Next Article in Journal
Multi-Mode Electric Wheelchair with Health Monitoring and Posture Detection Using Machine Learning Techniques
Previous Article in Journal
Open-Circuit Fault-Tolerant Control of a Six-Phase Asymmetric Permanent Magnet Synchronous Motor Drive System
 
 
Font Type:
Arial Georgia Verdana
Font Size:
Aa Aa Aa
Line Spacing:
Column Width:
Background:
Article

Maximum Power Point Tracking in Photovoltaic Systems Based on Global Sliding Mode Control with Adaptive Gain Scheduling

by
Rudi Uswarman
1,*,
Khalid Munawar
1,
Makbul A. M. Ramli
1,
Houssem R. E. H. Bouchekara
2 and
Md Alamgir Hossain
3
1
Department of Electrical and Computer Engineering, King Abdulaziz University, Jeddah 21589, Saudi Arabia
2
Department of Electrical Engineering, University of Hafr Al Batin, Hafr Al Batin 31991, Saudi Arabia
3
Queensland Micro and Nanotechnology Centre, Griffith University, Nathan, QLD 4111, Australia
*
Author to whom correspondence should be addressed.
Electronics 2023, 12(5), 1128; https://doi.org/10.3390/electronics12051128
Submission received: 17 November 2022 / Revised: 15 February 2023 / Accepted: 22 February 2023 / Published: 25 February 2023
(This article belongs to the Section Power Electronics)

Abstract

Maximum power point tracking (MPPT) controllers have already achieved remarkable efficiencies. For smaller photovoltaic (PV) systems, any improvement will not really be worth mentioning as an achievement. However, for large solar farms, even a fractional improvement will eventually create a significant impact. This paper presents an MPPT control scheme using global sliding mode control (GSMC) with adaptive gain scheduling. In the two-loop controller, the first loop determines the maximum power point (MPP) reference using online calculations, while the GSMC with adaptive gain scheduling in the second loop adjusts the boost converter’s pulse width modulation (PWM) to force the PV system to operate at the MPP with improved performance. The adaptive gain scheduling regulates the gain of the switching control to maintain the controller performance over a wide range of operating conditions, while GSMC guarantees the system robustness throughout the control process by eliminating the reaching phase and improving MPPT performance. The overall PV system also has Lyapunov stability. Furthermore, the robustness analysis of the proposed controller is also performed under load variations and parametric uncertainties at various temperatures and irradiances. In the simulations, the proposed MPPT control scheme has shown faster response than other controllers, reaching the set point with rise time 0.03 s as compared to 0.07 s and 0.13 s for quasi sliding mode control (QSMC) and conventional sliding mode control (CSMC), respectively. The proposed controller showed an overshoot of 1.2 V around a steady state value of 21.9 V as compared to 1.51 V and 1.45 V, respectively, for QSMC and CSMC for a certain parametric variation. Furthermore, the proposed controller and the QSMC-based scheme showed a steady-state error of 0.3 V, while the CSMC-based approach has a more significant error. In conclusion, the proposed MPPT control scheme has a faster response and low tracking error with minimal oscillations.

1. Introduction

Global energy production has been steadily increasing to meet the electricity needs of society and industry, with most of the energy produced from fossil fuels [1]. However, fossil fuel resources are limited and expected to run out eventually, necessitating alternative energy resources to contribute significantly to global energy production and, ultimately, replace fossil fuels. In addition, these fuels have a detrimental effect on the environment because they contribute to pollution. To mitigate this adverse effect, we can employ renewable energy sources, including biofuel, solar, hydropower, biomass, wind, tidal, and geothermal, etc. [2,3]. Some renewable energy sources can be integrated into the existing energy systems. Such integrated energy systems can boost energy efficiency and decrease operational expenses, and they are more environmentally friendly [4,5].
Photovoltaic (PV) panels are being widely used to capture solar energy. Although they still have limited efficiency, they have several advantages, such as no additional fuel consumption, perfect silence, minimal maintenance costs, ease of installation, etc. [6,7]. PV plants are broadly classified into stand-alone and grid-connected [8]. Stand-alone plants provide electricity to isolated consumers far from the power grid or have low electricity demand [9,10,11]. Grid-connected systems are tied to the electricity grid and feed it whenever they generate more than the local demand, although they may cause some problems to the grid, like harmonic distortion and phase unbalance [12,13,14].
As incident solar energy varies a great deal due to the motion of the sun and climatic conditions, maximum power point tracking (MPPT) control schemes are essentially used to extract the maximum amount of available energy from an installed capacity. As an illustration, by implementing MPPT on a single BP SX 150S PV module, a maximum power of 144 W is achieved with an efficiency of 96%. A facility with 72,000 sun power PV modules could generate around 10.368 MW . However, the same facility could only generate just 7.56 MW without MPPT with an efficiency of approximately 70% [15]. With MPPT, the solar energy conversion systems boast even up to 98% power extraction/conversion efficiency. In small domestic systems, an improvement in this figure will not mean much; however, in large PV farms, even a fractional improvement will significantly change the generated output.
MPPT works using the perturb-and-observe (P&O) technique [16,17,18]; it is a simple technique with a low computational burden, making it straightforward to implement. The incremental conductance (IncCond) technique also has almost similar advantages [19,20]. However, both methods are less effective when there are rapid changes in irradiation and oscillations in the steady state [21]. Therefore, several other sophisticated control methods have been used to improve the performance of MPPT.
The fuzzy logic control is used as an alternative to improve the MPPT performance. This method can be optimized with a combination of particle swarm optimization (PSO) and genetic algorithms (GA), resulting in a much-improved performance compared to P&O and IncCond methods in tracking the PV reference voltage with higher speed and precision [22]. However, fuzzy logic combined with metaheuristic schemes takes multiple iterations to attain the low desired error, necessitating a fast processor to acquire a solution in the shortest time.
The adaptive neuro-fuzzy inference system (ANFIS) with PSO can also track the PV reference voltage more accurately than P&O and IncCond [23,24]. A hybrid ANFIS technique collects fuzzy data with learned rules to properly adjust membership values before the error is reduced to the minimum possible values. The learned system becomes a hybrid MPPT controller when membership settings are changed. Nevertheless, this technique requires a strategy to enhance efficiency by circumventing the procedural complexities of ANFIS-based hybridization approaches.
The artificial neural network (ANN) algorithm can also accurately track the MPP with slight overshoots. The optimal application of the ANN algorithm depends on the number of neurons in the hidden layer, the selection of the activation function, and neural network training; its precision can be improved by increasing the number of neurons and hidden layers [25]. However, in the event of an adverse change, it will take a long time again to achieve the optimal PV reference voltage tracking.
Robust integral backstepping control is also used for MPPT with PV reference voltage obtained through neuro-fuzzy techniques. The simulation results have shown faster and more accurate tracking compared to P&O and PID with parametric uncertainties under climatic changes. However, there are still oscillations in the extracted power from the PV [26].
A two-loop control is developed to keep track of the MPP more effectively; the first loop determines the maximum power voltage reference of the solar array based on the current PV voltage, temperature, irradiance, etc., and then the second loop regulates the output to the reference voltage using the sliding mode control (SMC) [27,28]. This technique is reported to have improved the power converter efficiency by close to 99%. The overall performance is not optimal because there is still chattering around the steady state.
The terminal sliding mode control (TSMC) can track the reference with finite time convergence and has a superior output response compared to PI control. Nevertheless, the comparison with the PI controller is insufficient; it should also be compared to some advanced approaches, particularly those based on SMC [29].
The SMC optimization with backstepping super-twisting sliding mode control (BSTSMC) can maximize power extraction with superior performance tracking accuracy, finite-time convergence, and fast dynamic response compared to P&O, PID, and conventional sliding mode control (CSMC) with parametric uncertainties [30]. However, the chattering problem still exists.
SMC is a variable structure control with two major benefits: ease of tailoring the system’s dynamic behavior by selecting a specific switching function and insensitivity of the closed-loop performance to a class of uncertainties [31]. SMC comprises three steps: creating a sliding surface in state space, developing a switching control law to reach the sliding surface, and building an equivalent control to ensure that the system state trajectories remain on the sliding surface [32].
The sliding surface significantly affects the SMC’s performance [33]; generally, the sliding surface in a CSMC is simply a positive constant multiplied by the tracking error. However, the sliding surface can be modified using several control techniques like P, PI, PID, and many more. The objective of modifying the sliding surface is to improve the tracking error performance of the controller.
Integral sliding mode control (ISMC) modifies the sliding surface to eliminate the reaching phase, which can improve the transient response. However, the effectiveness of tracking performance in the transient response of ISMC is inferior to GSMC [34,35]. Then, to reduce the chattering, it was suggested that the switching element be smoothed with a low-pass filter. It was known through simulations that ISMC can track the reference with superior performance in chattering attenuation. In the other article [36], the ISMC approach with a proportional-integral (PI) sliding surface can preserve the transient performance besides eliminating steady-state errors. Nevertheless, some chattering is still there due to the switching control.
SMC combined with PID sliding surface has shown improved tracking performance. The error tracking the performance of this SMC improvement outperforms the super twisting sliding mode control (ST-SMC) and nonsingular terminal sliding mode control (NT-SMC) when a disturbance signal is present. However, there are no clear guidelines to calculate the PID gains k p ,   k i , and k d [37]. The sliding surface PID is also applied to eliminate the chattering problem by replacing the switching function with a hyperbolic function; however, the performance is not very convincing [38].
Quasi-sliding mode control (QSMC) can also reduce the chattering defining a boundary layer; the determination process of the boundary layer, however, is not clearly known [39].
This paper proposes the application of GSMC to optimize the MPPT. GSMC is an enhancement to SMC that aims to improve the control system performance by reducing errors, accelerating convergence to steady state, and allowing robustness against uncertainties and disturbances. The proposed strategy is outlined as follows.
  • The maximum power voltage approach is used to estimate the MPP in the first loop.
  • GSMC adjusts the PWM of the boost converter to force the PV system to operate at the expected MPP.
The GSMC ensures system stability throughout the control process. As improvements in the control law, the following are also proposed.
  • Using the exponential function in the control law to drive the system states to the sliding surface.
  • Using the adaptive gain in the switching control to adjust the robustness of the controller.
The proposed controller aims to eliminate the reaching phase and accelerate the PV reference voltage tracking response, hence improving the power extraction efficiency.
The main contributions of this paper are as follows:
  • Design of a two-loop MPPT control using GSMC with adaptive gain scheduling exhibiting smaller rise and settling times, no chattering, and low steady-state error.
  • Performance analysis of the proposed controller under varying temperature and irradiance and with parametric uncertainties and load variations; extracted power and energy computations to highlight the expected gains over the other MPPT and control schemes.
  • Stability analysis of the overall system to prove Lyapunov stability.
The remaining sections are organized as follows: Section 2 presents the modeling of the PV module and boost converter, Section 3 describes the proposed global sliding mode MPPT controller, Section 4 explains the simulation results, and the conclusions are shown in Section 5.

2. Problem Formulation

2.1. Modeling of a PV Module

The electric characteristics of a solar PV module can be described in terms of current [40,41]
I p v = N p I p h N p I r s [ exp ( q V p v N s A K T ) 1 ]   .
where I p v is the output current; V p v is the output voltage; N p and N s represent the number of parallel and series-connected cells, respectively; K = 1.3805 × 10 23   J / K is the Boltzmann’s constant; q = 1.6022 × 10 19 C is the electron charge; I p h is the photocurrent; I r s is the reverse saturation current; A is the ideal P–N junction characteristic factor; and T is the cell temperature in kelvin (K).
The reverse saturation current I r s of a cell is calculated as follows:
I r s = I o r ( T 298 ) 3 exp ( q E g o A K [ 1 298 1 T ] )     .
where E g o = 1.1   eV denotes the band-gap energy of the semiconductor in the cell. At 298 K, the reverse saturation current I o r is as follows:
I o r = I s c ( exp [ q V o c N s A K T ] 1 ) 1     .
where I s c is the cell short-circuit current at the reference temperature and radiation, V o c is the open-circuit voltage.
The photocurrent I p h has the following relationship with cell temperature and solar radiation:
I p h = ( I s c + K i [ T 298 ] ) E 1000     .
where K i is the short-circuit current temperature coefficient, and E is the solar radiation.
The PV module power P p v can be calculated as follows:
P p v = N p I p v V p v N p I r s V p v ( exp [ q V p v N s A K T ] 1 )     .
This paper considers the Kyocera™ KC200GH-2P PV module [42]. The module contains 54 polycrystalline cells joined in series; Table 1 summarizes its electrical properties.
The power-voltage P p v - V p v and current-voltage I p v - V p v characteristics of Kyocera™ KC200GT under varying solar irradiation conditions are shown in Figure 1. This figure is generated using Equations (1)–(5) with the solar module specifications listed in Table 1 and at 25 °C. The first characteristic indicates that a photovoltaic system output current and voltage will drop when exposed to reduced irradiance at a temperature of 25 °C. Furthermore, the second feature demonstrates that the maximum photovoltaic system power output is 200 W at a current of 7.61 A and a voltage of 26.3 V .

2.2. Modeling of a Boost Converter

The DC–DC boost converter regulates the PV module’s output voltage V p v to extract the maximum power available. A typical boost converter design is shown in Figure 2; not all designs are identical. Equations (6) and (7) give the dynamic behaviors of a PV-fed boost converter [43].
V L = L p v d I L d t = V p v ( 1 u ) V d c   ,
I C p v = C p v d V p v d t = I p v I L   ,
where V L , L p v , I L , V d c , I C p v ,   C p v , I p v , and u represent voltage across inductance, inductor’s inductance, inductor current, DC bus voltage, capacitor current, capacitor’s capacitance, PV current, and duty ratio of the converter, respectively. Equation (7) only works when the capacitor voltage ripple is negligible, the inductor current is always continuous, and the time steps are much larger than the converter switching frequency.
The PWM switching noise can drastically deteriorate the performance and affect the closed-loop control of the boost converter due to noisy voltage and current data from the sensors. However, as the system will generally charge a battery or super capacitor bank, the noise effects will be minimized as these loads will act as huge low-pass filters for high-frequency noises. Moreover, as the proposed controller is shown to have very good transient response, it is expected to take care of the relatively low frequency noises and disturbances and quickly regain MPPT. Further signal filtration can also be implemented if needed without compromising the transient performance.
By rearranging (6) and (7), we obtain the following:
I ˙ L = V p v L p v ( 1 u ) V d c L p v   ,
V ˙ p v = I p v C p v I L C p v   ,
leading to the converter dynamics as the following state-space representation:
x ˙ = f ( x , t ) + g ( t ) + h ( t ) u     ,
where
x = [ x 1       x 2 ] T = [ V p v       I L ] T   ,
f ( x , t ) = [ 0 1 / C p v 1 / L p v 0 ]   ,
g ( t ) = [ I p v / C p v 0 V d c / L p v 0 ]   ,
h ( t ) = [ 0 V d c / L p v ] T   .

3. Design of the Global Sliding Mode MPPT Controller

The proposed GSMC-MPPT controller structure is depicted in Figure 3. The MPP Searching block computes the voltage reference of PV for any combination of cell temperature and solar irradiation, based on which the proposed controller generates an appropriate duty cycle to achieve MPPT.

3.1. MPP Searching Technique

The MPP search algorithm generates the reference voltage from the PV charge controller (converter) [41]. This technique is based on Equation (5), which is derived as follows:
d P p v d V p v = V p v + I p v d V p v d I p v     .
The maximum power can be derived from a PV panel when
V p v + I p v d V p v d I p v = 0   .
The reference voltage V p v in (16) is calculated using (1) as follows:
V p v = N s A K T q log ( I p h I p v + I r s I r s )   .
The partial derivative of V p v in terms of I p v is as follows:
d V p v d I p v = N s A K T q 1 I p h I p v + I r s   .
Substituting (17) and (18) into (16) achieves
1 I p h I p v + I r s = log ( I p h I p v + I r s I r s )   .
This equation establishes the following linear relationship between the PV current corresponding to the maximum power I r e f and the short-circuit current I p h in the cell.
I r e f = 0.909   I p h   .
Finally, the reference voltage V r e f is calculated by replacing the reference current I r e f obtained in (20) into (17).
V r e f = N s A K T q log ( I p h I r e f + I r s I r s )   .

3.2. Global Sliding Mode Control with Adaptive Gain Scheduling

As shown in Figure 3, the proposed GSMC-MPPT controller consists of a boost converter, MPPT algorithm, and GSMC. The first loop takes the temperatures T and irradiance E as its inputs and generates the V r e f using the MPP searching algorithm, i.e., by calculating (21). The second loop contains the proposed controller to regulate the system to track V r e f . The goal of the closed-loop GSMC control system is to force the PV panel voltage to strictly follow V r e f to extract the maximum power under varying temperatures and irradiances.

3.2.1. Sliding Surface

The GSMC is designed by specifying a sliding surface, equivalent control, and switching control. The first step is to design the sliding surface. Equation (22) shows the conventional sliding surface of SMC.
S ( x , t ) = β e ( t ) ,  
where β > 0 and e ( t ) identify the error obtained between the output and the reference.
The typical SMC system’s response can be classified into a reaching phase and a sliding phase. The response is robust only in the sliding phase but not in the reaching phase. Therefore, the robustness of the conventional SMC cannot be guaranteed and is susceptible to system perturbations. On the contrary, GSMC is faster than the conventional SMC because it eliminates the reaching phase and places the system states directly on the sliding surface [44,45,46].
The nonlinear global sliding surface is defined as follows:
S ( x , t ) = β e 1 ( t ) + γ e ˙ 1 ( t ) F ( t ) ,  
where γ is positive constant, e 1 ( t ) is x 1 error, and F ( t ) is specifically designed to reach the global sliding surface while satisfying the following three conditions:
F ( 0 ) β e 1 ( 0 ) ,  
F ( t ) 0   as   t ,  
F ( t )   is   derivable ,  
Equation (24a) denotes the sliding surface’s initial states, (24b) the asymptotic stability, and (24c) the presence of the sliding mode. Then, F ( t ) can be designed as follows from the three conditions above:
F ( t ) = F ( 0 ) e x p ( η t ) ,  
where η is a positive constant and smaller than 1.
The sliding surface is derived by substituting (25) into (23), as given by
S ( x , t ) = β e 1 ( t ) + γ e ˙ 1 ( t ) F ( 0 ) e x p ( η t ) .  

3.2.2. Equivalent Control

The equivalent equation is obtained from the first derivative of the sliding surface, which must satisfy the following conditions:
S ˙ ( x , t ) = β e ˙ 1 ( t ) + γ e ¨ 1 ( t ) F ˙ ( 0 ) e x p ( η t ) .
S ˙ ( x , t ) = β e ˙ 1 ( t ) + γ V ¨ r e f ( t ) γ V ¨ p v ( t ) F ˙ ( 0 ) e x p ( η t ) .
S ˙ ( x , t ) = β e ˙ 1 ( t ) + γ V ¨ r e f ( t ) γ ( I ˙ L C i n + I ˙ p v C i n ) ( t ) F ˙ ( 0 ) e x p ( η t )   .
Substituting (8) into I ˙ L in (29) yields
              S ˙ ( x , t ) = β e ˙ 1 ( t ) + γ V ¨ r e f ( t ) γ C i n ( x 1 L p v + V d c L p v V d c L p v u + I ˙ p v ) ( t ) F ˙ ( 0 ) e x p ( η t ) .
Making S ˙ ( x , t ) = 0 to obtain the equivalent control [44] as follows:
u e q = C i n L p v γ V d c [ β e ˙ 1 ( t ) + γ V ¨ r e f ( t ) γ C i n ( x 1 L p v + V d c L p v + I ˙ p v ) ( t ) F ˙ ( 0 ) e x p ( η t ) ] .
In the beginning, the exponential term makes the control response faster in tracking the set point because it can eliminate the reaching phase; however, this term only works for a short time and fades out quickly.
To improve the output response time, particularly when V r e f changes abruptly, the equivalent control is further modified as follows:
u e q = C i n L p v γ V d c [ β e ˙ 1 ( t ) + γ V ¨ r e f ( t ) γ C i n ( x 1 L p v + V d c L p v + I ˙ p v ) ( t ) F ˙ ( 0 ) e x p ( η t ) + e r r ] ,
where,
e r r = β e ˙ 1 ( t ) ( 1 + exp [ η e ˙ 1 ] )   ;   for   t > 0.1   s .  
It enhances the control system’s performance and makes it consistently responsive whenever a significant error occurs.

3.2.3. Switching Control

The switching control to force the system to slide across the sliding surface is designed as follows:
u s w = G   s i g n   ( S ) ,  
where,
G = {   90   ;     I A E   0.05                             110     ;   0.05 < I A E 0.1   130   ;   I A E > 0.1                                
denotes the gain scheduling based on integral absolute error (IAE) calculation. It indicates that the gain will reduce if the IAE decreases and vice versa. This strategy aims to adjust the robustness of the proposed controller. The large switching gain provides higher robustness to achieve the desired point; however, this large gain also causes chattering in the steady state. On the other hand, the smaller gain results in decreased robustness in the transient state with small chattering in the steady state.
The proposed controller uses the three following different gain values: 90, 110, and 130. The minimum gain must be determined to maintain the control system’s robustness when dealing with systems that have disturbances and uncertainties. Furthermore, the maximum gain must be limited to avoid excessive chattering.
The switching control of Equation (34) produces chattering; to reduce it, the following switching law is proposed:
u s w = G   s a t   ( S ) ,  
where the saturation function s a t   ( S ) is defined as follows and shown in Figure 4:
s a t ( S ) = {   1     ;       S > Δ                     S / Δ   ;   | S | Δ 1     ;       S < Δ    
where Δ is the boundary layer, which can prevent chattering by using linear feedback control inside the boundary layer and switching control outside the boundary layer.

3.2.4. GSMC Controller

Finally, the GSMC with adaptive gain scheduling consisting of equivalent control and switching control can be given as follows:
u = C i n L p v γ V d c [ β e ˙ 1 ( t ) + γ V ¨ r e f ( t ) γ C i n ( x 1 L p v + V d c L p v + I ˙ p v ) ( t ) F ˙ ( 0 ) e x p ( η t ) + e r r ]   G   s a t   ( S )
Adaptive gain scheduling control adapts the parameters of switching control gain to achieve good performance across all operating regions by using information about process dynamics. The GSMC scheme as a second loop with adaptive gain scheduling is illustrated in Figure 5 in the switching control block, where the set point is V r e f obtained from Equation (21). Both equivalent control and switching control are always active and contribute to the drive of the PV system. Based on the magnitude of the error, the gain value of the switching control is automatically adjusted through IAE calculation using Equation (35), which guarantees good performance in all operating conditions. The gain is designed to increase with error to improve the robustness. In CSMC, the gain of the switching control is fixed, which is not generally suitable for all operating points.

3.3. Stability Analysis

The following Lyapunov function is chosen to demonstrate the stability of the proposed controller:
V = 1 2 S 2 > 0   ,
where S is the sliding surface. The system will be stable if the derivative of (39) is negative, which will ensure that the system states always remain on the sliding surface.
V ˙ = S S ˙   .
Substituting (30) into (40) yields the following:
V ˙ = S [ β e ˙ 1 ( t ) + γ V ¨ r e f ( t ) γ C i n ( x 1 L p v + V d c L p v V d c L p v u + I ˙ p v ) ( t ) F ˙ ( 0 ) e x p ( η t ) ] .  
or,
V ˙ = S [ G   s a t   ( S ) e r r ] .
where the gain G is positive, and the e r r is relatively small compared to G based on Equations (33) and (35); as a result, V ˙ is negative and meets the Lyapunov stability criteria. Furthermore, the value of G is influenced by the errors, disturbances, and uncertainties in the system. Disturbances and uncertainties can take the form of load variations and parametric uncertainties, such as variations in the inductor parameter of the converter.

4. Simulation Results

Extensive MATLAB™/Simulink™ simulations are conducted to evaluate the performance of the proposed GSMC-MPPT control system. A single Kyocera™ KC200GH-2P PV module panel rated for 200 W with the parameters given in Table 1 is considered. The boost converter and controller parameters are given in Table 2.
As the scalability of any such control scheme depends on the scalability of the front-end, i.e., the switching devices in the DC–DC converter, it is expected that the proposed control scheme should not have any problems with the scaling up or down. To verify this argument, a system will be developed as a future work and tested practically.
The proposed controller was simulated under climatic changes with parametric uncertainties and load variations on a computing machine with an Intel® CoreTM i7-1195G7 @ 2.90 GHz (8 CPUs), 2.9 GHz , 16 GB RAM, 11th generation. With this machine, a 0.9 s simulation took 1.28 s with a 4 × 10−5  s sampling time. This demonstrates that the proposed controller is not computationally expensive. In practical applications, high-end microcontrollers, FPGAs with a frequency of 250 MHz and the Raspberry™ Pi™ with a frequency of 1.5 GHz can be utilized.
The current study does not evaluate the effect of dust, sand, or moss covering the PV arrays; it also does not discuss partial shading on PV modules because this article focuses on improving the controller’s performance in extracting maximum power from a PV capacity. To evaluate the robustness of the proposed controller, this paper discusses the impact of parametric uncertainties and load variations under different temperatures and irradiances.

4.1. Response under Standard Operation Conditions

These simulations are conducted at 25 °C, the irradiation level of 1000   W / m 2 , and a load resistance of 40 Ω. Using Equation (21), the reference voltage V r e f is obtained as 26.3 V , which exactly corresponds to the rated voltage in the PV panel’s specifications. Figure 6 shows the V r e f tracking performance of the CSMC-, QSMC-, and GSMC-based MPPT controllers, and Table 3 gives the comparative performance parameters. It is evident that the proposed GSMC-based controller shows a superior performance by achieving the least rise time, settling time, and overshoot among all three controllers.
Figure 7 shows the error analyses of the three controllers under standard conditions. These errors include the integral square error (ISE), integral time square error (ITSE), integral time absolute error (ITAE), and the integral absolute (IAE). It is again evident that the GSMC-based controller’s performance is superior to the other controllers.

4.2. Response under Varying Temperature

This set of simulations is performed under varying temperature conditions, as shown in Figure 8; the irradiance and the load resistance are the same and constant as before.
With the temperature variations, the V r e f also varies. Figure 9 illustrates the comparison of V r e f tracking responses. While the CSMC-based MPPT controller can track the reference, it produces chattering, whereas the QSMC and GSMC-based MPPT controllers can achieve it without chattering. Furthermore, the proposed GSMC-based controller again has the most superior performance among the three controllers, as evident from Table 4. Figure 10 illustrates the controllers’ responsiveness to the extracted power; the figure depicts identical responses to those of Figure 9. Moreover, Figure 11 demonstrates the error responses.
These simulations indicate that the proposed controller with adaptive gain scheduling and a modified equivalent is not only faster in transient response but also consistent in performance despite the set point changes owing to varying temperatures. The proposed controller successfully follows the set point in minimum time because the reaching phase is eliminated, and the states are placed directly on the sliding surface. The error is reduced owing to adaptive gain scheduling, which reduces errors by automatically adjusting the switching control’s gain according to Equation (35). The response is expected to be even better for slowly varying parameters, as is the real scenario.

4.3. Response under Varying Temperature and Irradiance

The third set of simulations compares the response of the proposed controller with those of the QSMC- and CSMC-based controllers under varying temperature and irradiance conditions, shown in Figure 12. These scenarios are designed to have both in-phase and out-of-phase changes in temperature and irradiance. This test compares the controller performance in terms of the tracking performance (tracking error) and the stability (transient performance): rise time, settling time, and overshoot and undershoot. In the simulation, the load resistance is set to 40 Ω.
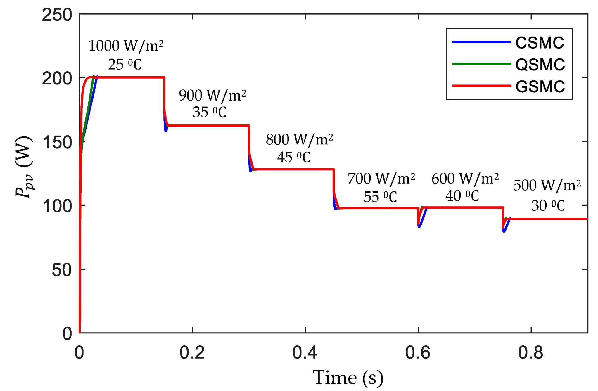
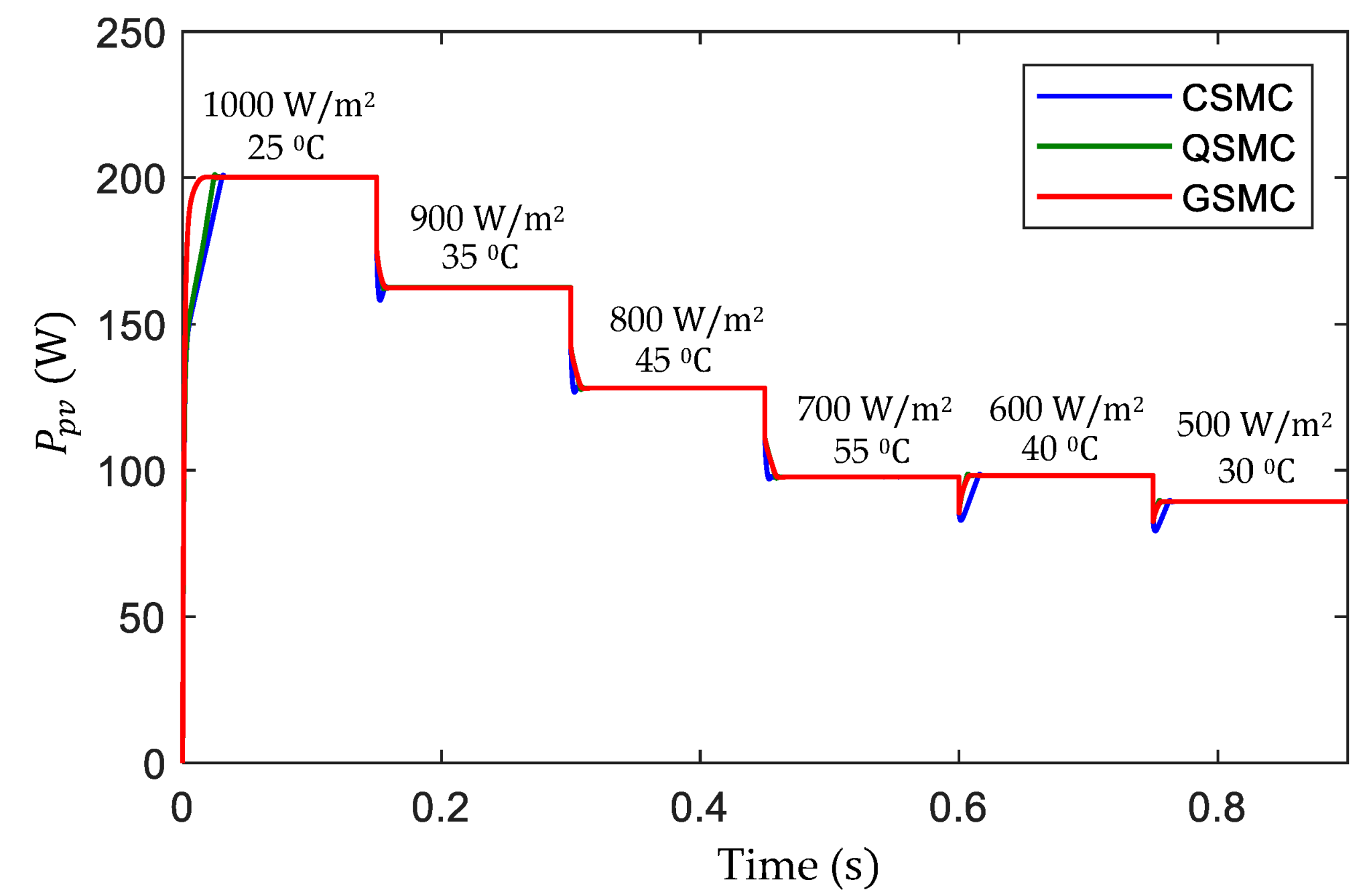
A comparison of the peak power under varying temperatures and irradiances is also shown in Figure 13. Furthermore, Figure 14 depicts the V r e f tracking response. The performance comparison of the three controllers is given in Table 5. Figure 15 shows the power response, which again shows the better performance of the proposed controller.
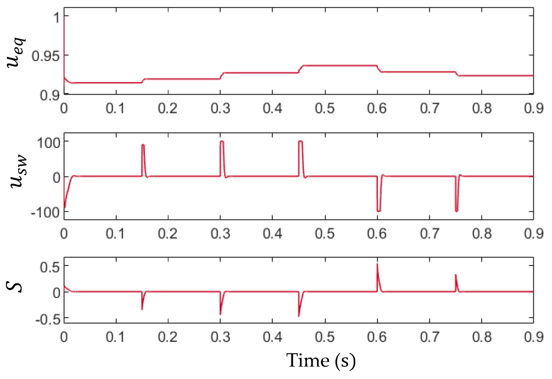
Responses of equivalent control, switching control and sliding surface under varying temperature and irradiance conditions are shown in Figure 16, Figure 17 and Figure 18, respectively, for the three controllers. Figure 16 depicts switching control with a chattering amplitude of around 180. To reduce chattering, as illustrated in Figure 17 and Figure 18, the switching control is constrained by a saturation function with a boundary layer of the sliding surface.
Figure 19 displays the error comparison between the three controllers at varying temperature and irradiance conditions. As seen from the figure, the CSMC controller has larger errors than QSMC and GSMC controllers in IAE, ISE, ITAE, and ITSE. The error is not optimally reduced in CSMC because the controller does not have enough robustness against these changes. By contrast, the proposed controller can reduce errors effectively by adjusting the robustness via gain scheduling.

4.4. Response to Parametric Uncertainties and Load Changes under Varying Temperature and Irradiance

The fourth set of simulations compares the performance of the three controllers under varying temperatures and irradiances with parametric uncertainties and load variations. Inductor uncertainty is introduced according to the following schedule (nominal 22 mH ):
  • Sub-interval 1 (0–0.3 s ): 15 mH .
  • Sub-interval 2 (0.3–0.45 s ): 55 mH .
  • Sub-interval 3 (0.45–0.9 s ): 15 mH .
Moreover, the load varies according to the following schedule:
  • Sub-interval 1 (0–0.65 s ): 40 Ω.
  • Sub-interval 2 (0.65–0.75): 50 Ω.
  • Sub-interval 3 (0.75–0.9 s ): 40 Ω.
The performance of three controllers for rise time, settling time, overshoot, and steady-state error is given in Table 6. It is evident that the proposed controller has outperformed the other two in all aspects. Figure 20 depicts the V r e f tracking response of the controllers, and Figure 21 shows the extracted power.
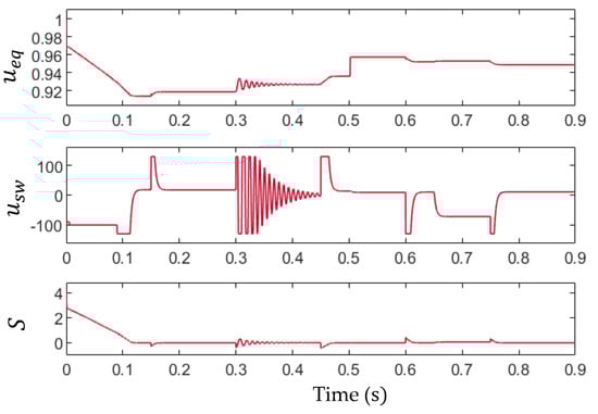
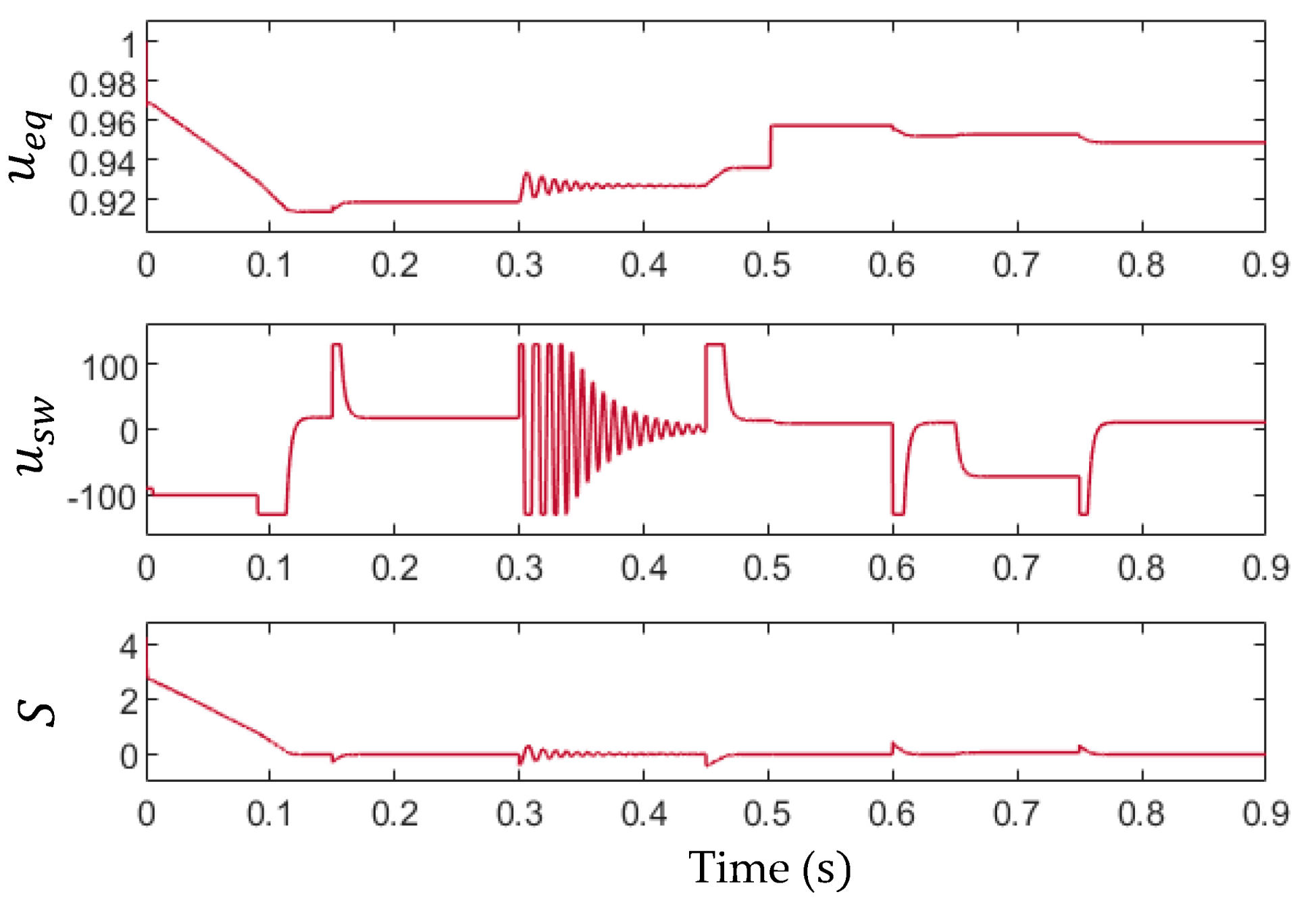
Figure 22, Figure 23 and Figure 24 depict the switching control, equivalent control, and sliding surfaces of the three controllers, respectively. In Figure 22, the switching control exhibits a high chattering characteristic with an amplitude of approximately 140. This chattering will deteriorate the system’s performance and reduce its life due to overheating. Switching control with a QSMC-based controller can reduce the chattering, although not as much as the proposed GSMC-based controller can do. As illustrated in Figure 24, the chattering phenomenon can be significantly decreased using the proposed controller, using Equations (36) and (37), which implement adaptive gain scheduling and the saturation function with a boundary layer. The adaptive gain scheduling scheme adjusts the gain on switching control based on the error between the output and reference. The gain increases as the error increases, and vice versa. This strategy aims to improve the robustness of the controller. Furthermore, the boundary layer can prevent chattering by using switching control outside the boundary layer and linear feedback control inside the boundary layer.
Figure 25 compares the proposed controller’s errors with those of the QSMC- and CSMC-based ones for extracting the maximum power from solar PV.

4.5. Extracted Power and Energy

Figure 26 shows the irradiance and temperature variations in Jeddah City on 6 July 2000 [47]. This particular scenario is selected as there are many sharp variations, especially in irradiance. On a clear, sunny day, these variations will be very smooth and will not evidently demonstrate the actions of the conversion system.
Figure 27 shows the power extracted on a single day (6 July 2000) in Jeddah City from a PV system with a single Kyocera™ KC200GH-2P module using the three controllers. Table 7 gives the comparison of average extracted power from the plots of Figure 27, daily energy output, and system’s conversion efficiency from the three controllers. It is evident that the proposed GSMC-based MPPT controller has the highest efficiency, followed by the QSMC-based and CSMC-based controllers. Although there seems to be just a slight gain of the proposed controller over the other two, this can translate to significant gains on a large scale.
Using data in Table 7 as an example, by implementing the proposed controller with uncertainties under climatic changes for a large-scale solar farm using 72,000 PV modules on the same day, it would have generated an output of around 82.45   MWh (PV output: 82.468 MWh ) with an efficiency of 99.98%. The two MPPT schemes using CSMC-based and QSMC-based controllers would have delivered 80.728 MWh and 81.766 MWh with an efficiency of 97.89% and 99.15%, respectively. On the same day, both P&O-based and IncCond-based MPPT schemes would have been able to deliver just 79.697 MWh and 79.714 MWh with an efficiency of 96.64% and 96.66%, respectively [48]. Nevertheless, the same facility without MPPT would only generate approximately 57.728 MWh with an efficiency of around 70%.

5. Conclusions

In this paper, a GSMC-MPPT controller with adaptive gain scheduling is proposed to track the MPP of a PV system. The proposed controller’s performance is compared with CSMC- and QSMC-based MPPT controllers under varying temperatures and irradiances and with load variations and parametric uncertainties. Without parametric uncertainties, the proposed MPPT control scheme outperformed other controllers in simulations, reaching the set point with a rise time of 0.03 s as opposed to 0.11 s and 0.22 s for QSMC and CSMC, respectively. With parametric changes, the proposed controller showed an overshoot of 1.2 V around a steady state value of 21.9 V , as compared to 1.51 V and 1.45 V for QSMC and CSMC, respectively. Furthermore, the proposed controller and the QSMC-based controller both have a steady-state error of 0.3 V , whereas the CSMC-based controller has a larger error.
The proposed MPPT controller performs much better than the other two controllers because the controller eliminates the reaching phase and places the system states directly onto the sliding surface; with adaptive gain scheduling, it can automatically adjust the gain of the switching control based on the IAE calculations to minimize errors and adjust the robustness. Based on the results and calculations of ISE, ITSE, ISE, and IAE, the proposed controller response exhibits a faster rise time, low tracking error, and no chattering due to the switching control. The energy calculations have further supported the conclusions as there will be significant gains with the proposed GSMC-based MPPT controller for large solar farms.
As is the case with any control scheme—especially linearized ones—when dealing with nonlinear systems, both the transient and steady-state performances are not global. Although the adaptive gain scheduling control will certainly expand the horizon, it can never encompass all possible scenarios. Moreover, selection of a proper sliding profile is critical as it will affect the controllable horizon. Nevertheless, the proposed scheme is expected to enjoy all the benefits of GSMC and be further enhanced due to the adaptive gain scheduling. On the other hand, this paper does not take into account the effects of dust, sand, moss covering, and partial shading, etc., as the focus is on improving the controller performance in extracting maximum power from a given PV capacity.
As a future work, the scheme will be implemented on an experimental setup. The system will involve extensive sensing of all the crucial parameters to obtain the real states of the system. Although the proposed scheme is not computationally expensive, it will be tested with different computational hardware, like microcontroller, DSP, FPGA, etc., to see the effects on the system performance.

Author Contributions

Conceptualization, R.U. and K.M.; methodology, M.A.M.R.; software, R.U.; validation, H.R.E.H.B. and M.A.H.; formal analysis, R.U.; investigation, K.M.; resources, M.A.M.R.; data curation, H.R.E.H.B. and M.A.H.; writing—original draft preparation, R.U.; writing—review and editing, K.M. and M.A.M.R.; visualization, H.R.E.H.B. and M.A.H.; supervision, K.M.; funding acquisition, M.A.M.R. All authors have read and agreed to the published version of the manuscript.

Funding

This research was funded by Deputyship for Research and Innovation, Ministry of Education in Saudi Arabia, grant number IFPRC-190-135-2020.

Institutional Review Board Statement

Not applicable.

Informed Consent Statement

Not applicable.

Data Availability Statement

Not applicable.

Acknowledgments

The authors extend their appreciation to the Deputyship for Research & Innovation, Ministry of Education in Saudi Arabia, for funding this research work through project number IFPRC-190-135-2020 and King Abdulaziz University, DSR, Jeddah, Saudi Arabia.

Conflicts of Interest

The authors declare no conflict of interest.

References

  1. REN21. Renewable 2021 Global Status Report; REN21: Paris, France, 2021. [Google Scholar]
  2. Alharbi, F.R.; Csala, D. GCC Countries Renewable Energy Penetration and the Progress of Their Energy Sector Projects. IEEE Access 2020, 8, 211986–212002. [Google Scholar] [CrossRef]
  3. Al-Ghussain, L.; Ahmad, A.D.; Abubaker, A.M.; Abujubbeh, M.; Almalaq, A.; Mohamed, M.A. A Demand-Supply Matching-Based Approach for Mapping Renewable Resources towards 100% Renewable Grids in 2050. IEEE Access 2021, 9, 58634–58651. [Google Scholar] [CrossRef]
  4. Li, Y.; Bu, F.; Gao, J.; Li, G. Optimal dispatch of low-carbon integrated energy system considering nuclear heating and carbon trading. J. Clean. Prod. 2022, 378, 134540. [Google Scholar] [CrossRef]
  5. Li, Y.; Wang, B.; Yang, Z.; Li, J.; Li, G. Optimal Scheduling of Integrated Demand Response-Enabled Community-Integrated Energy Systems in Uncertain Environments. IEEE Trans. Ind. Appl. 2022, 58, 2640–2651. [Google Scholar] [CrossRef]
  6. Zhou, P.; Lan, W.; Gu, j.; Zhao, M.; Wang, Z.; Liao, Y.; Liu, Y.; Pu, H.; Ding, J.; Wei, B. High-Efficiency Organic Photovoltaic Cells with an Antimony Quantum Sheet Modified Hole Extraction Layer. IEEE J. Photovolt. 2021, 11, 111–117. [Google Scholar] [CrossRef]
  7. Motahhir, S.; Chouder, A.; Hammoumi, A.E.; Benyoucef, A.S.; Ghzizal, A.E.; Kichou, S.; Kara, K.; Sanjeevikumar, P.; Silvestre, S. Optimal Energy Harvesting from a Multistrings PV Generator Based on Artificial Bee Colony Algorithm. IEEE Syst. J. 2020, 15, 4137–4144. [Google Scholar] [CrossRef]
  8. Barhoumi, E.M.; Fahrani, S.; Okonkwo, P.C. Economic Analysis and Comparison of Stand Alone and Grid Connected Roof Top Photovoltaic Systems. In Proceedings of the 2021 6th International Conference on Renewable Energy: Generation and Applications (ICREGA), Al Ain, United Arab Emirates, 2–4 February 2021; pp. 223–228. [Google Scholar]
  9. Kumar, N.; Saha, T.K.; Dey, J. Multilevel Inverter (MLI)-Based Stand-Alone Photovoltaic System: Modeling, Analysis, and Control. IEEE Syst. J. 2020, 14, 909–915. [Google Scholar] [CrossRef]
  10. Jain, S.; Dhara, S.; Agarwal, V. A Voltage-Zone Based Power Management Scheme with Seamless Power Transfer between PV-Battery for OFF-Grid Stand-Alone System. IEEE Trans. Ind. Appl. 2021, 57, 754–763. [Google Scholar] [CrossRef]
  11. Ahmad, A.; Yusuf Khan, J. Roof-Top Stand-Alone PV Micro-Grid: A Joint Real-Time BES Management, Load Scheduling and Energy Procurement from a Peaker Generator. IEEE Trans. Smart Grid. 2019, 10, 3895–3909. [Google Scholar] [CrossRef]
  12. Yao, Z.; Zhang, Y. A Doubly Grounded Transformerless PV Grid-Connected Inverter without Shoot-Through Problem. IEEE Trans. Ind. Electron. 2021, 68, 6905–6916. [Google Scholar] [CrossRef]
  13. Li, M.; Zhang, X.; Guo, Z.; Wang, J.; Li, F. The Dual-Mode Combined Control Strategy for Centralized Photovoltaic Grid-Connected Inverters Based on Double-Split Transformers. IEEE Trans. Ind. Electron. 2021, 68, 12322–12330. [Google Scholar] [CrossRef]
  14. Khezri, R.; Mahmoudi, A.; Haque, M.H. Optimal Capacity of Solar PV and Battery Storage for Australian Grid-Connected Households. IEEE Trans. Ind. Appl. 2020, 56, 5319–5329. [Google Scholar] [CrossRef]
  15. Hameed, W.I.; Saleh, A.L.; Sawadi, B.A.; Al-Yasir, Y.I.A.; Abd-Alhameed, R.A. Maximum Power Point Tracking for Photovoltaic System by Using Fuzzy Neural Network. Inventions 2019, 4, 33. [Google Scholar] [CrossRef]
  16. Swaminathan, N.; Lakshminarasamma, N.; Cao, Y. A Fixed Zone Perturb and Observe MPPT Technique for a Standalone Distributed PV System. IEEE J. Emerg. Sel. Top. Power Electron. 2022, 10, 361–374. [Google Scholar] [CrossRef]
  17. Salman, S.; Ai, X.; Wu, Z. Design of a P&O algorithm based MPPT charge controller for a stand-alone 200W PV system. Prot. Control Mod. Power Syst. 2018, 3, 25. [Google Scholar]
  18. Razmjooy, N.; Estrela, V.V.; Padilha, R.; Monteiro, A.C.B. World Cup Optimization Algorithm: Application for Optimal Control of Pitch Angle in Hybrid Renewable PV/Wind Energy System. Lect. Notes Electr. Eng. 2021, 696, 25–47. [Google Scholar]
  19. Kumar, N.; Hussain, I.; Singh, B.; Panigrahi, B.K. Self-Adaptive Incremental Conductance Algorithm for Swift and Ripple-Free Maximum Power Harvesting from PV Array. IEEE Trans. Ind. Inform. 2018, 14, 2031–2041. [Google Scholar] [CrossRef]
  20. Mei, Q.; Shan, M.; Liu, L.; Guerrero, J.M. A novel improved variable step-size incremental-resistance MPPT method for PV systems. IEEE Trans. Ind. Electron. 2011, 58, 2427–2434. [Google Scholar] [CrossRef]
  21. Bhattacharyya, S.; Kumar, P.D.S.; Samanta, S.; Mishra, S. Steady output and fast tracking MPPT (SOFT-MPPT) for P&O and InC algorithms. IEEE Trans. Sustain. Energy 2021, 12, 293–302. [Google Scholar]
  22. Dehghani, M.; Taghipour, M.; Gharehpetian, G.B.; Abedi, M. Optimized Fuzzy Controller for MPPT of Grid-connected PV Systems in Rapidly Changing Atmospheric Conditions. J. Mod. Power Syst. Clean Energy 2021, 9, 376–383. [Google Scholar] [CrossRef]
  23. Ibrahim, S.A.; Nasr, A.; Enany, M.A. Maximum Power Point Tracking Using ANFIS for a Reconfigurable PV-Based Battery Charger under Non-Uniform Operating Conditions. IEEE Access 2021, 9, 114457–114467. [Google Scholar] [CrossRef]
  24. Priyadarshi, N.; Padmanaban, S.; Holm-Nielsen, J.B.; Blaabjerg, F.; Bhaskar, M.S. An Experimental Estimation of Hybrid ANFIS-PSO-Based MPPT for PV Grid Integration under Fluctuating Sun Irradiance. IEEE Syst. J. 2020, 14, 1218–1229. [Google Scholar] [CrossRef]
  25. Villegas-Mier, C.G.; Rodriguez-Resendiz, J.; Alvarez-Alvarado, J.M.; Rodriguez-Resendiz, H.; Herrera-Navarro, A.M.; Rodriguez-Abreo, O. Artificial neural networks in mppt algorithms for optimization of photovoltaic power systems: A review. Micromachines 2021, 12, 1260. [Google Scholar] [CrossRef] [PubMed]
  26. Ali, K.; Khan, L.; Khan, Q.; Ullah, S.; Ahmad, S.; Mumtaz, S.; Karam, F.W.; Naghmash. Robust integral backstepping based nonlinear MPPT control for a PV system. Energies 2019, 12, 3180. [Google Scholar] [CrossRef]
  27. Ramos-Paja, C.A.; González-Motoya, D.; Villegas-Ceballos, J.P.; Serna-Garcés, S.I.; Giral, R. Sliding-mode controller for a photovoltaic system based on a Ćuk converter. Int. J. Electr. Comput. Eng. 2021, 11, 2027–2044. [Google Scholar] [CrossRef]
  28. Kanimozhi, K.; Raja Muhamed Rabi, B. Performance enhancement of photovoltaic systems with passive lossless cuk converter using non linear controller. J. Appl. Res. Technol. 2019, 17, 285–296. [Google Scholar] [CrossRef]
  29. Chiu, C.S.; Ouyang, Y.L.; Ku, C.Y. Terminal sliding mode control for maximum power point tracking of photovoltaic power generation systems. Sol. Energy 2012, 86, 2986–2995. [Google Scholar] [CrossRef]
  30. Khan, R.; Khan, L.; Ullah, S.; Sami, I.; Ro, J.S. Backstepping based super-twisting sliding mode mppt control with differential flatness oriented observer design for photovoltaic system. Electronics 2020, 9, 1543. [Google Scholar] [CrossRef]
  31. Edwards, C.; Spurgeon, S.K. Sliding Mode Control Theory and Applications; Taylor & Francis Group: New York, NY, USA; London, UK, 1998. [Google Scholar]
  32. Liu, J.; Wang, X. Advanced Sliding Mode Control for Mechanical Systems; Tsinghua University Press: Beijing, China, 2012. [Google Scholar]
  33. Ashok, K.A.; Savy, A.; Shijoh, V.; Shaw, R.N.; Ghosh, A. Hospital Assistance Robots Control Strategy and Machine Learning Technology. Stud. Comput. Intell. 2021, 960, 35–46. [Google Scholar]
  34. Pan, Y.; Yang, C.; Pan, L.; Yu, H. Integral Sliding Mode Control: Performance, Modification, and Improvement. IEEE Trans. Ind. Inform. 2018, 14, 3087–3096. [Google Scholar] [CrossRef]
  35. Mobayen, S.; Baleanu, D. Stability analysis and controller design for the performance improvement of disturbed nonlinear systems using adaptive global mode control approach. Nonlinear Dyn. 2016, 83, 1557–1565. [Google Scholar] [CrossRef]
  36. Errouissi, R.; Al-Durra, A. A Novel PI-Type Sliding Surface for PMSG-Based Wind Turbine with Improved Transient Performance. IEEE Trans. Energy Convers. 2018, 33, 834–844. [Google Scholar] [CrossRef]
  37. Thanh, H.L.N.; Hong, S.K. Quadcopter robust adaptive second order sliding mode control based on PID sliding surface. IEEE Access 2018, 6, 66850–66860. [Google Scholar] [CrossRef]
  38. Liang, Y.; Zhang, D.; Li, G.; Wu, T. Adaptive Chattering-Free PID Sliding Mode Control for Tracking Problem of Uncertain Dynamical Systems. Electronics 2022, 11, 3499. [Google Scholar] [CrossRef]
  39. Huang, C.F.; Liao, T.L.; Chen, C.Y.; Yan, J.J. The design of quasi-sliding mode control for a permanent magnet synchronous motor with unmatched uncertainties. Comput. Math. Appl. 2012, 64, 1036–1043. [Google Scholar] [CrossRef]
  40. Kim, I.S. Robust maximum power point tracker using sliding mode controller for the three-phase grid-connected photovoltaic system. Sol. Energy 2007, 81, 405–414. [Google Scholar] [CrossRef]
  41. Dahech, K.; Allouche, M.; Damak, T.; Tadeo, F. Backstepping sliding mode control for maximum power point tracking of a photovoltaic system. Electr. Power Syst. Res. 2017, 143, 182–188. [Google Scholar] [CrossRef]
  42. KYOCERA KC200GT PV Datasheet. Available online: https://www.energymatters.com.au/images/kyocera/KC200GT.pdf (accessed on 20 August 2022).
  43. Montoya, D.G.; Ramos-Paja, C.A.; Giral, R. Improved Design of Sliding-Mode Controllers Based on the Requirements of MPPT Techniques. IEEE Trans. Power Electron. 2016, 31, 235–247. [Google Scholar] [CrossRef]
  44. Chu, Y.; Fei, J.; Hou, S. Adaptive Global Sliding-Mode Control for Dynamic Systems Using Double Hidden Layer Recurrent Neural Network Structure. IEEE Trans. Neural Netw. Learn. Syst. 2020, 31, 1297–1309. [Google Scholar] [CrossRef]
  45. Choi, B.H.; Park, Y.; Cho, Y.; Lee, M. Improved Design for a Brushless DC Motor. IEEE Control Syst. Mag. 2001, 21, 27–35. [Google Scholar]
  46. Wang, H.; Wu, S.; Wang, Q. Global Sliding Mode Control for Nonlinear Vehicle Antilock Braking System. IEEE Access 2021, 9, 40349–40359. [Google Scholar] [CrossRef]
  47. The National Renewable Energy Laboratory NREL (USA). Available online: https://www.nrel.gov/grid/solar-resource/saudiarabia/ (accessed on 2 February 2023).
  48. Bendib, B.; Belmili, H.; Krim, F. A survey of the most used MPPT methods: Conventional and advanced algorithms applied for photovoltaic systems. Renew. Sustain. Energy Syst. 2015, 45, 637–648. [Google Scholar] [CrossRef]
Figure 1. I p v - V p v and P p v - V p v characteristics at 25 °C under various solar radiation conditions.
Figure 1. I p v - V p v and P p v - V p v characteristics at 25 °C under various solar radiation conditions.
Electronics 12 01128 g001
Figure 2. PV system configuration.
Figure 2. PV system configuration.
Electronics 12 01128 g002
Figure 3. Structure of GSMC MPPT controller.
Figure 3. Structure of GSMC MPPT controller.
Electronics 12 01128 g003
Figure 4. Saturation function.
Figure 4. Saturation function.
Electronics 12 01128 g004
Figure 5. GSMC with adaptive gain scheduling scheme.
Figure 5. GSMC with adaptive gain scheduling scheme.
Electronics 12 01128 g005
Figure 6. MPPT control of PV system under standard operating conditions (25 °C, 1000   W / m 2 ) and a load of 40 Ω.
Figure 6. MPPT control of PV system under standard operating conditions (25 °C, 1000   W / m 2 ) and a load of 40 Ω.
Electronics 12 01128 g006
Figure 7. Performance indicate (a) ISE, (b) ITSE, (c) ITAE, (d) IAE graph of controllers under standard operating conditions (25 °C, 1000   W / m 2 ) and a load of 40 Ω.
Figure 7. Performance indicate (a) ISE, (b) ITSE, (c) ITAE, (d) IAE graph of controllers under standard operating conditions (25 °C, 1000   W / m 2 ) and a load of 40 Ω.
Electronics 12 01128 g007
Figure 8. Temperature variation profile.
Figure 8. Temperature variation profile.
Electronics 12 01128 g008
Figure 9. PV voltage under varying temperature with irradiance of 1000   W / m 2 and a load of 40 Ω.
Figure 9. PV voltage under varying temperature with irradiance of 1000   W / m 2 and a load of 40 Ω.
Electronics 12 01128 g009
Figure 10. Extracted power under varying temperature with irradiance of 1000   W / m 2 and a load of 40 Ω.
Figure 10. Extracted power under varying temperature with irradiance of 1000   W / m 2 and a load of 40 Ω.
Electronics 12 01128 g010
Figure 11. Performance indicate (a) ISE, (b) ITSE, (c) ITAE, (d) IAE graph of controllers under varying temperature with irradiance of 1000   W / m 2 and a load of 40 Ω.
Figure 11. Performance indicate (a) ISE, (b) ITSE, (c) ITAE, (d) IAE graph of controllers under varying temperature with irradiance of 1000   W / m 2 and a load of 40 Ω.
Electronics 12 01128 g011
Figure 12. Temperature and irradiance profiles for MPPT controller.
Figure 12. Temperature and irradiance profiles for MPPT controller.
Electronics 12 01128 g012
Figure 13. PV peak power under varying temperatures and irradiances with a load of 40 Ω.
Figure 13. PV peak power under varying temperatures and irradiances with a load of 40 Ω.
Electronics 12 01128 g013
Figure 14. PV voltage under varying temperature and irradiance with a load of 40 Ω.
Figure 14. PV voltage under varying temperature and irradiance with a load of 40 Ω.
Electronics 12 01128 g014
Figure 15. Extracted power under varying temperature and irradiance with a load of 40 Ω.
Figure 15. Extracted power under varying temperature and irradiance with a load of 40 Ω.
Electronics 12 01128 g015
Figure 16. Equivalent control ( u e q ), switching control ( u s w ), sliding surface ( S ) of CSMC-based MPPT controller under varying temperature and irradiance with a load of 40 Ω.
Figure 16. Equivalent control ( u e q ), switching control ( u s w ), sliding surface ( S ) of CSMC-based MPPT controller under varying temperature and irradiance with a load of 40 Ω.
Electronics 12 01128 g016
Figure 17. Equivalent control ( u e q ), switching control ( u s w ), sliding surface ( S ) of QSMC-based MPPT controller under varying temperature and irradiance with a load of 40 Ω.
Figure 17. Equivalent control ( u e q ), switching control ( u s w ), sliding surface ( S ) of QSMC-based MPPT controller under varying temperature and irradiance with a load of 40 Ω.
Electronics 12 01128 g017
Figure 18. Equivalent control ( u e q ), switching control ( u s w ), sliding surface ( S ) of GSMC-based MPPT controller under varying temperature and irradiance with a load of 40 Ω.
Figure 18. Equivalent control ( u e q ), switching control ( u s w ), sliding surface ( S ) of GSMC-based MPPT controller under varying temperature and irradiance with a load of 40 Ω.
Electronics 12 01128 g018
Figure 19. Performance indicate (a) ISE, (b) ITSE, (c) ITAE, (d) IAE graph of controllers under varying temperature and irradiance with a load of 40 Ω.
Figure 19. Performance indicate (a) ISE, (b) ITSE, (c) ITAE, (d) IAE graph of controllers under varying temperature and irradiance with a load of 40 Ω.
Electronics 12 01128 g019
Figure 20. PV voltage under varying temperature and irradiance with parametric uncertainties and load variations.
Figure 20. PV voltage under varying temperature and irradiance with parametric uncertainties and load variations.
Electronics 12 01128 g020
Figure 21. Extracted power under varying temperature and irradiance with parametric uncertainties and load variations.
Figure 21. Extracted power under varying temperature and irradiance with parametric uncertainties and load variations.
Electronics 12 01128 g021
Figure 22. Equivalent control ( u e q ), switching control ( u s w ), sliding surface ( S ) of CSMC-based controller under varying temperature and irradiance with parametric uncertainties and load variations.
Figure 22. Equivalent control ( u e q ), switching control ( u s w ), sliding surface ( S ) of CSMC-based controller under varying temperature and irradiance with parametric uncertainties and load variations.
Electronics 12 01128 g022
Figure 23. Equivalent control ( u e q ), switching control ( u s w ), sliding surface ( S ) of QSMC-based controller under varying temperature and irradiance with parametric uncertainties and load variations.
Figure 23. Equivalent control ( u e q ), switching control ( u s w ), sliding surface ( S ) of QSMC-based controller under varying temperature and irradiance with parametric uncertainties and load variations.
Electronics 12 01128 g023
Figure 24. Equivalent control ( u e q ), switching control ( u s w ), sliding surface ( S ) of GSMC-based controller under varying temperature and irradiance with parametric uncertainties and load variations.
Figure 24. Equivalent control ( u e q ), switching control ( u s w ), sliding surface ( S ) of GSMC-based controller under varying temperature and irradiance with parametric uncertainties and load variations.
Electronics 12 01128 g024
Figure 25. Performance indicate (a) ISE, (b) ITSE, (c) ITAE, (d) IAE graph of controllers under varying temperature and irradiance with parametric uncertainties and load variations.
Figure 25. Performance indicate (a) ISE, (b) ITSE, (c) ITAE, (d) IAE graph of controllers under varying temperature and irradiance with parametric uncertainties and load variations.
Electronics 12 01128 g025
Figure 26. Trend of irradiation and temperature (6 July 2000, Jeddah, Saudi Arabia).
Figure 26. Trend of irradiation and temperature (6 July 2000, Jeddah, Saudi Arabia).
Electronics 12 01128 g026
Figure 27. Extracted power in Jeddah, KSA on 6 July 2000.
Figure 27. Extracted power in Jeddah, KSA on 6 July 2000.
Electronics 12 01128 g027
Table 1. Electrical specifications of Kyocera™ KC200GT PV module.
Table 1. Electrical specifications of Kyocera™ KC200GT PV module.
Name of the ParametersValue
Maximum power ( P m p p )200 W
Maximum power tolerance+10%/−5%
Maximum output voltage ( V m p p )26.3 V
Maximum output current ( I m p p )7.61 A
Open circuit voltage ( V o c )32.9 V
Short circuit current ( I s c )8.21 A
P–N junction characteristic factor ( A ) 1.8
Short circuit current temperature coefficient ( K i )0.00479 A / ° C
Series cells ( N s )54
Parallel cells ( N p )1
Table 2. The boost converter and the controller parameters.
Table 2. The boost converter and the controller parameters.
NameParameterValue
ConverterInductor, L p v 22 μ F
Capacitor, C 1 and C 2 380 μ F
Load resistance, R 40, 50 Ω
Switching frequency25 kHz
Controller (GSMC)Constant, β 0.183
Constant, γ 0.38 × 10−3
Constant, η 0.09
Table 3. Performance comparison under standard operating conditions (25 °C, 1000   W / m 2 ) and a load of 40 Ω.
Table 3. Performance comparison under standard operating conditions (25 °C, 1000   W / m 2 ) and a load of 40 Ω.
ControllerRise TimeSettling TimeOvershoot
CSMC0.033 s 0.037 s 0.06 V
QSMC0.026 s 0.029 s 0.03 V
GSMC0.012 s 0.016 s 0.02 V
Table 4. Performance comparison of controllers under varying temperature with irradiance of 1000   W / m 2 and a load of 40 Ω.
Table 4. Performance comparison of controllers under varying temperature with irradiance of 1000   W / m 2 and a load of 40 Ω.
ControllerRise TimeSettling TimeOvershoot
CSMC0.033 s 0.037 s 0.06 V
QSMC0.026 s 0.029 s 0.03 V
GSMC0.012 s 0.016 s 0.02 V
Table 5. Performance comparison of controllers under varying temperature and irradiance with a load of 40 Ω.
Table 5. Performance comparison of controllers under varying temperature and irradiance with a load of 40 Ω.
ControllerRise TimeSettling TimeOvershoot
CSMC0.028 s 0.035 s 0.09 V
QSMC0.022 s 0.027 s 0.11 V
GSMC0.010 s 0.016 s 0.01 V
Table 6. Performance comparison of the controllers under varying temperature and irradiance with parametric uncertainties and load variations.
Table 6. Performance comparison of the controllers under varying temperature and irradiance with parametric uncertainties and load variations.
ControllerRise TimeSettling TimeOvershoot
( 0.3 0.35   s )
Steady-State
Error   ( 0.65 0.75   s )
Undershoot
( 0.65 0.75   s )
CSMC0.13 s 0.14 s 1.45 V 0 V 1.1 V
QSMC0.07 s 0.08 s 1.51 V 0.3 V 0 V
GSMC0.03 s 0.04 s 1.20 V 0.3 V 0 V
Table 7. Average extracted power, daily energy output, and conversion efficiency.
Table 7. Average extracted power, daily energy output, and conversion efficiency.
Time Average   Power   Output   ( W )
PVCSMCQSMCGSMC
07:00–08:0022.7420.9322.2322.66
08:00–09:0066.6365.5966.6366.63
09.00–10:00103.4102103103.3
10.00–11:00127.4125.4127.1127.4
11.00–12:00156.1154.7156.1156.1
12.00–13:00168.3165.5163.3168.3
13.00–14:00159.1150.6159159.1
14.00–15:00146.2143.1146.2146.2
15.00–16:0095.3994.6292.2695.37
16.00–17:0067.4266.2267.2967.4
17:00–18:0032.7132.5732.5332.64
Daily Energy Output ( kWh )1.145391.121231.135641.14514
Conversion Efficiency (%) 97.8999.1599.98
Disclaimer/Publisher’s Note: The statements, opinions and data contained in all publications are solely those of the individual author(s) and contributor(s) and not of MDPI and/or the editor(s). MDPI and/or the editor(s) disclaim responsibility for any injury to people or property resulting from any ideas, methods, instructions or products referred to in the content.

Share and Cite

MDPI and ACS Style

Uswarman, R.; Munawar, K.; Ramli, M.A.M.; Bouchekara, H.R.E.H.; Hossain, M.A. Maximum Power Point Tracking in Photovoltaic Systems Based on Global Sliding Mode Control with Adaptive Gain Scheduling. Electronics 2023, 12, 1128. https://doi.org/10.3390/electronics12051128

AMA Style

Uswarman R, Munawar K, Ramli MAM, Bouchekara HREH, Hossain MA. Maximum Power Point Tracking in Photovoltaic Systems Based on Global Sliding Mode Control with Adaptive Gain Scheduling. Electronics. 2023; 12(5):1128. https://doi.org/10.3390/electronics12051128

Chicago/Turabian Style

Uswarman, Rudi, Khalid Munawar, Makbul A. M. Ramli, Houssem R. E. H. Bouchekara, and Md Alamgir Hossain. 2023. "Maximum Power Point Tracking in Photovoltaic Systems Based on Global Sliding Mode Control with Adaptive Gain Scheduling" Electronics 12, no. 5: 1128. https://doi.org/10.3390/electronics12051128

APA Style

Uswarman, R., Munawar, K., Ramli, M. A. M., Bouchekara, H. R. E. H., & Hossain, M. A. (2023). Maximum Power Point Tracking in Photovoltaic Systems Based on Global Sliding Mode Control with Adaptive Gain Scheduling. Electronics, 12(5), 1128. https://doi.org/10.3390/electronics12051128

Note that from the first issue of 2016, this journal uses article numbers instead of page numbers. See further details here.

Article Metrics

Back to TopTop