A Ka-Band Silicon-Based Antenna-in-Package Design Using Characteristic Mode Analysis for Bandwidth Enhancement
Abstract
:1. Introduction
2. Antenna Design Approach
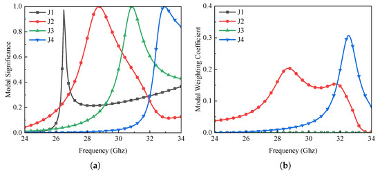
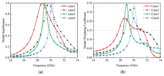
2.1. Silicon-Based Antenna Design with Enhanced Bandwidth
2.2. Structure of the Proposed Antenna Unit
3. Fabrication and 2 × 2 Array Structure
4. Results and Discussion
5. Conclusions
Author Contributions
Funding
Data Availability Statement
Conflicts of Interest
References
- Zhang, Y.; Mao, J. An Overview of the Development of Antenna-in-Package Technology for Highly Integrated Wireless Devices. Proc. IEEE 2019, 107, 2265–2280. [Google Scholar] [CrossRef]
- Cohen, E.; Ruberto, M.; Cohen, M.; Degani, O.; Ravid, S.; Ritter, D. A CMOS Bidirectional 32-Element Phased-Array Transceiver at 60 GHz With LTCC Antenna. IEEE Trans. Microw. Theory Tech. 2013, 61, 1359–1375. [Google Scholar] [CrossRef]
- Zhang, Y.P.; Sun, M.; Chua, K.M.; Wai, L.L.; Liu, D. Antenna-in-Package Design for Wirebond Interconnection to Highly Integrated 60-GHz Radios. IEEE Trans. Antennas Propagat. 2009, 57, 2842–2852. [Google Scholar] [CrossRef]
- Kam, D.G.; Liu, D.; Natarajan, A.; Reynolds, S.; Chen, H.C.; Floyd, B.A. LTCC Packages With Embedded Phased-Array Antennas for 60 GHz Communications. IEEE Microw. Wirel. Compon. Lett. 2011, 21, 142–144. [Google Scholar] [CrossRef]
- Liu, D.; Gu, X.; Baks, C.W.; Valdes-Garcia, A. Antenna-in-Package Design Considerations for Ka-Band 5G Communication Applications. IEEE Trans. Antennas Propagat. 2017, 65, 6372–6379. [Google Scholar] [CrossRef]
- Gu, X.; Liu, D.; Baks, C.; Tageman, O.; Sadhu, B.; Hallin, J.; Rexberg, L.; Valdes-Garcia, A. A Multilayer Organic Package with 64 Dual-Polarized Antennas for 28 GHz 5 G Communication. In Proceedings of the 2017 IEEE MTT-S International Microwave Symposium (IMS), Honololu, HI, USA, 4–9 June 2017; pp. 1899–1901. [Google Scholar] [CrossRef]
- Kam, D.G.; Liu, D.; Natarajan, A.; Reynolds, S.K.; Floyd, B.A. Organic Packages With Embedded Phased-Array Antennas for 60-GHz Wireless Chipsets. IEEE Trans. Compon. Packaging Manuf. Technol. 2011, 1, 1806–1814. [Google Scholar] [CrossRef]
- Wojnowski, M.; Wagner, C.; Lachner, R.; Bock, J.; Sommer, G.; Pressel, K. A 77-GHz SiGe Single-Chip Four-Channel Transceiver Module with Integrated Antennas in Embedded Wafer-Level BGA Package. In Proceedings of the 2012 IEEE 62nd Electronic Components and Technology Conference, San Diego, CA, USA, 29 May–1 June 2012; pp. 1027–1032. [Google Scholar] [CrossRef]
- Chen, Z.; Guan, L.T.; Wee Ho, D.S.; Bhattacharya, S. Millimeter-Wave Antenna in Fan-Out Wafer Level Packaging for 60 GHz WLAN Application. In Proceedings of the 2018 IEEE 68th Electronic Components and Technology Conference (ECTC), San Diego, CA, USA, 29 May–1 June 2018; pp. 331–336. [Google Scholar] [CrossRef]
- Zhang, Y.P.; Liu, D. Antenna-on-Chip and Antenna-in-Package Solutions to Highly Integrated Millimeter-Wave Devices for Wireless Communications. IEEE Trans. Antennas Propagat. 2009, 57, 2830–2841. [Google Scholar] [CrossRef]
- Chang, L.; Zhang, Z.; Li, Y.; Wang, S.; Feng, Z. Air-Filled Long Slot Leaky-Wave Antenna Based on Folded Half-Mode Waveguide Using Silicon Bulk Micromachining Technology for Millimeter-Wave Band. IEEE Trans. Antennas Propagat. 2017, 65, 3409–3418. [Google Scholar] [CrossRef]
- Hacker, J.; Hillman, C.; Papavasiliou, A.; Kim, C.G.; Abbaspour-Tamijani, A.; Kim, C.Y.; Kang, D.W.; Rebeiz, G. A 16-Element Transmit/Receive Q-Band Electronically Steerable Subarray Tile. In Proceedings of the 2012 IEEE/MTT-S International Microwave Symposium Digest, Montreal, QC, Canada, 17–22 June 2012; pp. 1–3. [Google Scholar] [CrossRef]
- Shariff, D.; Marimuthu, P.C.; Hsiao, K.; Asoy, L.; Yee, C.L.; Oo, A.K.; Buchanan, K.; Crook, K.; Wilby, T.; Burgess, S. Integration of Fine-Pitched Through-Silicon Vias and Integrated Passive Devices. In Proceedings of the 2011 IEEE 61st Electronic Components and Technology Conference (ECTC), Lake Buena Vista, FL, USA, 31 May–3 June 2011; pp. 844–848. [Google Scholar] [CrossRef]
- Yong-zhi, Z.; Shao-dong, W. A Novel 3D T/R Module with MEMS Technology. In Proceedings of the 2016 International Conference on Integrated Circuits and Microsystems (ICICM), Chengdu, China, 23–25 November 2016; pp. 286–289. [Google Scholar] [CrossRef]
- Bouayadi, O.E.; Dussopt, L.; Lamy, Y.; Dehos, C.; Ferrandon, C.; Siligaris, A.; Soulier, B.; Simon, G.; Vincent, P. Silicon Interposer: A Versatile Platform towards Full-3D Integration of Wireless Systems at Millimeter-Wave Frequencies. In Proceedings of the 2015 IEEE 65th Electronic Components and Technology Conference (ECTC), San Diego, CA, USA, 26–29 May 2015; pp. 973–980. [Google Scholar] [CrossRef]
- Papapolymerou, I.; Franklin Drayton, R.; Katehi, L. Micromachined Patch Antennas. IEEE Trans. Antennas Propag. 1998, 46, 275–283. [Google Scholar] [CrossRef]
- Gauthier, G.; Courtay, A.; Rebeiz, G. Microstrip Antennas on Synthesized Low Dielectric-Constant Substrates. IEEE Trans. Antennas Propagat. 1997, 45, 1310–1314. [Google Scholar] [CrossRef]
- James, J.R.; Hall, P.S. Handbook of Microstrip Antennas; Institution of Electrical Engineers, Ed.; IEE Electromagnetic Waves Series; Peregrinus: London, UK, 1989. [Google Scholar]
- Pozar, D. Considerations for Millimeter Wave Printed Antennas. IEEE Trans. Antennas Propagat. 1983, 31, 740–747. [Google Scholar] [CrossRef]
- Carver, K.; Mink, J. Microstrip Antenna Technology. IEEE Trans. Antennas Propagat. 1981, 29, 2–24. [Google Scholar] [CrossRef]
- Chen, Y.; Wang, C.F. Characteristic Modes: Theory and Applications in Antenna Engineering, 1st ed.; Wiley: Hoboken, NJ, USA, 2015. [Google Scholar] [CrossRef]
- Tong, K.F.; Luk, K.M.; Lee, K.F.; Lee, R. A Broad-Band U-Slot Rectangular Patch Antenna on a Microwave Substrate. IEEE Trans. Antennas Propagat. 2000, 48, 954–960. [Google Scholar] [CrossRef]
- Waterhouse, R. Design of Probe-Fed Stacked Patches. IEEE Trans. Antennas Propagat. 1999, 47, 1780–1784. [Google Scholar] [CrossRef]
- Milligan, T. Antenna Designer’s Notebook - Wheeler and Fano Impedance Matching. IEEE Antennas Propag. Mag. 2007, 49, 116–119. [Google Scholar] [CrossRef]
- Singh, V. Ka-Band Micromachined Microstrip Patch Antenna. IET Microw. Antennas Propag. 2010, 4, 316. [Google Scholar] [CrossRef]
- Pan, B.; Yoon, Y.k.; Ponchak, G.E.; Allen, M.G.; Papapolymerou, J.; Tentzeris, M.M. Analysis and Characterization of a High-Performance Ka-Band Surface Micromachined Elevated Patch Antenna. IEEE Antennas Wirel. Propag. Lett. 2006, 5, 511–514. [Google Scholar] [CrossRef]
- Mirzajani, H.; Nasiri, M.; Ghavifekr, H.B. A New Design of MEMS-Based Wideband Frequency Reconfigurable Microstrip Patch Antenna. In Proceedings of the 2012 8th International Symposium on Mechatronics and Its Applications, Sharjah, United Arab Emirates, 10–12 April 2012; pp. 1–6. [Google Scholar] [CrossRef]
- Watanabe, A.O.; Ali, M.; Zhang, R.; Ravichandran, S.; Kakutani, T.; Raj, P.M.; Tummala, R.R.; Swaminathan, M. Glass-Based IC-Embedded Antenna-Integrated Packages for 28-GHz High-Speed Data Communications. In Proceedings of the 2020 IEEE 70th Electronic Components and Technology Conference (ECTC), Orlando, FL, USA, 3–30 June 2020; pp. 89–94. [Google Scholar] [CrossRef]
- Jin, C.; Sekhar, V.N.; Bao, X.; Chen, B.; Zheng, B.; Li, R. Antenna-in-Package Design Based on Wafer-Level Packaging with Through Silicon Via Technology. IEEE Trans. Compon. Packag. Manufact. Technol. 2013, 3, 1498–1505. [Google Scholar] [CrossRef]
- Huang, Y.S.; Zhou, L.; Mao, J.F.; Xu, Q. A W-Band High Radiation Efficiency With BCB-Air Cavity-Backed Antenna Based on Through Silicon Ring Trench. IEEE Antennas Wirel. Propag. Lett. 2022, 21, 1955–1959. [Google Scholar] [CrossRef]




















| Parameter | Size | Parameter | Size |
|---|---|---|---|
| Lp1 | 1.09 | ws1 | 0.05 |
| Wp1 | 3.67 | ws2 | 0.1 |
| Wp2 | 2.45 | Lt | 0.4 |
| Ls1 | 1.16 | Wt | 3.5 |
| Ls2 | 0.83 | Wg | 5 |
| Ls3 | 0.81 | df | 0.15 |
| Ls4 | 0.57 |
| Refs. | Freq. (GHz) | FBW | Gain (dBi) | Radiation Patch Size () | Approach |
|---|---|---|---|---|---|
| [25] | 34.2 | 4% | 8.5 (at 34.2 GHz) | 0.40 × 0.40 | Etching an air cavity |
| [26] | 26.2∼29.1 | 10.5% | 8.9 (at 27.7 GHz) | 0.52 × 0.42 | Elevating the patch |
| [27] | 22.17 | 6% | Not given | Not given | An air cavity with tunable thickness |
| [28] | 28 | 5.4% | Not given | Not given | Glass-based Stacked patches |
| [29] | 76 93 | 20.1% | 2.4 (at 85 GHz) | Not given | CPW-fed slot loop with a stacked patch |
| [30] | 94 | 5.3% | 8.2 (at 91 GHz) | 0.39 × 0.35 | Forming a BCB-air cavity |
| Proposed antenna unit | 26.2∼30.1 | 13.8% | 6.1 (at 28.9 GHz) | 0.37 × 0.11 | Stacked patches |
| Proposed 2 × 2 array | 27.2∼30.5 | 11.4% | 9.3 (at 28.5 GHz) | 0.37 × 0.11 with d = 0.470 | Stacked patches |
Disclaimer/Publisher’s Note: The statements, opinions and data contained in all publications are solely those of the individual author(s) and contributor(s) and not of MDPI and/or the editor(s). MDPI and/or the editor(s) disclaim responsibility for any injury to people or property resulting from any ideas, methods, instructions or products referred to in the content. |
© 2023 by the authors. Licensee MDPI, Basel, Switzerland. This article is an open access article distributed under the terms and conditions of the Creative Commons Attribution (CC BY) license (https://creativecommons.org/licenses/by/4.0/).
Share and Cite
Zhao, Y.; Liang, L.; Hu, Y.; Xiao, Y.; Sun, H. A Ka-Band Silicon-Based Antenna-in-Package Design Using Characteristic Mode Analysis for Bandwidth Enhancement. Electronics 2023, 12, 4983. https://doi.org/10.3390/electronics12244983
Zhao Y, Liang L, Hu Y, Xiao Y, Sun H. A Ka-Band Silicon-Based Antenna-in-Package Design Using Characteristic Mode Analysis for Bandwidth Enhancement. Electronics. 2023; 12(24):4983. https://doi.org/10.3390/electronics12244983
Chicago/Turabian StyleZhao, Yu, Lin Liang, Yali Hu, Yu Xiao, and Houjun Sun. 2023. "A Ka-Band Silicon-Based Antenna-in-Package Design Using Characteristic Mode Analysis for Bandwidth Enhancement" Electronics 12, no. 24: 4983. https://doi.org/10.3390/electronics12244983
APA StyleZhao, Y., Liang, L., Hu, Y., Xiao, Y., & Sun, H. (2023). A Ka-Band Silicon-Based Antenna-in-Package Design Using Characteristic Mode Analysis for Bandwidth Enhancement. Electronics, 12(24), 4983. https://doi.org/10.3390/electronics12244983

