A Novel Approach for the Enhancement of Security through Defining the Spatial Secrecy Outage Probability in the Industrial Internet of Things
Abstract
1. Introduction
2. System Model
3. Algorithm Design and Implementation
3.1. Spatial Secrecy Outage Probability
3.2. Architectural Design for Maximum Throughput
4. Simulation Results
4.1. The Impact of Different Parameters on the Averaged SSOP
4.1.1. The Impact of the Averaged SSOP versus Bob’s Different Values of
4.1.2. The Averaged SSOP versus the Different Value of N
4.1.3. The Averaged SSOP versus Different Values of and
4.1.4. The Averaged SSOP versus Different Values of and
4.2. The Relationship between System Throughput versus Different Parameters
4.2.1. The Relationship between System Throughput versus the Legitimate Channel Transmission Rate
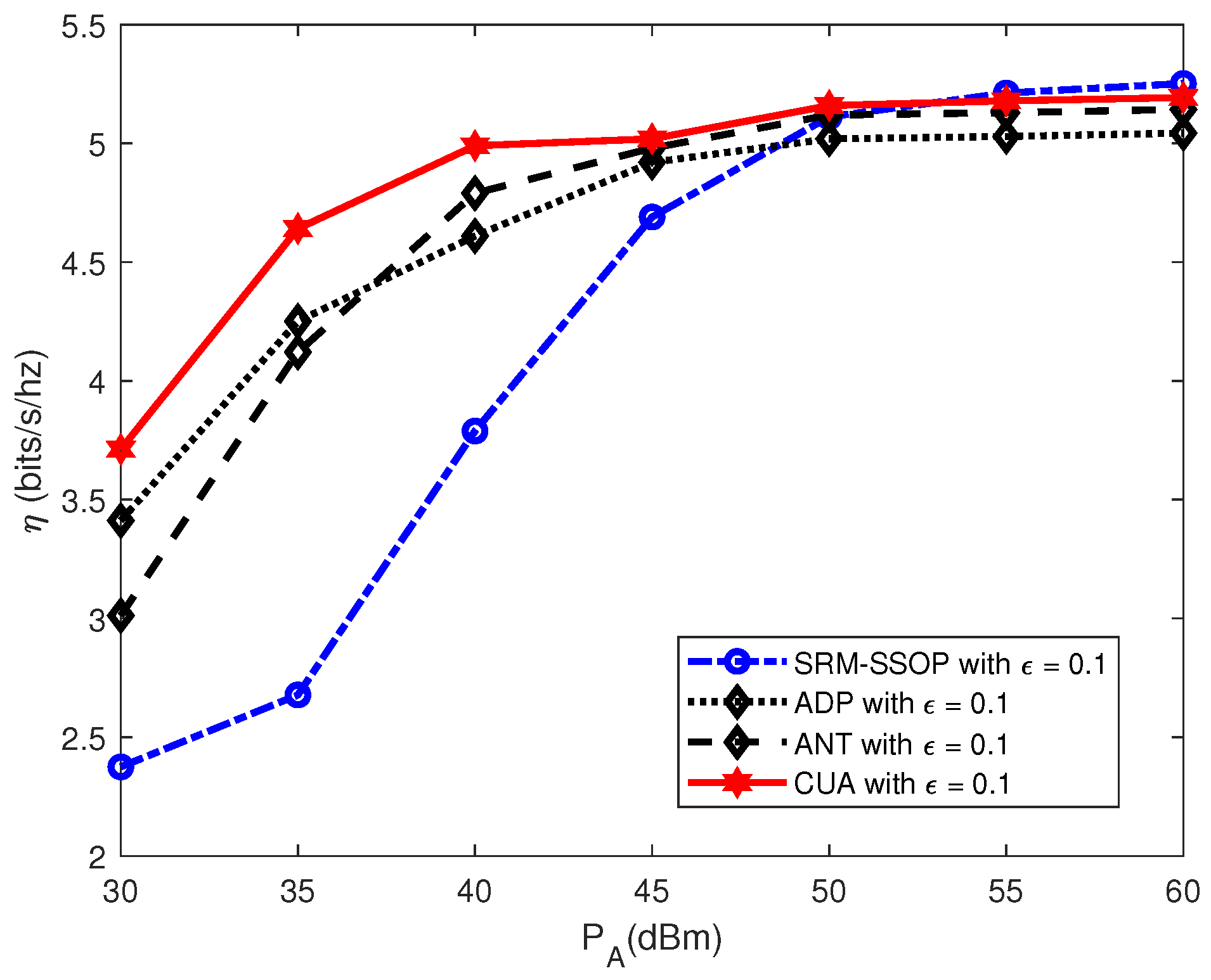
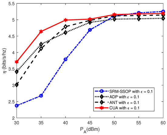
4.2.2. The Relationship between System Throughput versus Different Transmission Power Levels
4.2.3. The Relationship between System Throughput versus Bob’s Azimuth Angle
5. Conclusions
Author Contributions
Funding
Data Availability Statement
Conflicts of Interest
References
- Liu, Y.; Chi, C.; Zhang, Y.; Tang, T. Identification and Resolution for Industrial Internet: Architecture and Key Technology. IEEE Internet Things J. 2022, 9, 16780–16794. [Google Scholar] [CrossRef]
- Serror, M.; Hack, S.; Henze, M.; Schuba, M.; Wehrle, K. Challenges and Opportunities in Securing the Industrial Internet of Things. IEEE Trans. Ind. Inform. 2021, 17, 2985–2996. [Google Scholar] [CrossRef]
- Mcginthy, J.M.; Michaels, A.J. Secure Industrial Internet of Things Critical Infrastructure Node Design. IEEE Internet Things J. 2019, 6, 8021–8037. [Google Scholar] [CrossRef]
- Yao, P.; Yan, B.; Yang, T.; Wang, Y.; Yang, Q.; Wang, W. Security-Enhanced Operational Architecture for Decentralized Industrial Internet of Things: A Blockchain-Based Approach. IEEE Internet Things J. 2024, 11, 11073–11086. [Google Scholar] [CrossRef]
- Ud Din, I.; Bano, A.; Awan, K.A.; Almogren, A.; Altameem, A.; Guizani, M. LightTrust: Lightweight Trust Management for Edge Devices in Industrial Internet of Things. IEEE Internet Things J. 2023, 10, 2776–2783. [Google Scholar] [CrossRef]
- Yousuf, T.; Mahmoud, R.; Aloul, F.; Zualkernan, I. Internet of Things (IoT) Security: Current Status, Challenges and Countermeasures. Int. J. Inf. Secur. Res. (IJISR) 2015, 5, 608–616. [Google Scholar] [CrossRef]
- Al-Fuqaha, A.; Guizani, M.; Mohammadi, M.; Aledhari, M.; Ayyash, M. Internet of Things: A Survey on Enabling Technologies, Protocols, and Applications. IEEE Commun. Surv. Tutorials 2015, 17, 2347–2376. [Google Scholar] [CrossRef]
- Kokoris-Kogias, E.; Voutyras, O.; Varvarigou, T. TRM-SIoT: A scalable hybrid trust and reputation model for the social Internet of Things. In Proceedings of the IEEE International Conference on Emerging Technologies and Factory Automation, Berlin, Germany, 6–9 September 2016. [Google Scholar] [CrossRef]
- Lin, J.; Yang, X.; Yu, W.; Fu, X. Towards Effective En-Route Filtering against Injected False Data in Wireless Sensor Networks. In Proceedings of the Global Telecommunications Conference, Houston, TX, USA, 5–9 December 2011. [Google Scholar] [CrossRef]
- Suo, H.; Wan, J.; Zou, C.; Liu, J. Security in the Internet of Things: A Review. In Proceedings of the 2012 International Conference on Computer Science and Electronics Engineering, Hangzhou, China, 23–25 March 2012. [Google Scholar] [CrossRef]
- Mukherjee, A. Physical-Layer Security in the Internet of Things: Sensing and Communication Confidentiality Under Resource Constraints. Proc. IEEE 2015, 103, 1747–1761. [Google Scholar] [CrossRef]
- Ji, Z.; Yeoh, P.L.; Chen, G.; Zhang, J.; Zhang, Y.; He, Z.; Yin, H.; Li, Y. Physical-Layer-Based Secure Communications for Static and Low-Latency Industrial Internet of Things. IEEE Internet Things J. 2022, 9, 18392–18405. [Google Scholar] [CrossRef]
- Lipps, C.; Herbst, J.; Klingel, S.; Franke, L.; Wolff, A.; Rüb, M.; Reddy, R.; Rahm, M.; Schotten, H.D. Connectivity in the era of the (I) IoT: About security, features and limiting factors of reconfigurable intelligent surfaces. Discov. Internet Things 2023, 3, 16. [Google Scholar] [CrossRef]
- Yu, S.; Wu, F.; Chen, B.; Cao, R.; Yang, Z.; Li, K. A parallel game model-based intrusion response system for cross-layer security in industrial internet of things. Concurr. Comput. Pract. Exp. 2023, 35, e7826. [Google Scholar] [CrossRef]
- Chen, H.; Hu, M.; Yan, H.; Yu, P. Research on industrial internet of things security architecture and protection strategy. In Proceedings of the 2019 International Conference on Virtual Reality and Intelligent Systems (ICVRIS), Jishou, China, 14–15 September 2019; pp. 365–368. [Google Scholar] [CrossRef]
- Islam, S.N.; Baig, Z.; Zeadally, S. Physical layer security for the smart grid: Vulnerabilities, threats, and countermeasures. IEEE Trans. Ind. Inform. 2019, 15, 6522–6530. [Google Scholar] [CrossRef]
- Xu, L. Secure transmission strategy of network communication layer relay based on satellite transmission. In Proceedings of the 2020 2nd International Conference on Information Technology and Computer Application (ITCA), Guangzhou, China, 18–20 December 2020; pp. 268–271. [Google Scholar] [CrossRef]
- Nguyen, H.N.; Nguyen, N.L.; Nguyen, N.T.; Le, A.T.; Ha, N.D.X.; Do, D.T.; Voznak, M. Reliable and secure transmission in multiple antennas hybrid satellite-terrestrial cognitive networks relying on NOMA. IEEE Access 2020, 8, 215044–215056. [Google Scholar] [CrossRef]
- Liu, M.; Liu, Z.; Lu, W.; Chen, Y.; Gao, X.; Zhao, N. Distributed few-shot learning for intelligent recognition of communication jamming. IEEE J. Sel. Top. Signal Process. 2021, 16, 395–405. [Google Scholar] [CrossRef]
- Liu, M.; Wang, J.; Zhao, N.; Chen, Y.; Song, H.; Yu, F.R. Radio frequency fingerprint collaborative intelligent identification using incremental learning. IEEE Trans. Netw. Sci. Eng. 2021, 9, 3222–3233. [Google Scholar] [CrossRef]
- Liu, M.; Liu, C.; Li, M.; Chen, Y.; Zheng, S.; Zhao, N. Intelligent passive detection of aerial target in space-air-ground integrated networks. China Commun. 2022, 19, 52–63. [Google Scholar] [CrossRef]
- Zhang, Y.; Woods, R.; Ko, Y.; Marshall, A.; Zhang, J. Security Optimization of Exposure Region-Based Beamforming with a Uniform Circular Array. IEEE Trans. Commun. 2018, 66, 2630–2641. [Google Scholar] [CrossRef]
- Zhang, Y.; Ko, Y.; Woods, R.; Marshall, A. Defining Spatial Secrecy Outage Probability for Exposure Region-Based Beamforming. IEEE Trans. Wirel. Commun. 2017, 16, 900–912. [Google Scholar] [CrossRef]
- Li, B.; Zhou, Z.; Zou, W.; Sun, X.; Du, G. On the efficient beam-forming training for 60GHz wireless personal area networks. IEEE Trans. Wirel. Commun. 2013, 12, 504–515. [Google Scholar] [CrossRef]
- Bashar, B.S.; Rhazali, Z.; Elwi, T.A.; Misran, H.; Ismail, M.M.; Mahdi, M.; Alanssari, A.I. Antenna Beam forming Technology Based Enhanced Metamaterial Superstrates. In Proceedings of the 2022 IEEE 3rd KhPI Week on Advanced Technology (KhPIWeek), Kharkiv, Ukraine, 3–7 October 2022; pp. 1–5. [Google Scholar] [CrossRef]
- Xiong, Q.; Gong, Y.; Liang, Y.C.; Li, K.H. Achieving secrecy of MISO fading wiretap channels via jamming and precoding with imperfect channel state information. IEEE Wirel. Commun. Lett. 2014, 3, 357–360. [Google Scholar] [CrossRef]
- Barb, G.; Otesteanu, M. Digital GoB-based Beamforming for 5G communication systems. In Proceedings of the 2020 International Symposium on Antennas and Propagation (ISAP), Osaka, Japan, 25–28 January 2021; pp. 469–470. [Google Scholar] [CrossRef]
- Wang, B.; Mu, P.; Li, Z. Artificial-Noise-Aided Beamforming Design in the MISOME Wiretap Channel Under the Secrecy Outage Probability Constraint. IEEE Trans. Wirel. Commun. 2017, 16, 7207–7220. [Google Scholar] [CrossRef]
- Hu, L.; Wen, H.; Wu, B.; Tang, J.; Pan, F.; Liao, R.F. Cooperative-Jamming-Aided Secrecy Enhancement in Wireless Networks with Passive Eavesdroppers. IEEE Trans. Veh. Technol. 2018, 67, 2108–2117. [Google Scholar] [CrossRef]
- Li, Z.; Mu, P.; Li, Z.; Zhang, W.; Zhang, Y. An Adaptive Transmission Scheme for Slow Fading Wiretap Channel with Channel Estimation Errors. In Proceedings of the IEEE Globecom 2016, Washington, DC, USA, 4–8 December 2016. [Google Scholar] [CrossRef]
- Talak, R.; Karaman, S.; Modiano, E. Improving age of information in wireless networks with perfect channel state information. IEEE/ACM Trans. Netw. 2020, 28, 1765–1778. [Google Scholar] [CrossRef]
- Shi, W.; Pang, S.; Zhang, W. Linear shrinkage receiver for slow fading channels under imperfect channel state information. In Proceedings of the 2022 IEEE Information Theory Workshop (ITW), Mumbai, India, 1–9 November 2022; pp. 338–343. [Google Scholar] [CrossRef]
- Xie, R.; Tang, Q.; Liang, C.; Yu, F.R.; Huang, T. Dynamic computation offloading in IoT fog systems with imperfect channel-state information: A POMDP approach. IEEE Internet Things J. 2020, 8, 345–356. [Google Scholar] [CrossRef]
- Yilmaz, B.B.; Prvulovic, M.; Zajić, A. Electromagnetic side channel information leakage created by execution of series of instructions in a computer processor. IEEE Trans. Inf. Forensics Secur. 2019, 15, 776–789. [Google Scholar] [CrossRef]
- Niu, H.; Xiao, Y.; Lei, X.; Wang, G.; Xiao, M.; Mumtaz, S. When the CSI from Alice to Bob is Unavailable: What Can Eve Do to Eliminate the Artificial Noise? In Proceedings of the 2022 IEEE 96th Vehicular Technology Conference (VTC2022-Fall), London, UK, 26–29 September 2022; pp. 1–5. [Google Scholar] [CrossRef]
- Xia, G.; Lin, Y.; Liu, T.; Shu, F.; Hanzo, L. Transmit antenna selection and beamformer design for secure spatial modulation with rough CSI of Eve. IEEE Trans. Wirel. Commun. 2020, 19, 4643–4656. [Google Scholar] [CrossRef]
- Chen, Y.; Zhu, G.; Xu, J. Over-the-air computation with imperfect channel state information. In Proceedings of the 2022 IEEE 23rd International Workshop on Signal Processing Advances in Wireless Communication (SPAWC), Oulu, Finland, 4–6 July 2022; pp. 1–5. [Google Scholar] [CrossRef]
- Mukherjee, A.; Fakoorian, S.A.A.; Huang, J.; Swindlehurst, A.L. Principles of Physical Layer Security in Multiuser Wireless Networks: A Survey. IEEE Commun. Surv. Tutorials 2014, 16, 1550–1573. [Google Scholar] [CrossRef]
- Wang, J.; Lee, J.; Wang, F.; Quek, T. Jamming-Aided Secure Communication in Massive MIMO Rician Channels. IEEE Trans. Wirel. Commun. 2015, 14, 6854–6868. [Google Scholar] [CrossRef]
- Sarma, S.; Shukla, S.; Kuri, J. Joint scheduling & jamming for data secrecy in wireless networks. In Proceedings of the International Symposium on Modeling & Optimization in Mobile, Tsukuba Science City, Japan, 13–17 May 2013. [Google Scholar]
- Zheng, T.X.; Wang, H.M.; Yin, Q. On Transmission Secrecy Outage of a Multi-Antenna System with Randomly Located Eavesdroppers. IEEE Commun. Lett. 2014, 18, 1299–1302. [Google Scholar] [CrossRef]
- Hao, L.; Wang, X.; Hou, W. Security enhancement in cooperative jamming using compromised secrecy region minimization. In Proceedings of the Information Theory, Toronto, ON, Canada, 18–21 June 2013. [Google Scholar] [CrossRef]
- Yan, S.; Malaney, R.; Nevat, I.; Peters, G.W. Optimal Information-Theoretic Wireless Location Verification. IEEE Trans. Veh. Technol. 2014, 63, 3410–3422. [Google Scholar] [CrossRef]
- Yan, S.; Malaney, R.; Nevat, I.; Peters, G.W. Signal strength based wireless location verification under spatially correlated shadowing. In Proceedings of the 2014 IEEE International Conference on Communications (ICC), Sydney, Australia, 10–14 June 2014; pp. 2617–2623. [Google Scholar] [CrossRef]
- Yan, S.; Malaney, R. Line-of-sight based beamforming for security enhancements in wiretap channels. In Proceedings of the 2014 International Conference on IT Convergence and Security (ICITCS), Beijing, China, 28–30 October 2014; pp. 1–4. [Google Scholar] [CrossRef]









Disclaimer/Publisher’s Note: The statements, opinions and data contained in all publications are solely those of the individual author(s) and contributor(s) and not of MDPI and/or the editor(s). MDPI and/or the editor(s) disclaim responsibility for any injury to people or property resulting from any ideas, methods, instructions or products referred to in the content. |
© 2024 by the authors. Licensee MDPI, Basel, Switzerland. This article is an open access article distributed under the terms and conditions of the Creative Commons Attribution (CC BY) license (https://creativecommons.org/licenses/by/4.0/).
Share and Cite
Liu, X.; Xu, F.; Ning, L.; Zhao, C.; Xia, H. A Novel Approach for the Enhancement of Security through Defining the Spatial Secrecy Outage Probability in the Industrial Internet of Things. Electronics 2024, 13, 2356. https://doi.org/10.3390/electronics13122356
Liu X, Xu F, Ning L, Zhao C, Xia H. A Novel Approach for the Enhancement of Security through Defining the Spatial Secrecy Outage Probability in the Industrial Internet of Things. Electronics. 2024; 13(12):2356. https://doi.org/10.3390/electronics13122356
Chicago/Turabian StyleLiu, Xiaokai, Fangmin Xu, Lina Ning, Chenglin Zhao, and Hao Xia. 2024. "A Novel Approach for the Enhancement of Security through Defining the Spatial Secrecy Outage Probability in the Industrial Internet of Things" Electronics 13, no. 12: 2356. https://doi.org/10.3390/electronics13122356
APA StyleLiu, X., Xu, F., Ning, L., Zhao, C., & Xia, H. (2024). A Novel Approach for the Enhancement of Security through Defining the Spatial Secrecy Outage Probability in the Industrial Internet of Things. Electronics, 13(12), 2356. https://doi.org/10.3390/electronics13122356

