 1. Precession of the gyroscope spinning at high speed due to the action of external torque.
Electronics 13 02793 g001
Figure 2. Additional accelerations during the spacecraft precession motion [15].
Figure 2. Additional accelerations during the spacecraft precession motion [15].
Electronics 13 02793 g002
Figure 3. Coordinate systems.
Figure 3. Coordinate systems.
Electronics 13 02793 g003
Figure 4. Gyroscopic moment when ω = 0.0002 n . (a) t f = 3.6 × 1 0 4 s , (b) t f = 3.6 × 1 0 5 s , (c) t f = 3.6 × 1 0 6 s , (d) t f = 3.6 × 1 0 7 s .
Figure 4. Gyroscopic moment when ω = 0.0002 n . (a) t f = 3.6 × 1 0 4 s , (b) t f = 3.6 × 1 0 5 s , (c) t f = 3.6 × 1 0 6 s , (d) t f = 3.6 × 1 0 7 s .
Electronics 13 02793 g004
Figure 5. Gyroscopic moment when ω = 0.002 n . (a) t f = 3.6 × 1 0 4 s , (b) t f = 3.6 × 1 0 5 s , (c) t f = 3.6 × 1 0 6 s , (d) t f = 3.6 × 1 0 7 s .
Figure 5. Gyroscopic moment when ω = 0.002 n . (a) t f = 3.6 × 1 0 4 s , (b) t f = 3.6 × 1 0 5 s , (c) t f = 3.6 × 1 0 6 s , (d) t f = 3.6 × 1 0 7 s .
Electronics 13 02793 g005
Figure 6. Gyroscopic moment when ω = 0.02 n . (a) t f = 3.6 × 1 0 4 s , (b) t f = 3.6 × 1 0 5 s , (c) t f = 3.6 × 1 0 6 s , (d) t f = 3.6 × 1 0 7 s .
Figure 6. Gyroscopic moment when ω = 0.02 n . (a) t f = 3.6 × 1 0 4 s , (b) t f = 3.6 × 1 0 5 s , (c) t f = 3.6 × 1 0 6 s , (d) t f = 3.6 × 1 0 7 s .
Electronics 13 02793 g006
Figure 7. The trajectory of the spacecraft under continuous radial constant thrust. (a) The trajectory, (b) projection of the trajectory on O X Y plane, (c) projection of the trajectory on O X Z plane, (d) projection of the trajectory on O Y Z plane.
Figure 7. The trajectory of the spacecraft under continuous radial constant thrust. (a) The trajectory, (b) projection of the trajectory on O X Y plane, (c) projection of the trajectory on O X Z plane, (d) projection of the trajectory on O Y Z plane.
Electronics 13 02793 g007
Figure 8. The trajectory of the spacecraft under continuous radial thrust with a gyroscopic effect. (a) The trajectory, (b) projection of the trajectory on O X Y plane, (c) projection of the trajectory on O X Z plane, (d) projection of the trajectory on O Y Z plane.
Figure 8. The trajectory of the spacecraft under continuous radial thrust with a gyroscopic effect. (a) The trajectory, (b) projection of the trajectory on O X Y plane, (c) projection of the trajectory on O X Z plane, (d) projection of the trajectory on O Y Z plane.
Electronics 13 02793 g008
Figure 9. Comparison curves of orbit radius and velocity of the spacecraft before and after considering the gyroscopic effect. (a) Orbit radius, (b) velocity.
Figure 9. Comparison curves of orbit radius and velocity of the spacecraft before and after considering the gyroscopic effect. (a) Orbit radius, (b) velocity.
Electronics 13 02793 g009
Figure 10. Comparison curves of eccentricity and orbital inclination of the spacecraft before and after considering the gyroscopic effect. (a) Orbital inclination, (b) eccentricity.
Figure 10. Comparison curves of eccentricity and orbital inclination of the spacecraft before and after considering the gyroscopic effect. (a) Orbital inclination, (b) eccentricity.
Electronics 13 02793 g010
Figure 11. Orbit radius and velocity of the spacecraft under continuous radial thrust with gyroscopic effect. (a) Orbit radius when   a r = 3 × 1 0 2   m / s 2 , (b) velocity when   a r = 3 × 1 0 2   m / s 2 , (c) orbit radius when   a r = 1 × 1 0 2   m / s 2 , (d) velocity when   a r = 1 × 1 0 2   m / s 2 .
Figure 11. Orbit radius and velocity of the spacecraft under continuous radial thrust with gyroscopic effect. (a) Orbit radius when   a r = 3 × 1 0 2   m / s 2 , (b) velocity when   a r = 3 × 1 0 2   m / s 2 , (c) orbit radius when   a r = 1 × 1 0 2   m / s 2 , (d) velocity when   a r = 1 × 1 0 2   m / s 2 .
Electronics 13 02793 g011
Figure 12. Eccentricity and orbital inclination of the spacecraft under continuous radial thrust with gyroscopic effect. (a) Orbital inclination when   a r = 3 × 1 0 2   m / s 2 , (b) eccentricity when   a r = 3 × 1 0 2   m / s 2 , (c) orbital inclination when   a r = 1 × 1 0 2   m / s 2 , (d) velocity when   a r = 1 × 1 0 2   m / s 2 .
Figure 12. Eccentricity and orbital inclination of the spacecraft under continuous radial thrust with gyroscopic effect. (a) Orbital inclination when   a r = 3 × 1 0 2   m / s 2 , (b) eccentricity when   a r = 3 × 1 0 2   m / s 2 , (c) orbital inclination when   a r = 1 × 1 0 2   m / s 2 , (d) velocity when   a r = 1 × 1 0 2   m / s 2 .
Electronics 13 02793 g012
Figure 13. Comparison for eccentricity and orbital inclination of the spacecraft under different continuous radial thrust with gyroscopic effect. (a) Orbital inclination when ω = 0.02 n , (b) eccentricity when ω = 0.02 n , (c) orbital inclination when ω = 0.002 n , (d) eccentricity when ω = 0.002 n , (e) orbital inclination when ω = 0.0002 n , (f) eccentricity when ω = 0.0002 n .
Figure 13. Comparison for eccentricity and orbital inclination of the spacecraft under different continuous radial thrust with gyroscopic effect. (a) Orbital inclination when ω = 0.02 n , (b) eccentricity when ω = 0.02 n , (c) orbital inclination when ω = 0.002 n , (d) eccentricity when ω = 0.002 n , (e) orbital inclination when ω = 0.0002 n , (f) eccentricity when ω = 0.0002 n .
Electronics 13 02793 g013aElectronics 13 02793 g013b
Table 1. Maximum gyroscopic moment.
Table 1. Maximum gyroscopic moment.
Precession   Angular   Velocities   ω Maximum Gyroscopic Moment (N∙m)
0.0002 n 5.780 × 10 13
0.002 n 6.491 × 10 14
0.02 n 5.042 × 10 16
Table 2. The maximum change values of orbital inclination and eccentricity under the influence of the gyroscopic effect ( t f = 1.8 × 1 0 4 s ).
Table 2. The maximum change values of orbital inclination and eccentricity under the influence of the gyroscopic effect ( t f = 1.8 × 1 0 4 s ).
Precession   angular   velocities   ω 0.0002 n 0.002 n 0.02 n
The   maximum   change   value   of   orbital   inclination   i /rad a r = 3 × 1 0 2   m / s 2 0.0038 0.038 0.38
a r = 1 × 1 0 1   m / s 2 0.0038 0.038 0.38
The   maximum   change   value   of   orbital   eccentricity   e a r = 3 × 1 0 2   m / s 2 0.0093 0.0082 0.0084
a r = 1 × 1 0 1   m / s 2 0.028 0.027 0.028
Disclaimer/Publisher’s Note: The statements, opinions and data contained in all publications are solely those of the individual author(s) and contributor(s) and not of MDPI and/or the editor(s). MDPI and/or the editor(s) disclaim responsibility for any injury to people or property resulting from any ideas, methods, instructions or products referred to in the content.

Share and Cite

MDPI and ACS Style

Li, X.; Zhang, L.; Li, Z. The Trajectory Prediction of Spacecraft under the Influence of Gyroscopic Effect Generated during Non-Keplerian Motion. Electronics 2024, 13, 2793. https://doi.org/10.3390/electronics13142793

AMA Style

Li X, Zhang L, Li Z. The Trajectory Prediction of Spacecraft under the Influence of Gyroscopic Effect Generated during Non-Keplerian Motion. Electronics. 2024; 13(14):2793. https://doi.org/10.3390/electronics13142793

Chicago/Turabian Style

Li, Xuehua, Lei Zhang, and Zhijun Li. 2024. "The Trajectory Prediction of Spacecraft under the Influence of Gyroscopic Effect Generated during Non-Keplerian Motion" Electronics 13, no. 14: 2793. https://doi.org/10.3390/electronics13142793

APA Style

Li, X., Zhang, L., & Li, Z. (2024). The Trajectory Prediction of Spacecraft under the Influence of Gyroscopic Effect Generated during Non-Keplerian Motion. Electronics, 13(14), 2793. https://doi.org/10.3390/electronics13142793

Note that from the first issue of 2016, this journal uses article numbers instead of page numbers. See further details here.

Article Metrics

Back to TopTop