Next Article in Journal
Modeling and Simulation of Si Grating Photodetector Fabricated Using MACE Method for NIR Spectrum
Next Article in Special Issue
Comparison of Deep Learning Models for Automatic Detection of Sarcasm Context on the MUStARD Dataset
Previous Article in Journal
Lightweight Video Super-Resolution for Compressed Video
Previous Article in Special Issue
Dual-Channel Edge-Featured Graph Attention Networks for Aspect-Based Sentiment Analysis
 
 
Font Type:
Arial Georgia Verdana
Font Size:
Aa Aa Aa
Line Spacing:
Column Width:
Background:
Article

Digital Service Platform and Innovation in Healthcare: Measuring Users’ Satisfaction and Implications

by
Fotis Kitsios
1,*,
Stavros Stefanakakis
1,
Maria Kamariotou
1 and
Lambros Dermentzoglou
2
1
Department of Applied Informatics, University of Macedonia, 156 Egnatia Str., GR54636 Thessaloniki, Greece
2
Papageorgiou General Hospital, Municipality Pavlou Mela, GR56403 Thessaloniki, Greece
*
Author to whom correspondence should be addressed.
Electronics 2023, 12(3), 662; https://doi.org/10.3390/electronics12030662
Submission received: 31 December 2022 / Revised: 26 January 2023 / Accepted: 27 January 2023 / Published: 28 January 2023
(This article belongs to the Special Issue Feature Papers in Computer Science & Engineering)

Abstract

When it comes to scheduling health consultations, e-appointment systems are helpful for patients. Non-attendance is a common obstacle that many medical practitioners must endure when it comes to the management of appointments in healthcare facilities and outpatient health settings. Prior surveys have found that many users are open to use such mechanisms and that patients would be likely to schedule an online appointment with their doctor if such a system was made accessible. Few studies have sought to determine how well e-appointment systems work, how well they are received by their users, and whether or not they increase the number of appointments booked. The purpose of this research was to collect information that would help executives of a state hospital in Thessaloniki, Greece, to improve their electronic appointment system by measuring the level of satisfaction their patients have with it. The results show that the level of service provided by the electronic appointment system is not satisfactory. The quality of the website is another significant factor that does not contribute to the level of satisfaction experienced by patients.

1. Introduction

Information and communication technology (ICT) is widely used in the healthcare industry, aiding medical professionals in enhancing the quality and effectiveness of their services. Health information systems are widely used in hospitals today because of their ability to efficiently record and retrieve crucial data. In an effort to improve healthcare delivery, researchers have recently examined emerging issues and complexities associated with ICT. Managers in the healthcare industry can benefit from ICT by gaining a deeper comprehension of the factors and services that contribute to the overall quality of care. E-health, an umbrella term for hospital-based ICT initiatives, has many positive effects, including cost savings and increased patient autonomy [1,2,3,4,5,6,7].
Web-based systems and the internet’s widespread adoption have benefited businesses and consumers alike by strengthening service and product providers’ links to their respective audiences. Managers in the healthcare industry are well-versed in the intricacies of web-based information system planning and implementation, as ICT use becomes a new challenge for many sectors. Utilizing ICT and the internet can greatly assist in reducing the volume of work for personnel, increasing efficiency, and improving the quality of services provided by any healthcare institution. To achieve their strategic aims and objectives and to obtain a competitive advantage, hospitals have been designing and deploying web-based e-hospital systems that will lower operational costs, improve clinical service quality, boost hospital operational effectiveness, and encourage patient loyalty. Clinical data collection and processing, patient surveillance systems, and online appointment scheduling are just some of the e-services that make up an e-hospital system [4,5,6,8].
As a service, a hospital’s appointment booking system improves its organization’s performance and productivity, as well as its efficiency. Non-attendance is a common obstacle that many healthcare professionals must overcome when it comes to the management of appointments in healthcare organizations and ambulatory care settings. Based on previous surveys, we know that about 10% of all medical appointments are canceled. Therefore, the providers, staff, and patients themselves all face problems as a result of appointment no-shows [9].
It has been demonstrated that online appointment scheduling systems are helpful to patients in the process of arranging and managing their doctor’s appointments once they have been established. In such a way, they are able to achieve the highest feasible level of productivity in the management of scheduling appointments in outpatient clinics and other healthcare environments. Evidence from earlier surveys has revealed that a significant number of physicians in Canada, the United States, and Europe are eager to utilize these platforms, and that patients would most likely schedule an online appointment with their health care provider if an e-appointment system was made accessible to them. Participants evaluated the e-booking system as one of the most helpful online consumer health services [9], as indicated by the findings of earlier surveys.
As a result, investigators in contemporary healthcare institutions have placed an increasing level of importance on patients’ viewpoints on the quality of service as well as on the level of satisfaction they derive from it from it. The evaluation of levels of contentment with regard to the healthcare that is provided is an important tool for evaluating these particular services, as is the effectiveness of the treatment that is provided. Patients, who constitute the eligible participants of healthcare services, offer reliable data when they take part in surveys regarding the enhancement of these services. This is in spite of the fact that doctors and specialists are the providers of these services. In particular, the combination of patients’ perspectives on healthcare services with the results of earlier surveys can yield concrete conclusions that can be implemented in the functioning of various hospitals and levels of healthcare [10]. Patients are not only aware of the options that are available to them but also of the quality of the service that they receive; this is because patients’ expectations regarding service quality have increased as it has become more prominent. Service quality is utilized by managers as a strategic differentiation technique in order to establish such an advantage that it would be impossible for their competitors to imitate it [1,11]. These views are significant, and the focus of this study will be on those that are particularly significant with regard to private healthcare, where the influence of competition is itself significant.
Few surveys have provided conclusions about the application of ICT and data management, which have been shown to improve participation in primary care and outpatient facilities and make the management of appointment processes more productive [8,9]. Several empirical studies have been conducted that investigate the deployment, user acceptance, and efficacy of electronic appointment platforms in private care services. Prior to this, the majority of studies on this subject were oriented toward examining the adoption of e-health systems rather than evaluating the apparent level of patient satisfaction. As a consequence, these studies are unable to provide a genuine consumer benchmarking framework.
As a result, the purpose of this paper is to attempt to fill in this gap. Investigating the degree to which patients are willing to utilize an electronic appointment system presents a significant and crucial challenge for medical professionals. Therefore, the aim of this article was to determine the level of satisfaction that users have with an electronic appointment service provided by a Greek state hospital in Thessaloniki in order to offer valuable information to the supervisors of the service so that they can make better decisions and determine which aspects of the service need to be improved.
The remaining sections of the paper are structured as follows: in the following section, “Section 2,” we propose a theoretical framework for the satisfaction of e-health services. The methodology employed for the paper is discussed in Section 3. The findings of the data analysis are presented in Section 4. The final section of the paper consists of a conclusion as well as some proposals for additional study that could be undertaken in the future.

2. Theoretical Framework

2.1. Digital Service Quality in the Healthcare Sector

The SERVQUAL model was established by Parasuraman et al. (1988) [12] by incorporating the findings of empirical investigations conducted in a wide variety of industrial sectors, one of which was the healthcare industry. This model is a well-known multiple-item tool that assists professionals in measuring customers’ global (as opposed to transaction-specific) evaluation of an organization’s service quality. It was developed by the Service Quality Institute. The reliability of a service, its responsiveness, its assurance, its empathy, and its tangibility are the five aspects that are used to measure the quality of the service [12,13].
Previous research in the field of measuring service quality in the healthcare industry has found that there are seven primary factors that define service quality. The first of these is about security, which refers to the amount of trust that a consumer has in a particular service system. The second consideration is related to uniformity. According to this facet, the quality of service should not change depending on the different people providing the service, the time of day, or the location. The next thing to consider is the ambiance, which reflects the level of warmth and friendliness extended by the service staff. This brings us to the third aspect. Another factor to consider is the fullness of the facilities that are utilized to provide the services, in addition to the conditions that may be used to characterize the environment and the general vibe of the place where the services are provided. The accessibility of various modes of transportation and the degree to which the whole trading environment is utilized make up the sixth factor to consider. The final component discusses the contrast that exists between the amount of time necessary to finish the service and the amount of time that the client anticipates it will take [8].
Additionally, there are ten different indications that may be utilized in order to measure the efficiency of performance in the healthcare industry. The reliability of the first indicator is the primary focus. The goal of professionals who give services to consumers is to provide a service that is dependable and consistent with the guarantees they have made to the customer. The second consideration is responsiveness, which is a term that refers to the promptness with which the personnel respond to the needs of the consumer. Competencies are an indicator that is used to indicate all of the skills and knowledge that the service employee is supposed to have and is also used to measure performance. The magnitude to which particular services can be accessed by consumers is yet another indicator that is used to measure the quality of services. This indicator is just as important as the others and reflects a reduction in the amount of time spent waiting, the presence of multiple service locations, and the active participation of the consumer. Communication is yet another component that implies the effectiveness of the services being provided. This factor measures the functionality of the staff to provide services that are in compliance with the specific cultural traits of the customers as well as the language that they speak. This competence pertains to the capacity to listen to the consumers and, as a result, provide service to clients that lives up to the standards they have set. In addition, credibility is a measurement of the trust that customers have in the company. The capacity to lessen the risk, danger, and uncertainty faced by clients is what is meant by the term “security.” One more thing to look for is an awareness of the requirements of the clientele and the capacity to cater to their specific requirements through the provision of individualized services. The last criterion alludes to uniqueness, which is a feature of amenities that defines the functionality of the institution, and which offers facilities to establish the attire of the service personnel, a physical service environment, techniques, and amenities [8]. Tangibility is a distinctive feature of infrastructure that identifies the abilities of an institution and that offers assistance to develop these aspects of its service.
The various aspects of the quality of the digital service that have been considered by earlier investigations are outlined in Table 1. The quality of digital services provided in healthcare has been evaluated by a number of researchers using criteria such as a site’s quality, the user-friendliness of its components, and the website’s design itself. This finding lends credence to the notion that the quality of e-health services can be evaluated with reference to the aforementioned dimensions. Both perceived utility and simplicity of use are prominent dimensions utilized in the evaluation of the quality of digital services provided within the healthcare industry [14,15,16]. The quality of the website, which includes aspects such as its layout, load time, and level of safety [16,17,18,19], is yet another factor that has been extensively discussed in the research that has been undertaken regarding health systems. Privacy and security of information are crucial components in the evaluation of the quality of e-health services, and this does not just refer to the information about patients that is transmitted over the internet [15,20]. Recent research has placed a primary emphasis on aspects such as managing the capability of online registration problems and handling information, with the goal of increasing users’ intentions to use e-health systems as well as their level of satisfaction with those systems [8,9,21].
It should come as no surprise that e-health has the potential to improve the overall standard of medical treatment provided in a variety of settings. For instance, it makes it possible to compare the services of various suppliers, and it gives customers an additional voice in the decision-making process about quality control. In addition to this, it offers recommendations that direct patients to the doctors who offer the highest quality [23]. A great number of the criteria that were utilized in order to evaluate the quality of service in the medical industry are dissimilar to those that are utilized in digital service industries. The latter indicators focus on the completeness of the infrastructure that provides the services, expertise and experience of the staff members who offer the services, as well as the amount of time spent awaiting the service, and the location at which the service is provided. Since digital services are delivered via the internet, the quality indicators used to evaluate them are not the same as those used for traditional services.

2.2. Patient Satisfaction in Healthcare Sector

In order to effectively manage clients, executives working for healthcare firms need to have an understanding of the expectations held by patients. Therefore, it is necessary for managers to identify their expectations and investigate the factors that contribute to their dissatisfaction. The level of satisfaction experienced by customers is an essential component of any service review. In other words, the goal of management should be to increase the level of satisfaction experienced by customers, which should be drawn from business strategy. In addition, the ability of healthcare organizations to provide services of superior quality has evolved into a substantial competitive advantage for these businesses. Therefore, businesses have already begun including customers in the process of providing medical care in order to improve the impact of the results. A healthcare company is considered to be a commercial entity, and, as such, is required to apply the same methods and standards of customer service as other industries or business organizations [1].
Patients these days are actively gathering and sharing information about their health, and are using this knowledge to inform the decisions they make about their own healthcare. The requirements placed on healthcare providers by their clients have become more stringent, and these organizations must not only meet these requirements but also leave a remarkable impression on each patient. This presents a significant challenge for the healthcare industry. If a consumer is not satisfied with the service they receive, they may decide to switch healthcare providers for a variety of reasons [1], including a decline in the overall quality of care, inefficiency, or an increase in the cost of treatment.
As a consequence of this, the realization of a mutually beneficial connection between patients and healthcare providers is predicated on an awareness of the factors that contribute to the formation of expectations. When an organization manages patients’ expectations, the goal is to bring the gap between those expectations and the patients’ actual experiences down to a more manageable level. Patients have access to the service provider during this process, giving them the opportunity to express their opinion regarding the level of care they have received [24].
There are a few different functions that are included in the evaluation of patient satisfaction. Prior studies have evaluated positive patient outcomes by analyzing the assessment of provider care quality, the efficiency of academic achievement of both nurses and patients, the effectiveness of managerial involvement, and the appraisal of the performance of a particular type of nurse practitioner [25].
Customers judge the quality of healthcare services based on how well those services measure up to their expectations, and they are satisfied with those services if their expectations and the execution of those services are consistent with one another. The amount of contentment experienced by a patient is directly correlated to the degree to which their attending physician engages in conversation with them and promotes the notion that the doctor–patient connection is on par with that of a business arrangement. A multidimensional analysis has revealed that spending additional time with patients was the most important factor and is a crucial component in forming a notable improvement in the level of patient satisfaction. Asking the patient immediately following a visit to the doctor about the manner in which that doctor spoke with them has been shown to be a factor that promotes patient satisfaction. Patient satisfaction and the likelihood of switching providers are significantly impacted when the type of treatment provider is considered. Therefore, in the event that the patient’s expectations have not been met, he or she may choose to seek treatment from a different healthcare practitioner [24]. This finding has been supported by earlier research in the healthcare industry and is due to the fact that many surveys include factors such as the friendliness and helpfulness of nursing personnel [25].
Customer service is necessary in the healthcare industry in order to improve the overall quality of services provided, and it also provides an opportunity for commercial organizations to gain a competitive advantage. As a result of the fact that patients have the ability to select the facility at which they will receive medical care based on the quality of the service they have received there, medical professionals have the opportunity to gain knowledge that will allow them to establish a facility that is not only able to comprehend but also to respond compassionately to the needs of their clients. Patients who contact doctors and other healthcare providers in today’s world have a greater variety of options at their disposal. It is possible that improvements will be made to the healthcare system if patients receive helpful customer service. In addition, information about the development and management of healthcare systems, as well as the elements that determine the quality of healthcare services, the outcomes of those treatments, and the level of patient satisfaction, are quite helpful. In order to accomplish this goal, it is necessary to conduct research into the aspects of service quality that clients in the healthcare industry consider to be particularly important [1].

2.3. E-Appointment Systems for Hospitals

Consumers of all ages, including youngsters and elderly individuals, will constantly look for data on the internet in today’s world. However, its application has not yet satisfied either the staff or the patients, which means that advancements need to be made. It is crucial for companies to use new technologies to endorse efficacious self-services, as successfully handling customers’ transactions can minimize expenses and make the most of staff’s time. Proficiently managing consumers’ transactions can reduce costs and make the most of staff’s time. In order for a healthcare business to properly communicate with their consumers, one of the most critical challenges that they must overcome is meeting the expectations of their customers. In addition, customers’ expectations have shifted as a result of their increased propensity to look for information, amass a significant amount of knowledge, and then share this knowledge [1,21,26,27].
Although usability testing profiles and targets are what determine which groups of users a product is designed for, it has been observed that the challenges faced by the health industry in terms of ICT are a result of the larger number of possible users and classes of users operating in this sector, including nurses, pharmacists, and physicians. It is crucial to divide each class into subdomains of users, such as emergency medical technicians, participating physicians, citizens, and surgeons. In addition, despite the fact that standard socioeconomic disparities exist, such as age, gender, and ICT literacy, the specialized essence of diagnosis, such as comorbidities, transitory conditions, and acute conditions, diverge not only in healthcare but also in clinical practice at the municipal, provincial, and national levels. It is abundantly clear that the various contexts of systems that are used during the design and development phases should be taken into consideration, in particular when various types of users analyze complex tasks that are carried out in the field of healthcare. This is because there has been an increase in the number of failed systems in the healthcare industry as a result of their distribution in complex environments. Integration of users, tasks, and contexts is necessary in order to do this [28].
The current literature provides a multitude of methods that can be implemented in order to cut down on missed appointments. The practice makes use of overbooking, which is a popular kind of business strategy, in order to schedule more appointments than the facility is actually able to accommodate. Despite the fact that this tactic may be effective from the point of view of the utilization of staff time, neither patients nor the staff are satisfied with how it has been implemented. One more tactic is to send out reminders, which may be accomplished through the use of e-mails, text messages, or even phone calls, whether or not they are automated. The goal of these procedures is to reduce the number of patients who fail to show up for their scheduled visits. A great number of surveys have compared the effectiveness of these reminders. When patients were emailed appointment reminders a few days before their scheduled appointments, it was found that there was a significant reduction in the likelihood that patients would forget about their scheduled appointments. Furthermore, it has been determined that the effectiveness of text reminders is comparable to that of any other sort of reminder [9].
One further tactic is called “advanced access scheduling”. Using this strategy will result in the receipt of appointment slots for same day appointments as opposed to booking appointment slots several months in advance. In general, the number of prescheduled appointments has decreased for physicians who implement this method. In many cases, the mix of prescheduled and open appointments is recognized by a one-of-a-kind equilibrium that exists between the demand for, and the availability of, appointment times at the medical practice. Previous research has demonstrated that using an advanced access system can result in a multitude of positive outcomes that include a reduction in the number of missed appointments; increased levels of contentment among patients, providers, and staff; and enhanced levels of productivity among medical professionals [9].
Customers who do not wish to physically visit a hospital or medical facility can nevertheless make use of online registration services in order to acquire a significant amount of information on a wide range of topics. They can access personal information as well as clinical records by connecting to a hospital database with an account number and a password. They are even able to make reservations for appointments while taking into consideration the doctors’ available time, which is displayed on a web-based appointment system. The web-based appointment system offers a variety of advantages to patients, in addition to those offered to physicians and other healthcare professionals. Patients are able to obtain information about the physicians who are currently on duty in this manner. As a result, patients only go to the hospital for their first appointment when they are receiving clinical treatment, resulting in a reduction in the clinical costs incurred. However, the cost of medical management can be brought down, and medical personnel can get a patient’s personal clinical information records automatically, by using a registration system that is connected to a medical database [8].
In spite of the advantages that registration systems give, there are a few obstacles that a large number of patients must overcome. Though patients can profit from online booking services, elderly patients have a minimal understanding of technological advances, and are not knowledgeable about using them nor of utilizing the latest web-based appointment systems [8].
The use of a web-based referral system has been shown in previous studies to increase the number of scheduled visits that are completed by a factor of two. Additionally, the use of a web-based system has been linked to an increase in the number of appointments scheduled by patients. This is because of a fundamental misunderstanding of how the online appointment system works. In particular, Chang et al. (2015) [8] have found that the overall number of patients who kept their planned appointments using a registration platform increased by 83% over the previous year. Kim-Hwang et al. (2010) [29] presented noteworthy findings about the utilization of e-health systems by medical professionals such as surgeons and physicians. The respondents stated that they did not encounter any issues in their plans to use e-health systems for medical and surgical visits and that they intended to continue to do so. Moreover, healthcare professionals have demonstrated that patients undergoing surgical and medical procedures who used an e-health system were required to attend follow-up visits. This was not preventable.
E-appointment and web-based appointment systems present medical professionals with a number of obstacles, despite their widespread use. In addition to this, there is a lack of technological facilities that would facilitate simpler collaboration. The existence of a technical infrastructure makes it simpler to communicate among distributed software components, organizational structures that do not support the e-appointment process, and organizational conditions and requirements for ICT support that do not reduce the economy of scale [8].
Increasing amounts of money have been invested in ICT, and healthcare companies have been adopting new technologies in order to create services that are more productive and successful. The web technology is used by medical staff in order to remotely monitor their patients and communicate information with them in accordance with health education or promotion initiatives. The application of the internet in medical practice frequently results in the provision of cutting-edge e-health services to both patients and medical professionals, which results in a number of beneficial outcomes. These benefits pertain to the accessibility, promptness, and convenience of the service [1].
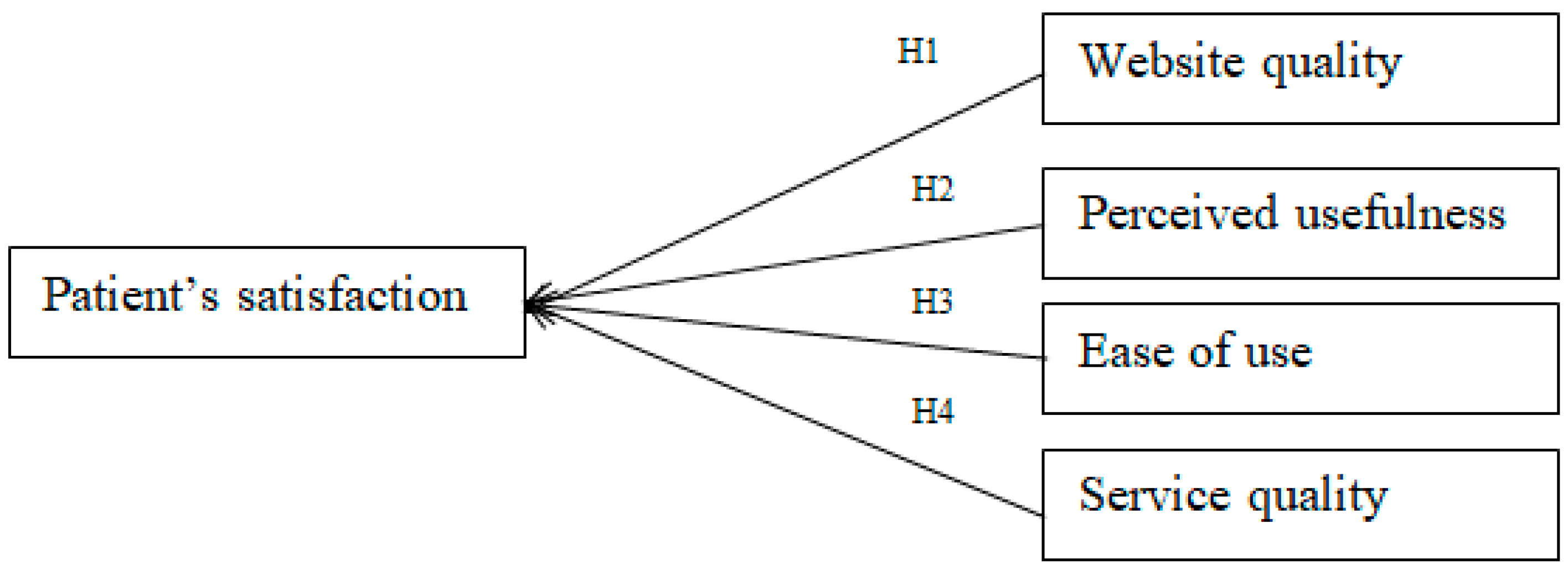
Based on the above analysis the following hypotheses have been defined:
H1: 
Website quality has a significant effect on user’s satisfaction.
H2: 
Ease of use has a significant effect on user’s satisfaction.
H3: 
Perceived usefulness has a significant effect on user’s satisfaction.
H4: 
Service quality has a significant effect on user’s satisfaction.

3. Methodology

3.1. Research Framework

In order to effectively manage clients, executives working for healthcare firms need to have an understanding of the expectations held by patients. Therefore, it is necessary for managers to identify their expectations and investigate the factors that contribute to their dissatisfaction. The level of satisfaction experienced by customers is an essential component of any service review. In other words, the goal of management should be to increase the level of satisfaction experienced by customers, which should be drawn from business strategy. In addition, the ability of healthcare organizations to provide services of superior quality has evolved into a substantial competitive advantage for these businesses. As a result, many businesses have already begun to include patients in the healthcare decision-making process in an effort to boost the significance of the results [1].
The proposed model outlines the aspects of e-health service quality that have an impact on the level of contentment experienced by patients who make use of electronic appointment systems (Figure 1). The values for these dimensions can be found in Table 2. Previous research has indicated that simplicity of use and perceived usefulness are two typical dimensions that are considered when assessing the quality of a service [14,16]. Another factor that has received a lot of attention in the previous research is the quality of the website, which takes into account aspects such as how it looks, how quickly it loads, and how safe it is [16,17,18,19]. The protection of one’s privacy and the confidentiality of one’s data are essential components when evaluating the quality of a service [20,22], something which does not just refer to the information about patients that is transmitted over the internet.

3.2. Questionnaire Design and Data Collection

It was decided to conduct a survey in the field with platform users. The instrument utilized seven-point Likert scales in order to operationalize the following five constructs: perceived ease of use, perceived usefulness, website quality, service quality, and satisfaction. The user’s ability to easily use the functions of online registration was one of the aspects that the perceived ease of use construct measured. Another aspect that this construct measured was the user’s ability to easily learn with a clear operation description. The perceived usefulness construct is yet another indicator that may be used to gauge how beneficial online user registration is seen to be from the users’ perspective. In addition, aspects such as the efficiency of website presentation, reaction time, rate at which services are provided, and effectiveness of the system have been evaluated and measured. The users’ points of view on how well information is handled and how well problems with online registration are managed were used to evaluate the quality of the service. The information for these items was obtained from Chang et al. (2015) [8], Handan, (2016) [21], Loiacono et al. (2002) [18], Paré et al. (2014) [9], Kitsios, and Kamariotou (2021) [30], and Kitsios et al. (2019) [31]. The user’s level of contentment with each of the preceding constructs was evaluated using the satisfaction construct [9,32]. A Likert scale with five points was utilized. In order to investigate the data, a multivariate regression analysis was carried out. The issues and ratings are shown in Appendix A exactly as they were presented in the survey.
Table 2 provides a summary of the dimensions that were previously exemplified; these prerequisites are the ones that were used in this study to determine the level of satisfaction experienced by users. These dimensions were deduced from Chang et al. (2015) [8], Handan, (2016) [21], Loiacono et al. (2002) [18], and Paré et al. (2014) [9], and are connected to perceived ease of use, perceived usefulness, website quality, and service quality.
The healthcare professionals working in the Greek health center arrived at the idea for the e-appointment system in order to enhance appointment reservations and minimize the number of patients who show up late or actually miss their appointments altogether. Meeting the expectations of the patients is regarded as one of the most important challenges for healthcare executives working in hospitals. Patients might simply make appointment reservations using the system, taking into consideration the doctors’ availability, which is displayed on a web-based online appointment. The web-based appointment system offers a variety of advantages to patients, in addition to those offered to physicians and other healthcare professionals. Patients are able to obtain information about the physicians who are currently on duty in this manner. As a result, patients only go to the hospital for their first appointment when they are receiving clinical treatment, resulting in a reduction in the clinical costs incurred. However, the expense of medical management may be lowered, and medical practitioners may use a registration process that is linked to a medical database in order to instantly obtain a patient’s personal clinical information archives, all of which is made possible by the system.
The goal of those who make decisions about health care is to conduct an analysis of the e-appointment system that was developed and used by patients. As a result, the survey was distributed to users who had previously registered. A preliminary test involved the participation of ten different users. Each of these responded to the survey and provided feedback regarding the topics covered, the total running time, and the instrument’s overall presentation. The questionnaire was forwarded to 35,500 users. The survey received responses from 157 users in total. Because fifteen respondents only sent in demographic information and did not take part in the survey, a total of 142 questionnaires were used for the analysis. The percentage of people who responded was 0.4%.

4. Results

Respondents were 36–55 years old, well-educated, and experienced. The majority of these indicated a willingness to use the application in the future. Table 3 shows further respondent breakdown by age, education, experience, and the user’s intention to use the application in the future.
Cronbach’s alpha values ranged from 0.755 to 0.992. Table 4 displays these aforementioned numerical values.
Table 5 presents a summary of the multicollinearity test results. Using this procedure, we can calculate the variance inflation factor (VIF) and the tolerance level for the model’s independent variables. The model treats patient satisfaction as the dependent variable, with website quality, ease of use, perceived usefulness and service quality as the independent. According to the findings, all of the independent variables have VIF values less than 10 and tolerance levels higher than 1. These values show that in every model, the independent variables do not exhibit covariance.
R2 value is 0.684 for the model, with an adjusted R2 value of 0.832. In Table 6 multiple regression analysis further demonstrates that the regression analysis’s prediction performance is above average.
According to the results shown in Table 6, the website quality’s beta value was −0.024, and its significance level was 0.117. Therefore, Hypothesis 1 was not supported, as website quality does not significantly impact satisfaction. The beta value of ease of use was 0.622, and the significance level was 0.000. Because of this, the data support the second hypothesis. The beta value of perceived usefulness was 0.518, and the significance level was 0.000. Because of this, the data support the third hypothesis. Service quality had a −0.192 beta value and a 0.324 significance level. Therefore, Hypothesis 4 was not supported, as service quality does not significantly impact satisfaction. Table 7 displays the associations between variables, while Table 8 provides descriptive and inferential statistics.

5. Discussion

An examination of the findings makes it abundantly clear that the ease of use of the e-appointment system can serve as a source of significant competitive advantage. Furthermore, it was discovered that the patients place a secondary emphasis on the user-friendliness and quality of the website. Patients do not have high expectations for these criteria, but they do have limited room for improvement. Prior scholars have asserted that patients’ satisfaction with electronic appointment systems is positively influenced by an e-appointment system’s ease of use and perceived usefulness [21,30,31].
Patients are dissatisfied with the manners of customer service consultants, the way in which issues are resolved by customer service representatives, the accessibility of channels through which questions can be asked, the culmination of appropriate standard operating procedures by customer service representatives, and the fact that the hospital does not take the patients’ recommendations into consideration. When measuring the level of satisfaction that patients have with an electronic referral scheme in a hospital, Kim-Hwang et al. (2010) [29] found the same dimensions to be important. The quality of the website is another significant factor that does not contribute to the level of satisfaction experienced by patients. Patients are not satisfied with the quality of the information, the degree to which the website satisfies their requirements, the length of time it takes to receive a response after making a request or interacting with the website, or their ability to finish all of their transactions online. The patients’ responses to this question revealed a low level of satisfaction on their part.
However, in order to improve the quality of service, customer service representatives must become more competent, more able to solve problems, and more able to complete operation procedures. In addition, those working in the healthcare industry have a responsibility to broaden the range of avenues open to patients for the purpose of asking questions or seeking clarification. On the other hand, previous surveys regarding the satisfaction of patients who have utilized e-appointment systems have mentioned that service quality is a significant dimension [8,30,31].
In conclusion, previous research has shown that patients do not place a high priority on the ease of use of websites or the quality of the information presented on them. However, healthcare providers have the ability to improve the use of applications, the learning of applications, and the flexibility of communication between providers and patients. Another group of researchers, Paré et al. (2014) [9], came to the same conclusions. According to the results of their survey, patients who had used the online appointment system were unaware of the user-friendliness and safety features of the system. In addition, medical practitioners have the ability to take steps to enhance the credibility of the research, the amount of time it takes to provide a patient with an indicative question or an exchange with a website, and the process of implement transaction online. This aspect is extremely significant for e-patients who utilize e-appointment systems and look for information regarding their medical conditions [30,31,32]. An improvement in perceived usefulness should be the final priority for medical professionals. These professionals have the ability to speed up the process of completing patients’ reservations, increase the effectiveness of reservations, and enhance the utility of the relevant applications.
Because the results indicate that the ease-of-use component is the most important for patients, healthcare therapists should take into account the following parameters in order to enhance the e-health system [21,28]: expected successful completion, error rates and experience. Patients may also be urged to make appointments online, view their medical records online, and seek advice from medical staff members via online video conferencing. Patients and healthcare organizations alike stand to benefit in a variety of ways from having authorized access. Users are able to improve their health literacy and acquire better knowledge of their own health status by using the platform. On the other hand, in order to provide continuous service, healthcare organizations are required to maintain long-term relationships with their patients. In addition to this, giving patients and doctors more autonomy will enable them to carry out health-related tasks whenever and wherever they see fit, which will increase their sense of control [1].
The fact that the vast majority of users report being satisfied with the system and that they have an intention to continue using it in the future reveals that the implementation of an electronic appointment system can significantly reduce the number of missed or forgotten appointments. The researchers Almunawar et al. (2012) [1] and Paré et al. (2014) [9] arrived at the same conclusion: that the users of the e-booking system claimed to be very satisfied, and are willing to manage their own medical appointments in the future. The results of this survey indicate, in general, that patients who use e-health systems require strong cooperation with their physicians in order to fully participate in their e-health experience [33]. This finding has been demonstrated by the fact that patients who use e-health systems are more likely to be satisfied with their care [34,35,36,37].

6. Conclusions

The aim of this article was to assess the level of satisfaction that users have with an electronic appointment system offered by a Greek state hospital in Thessaloniki and to facilitate the hospital’s managers with useful data so that they can improve their decisions and ascertain which aspects of the service need to be improved. In addition, the use of regression analysis allowed us to pinpoint the areas in which the e-appointment service of the Greek hospital is close to fulfilling the standards of its users, as well as the areas in which the e-health service falls far short of meeting those expectations. By utilizing this strategy, the Greek hospital is able to improve both the quality of the service and its efficiency in providing electronic appointments.

Implications and Future Research

A number of patients were still hesitant to manage their appointments electronically, despite the positive results presented above. It is possible that this is due to the fact that there are many different kinds of doctor’s appointments, such as those for prenatal checkups, surgical follow-ups, and annual physicals. The creation of pop-up menus can be an efficient strategy that can assist patients in selecting the appropriate type of appointment by guiding them through a series of structured questions [9]. Another effective strategic action could be the encouragement of patients by physicians to use the e-booking system in order to reduce the rate of missed appointments. This would help keep patients from falling through the cracks of the healthcare system. The flexibility in scheduling appointments, the automated reminders, the amount of time saved, as well as the system’s features—its user-friendliness, reliability, and security—should be emphasized by doctors as benefits of the electronic appointment system. In light of this, it should come as no surprise that reminders are an effective tool, as was discussed earlier. They could also be used to serve as a gentle reminder to the people who make use of the electronic appointment system [9]. In the future, research should be conducted in order to investigate the efficacy of each tactic and combine the findings of this work with the initiatives that need to be taken in order to increase the level of satisfaction felt by patients. It would be helpful to identify the required action that is necessary for each aspect of service quality that needs to be improved based on the results.
Through this survey, hospital decision-makers can learn how patients view the facility and which aspects of patient satisfaction need to be enhanced. The analysis highlighted the areas of patient satisfaction that were both strong and weak. Managers must consider the findings when making choices that will improve the e-appointment system. Future studies should look at whether patient satisfaction varies depending on things such as the type of incidence, the patients’ gender, and their financial situation.
It is recommended that, for the purposes of future research, the conduct of in-depth interviews with both patients and physicians who make use of the e-appointment system be taken into consideration. The goal of these interviews would be to acquire a deeper understanding of the data obtained through survey questionnaires. In order to assess the degree to which the findings are applicable across a wider range of primary care settings, this survey could also be repeated and expanded in those settings.
In general, a patient’s level of contentment with the e-appointment platform is an effective indicator of how well it directs patients toward a source of health-related information. According to the findings of this survey, patients should be encouraged by their physicians to participate in their e-health experience. This recommendation is one that is taken from the patient’s perspective. According to the findings of this survey, the importance of having mutual participation and a collaborative decision-making process in the digital age has been highlighted. This article has contributed to the advancement of knowledge on e-health satisfaction as well as paradigms regarding the improvement of the quality of e-health services. It is recommended that future research be carried out in accordance with the backgrounds of other organizations. Additionally, other patient behaviors that could result from e-health experiences can be examined in order to gain an understanding of how the e-appointment system influences the dynamics of healthcare organizations.

Author Contributions

Conceptualization, F.K., S.S. and L.D.; methodology, F.K.; formal analysis, S.S.; investigation, S.S.; data curation, F.K.; writing—original draft preparation, F.K., S.S., M.K. and L.D.; writing—review and editing, F.K., S.S., M.K. and L.D.; supervision, F.K. All authors have read and agreed to the published version of the manuscript.

Funding

This research received no external funding.

Conflicts of Interest

The authors declare no conflict of interest.

Appendix A

Table A1. Questionnaire.
Table A1. Questionnaire.
Please mark the number that corresponds to the degree to which each of the following requirements linked to consumer satisfaction during the use of the e-appointment system meets your expectations
Ease of useVery dissatisfied (1)–Very satisfied (5)
How satisfied are you with the use of application?
How satisfied are you with the learning of application?
How satisfied are you with the ability to become familiar with the application’s functionality in a short amount of time?
How satisfied are you with the capability to understand the application?
How satisfied are you with the variety of ways in which you can communicate?
How satisfied are you with the capability to use the application in order to make a reservation?
How satisfied are you with the way the application is set up so that you can use it easily?
Perceived usefulnessVery dissatisfied (1)–Very satisfied (5)
How satisfied are you with the quick completion of your reservation?
How satisfied are you with the improvement of reservation efficacy?
How satisfied are you with the capability to make easy a reservation?
How satisfied are you with the confirmation that the transaction to complete the reservation has been successfully completed?
How satisfied are you with the usefulness of application?
How satisfied are you with the perceived usefulness of use of the application?
Website qualityVery dissatisfied (1)–Very satisfied (5)
How satisfied are you with the overall quality of the information?
To what extent do you feel that the website meets your needs, and how satisfied are you with that?
How satisfied are you with the amount of time it takes to get a response after making a request on the website or interacting with it?
How satisfied are you with the way your transaction was handled when it was completed online?
In what degree do you feel that your inquiries, comments, and feedback have been responded to satisfactorily?
How satisfied are you with the website quality of the application?
Service qualityVery dissatisfied (1)–Very satisfied (5)
How satisfied are you with the decent behavior of the representatives who provide customer service?
In what degree do you feel that the problems you’ve been having have been resolved by the customer service representatives?
In what way (or ways) do you feel that the available channels to ask questions meet your needs?
How satisfied are you with the completion of correct operation procedures by customer service representatives?
How satisfied are you with the hospital which adopts your suggestion?
How content are you with the overall quality of the service?
Global satisfactionVery dissatisfied (1)–Very satisfied (5)
How satisfied are you with the application?

References

  1. Almunawar, M.N.; Wint, Z.; Low, P.K.C.; Anshari, M. E-Health Initiative and Customer’s Expectation: Case Brunei. arXiv 2012, arXiv:1204.3691. [Google Scholar] [CrossRef]
  2. Delić, D.; Polašek, O.; Kern, J. Internet health-information seekers in Croatia—Who, what, and why? Med. Inform. Internet Med. 2006, 31, 267–273. [Google Scholar] [CrossRef] [PubMed]
  3. Kitsios, F.; Kamariotou, M. Information Systems Strategy and Strategy-as-Practice: Planning Evaluation in SMEs. In Proceedings of the Americas Conference on Information Systems (AMCIS2019), Cancun, Mexico, 15–17 August 2019; pp. 1–10. [Google Scholar]
  4. Kitsios, F.; Kamariotou, M. Decision Support Systems and Strategic Information Systems Planning for Strategy Implementation. In Strategic Innovative Marketing; Springer Proceedings in Business and Economics; Kavoura, A., Sakas, D., Tomaras, P., Eds.; Springer: Cham, Switzerland, 2017; pp. 327–332. [Google Scholar] [CrossRef]
  5. Sindakis, S.; Kitsios, F. Entrepreneurial dynamics and patient involvement in service innovation: Developing a model to promote growth and sustainability in mental health care. J. Knowl. Econ. 2016, 7, 545–564. [Google Scholar] [CrossRef]
  6. Kamariotou, M.; Kitsios, F. Critical Factors of Strategic Information Systems Planning Phases in SMEs. In Information Systems; EMCIS 2018; Springer LNBIP 341; Themistocleous, M., Rupino da Cunha, P., Eds.; Springer Nature: Cham, Switzerland, 2019; pp. 503–517. [Google Scholar] [CrossRef]
  7. Kitsios, F.; Kamariotou, M. Critical success factors in service innovation strategies: An annotated bibliography on NSD. In Proceedings of the British Academy of Management (BAM) Conference, Newcastle, UK, 6–8 September 2016; pp. 1–28. [Google Scholar]
  8. Chang, M.Y.; Pang, C.; Tarn, J.M.; Liu, T.S.; Yen, D.C. Exploring user acceptance of an e-hospital service: An empirical study in Taiwan. Comput. Stand. Interfaces 2015, 38, 35–43. [Google Scholar] [CrossRef]
  9. Paré, G.; Trudel, M.C.; Forget, P. Adoption, use, and impact of e-booking in private medical practices: Mixed-methods evaluation of a two-year showcase project in Canada. JMIR Med. Inform. 2014, 2, 24–34. [Google Scholar] [CrossRef]
  10. Drosos, D.; Tsotsolas, N.; Zagga, A.; Chalikias, M.S.; Skordoulis, M. MUlticriteria Satisfaction Analysis Application in the Health Care Sector. In Proceedings of the 7th International Conference on Information and Communication Technologies in Agriculture, Food and Environment (HAICTA), Kavala, Greece, 17–20 September 2015; pp. 737–754. [Google Scholar]
  11. Lim, P.C.; Tang, N.K. A study of patients’ expectations and satisfaction in Singapore hospitals. Int. J. Health Care Qual. Assur. 2000, 13, 290–299. [Google Scholar] [CrossRef]
  12. Parasuraman, A.; Zeithaml, V.A.; Berry, L. SERVQUAL: A multiple-item scale for measuring consumer perceptions of service quality. J. Retail. 1988, 64, 12–40. [Google Scholar]
  13. Parasuraman, A.; Zeithaml, V.A.; Malhotra, A. ES-QUAL: A multiple-item scale for assessing electronic service quality. J. Serv. Res. 2005, 7, 213–233. [Google Scholar] [CrossRef]
  14. Davis, F.D. Perceived usefulness, perceived ease of use, and user acceptance of information technology. MIS Q. 1989, 319–340. [Google Scholar] [CrossRef]
  15. Szajna, B. Empirical evaluation of the revised technology acceptance model. Manag. Sci. 1996, 42, 85–92. [Google Scholar] [CrossRef]
  16. Yoo, B.; Donthu, N. Developing a scale to measure the perceived quality of an Internet shopping site (SITEQUAL). Q. J. Electron. Commer. 2001, 2, 31–45. [Google Scholar]
  17. Barnes, S.J.; Vidgen, R.T. An integrative approach to the assessment of e-commerce quality. J. Electron. Commer. Res. 2002, 3, 114–127. [Google Scholar]
  18. Loiacono, E.T.; Watson, R.T.; Goodhue, D.L. WebQual: A measure of website quality. Mark. Theory Appl. 2002, 13, 432–438. [Google Scholar]
  19. Zeithaml, V.A.; Parasuraman, A.; Malhotra, A. Service quality delivery through web sites: A critical review of extant knowledge. J. Acad. Mark. Sci. 2002, 30, 362–375. [Google Scholar] [CrossRef]
  20. Szymanski, D.M.; Hise, R.T. E-satisfaction: An initial examination. J. Retail. 2000, 76, 309–322. [Google Scholar] [CrossRef]
  21. Handan, Ç.A.M. The role of information technology in patient satisfaction. Turk. Econ. Rev. 2016, 3, 91–102. [Google Scholar] [CrossRef]
  22. Wolfinbarger, M.; Gilly, M.C. eTailQ: Dimensionalizing, measuring and predicting etail quality. J. Retail. 2003, 79, 183–198. [Google Scholar] [CrossRef]
  23. Eysenbach, G. What is e-health? J. Med. Internet Res. 2001, 3, 20–24. [Google Scholar] [CrossRef]
  24. Astuti, H.J.; Nagase, K. A framework for conceptualizing patient loyalty to healthcare organizations. Health Serv. Manag. Res. 2016, 29, 70–78. [Google Scholar] [CrossRef]
  25. Bond, S.; Thomas, L.H. Measuring patients’ satisfaction with nursing care. J. Adv. Nurs. 1992, 17, 52–63. [Google Scholar] [CrossRef]
  26. Caiata-Zufferey, M.; Abraham, A.; Sommerhalder, K.; Schulz, P.J. Online health information seeking in the context of the medical consultation in Switzerland. Qual. Health Res. 2010, 20, 1050–1061. [Google Scholar] [CrossRef] [PubMed]
  27. Jones, R.; Rogers, R.; Roberts, J.; Callaghan, L.; Lindsey, L.; Campbell, J.; Thorogood, M.; Wright, G.; Gaunt, N.; Hanks, C.; et al. What is eHealth (5): A research agenda for eHealth through stakeholder consultation and policy context review. J. Med. Internet Res. 2005, 7, e54. [Google Scholar] [CrossRef] [PubMed]
  28. Kushniruk, A.; Turner, P. A framework for user involvement and context in the design and development of safe e-Health systems. In Quality of Life through Quality of Information; Mantas, J., Andersen, S.K., Mazzoleni, M.C., Blobel, B., Quaglini, S., Moen, A., Eds.; IOS Press: Amsterdam, The Netherlands, 2012; pp. 353–357. [Google Scholar]
  29. Kim-Hwang, J.E.; Chen, A.H.; Bell, D.S.; Guzman, D.; Yee, H.F.; Kushel, M.B. Evaluating electronic referrals for specialty care at a public hospital. J. Gen. Intern. Med. 2010, 25, 1123–1128. [Google Scholar] [CrossRef] [PubMed]
  30. Kitsios, F.; Kamariotou, M. Job satisfaction behind motivation: An empirical study in public health workers. Heliyon 2021, 7, e06857. [Google Scholar] [CrossRef] [PubMed]
  31. Kitsios, F.; Stefanakakis, S.; Kamariotou, M.; Dermentzoglou, L. E-service Evaluation: User satisfaction measurement and implications in health sector. Comput. Stand. Interfaces 2019, 63, 16–26. [Google Scholar] [CrossRef]
  32. Katz, J.E.; Roberge, D.; Coulombe, G. The cancer patient’s use and appreciation of the internet and other modern means of communication. Technol. Cancer Res. Treat. 2014, 13, 477–484. [Google Scholar] [CrossRef]
  33. De Rosis, S.; Barsanti, S. Patient satisfaction, e-health and the evolution of the patient–general practitioner relationship: Evidence from an Italian survey. Health Policy 2016, 120, 1279–1292. [Google Scholar] [CrossRef]
  34. Manolitzas, P.; Grigoroudis, E.; Matsatsinis, N. Using multicriteria decision analysis to evaluate patient satisfaction in a hospital emergency department. J. Health Manag. 2014, 16, 245–258. [Google Scholar] [CrossRef]
  35. Manolitzas, P.; Grigoroudis, E.; Matsatsinis, N.; Yannacopoulos, D. Effective Methods for Modern Healthcare Service Quality and Evaluation; IGI Global: Hersey, PA, USA, 2015. [Google Scholar]
  36. Kitsios, F.; Kamariotou, M.; Karanikolas, P.; Grigoroudis, E. Digital Marketing Platforms and Customer Satisfaction: Identifying eWOM Using Big Data and Text Mining. Appl. Sci. 2021, 11, 8032. [Google Scholar] [CrossRef]
  37. Radu, F.; Radu, V.; Turkeș, M.C.; Ivan, O.R.; Tăbîrcă, A.I. A research of service quality perceptions and patient satisfaction: Case study of public hospitals in Romania. Int. J. Health Plan. Manag. 2022, 37, 1018–1048. [Google Scholar] [CrossRef]
Figure 1. Research Framework.
Figure 1. Research Framework.
Electronics 12 00662 g001
Table 1. Digital service quality dimensions.
Table 1. Digital service quality dimensions.
Digital Service Quality DimensionsReferences
Perceived usefulnessDavis (1989) [14] and Szajna (1996) [15]
Ease of use
Site quality (trust, usability, information, design and empathy)Barnes and Vidgen (2002) [17]
Site quality (ease of use, aesthetic design, processing speed, and security)Yoo and Donthu (2001) [16]
Product offeringsSzymanski and Hise (2000) [20]
Site design
Financial security
Privacy/securityWolfinbarger and Gilly (2003) [22]
Website design
Reliability/fulfillment
Customer service
AccessZeithaml et al. (2002) [19]
Reliability
Ease of navigation
Responsiveness
Flexibility
Efficiency
Assurance/trust
Customization/personalization
Price knowledge
Security/privacy
Site aesthetics
Website quality (web site presentation system security, response time, efficiency, speed of providing services, and effectiveness)Loiacono et al. (2002) [18]
Handling informationChang et al. (2015) [8], Handan, (2016) [21] and Paré et al. (2014) [9]
Managing capability of online registration problems
Table 2. Construct definitions.
Table 2. Construct definitions.
VariableDefinition
Perceived ease of use of the e-appointment systemExamining the user’s level of satisfaction with the perceived value of online registration. Determining the degree to which the user’s experience of using computers and the degree to which it influences the user’s intention to use computers in the future. Determining whether or not users intend to make use of the various functions of online registration in the near or distant future and determining the level of contentment that each individual user has with the various components of the electronic appointment system that have come before it.
Perceived usefulness of the e-appointment systemThe ease of use that users report experiencing with the electronic appointment system determines how simple it is for a licensed user to make use of the features of online enrollment, as well as how straightforward it is for the user to learn to use and how easy it is to do so.
Website qualityThe method for evaluating attributes such as the reliability with which a website presents its content, its rebuttal time, the rate at which it provides services, and the effectiveness of the system.
Service quality of the e-appointment systemThe level of service provided by the electronic appointment system is evaluated from the perspective of the user, including aspects such as the management of data and the capacity to manage issues with online registration.
SatisfactionDetermining the degree to which the user is satisfied with each of the earlier iterations of the electronic appointment system.
Table 3. Percentage distribution of the sample’s characteristics.
Table 3. Percentage distribution of the sample’s characteristics.
VariablesCategories (Scale)Total Sample (n = 142)
Age18–251.40%
26–3518.30%
36–4527.46%
46–5533.80%
56–6518.30%
>6511.26%
EducationSome college30.98%
Two-year college graduate18.30%
Four-year college graduate45.77%
Post-graduate degree10.56%
PhD degree2.11%
Other2.81%
ExperienceNo extent (1)11.26%
Small extent (2)6.33%
Some extent (3)24.64%
Moderate extent (4)31.69%
Great extent (5)45.07%
User’s intentionNo extent (1)2.81%
Small extent (2)0%
Some extent (3)4.22%
Moderate extent (4)12.67%
Great extent (5)90.84%
Table 4. Cronbach a.
Table 4. Cronbach a.
VariablesCronbach a Values
Website quality0.992
Ease of use0.898
Perceived usefulness0.873
Service quality0.931
Patient satisfaction0.755
Table 5. Regression model’s tolerance level (N = 142).
Table 5. Regression model’s tolerance level (N = 142).
ModelToleranceVIF
Website quality0.7421.014
Ease of use0.9831.086
Perceived usefulness0.8451.223
Service quality0.7361.217
Table 6. Hypothesis testing.
Table 6. Hypothesis testing.
ModelΒt-ValueSig.
Website quality → Satisfaction−0.0241.3210.117
Ease of use → Satisfaction0.6221.0440.000
Perceived usefulness → Satisfaction0.5186.5530.000
Service quality → Satisfaction−0.192−1.0220.324
Table 7. Correlations.
Table 7. Correlations.
Website QualityEase of UsePerceived UsefulnessService QualitySatisfaction
Website quality1.0000.7240.8320.0480.520
Ease of use0.7241.0000.1750.2240.015
Perceived usefulness0.8320.1751.0000.6280.361
Service quality0.0480.2240.6281.0000.219
Satisfaction0.5200.0150.3610.2191.000
Table 8. Descriptive statistics of the variables.
Table 8. Descriptive statistics of the variables.
VariablesMeanStd. DeviationΝ
Website quality3.1250.62784142
Ease of use3.0231.80012142
Perceived usefulness3.5880.87133142
Service quality3.3490.42172142
Satisfaction3.6140.56610142
Disclaimer/Publisher’s Note: The statements, opinions and data contained in all publications are solely those of the individual author(s) and contributor(s) and not of MDPI and/or the editor(s). MDPI and/or the editor(s) disclaim responsibility for any injury to people or property resulting from any ideas, methods, instructions or products referred to in the content.

Share and Cite

MDPI and ACS Style

Kitsios, F.; Stefanakakis, S.; Kamariotou, M.; Dermentzoglou, L. Digital Service Platform and Innovation in Healthcare: Measuring Users’ Satisfaction and Implications. Electronics 2023, 12, 662. https://doi.org/10.3390/electronics12030662

AMA Style

Kitsios F, Stefanakakis S, Kamariotou M, Dermentzoglou L. Digital Service Platform and Innovation in Healthcare: Measuring Users’ Satisfaction and Implications. Electronics. 2023; 12(3):662. https://doi.org/10.3390/electronics12030662

Chicago/Turabian Style

Kitsios, Fotis, Stavros Stefanakakis, Maria Kamariotou, and Lambros Dermentzoglou. 2023. "Digital Service Platform and Innovation in Healthcare: Measuring Users’ Satisfaction and Implications" Electronics 12, no. 3: 662. https://doi.org/10.3390/electronics12030662

APA Style

Kitsios, F., Stefanakakis, S., Kamariotou, M., & Dermentzoglou, L. (2023). Digital Service Platform and Innovation in Healthcare: Measuring Users’ Satisfaction and Implications. Electronics, 12(3), 662. https://doi.org/10.3390/electronics12030662

Note that from the first issue of 2016, this journal uses article numbers instead of page numbers. See further details here.

Article Metrics

Back to TopTop