A Composite Right/Left-Handed Phase Shifter-Based Cylindrical Phased Array with Reinforced Particles Responsive to Magneto-Static Fields
Abstract
1. Introduction
2. The P-CRLH Unit Cell Design and Analysis
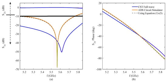
3. Simulation Results of the P-CRLH Phase Shifter
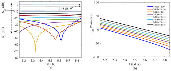
4. Simulated Results of a Cylindrical Phased Array with P-CRLH Phase Shifters
5. Measurement Results of a Cylindrical Phased Array with P-CRLH Phase Shifters
6. Conclusions
Author Contributions
Funding
Data Availability Statement
Conflicts of Interest
Appendix A
| Notation | Description |
|---|---|
| TL | Transmission Line |
| CRLH | Composite Right/Left-Handed |
| CRLH-TL | Composite Right/Left-Handed Transmission Line |
| P-CRLH | Particles-CRLH |
| MRS | Magneto-static field Responsive Structure |
| RH-TL | Right-Handed Transmission Line |
| PIN | p-type intrinsic n-type |
| MEMS | Microelectromechanical systems |
| BST | Barium Strontium Titanate |
| MIM | Metal-Insulator-Metal |
| RF | Radio Frequency |
| EBG | Electromagnetic Band-Gap |
| SI | Stub Inductor |
| IDC | Inter Digital Capacitor |
| IL | Insertion Loss |
References
- Caloz, C.; Itoh, T. Electromagnetic Metamaterials: Transmission Line Theory and Microwave Applications, 1st ed.; Wiley-IEEE Press; John Wiley and Sons, Ltd.: Hoboken, NJ, USA, 2005; p. 376. [Google Scholar]
- Vivos, J.; Crépin, T.; Foulon, M.F.; Sokoloff, J. Unbalanced metamaterials applied to phase shifter: Dedicated design method and application in C-band. Prog. Electromagn. Res. C 2019, 93, 1–17. [Google Scholar] [CrossRef]
- Maassel, M.; Braaten, B.D.; Rogers, D.A. A metamaterial-based multiband phase shifter. In Proceedings of the IEEE International Conference on Electro/Information Technology, Milwaukee, WI, USA, 5–7 June 2014. [Google Scholar]
- Zhang, J.; Cheung, S.W.; Yuk, T.I. A compact 6-bit phase shifter with high-power capacity based on composite right/left-handed transmission line. In Proceedings of the 40th European Microwave Conference, Paris, France, 28–30 September 2010. [Google Scholar]
- Zhang, J.; Cheung, S.W.; Yuk, T.I. Design of n-bit digital phase shifter using single CRLH TL unit cell. Electron. Lett. 2010, 46, 506–508. [Google Scholar] [CrossRef]
- Zhang, J.; Cheung, S.W.; Yuk, T.I. Design of n-bit phase shifters with high power-handling capability inspired by composite right/left-handed transmission line unit cells. IET Microw. Antennas Propag. 2010, 4, 991–999. [Google Scholar] [CrossRef]
- Li, P.; Niu, J.; Fu, J.; Chen, W.; Lv, B.; Wang, Z.; Li, A. A novel 360° continuously tunable phase shifter based on varactor-loaded CRLH transmission line at exact 2.4 GHz. In Proceedings of the 2016 IEEE International Conference on Electronic Information and Communication Technology (ICEICT), Harbin, China, 20–22 August 2016. [Google Scholar]
- Wu, Y.S.; Lin, X.Q.; Zhang, J.; Jiang, Y.; Cheng, F.; Fan, Y. Broadband and wide range tunable phase shifter based on composite right/left handed transmission line. J. Electromagn. Waves Appl. 2012, 26, 1308–1314. [Google Scholar] [CrossRef]
- Hwang, S.H.; Jang, T.; Kim, J.M.; Kim, Y.K.; Lim, S.; Baek, C.W. MEMS-tunable composite right/left-handed (CRLH) transmission line and its application to a phase shifter. J. Micromech. Microeng. 2011, 21, 125022. [Google Scholar] [CrossRef]
- Michishita, N.; Kitahara, H.; Yamada, Y.; Cho, K. Tunable phase shifter using composite right/left-handed transmission line with mechanically variable MIM capacitors. IEEE Antennas Wirel. Propag. Lett. 2011, 10, 1579–1581. [Google Scholar] [CrossRef]
- Michishita, N.; Yamada, Y.; Cho, K. Design of composite right/left-handed transmission line for phase shifter of multi-band base station antenna. EPJ Appl. Metamateri. 2011, 5, 12. [Google Scholar] [CrossRef]
- Nikfalazar, M.; Sazegar, M.; Zheng, Y.; Wiens, A.; Jakoby, R.; Friederich, A.; Kohler, C.; Binder, J.R. Compact tunable phase shifter based on inkjet printed BST thick-films for phased-array application. In Proceedings of the 2013 European Microwave Conference, Nuremberg, Germany, 6–10 October 2013. [Google Scholar]
- Nikfalazar, M.; Sazegar, M.; Friederich, A.; Kohler, C.; Zheng, Y.; Wiens, A.; Binder, J.R.; Jakoby, R. Inkjet printed BST thick-films for x-band phase shifter and phased array applications. In Proceedings of the 2013 International Workshop on Antenna Technology (iWAT), Karlsruhe, Germany, 4–6 March 2013. [Google Scholar]
- Nikfalazar, M.; Sazegar, M.; Mehmood, A.; Wiens, A.; Friederich, A.; Maune, H.; Binder, J.R.; Jakoby, R. Two-dimensional beam-steering phased-array antenna with compact tunable phase shifter based on BST thick films. IEEE Antennas Wirel. Propag. Lett. 2016, 16, 585–588. [Google Scholar] [CrossRef]
- Sazegar, M.; Zheng, Y.; Maune, H.; Zhou, X.; Damm, C.; Jakoby, R. Compact left handed coplanar strip line phase shifter on screen printed BST. In Proceedings of the 2011 IEEE MTT-S International Microwave Symposium, Baltimore, MD, USA, 5–10 June 2011. [Google Scholar]
- Haghzadeh, M.; Jaradat, H.M.; Armiento, C.; Akyurtlu, A. Design and simulation of fully printable conformal antennas with BST/polymer composite based phase shifters. Prog. Electromagn. Res. C 2016, 62, 167–178. [Google Scholar] [CrossRef]
- Ebrahimi, F.; Qaderi, S. Stability analysis of embedded graphene platelets reinforced composite plates in thermal environment. Eur. Phys. J. Plus. 2019, 134, 349. [Google Scholar] [CrossRef]
- Sazegar, M.; Zheng, Y.; Maune, H.; Damm, C.; Zhou, X.; Binder, J.; Jakoby, R. Low-cost phased-array antenna using compact tunable phase shifters based on ferroelectric ceramics. IEEE Trans. Microw. Theory Tech. 2011, 59, 1265–1273. [Google Scholar] [CrossRef]
- Sazegar, M.; Zheng, Y.; Maune, H.; Zhou, X.; Damm, C.; Jakoby, R. Compact artificial line phase shifter on ferroelectric thick-film ceramics. In Proceedings of the 2010 IEEE MTT-S International Microwave Symposium, Anaheim, CA, USA, 23–28 May 2010. [Google Scholar]
- Iftikhar, A.; Parrow, J.; Asif, S.; Braaten, B.D.; Allen, J.; Allen, M.; Wenner, B. On using magneto-static responsive particles as switching elements to reconfigure microwave filters. In Proceedings of the 2016 IEEE International Conference on Electro Information Technology (EIT), Grand Forks, ND, USA, 19–21 May 2016. [Google Scholar]
- Soufizadeh-Balaneji, N.; Rogers, D.A.; Braaten, B.D. New embodiments of static field micro-particle components for reconfigurable RF applications. In Proceedings of the 2019 IEEE MTT-S International Microwave Symposium (IMS) 2019, Boston, MA, USA, 2–7 June 2019. [Google Scholar]
- Iftikhar, A.; Asif, S.M.; Parrow, J.M.; Allen, J.W.; Allen, M.S.; Fida, A.; Braaten, B.D. Changing the operation of small geometrically complex EBG-based antennas with micron-sized particles that respond to magneto-static fields. IEEE Access 2020, 8, 78956–78964. [Google Scholar] [CrossRef]
- Iftikhar, A.; Parrow, J.M.; Asif, S.M.; Fida, A.; Allen, J.; Allen, M.; Braaten, B.D.; Anagnostou, D.E. Characterization of novel structures consisting of micron-sized conductive particles that respond to static magnetic field lines for 4G/5G (Sub-6 GHz) reconfigurable antennas. Electronics. 2020, 9, 903. [Google Scholar] [CrossRef]
- Iftikhar, A.; Parrow, J.; Asif, S.; Allen, J.; Allen, M.; Braaten, B.D. Improving the efficiency of a reconfigurable microstrip patch using magneto-static field responsive structures. Electron. Lett. 2016, 52, 1194–1196. [Google Scholar] [CrossRef]
- Jerika, C.; Mitra, D.; Lewis, J.; Braaten, B.D.; Allen, J.; Allen, M. Devolvement of a sub-unit cell consisting of capacitive gaps and magneto- static particles. In Proceedings of the 2019 IEEE Research and Applications of Photonics in Defense Conference (RAPID), Miramar Beach, FL, USA, 19–21 August 2019. [Google Scholar]
- Cleveland, J.; Lewis, J.; Mitra, D.; Braaten, B.D.; Allen, J.; Allen, M. On the image analysis of conducting magneto-responsive micro-particles for applications in leaky wave antenna beam steering. In Proceedings of the 2020 IEEE International Symposium on Antennas and Propagation and North American Radio Science Meeting, Montreal, QC, Canada, 5–10 July 2020. [Google Scholar]
- Cleveland, J.; Braaten, B.D.; Allen, M.; Allen, J.; Wenner, B. On using micron-sized silver coated particles to control the electromagnetic response of a metamaterial with complementary split ring resonators and wires in a host dielectric. In Proceedings of the 2018 IEEE Research and Applications of Photonics In Defense Conference (RAPID), Miramar Beach, FL, USA, 22–24 August 2018. [Google Scholar]
- Cleveland, J.; Lewis, J.; Mitra, D.; Braaten, B.D.; Allen, J.; Allen, M. On the phase shift of a microstrip transmission line loaded with magneto-responsive conducting micro-particles. In Proceedings of the 2020 IEEE International Symposium on Antennas and Propagation and North American Radio Science Meeting, Montreal, QC, Canada, 5–10 July 2020. [Google Scholar]
- Parrow, J.M.; Iftikhar, A.; Asif, S.M.; Allen, J.W.; Allen, M.S.; Wenner, B.R.; Braaten, B.D. On the bandwidth of a microparticle-based component responsive to magnetostatic fields. IEEE Trans. Electromagn. Compat. 2017, 59, 1053–1059. [Google Scholar] [CrossRef]
- Potters Industries LLC. Available online: http://www.pottersbeads.com/ (accessed on 12 December 2022).
- Parrow, J.M. Equivalent circuit modeling and signal integrity analysis of magneto-static responsive structures, and their applications in changing the effective permittivity of microstrip transmission lines. Ph.D. Thesis, Electrical and Computer Engineering Department, North Dakota State University, Fargo, ND, USA, 2016. [Google Scholar]
- Pozar, D.M. Microwave Engineering, 4th ed.; John Wiley and Sons, Ltd.: Hoboken, NJ, USA, 2011; p. 752. [Google Scholar]
- Braaten, B.D.; Roy, S.; Nariyal, S.; Aziz, M.A.; Chamberlain, N.F.; Irfanullah, I.; Reich, M.T.; Anagnostou, D.E. A self-adapting flexible (SELFLEX) antenna array for changing conformal surface applications. IEEE Trans. Antennas Propag. 2013, 61, 655–665. [Google Scholar] [CrossRef]
- Yang, K.; Zhao, Z.; Nie, Z.; Ouyang, J.; Liu, Q.H. Synthesis of conformal phased arrays with embedded element pattern decomposition. IEEE Trans. Antennas Propag. 2011, 59, 2882–2888. [Google Scholar] [CrossRef]








| Antenna | ||||||
|---|---|---|---|---|---|---|
| Calculated Phases From [33] | Achieved P-CRLH Phases in This Work | Calculated Phases from [33] | Achieved P-CRLH Phases in This Work | Calculated Phases from [33] | Achieved P-CRLH Phases in This Work | |
| 19.4374 | 19.081 | 17.4326 | 19.081 | 17.4326 | 19.081 | |
| 2.1630 | 2.309 | −44.6481 | −49.3426 | −88.0606 | −88.345 | |
| 2.1630 | 2.309 | −91.2355 | −93.649 | −178.0606 | −173.57 | |
| 19.4374 | 19.081 | −122.3297 | −119.68 | −252.5674 | −255.342 | |
| P-CRLH Phases | MRSs Activations (See Figure 1a for Numbering of Particle Activation in the Cavities | ||||
|---|---|---|---|---|---|
| Unit Cell-1 | Unit Cell-2 | Unit Cell-3 | Unit Cell-4 | ||
| 19.081 | 1, 9 | 1, 9 | 1, 9 | 1, 2, 9, 10 | |
| 2.309 | 1, 9 | 1, 9 | 1, 9 | 1, 8, 9, 16 | |
| 2.309 | 1, 9 | 1, 9 | 1, 9 | 1, 8, 9, 16 | |
| 19.081 | 1, 9 | 1, 9 | 1, 9 | 1, 2, 9, 10 | |
| 19.081 | 1, 9 | 1, 9 | 1, 9 | 1, 2, 9, 10 | |
| −49.3426 | 1–7, 9–15 | 1–7, 9–15 | 1–7, 9–15 | 1–7, 9–15 | |
| −93.649 | 1–5, 9–13 | 1–5, 9–13 | 1–5, 9–13 | 1–7, 9–15 | |
| −119.68 | 1–4, 9–12 | 1–4, 9–12 | 1–4, 9–12 | 1–7, 9–15 | |
| 19.081 | 1, 9 | 1, 9 | 1, 9 | 1, 2, 9, 10 | |
| −88.345 | 1, 5, 9, 13 | 1, 5, 9, 13 | 1,5, 9,13 | 1, 8, 9, 16 | |
| −173.57 | 1–3, 9–11 | 1–3, 9–11 | 1–3, 9–11 | 1–3, 9–11 | |
| −255.342 | 1, 9 | 1, 9 | 1, 9 | 1, 9 | |
| Peak Gain (dB) | First Sidelobe Level (dB) | |||
|---|---|---|---|---|
| Simulated | Measured | Simulated | Measured | |
| 9.48 | 8.93 | 13.1 | 10.3 | |
| 8.87 | 8.65 | 14.1 | 15.1 | |
| 8.68 | 8.49 | 12.9 | 15.2 | |
Disclaimer/Publisher’s Note: The statements, opinions and data contained in all publications are solely those of the individual author(s) and contributor(s) and not of MDPI and/or the editor(s). MDPI and/or the editor(s) disclaim responsibility for any injury to people or property resulting from any ideas, methods, instructions or products referred to in the content. |
© 2023 by the authors. Licensee MDPI, Basel, Switzerland. This article is an open access article distributed under the terms and conditions of the Creative Commons Attribution (CC BY) license (https://creativecommons.org/licenses/by/4.0/).
Share and Cite
Ayaz, M.; Iftikhar, A.; Braaten, B.D.; Khalil, W.; Ullah, I. A Composite Right/Left-Handed Phase Shifter-Based Cylindrical Phased Array with Reinforced Particles Responsive to Magneto-Static Fields. Electronics 2023, 12, 306. https://doi.org/10.3390/electronics12020306
Ayaz M, Iftikhar A, Braaten BD, Khalil W, Ullah I. A Composite Right/Left-Handed Phase Shifter-Based Cylindrical Phased Array with Reinforced Particles Responsive to Magneto-Static Fields. Electronics. 2023; 12(2):306. https://doi.org/10.3390/electronics12020306
Chicago/Turabian StyleAyaz, Muhammad, Adnan Iftikhar, Benjamin D. Braaten, Wesam Khalil, and Irfan Ullah. 2023. "A Composite Right/Left-Handed Phase Shifter-Based Cylindrical Phased Array with Reinforced Particles Responsive to Magneto-Static Fields" Electronics 12, no. 2: 306. https://doi.org/10.3390/electronics12020306
APA StyleAyaz, M., Iftikhar, A., Braaten, B. D., Khalil, W., & Ullah, I. (2023). A Composite Right/Left-Handed Phase Shifter-Based Cylindrical Phased Array with Reinforced Particles Responsive to Magneto-Static Fields. Electronics, 12(2), 306. https://doi.org/10.3390/electronics12020306

