Modeling and Prediction of Sustainable Urban Mobility Using Game Theory Multiagent and the Golden Template Algorithm
Abstract
1. Introduction
- •
- Identifying all parties involved in the decision-making process (persons or groups of persons);
- •
- Defining the possible actions (scenarios) each party participating in the given process can undertake;
- •
- Establishing the evaluation process’s rules (evaluation stages and existing priorities);
- •
- Establishing the criteria according to which the assessment will be made, and the respective decision will be adopted;
- •
- Creating a list of alternatives and choosing the criteria for a predictive alternative;
- •
- Creating compromises and balancing interests or creating coalitions in case of need (imposing these compromises if necessary);
- •
- Distributing results according to the defined criteria (directing the gains according to the adopted decision).
- •
- Guaranteed success;
- •
- They are maximizing social status;
- •
- Efficient wall;
- •
- Individual choice;
- •
- Stability of choice;
- •
- Simplicity of the solution;
- •
- Distribution of the decision.
- •
- Managers/decision makers (users)—the person who makes the decision and will be responsible for the consequences of the choice.
- •
- Intermediaries—the person who helps, to a certain extent, the manager use the support system for specific decisions and in choosing the decision by providing suggestions.
- •
- DSS builder/facilitator—the person who designs and builds/configures the specific DSS using a DSS generator. The builder must know both the field of decision making and technical knowledge.
- •
- Technical support staff—the person develops new features for DSS as parts of the DSS generator (databases, analysis models, new presentation elements).
- •
- DSS instrument developer—the person develops new technologies, languages, hardware, and software components to improve subsystem connections.
- •
- Users are all those in direct or mediated interaction with DSS to form a decision-making unit in elaborating and adopting decisions.
- •
- Intermediaries connect users and developers of DSS instruments in the transition from tools to customized systems (builders–specialists) or mediate and even facilitate application systems.
- •
- DSS tool makers are specialists who develop decision-making methods and those who implement associated IT products, including DSS generators.
2. Materials and Methods
2.1. Game Theory and Decision Making
2.2. Development of Intelligent Transportation Systems Based on Artificial Intelligence Algorithms
2.3. Multiagent Systems Theory
- •
- Autonomy: the agent operates without the direct intervention of people or other methods and has specific control over its actions (activities) and internal state.
- •
- Reactivity: the agent perceives the surrounding environment (which can be a physical reality, a user through a graphical interface, a lot of other agents, the Internet or Intranet, or a combination of them) and responds in a certain way to continuous changes and unforeseen events that occur in the environment.
- •
- Proactivity: the agent does not react only in response to changes in the environment; he can have behaviors oriented towards achieving some goals, having his initiative in this sense.
- •
- Social ability: the agent interacts with other agents (and possibly humans) using a specific communication language understood by all other agents (or humans).
2.4. Negotiation and Learning in Intelligent Multiagent Systems
- (a)
- The presence of a particular form of conflict that must be resolved in a decentralized manner;
- (b)
- The existence in IMAS of some self-interested agents (who also have their own goals) or selfish agents (who only have their purposes);
- (c)
- Bounded rationality so that the agents can make rational decisions independently but within certain limits;
- (d)
- Incomplete information;
- (e)
- Communication between agents.
- (a)
- When all agents learn, the utility of the entire system is close to optimal, and the utilities of individual agents are similar.
- (b)
- When no agent learns, the utilities of the individual agents are almost equal, but the utility of the entire system is shallow.
- (c)
- When only one agent learns, his utility increases, but the utility of other agents and the system’s overall utility decrease.
3. Results
3.1. Game Theory and Intelligent Multiagent in Urban Transportation Planning
3.2. Implementation of the Intelligent Multiagent Systems Algorithm for Urban Transport Planning
- •
- Multiple rules;
- •
- Dynamic working memory;
- •
- A set of prediction rules.
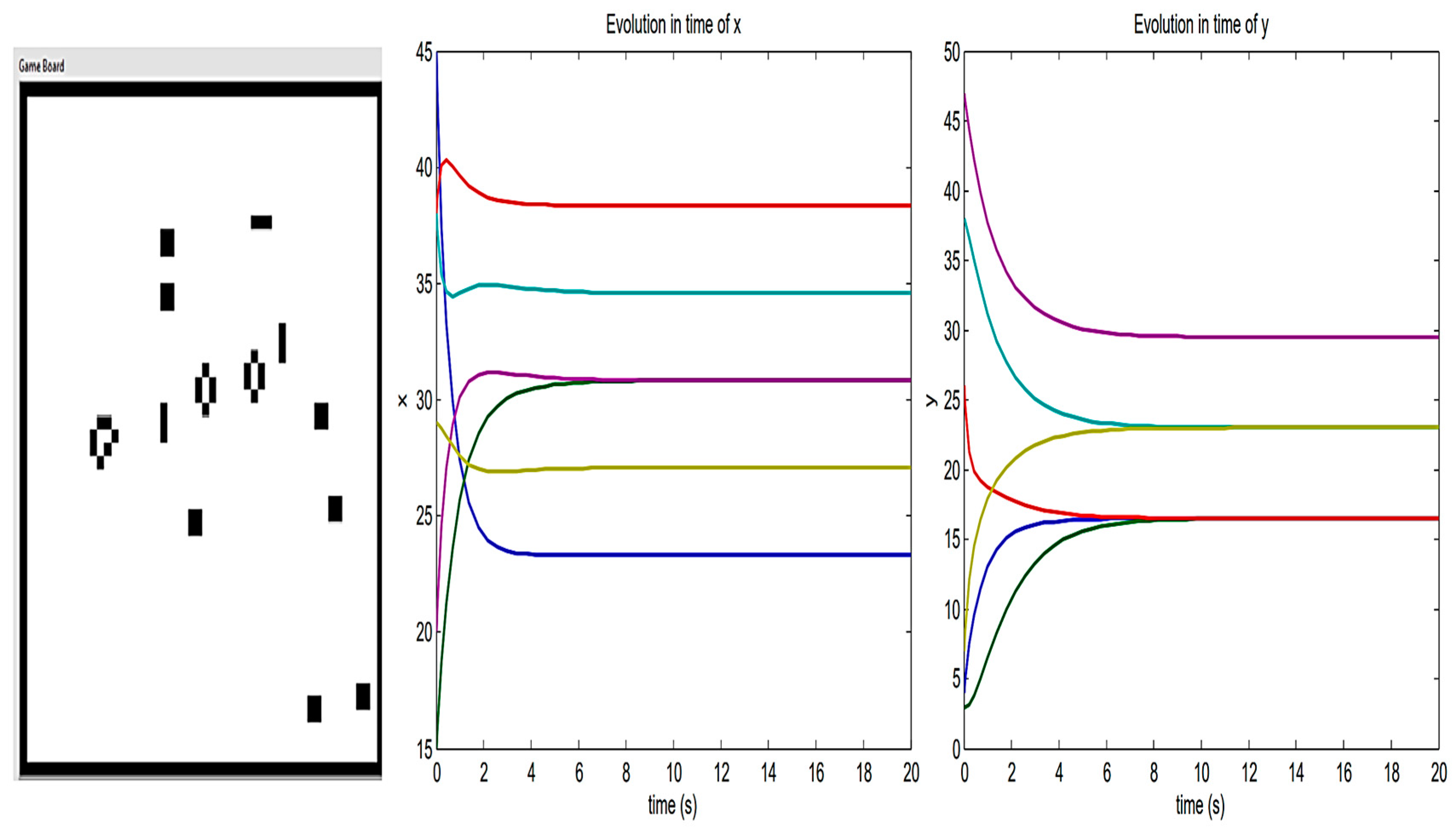
3.3. Formation Simulations with Projection Dynamics
- -
- Representing the network as a directed graph of connected lanes and turns that vehicles can use to specify their routes through the network;
- -
- Mapping between global position, station distance along the length of the strip, and direction and curvature of the strip;
- -
- Connecting vehicles and traffic controllers;
- -
- The driving strategy module that controls the vehicles in the network (i.e., it does not assume any lane-keeping dynamics);
- -
- Car tracking models.
4. Discussion
5. Conclusions
Author Contributions
Funding
Data Availability Statement
Conflicts of Interest
References
- Morton, S.M. State of the Art of Research in Management Support System, Sloan School of Management Center, Creative Media Partners LLC. 1983. Available online: https://dspace.mit.edu/bitstream/handle/1721.1/49015/stateofartofrese00scot.pdf;sequence=1 (accessed on 30 January 2023).
- Sprague, R.H., Jr. A Framework for the Development of Decision Support Systems. MIS Q. 1980, 4, 1–26. [Google Scholar] [CrossRef]
- Parsons, S.; Wooldridge, M. Game theory and decision theory in multi-agent systems. Auton. Agents Multi-Agent Syst. 2002, 5, 243–254. [Google Scholar] [CrossRef]
- Farhadi, F.; Tavafoghi, H.; Teneketzis, D.; Golestani, S.J. An efficient dynamic allocation mechanism for security in networks of interdependent strategic agents. Dyn. Games Appl. 2019, 9, 914–941. [Google Scholar] [CrossRef]
- Goeree, J.K.; Holt, C.A.; Palfrey, T.R. Quantal response equilibria. In Behavioural and Experimental Economics; Palgrave Macmillan: London, UK, 2010; pp. 234–242. [Google Scholar] [CrossRef]
- Horák, K.; Bošanský, B. Solving partially observable stochastic games with public observations. Proc. AAAI Conf. Artif. Intell. 2019, 33, 2029–2036. [Google Scholar] [CrossRef]
- Hota, A.R.; Sundaram, S. Interdependent security games on networks under behavioral probability weighting. IEEE Trans. Control Netw. Syst. 2016, 5, 262–273. [Google Scholar] [CrossRef]
- Huang, C.T.; Sakib, M.N.; Njilla, L.; Kamhoua, C. A game theoretic approach for making IoT device connectivity decisions during malware outbreak. In Proceedings of the 2019 International Conference on Computing, Networking and Communications (ICNC), IEEE, Honolulu, HI, USA, 18–21 February 2019; pp. 457–462. [Google Scholar] [CrossRef]
- Huang, Y.; Chen, J.; Huang, L.; Zhu, Q. Dynamic games for secure and resilient control system design. Natl. Sci. Rev. 2020, 7, 1125–1141. [Google Scholar] [CrossRef]
- Tembine, H. COVID-19: Data-driven mean-field-type game perspective. Games 2020, 11, 51. [Google Scholar] [CrossRef]
- Tembine, H.; Le Boudec, J.Y.; El-Azouzi, R.; Altman, E. Mean field asymptotics of Markov decision evolutionary games and teams. In Proceedings of the 2009 International Conference on Game Theory for Networks, IEEE, Istanbul, Turkey, 13–15 May 2009; pp. 140–150. [Google Scholar] [CrossRef]
- Tsemogne, O.; Hayel, Y.; Kamhoua, C.; Deugoué, G. Game-Theoretic Modeling of Cyber Deception Against Epidemic Botnets in Internet of Things. IEEE Internet Things J. 2021, 9, 2678–2687. [Google Scholar] [CrossRef]
- Wang, J.; Wang, W.; Wang, C. Modeling and analysis of conflicting information propagation in a finite time horizon. IEEE/ACM Trans. Netw. 2020, 28, 972–985. [Google Scholar] [CrossRef]
- Watkins, N.J.; Nowzari, C.; Pappas, G.J. Robust economic model predictive control of continuous-time epidemic processes. IEEE Trans. Autom. Control 2019, 65, 1116–1131. [Google Scholar] [CrossRef]
- Zhang, L.; Xu, J. Differential security game in heterogeneous device-to-device offloading network under epidemic risks. IEEE Trans. Netw. Sci. Eng. 2019, 7, 1852–1861. [Google Scholar] [CrossRef]
- Zhang, T.; Zhu, Q. Informational design of dynamic multi-agent system. arXiv 2021, arXiv:2105.03052. [Google Scholar] [CrossRef]
- Altman, E. A stochastic game approach for competition over popularity in social networks. Dyn. Games Appl. 2013, 3, 313–323. [Google Scholar] [CrossRef][Green Version]
- Bagagiolo, F.; Bauso, D. Mean-field games and dynamic demand management in power grids. Dyn. Games Appl. 2014, 4, 155–176. [Google Scholar] [CrossRef]
- Chang, S.L.; Piraveenan, M.; Pattison, P.; Prokopenko, M. Game theoretic modelling of infectious disease dynamics and intervention methods: A review. J. Biol. Dyn. 2020, 14, 57–89. [Google Scholar] [CrossRef]
- Chen, J.; Huang, Y.; Zhang, R.; Zhu, Q. Optimal curing strategy for competing epidemics spreading over complex networks. IEEE Trans. Signal Inf. Process. Over Netw. 2021, 7, 294–308. [Google Scholar] [CrossRef]
- Eksin, C. Control of stochastic disease network games via influential individuals. In Proceedings of the 2019 IEEE 58th Conference on Decision and Control (CDC), IEEE, Nice, France, 11–13 December 2019; pp. 6893–6898. [Google Scholar] [CrossRef]
- Huang, Y.; Kavitha, V.; Zhu, Q. Continuous-time Markov decision processes with controlled observations. In Proceedings of the 2019 57th Annual Allerton Conference on Communication, Control, and Computing (Allerton), IEEE, Monticello, IL, USA, 24–27 September 2019; pp. 32–39. [Google Scholar] [CrossRef]
- Isaacs, R. Differential Games: A Mathematical Theory with Applications to Warfare and Pursuit, Control and Optimization; Courier Corporation: Massachusetts, USA, 1999; ISBN 9780486406824. [Google Scholar]
- Zambrano-Martinez, J.L.; TCalafate, C.; Soler, D.; Cano, J.C.; Manzoni, P. Modeling and characterization of traffic flows in urban environments. Sensors 2018, 18, 2020. [Google Scholar] [CrossRef]
- Kerner, B.S.; Rehborn, H.; Aleksic, M.; Haug, A. Traffic prediction systems in vehicles. In Proceedings of the 2005 IEEE Intelligent Transportation Systems, IEEE, Vienna, Austria, 16 September 2005; pp. 72–77. [Google Scholar] [CrossRef]
- Min, W.; Wynter, L. Real-time road traffic prediction with spatio-temporal correlations. Transp. Res. C Emerg. Technol 2011, 19, 606–616. [Google Scholar] [CrossRef]
- Costa, C.; Chatzimilioudis, G.; Zeinalipour-Yazti, D.; Mokbel, M.F. Towards real-time road traffic analytics using telco big data. In Proceedings of the International Workshop on Real-Time Business Intelligence and Analytics, Munich Germany, 28 August 2017; pp. 1–5. [Google Scholar] [CrossRef]
- Zhang, X.; Onieva, E.; Perallos, A.; Osaba, E.; Lee, V. Hierarchical fuzzy rule-based system optimized with genetic algo-rithms for short term traffic congestion prediction. Transp. Res. C Emerg. Technol. 2014, 43, 127–142. [Google Scholar] [CrossRef]
- Onieva, E.; Milanés, V.; Villagra, J.; Pérez, J.; Godoy, J. Genetic optimization of a vehicle fuzzy decision system for intersections. Expert Syst. Appl. 2012, 39, 13148–13157. [Google Scholar] [CrossRef]
- Hodge, V.J.; Krishnan, R.; Austin, J.; Polak, J.; Jackson, T. Short-term prediction of traffic flow using a binary neural network. Neural Comput. Appl. 2014, 25, 1639–1655. [Google Scholar] [CrossRef]
- Habtie, A.B.; Abraham, A.; Midekso, D. Artificial neural network-based real-time urban road traffic state estimation framework. In Computational Intelligence in Wireless Sensor Networks: Recent Advances and Future Challenges; Springer: Berlin/Heidelberg, Germany, 2017; pp. 73–97. [Google Scholar] [CrossRef]
- Porikli, F.; Li, X. Traffic congestion estimation using HMM models without vehicle tracking. In Proceedings of the IEEE Intelligent Vehicles Symposium, IEEE, Parma, Italy, 14–17 June 2004; pp. 188–193. [Google Scholar] [CrossRef]
- Hernández, R.; Cárdenas, C.; Muñoz, D. Game theory applied to transportation systems in Smart Cities: Analysis of evolutionary stable strategies in a generic car pooling system. Int. J. Interact. Des. Manuf. (IJIDeM) 2018, 12, 179–185. [Google Scholar] [CrossRef]
- Abdoos, M. A cooperative multiagent system for traffic signal control using game theory and reinforcement learning. IEEE Intell. Transp. Syst. Mag. 2020, 13, 6–16. [Google Scholar] [CrossRef]
- Cococcioni, M.; Fiaschi, L.; Lermusiaux, P.F. Game Theory for Unmanned Vehicle Path Planning in the Marine Domain: State of the Art and New Possibilities. J. Mar. Sci. Eng. 2021, 9, 1175. [Google Scholar] [CrossRef]
- Sedjelmaci, H.; Hadji, M.; Ansari, N. Cyber security game for intelligent transportation systems. IEEE Netw. 2019, 33, 216–222. [Google Scholar] [CrossRef]
- Zhu, W.; Chen, M.; Wang, D.; Ma, D. Policy-combination oriented optimization for public transportation based on the game theory. Math. Probl. Eng. 2018, 2018, 7510279. [Google Scholar] [CrossRef]
- Lagos, A.R.; Kordonis, I.; Papavassilopoulos, G.P. Games of social distancing during an epidemic: Local vs. statistical information. Comput. Methods Programs Biomed. Update 2022, 2, 100068. [Google Scholar] [CrossRef]
- Liu, X.; Lin, K.; Wang, L.; Zhang, H. Stochastic evolutionary game analysis between special committees and ceo: Incentive and supervision. Dyn. Games Appl. 2021, 11, 538–555. [Google Scholar] [CrossRef]
- Chen, R.; Yang, Z. A Cooperative Merging Strategy for Connected and Automated Vehicles Based on Game Theory with Transferable Utility. IEEE Trans. Intell. Transp. Syst. 2022, 23, 19213–19223. [Google Scholar] [CrossRef]
- Dai, Y.; Ma, H. Artificial Intelligence: Need, Evolution, and Applications for Transportation Systems. In Intelligent Cyber-Physical Systems for Autonomous Transportation; Springer: Cham, Switzerland, 2022; pp. 71–88. [Google Scholar] [CrossRef]
- Angelidou, M.; Psaltoglou, A.; Komninos, N.; Kakderi, C.; Tsarchopoulos, P.; Panori, A. Enhancing sustainable urban development through smart city applications. J. Sci. Technol. Policy Manag. 2017, 9, 146–169. [Google Scholar] [CrossRef]
- Andersen, T.J. Information technology, strategic decision making approaches and organizational performance in different industrial settings. J. Strateg. Inf. Syst. 2001, 10, 101–119. [Google Scholar] [CrossRef]
- Arnott, D.; Pervan, G. Eight key issues for the decision support systems discipline. Decis. Support Syst. 2008, 44, 657–672. [Google Scholar] [CrossRef]
- Brown, I. Strategic information systems planning: Comparing espoused beliefs with practice. In Proceedings of the 18th European Conference on Information Systems, Pretoria, South Africa; 2010; pp. 1–12. Available online: https://aisel.aisnet.org/ecis2010/140 (accessed on 30 January 2023).
- Brown, I.T. Testing and extending theory in strategic information systems planning through literature analysis. Inf. Resour. Manag. J. (IRMJ) 2004, 17, 20–48. [Google Scholar] [CrossRef]
- Ameli, M.; Faradonbeh MS, S.; Lebacque, J.P.; Abouee-Mehrizi, H.; Leclercq, L. Departure Time Choice Models in Urban Transportation Systems Based on Mean Field Games. Transp. Sci. 2022, 56, 1483–1504. [Google Scholar] [CrossRef]
- Sandholm, W.H. Population Games and Evolutionary Dynamics; MIT Press: Massachusetts, USA, 2010. [Google Scholar]
- Smith, J.M. Evolution and the Theory of Games; Cambridge University Press: Cambridge, England, 1982. [Google Scholar]
- Lee, I. Pricing and profit management models for SaaS providers and IaaS providers. J. Theor. Appl. Electron. Commer. Res. 2021, 16, 859–873. [Google Scholar] [CrossRef]
- Bourletidis, K.; Triantafyllopoulos, Y. SMEs survival in time of crisis: Strategies, tactics and commercial success stories. Procedia -Soc. Behav. Sci. 2014, 148, 639–644. [Google Scholar] [CrossRef]
- Alyoubi, B.A. Decision support system and knowledge-based strategic management. Procedia Comput. Sci. 2015, 65, 278–284. [Google Scholar] [CrossRef]
- Fairbank, J.F.; Labianca, G.J.; Steensma, H.K.; Metters, R. Information processing design choices, strategy, and risk management performance. J. Manag. Inf. Syst. 2006, 23, 293–319. [Google Scholar] [CrossRef]








Disclaimer/Publisher’s Note: The statements, opinions and data contained in all publications are solely those of the individual author(s) and contributor(s) and not of MDPI and/or the editor(s). MDPI and/or the editor(s) disclaim responsibility for any injury to people or property resulting from any ideas, methods, instructions or products referred to in the content. |
© 2023 by the authors. Licensee MDPI, Basel, Switzerland. This article is an open access article distributed under the terms and conditions of the Creative Commons Attribution (CC BY) license (https://creativecommons.org/licenses/by/4.0/).
Share and Cite
Radu, V.; Dumitrescu, C.; Vasile, E.; Tăbîrcă, A.I.; Stefan, M.C.; Manea, L.; Radu, F. Modeling and Prediction of Sustainable Urban Mobility Using Game Theory Multiagent and the Golden Template Algorithm. Electronics 2023, 12, 1288. https://doi.org/10.3390/electronics12061288
Radu V, Dumitrescu C, Vasile E, Tăbîrcă AI, Stefan MC, Manea L, Radu F. Modeling and Prediction of Sustainable Urban Mobility Using Game Theory Multiagent and the Golden Template Algorithm. Electronics. 2023; 12(6):1288. https://doi.org/10.3390/electronics12061288
Chicago/Turabian StyleRadu, Valentin, Catalin Dumitrescu, Emilia Vasile, Alina Iuliana Tăbîrcă, Maria Cristina Stefan, Liliana Manea, and Florin Radu. 2023. "Modeling and Prediction of Sustainable Urban Mobility Using Game Theory Multiagent and the Golden Template Algorithm" Electronics 12, no. 6: 1288. https://doi.org/10.3390/electronics12061288
APA StyleRadu, V., Dumitrescu, C., Vasile, E., Tăbîrcă, A. I., Stefan, M. C., Manea, L., & Radu, F. (2023). Modeling and Prediction of Sustainable Urban Mobility Using Game Theory Multiagent and the Golden Template Algorithm. Electronics, 12(6), 1288. https://doi.org/10.3390/electronics12061288

