Next Article in Journal
Lightweight Cryptography for Connected Vehicles Communication Security on Edge Devices
Next Article in Special Issue
Fault Detection-Based Multiple Local Manifold Learning and Its Application to Blast Furnace Ironmaking Process
Previous Article in Journal
AI-Enabled Framework for Mobile Network Experimentation Leveraging ChatGPT: Case Study of Channel Capacity Calculation for η-µ Fading and Co-Channel Interference
Previous Article in Special Issue
Blockchain Technology: Security Issues, Healthcare Applications, Challenges and Future Trends
 
 
Font Type:
Arial Georgia Verdana
Font Size:
Aa Aa Aa
Line Spacing:
Column Width:
Background:
Article

Smith-Predictor-Based Design of Analytical PI-PD Control for Series Cascade Processes with Time Delay

College of Electronic Information Engineering, Taiyuan University of Science and Technology, Taiyuan 030024, China
*
Author to whom correspondence should be addressed.
Electronics 2023, 12(19), 4089; https://doi.org/10.3390/electronics12194089
Submission received: 3 September 2023 / Revised: 21 September 2023 / Accepted: 26 September 2023 / Published: 29 September 2023
(This article belongs to the Special Issue Intelligent Manufacturing Systems and Applications in Industry 4.0)

Abstract

:
For series cascade processes with a time delay, such as the first-order with time-delay (FOTD) process, the integral with time-delay (ITD) process, second-order integral with time-delay (SOITD) process, and unstable first-order with time-delay (UFOTD) process, this paper proposes a Smith-predictor-based design of analytical PI-PD control for these series cascade processes with a time delay. Firstly, targeting the common FOTD model in the secondary loop, a controller with a PID structure is designed using the direct synthesis method. Additionally, a Smith-predictor-based PI-PD control structure is adopted for the prevalent process model in the primary loop. Then, expressions representing the relationship between the corresponding controller parameters and the maximum sensitivity (Ms) index are established to facilitate the analytical design of the controllers. Finally, based on simulation experiments, the effectiveness and superiority are validated by using the proposed method.

1. Introduction

In industrial production processes, time-delay processes are widely prevalent in industrial sectors such as chemical distillation columns, bioreactors, temperature control, and others. The time-delay characteristics can have adverse effects on the dynamic performance and stability of systems, making the control of time-delay processes a focal point of research in both industrial and control fields [1,2,3]. Due to its structure consisting of two closed loops, a cascade control has better disturbance rejection, rapidity, and adaptability when compared to a single loop. In fact, several control methods exist for a cascade process with time delay. For example, internal model control (IMC) and fractional-order control have been proposed for stable cascade time-delay processes [4], and the proposed methods effectively improved tracking accuracy and enhanced closed-loop performance. Two-degree-of-freedom control was applied to design controllers for the integral process in [5]. Generalized predictor control was introduced for a cascade unstable process with time delay in [6], with strong robustness and good tracking performance. An improved IMC method with an underdamped filter was proposed in [7]. A parallel cascade control consisting of a set-point controller, stabilizing controller, and disturbance compensator was proposed in [8]. A unified controller design method was presented for cascade processes based on pole placement and direct synthesis in [9]. These approaches have enhanced disturbance rejection capabilities and exhibited good tracking performance.
The aforementioned studies have shown that the cascade control method can effectively suppress disturbances in the primary loop. However, if the secondary loop exhibits a significant time delay, a satisfactory tracking performance is difficult to obtain using the methods proposed in [4,5,6,7,8,9]. Therefore, some scholars have incorporated the Smith-predictor control into cascade processes with time delay. The Smith-predictor control method is applied to processes with a time delay to reduce the secondary loop’s impact, as described in [10]. However, the traditional Smith predictor overly relies on process model accuracy, resulting in poor disturbance rejection. To achieve satisfactory control performance, recent efforts have been made to improve the Smith predictor [11,12]. For example, a cascade PID control with a filtered Smith predictor has been proposed in the primary loop [11]. An enhanced cascade control method was proposed in [12] based on the Smith predictor and the decomposition method. The above studies indicate that for open-loop unstable processes, when a standard Smith predictor is employed in the primary loop, the processes’ responses will result in a steady-state error. An improved cascade control structure was presented in [13], and the fractional-order IMC and fractional-order PI-PD control were employed in the secondary loop and primary loop, respectively. By designing a PI-PD-based Smith predictor, it is possible to effectively reduce the steady-state error generated by the controlled plants.
Based on the insights gained from the aforementioned studies, this paper proposes an analytical design of PI-PD control based on the Smith predictor for series cascade time-delay processes. By combining cascade control, Smith-predictor control, and the PI-PD control methods, we develop an analytical design approach for a Smith-predictor-based PI-PD controller. The proposed method involves three controllers, where a PID controller is employed in the secondary loop and an improved Smith-predictor control in the primary loop. Moreover, the analytical design methods are used to tune the controller parameters. Ultimately, the tracking performance and disturbance rejection capabilities are enhanced, while the robust stability of a closed-loop system can be ensured.
The remaining parts of this paper are organized as follows. In Section 2, the proposed control scheme for series cascade processes with time delay and the process models are introduced briefly. In Section 3, the design procedures for three controllers are presented. Section 4 explains the selection of the controller parameters and robustness analysis. In Section 5, simulation results are included to validate the performance benefits by using the proposed scheme to control the series cascade processes with time delay. Finally, the conclusion is given in Section 6.

2. Proposed Control Scheme

The proposed control scheme for cascade processes with time delay is shown in Figure 1, where r 1 and r 2 are the inputs of the secondary loop and primary loop, respectively; y 1 and y 2 are the outputs of the secondary loop and primary loop, respectively; d 1 and d 2 are the disturbances entering the secondary loop; and d 3 is the disturbance in the primary loop. G p 1 and G p 2 are the process models of the secondary loop and the primary loop, respectively. G p is the equivalent of the process model in the primary loop. G m is the minimum phase of G. Currently, for common cascade processes with time delay, the following FOTD model in the secondary loop is usually given:
G p 1 = K 1 T 1 s + 1 e L 1 s
where K 1 , L 1 , and T 1 are the gain, the time-delay constant, and the time constant of the process model in the secondary loop, respectively. Meanwhile, the FOTD process, the ITD process, the SOITD process, and the UFOTD process in the primary loop are considered as follows:
G p 2 = K 2 T 2 s + 1 e L 2 s
G p 2 = K 2 s e L 2 s
G p 2 = K 2 s ( T 2 s + 1 ) e L 2 s
G p 2 = K 2 T 2 s 1 e L 2 s
where K 2 , L 2 , and T 2 are the process gain, the time-delay constant, and the time constant of the process model, respectively.
In this paper, the controller C 1 with PID structure is designed in the secondary loop, and the controllers G c and G c d with PI and PD structure in the primary loop are designed as follows. In (6), K p 1 , T i 1 , and T d 1 represent the proportional, integral, and derivative gains, respectively, of C 1 . K c and T i are the proportional and integral gains, respectively, of G c · K p and T d are the proportional and derivative gains, respectively, of G c d .
C 1 = K p 1 ( 1 + 1 T i 1 s + T d 1 s ) , G c = K c ( 1 + 1 T i s ) , G cd = K p ( 1 + T d s )
The following transfer functions from the input r to the output y and from the disturbance d 2 to the output y in the secondary loop shown in Figure 1 can be obtained as follows.
y 1 r = C 1 G p 1 1 + C 1 G p 1 , y 1 d 2 = 1 1 + C 1 G p 1
Similarly, the transfer functions from the input r 2 to the output y 2 and from the disturbance d 3 to the output y 2 in the primary loop are derived as follows
y 2 r 2 = G c G m 1 + G c G m e θ m s , y 2 d 3 = G p 1 + G cd G p
It is clearly seen from (7) and (8) that the tracking performances and disturbance rejections in the primary loop are determined by the controllers G c and G c d , respectively. The detailed design procedures of the controllers G c and G c d are stated in Section 3.

3. Controller Design

The designed controllers mainly include the controller in the secondary loop and the controller in the primary loop, as shown in Figure 1. In this paper, the PID controller for the FOPTD process in the secondary loop and controller with PI-PD structure for the FOPTD process, the IPTD process, the SOIPTD process, and the UFOPTD process are designed.

3.1. Controller Design in the Secondary Loop

In this section, the controller in the secondary loop is designed by the Maclaurin series expansion of the closed-loop transfer function G A 1 ( s ) following the expansion of the desired transfer function G d 1 ( s ) . The transfer functions G A 1 ( s ) and G d 1 ( s ) are given as follows:
G A 1 ( s ) = y 1 r = C 1 G p 1 1 + C 1 G p 1 , G d 1 ( s ) = e L 1 s λ 1 s + 1
where λ 1 is an adjustable tuning parameter. The controller C 1 with PID structure in the secondary loop can be simplified to
C 1 ( s ) = K p 1 s C ˜ 1 ( s )
where C ˜ 1 ( s ) = ( s + 1 / T i 1 + T d 1 s 2 ) . Then, the closed-loop transfer function G A 1 ( s ) in (9) can be rearranged as
G A 1 ( s ) = K p 1 C ˜ 1 G p 1 s + K p 1 C ˜ 1 G p 1
Next, the transfer functions G A 1 ( s ) and G d 1 ( s ) in (9) can be separately expanded by the following Maclaurin series.
G A 1 ( s ) = G A 1 ( 0 ) + s G A 1 ( 0 ) + s 2 2 ! G A 1 ( 0 ) + s 3 3 ! G A 1 ( 0 ) + G d 1 ( s ) = G d 1 ( 0 ) + s G d 1 ( 0 ) + s 2 2 ! G d 1 ( 0 ) + s 3 3 ! G d 1 ( 0 ) +
Taking G A 1 ( s ) = G d 1 ( s ) , the parameters of the controller C 1 with PID structure can be calculated as follows
K p 1 = T i 1 K 1 ( L 1 + λ 1 ) , T i 1 = L 1 2 2 ( L 1 + λ 1 ) + T 1 , T d 1 = L 1 2 ( 3 L 1 / T i 1 ) 6 ( L 1 + λ 1 )

3.2. Controller Design in the Primary Loop

In this section, the controller G c d in the primary loop is designed by a PD controller based on the secondary loop, and the Routh–Hurwitz stability criterion is utilized to determine the range of controller parameters. Taking the ITD process in the primary loop as an example, the detailed design procedure of the controller is demonstrated as follows. Now, the transfer functions of the closed loop are obtained by
G p = y 2 r = k 2 e ( L 1 + L 2 ) s s ( λ 1 s + 1 ) , G = G p 1 + G p G cd = k e θ s s ( λ 1 s + 1 ) + k p k ( 1 + T d s ) e θ s
The time delay term of G can be approximated by a first-order Pade approximation. Letting e θ s ( 1 0.5 θ s ) / ( 1 + 0.5 θ s ) and T d = 0.5 θ , then the closed-loop transfer functions G can yield
G = k e θ s s ( λ 1 s + 1 ) + k p k ( 1 + T d s ) 1 0.5 θ s 1 + 0.5 θ s = k e θ s λ 1 s 2 + a 1 s + a 0
where a 1 = 1 0 . 5 k k p θ , and a 0 = k k p . When the characteristic polynomial G in (15) satisfies the Routh–Hurwitz stability criterion, the controller parameters should meet 0 < k p < 1 / 0.5 k θ and T d = 0.5 θ .
Similarly, for the FOTD process, the ITD process, and the SOITD process, the parameter tuning of controller G c in the primary loop for the series processes in (2)–(5) are shown in Table 1.
Furthermore, the controller parameters with PI structure in the primary loop can be obtained by matching the Maclaurin expansion terms of the desired transfer function and the closed-loop transfer function of the primary loop. Taking the ITD process in the primary loop as an example, the following controller G c can be collapsed into
G c ( s ) = k c ( 1 + 1 T i s ) = k c s G ˜ c ( s )
where G ˜ c ( s ) = s + 1 T i . Then, the closed-loop transfer function in the outer loop is obtained as follows:
G A ( s ) = y 2 ( s ) r 2 ( s ) = G c ( s ) G ( s ) 1 + G c ( s ) [ G m ( s ) + G m ( s ) e θ m s G ( s ) ] = k c G ˜ c ( s ) G m ( s ) e θ m s s + k c G ˜ c ( s ) G m ( s ) = k k c ( s + 1 T i ) e θ s λ 1 s 3 + a 1 s 2 + ( a 0 + k c k ) s + k c k T i
If it is assumed that the desired transfer function in the primary loop is G d ( s ) = e θ s ( λ 2 s + 1 ) 3 , then the transfer functions G A ( s ) and G d ( s ) are expanded by the following Maclaurin series:
G A ( s ) = G A ( 0 ) + s G A ( 0 ) + s 2 2 ! G A ( 0 ) + G d ( s ) = G d ( 0 ) + s G d ( 0 ) + s 2 2 ! G d ( 0 ) +
where G A ( 0 ) = θ T i a 0 K c K , G A ( 0 ) = θ 2 + 2 a 0 T i K K c ( a 0 T i K K c + T i + θ a 1 a 0 ) , G d ( 0 ) = θ 3 λ 2 , and G d ( 0 ) = θ 2 + 6 λ 2 θ + 12 λ 2 2 . Taking G A ( s ) = G d ( s ) , the parameters of controller G c are obtained as follows:
k c = a 0 T i 3 k λ 2 , T i = a 1 a 0 λ 2
where a 1 = 1 0.5 k k p θ and a 0 = k k p . λ 2 is the only parameter to be rectified for the G c controller. For the series cascade processes in (2)–(5), the parameter settings of the G c controller for the process models are shown in Table 2.

4. Parameter Tuning and Robustness Analysis

In this section, the expressions representing the relationship between the corresponding controller parameters and the maximum sensitivity index are established to achieve the analytical design of the controller parameters. Subsequently, this section analyzes the robustness of the system.

4.1. Parameter Tuning

The maximum sensitivity ( M s ) function is considered to be an effective robust performance index in the closed-loop system [14]. In this paper, the tuning method is proposed by establishing the analytic relationship between the M s index and the controller parameter. Here, the maximum sensitivity M s is defined as follows:
M s = max 0 ω < 1 1 + L ( j ω )
where L ( j ω ) = C ( j ω ) G ( j ω ) is the open-loop transfer function. The value of M s is usually selected within the interval [1.2, 2.0]. In order to realize the controller parameters’ tuning, the M s 1 index of the secondary loop is defined as follows:
M s 1 = max ω 1 1 + C 1 ( j ω ) G p 1 ( j ω )
Based on the expressions of C 1 ( j ω ) in (6) and G p 1 ( j ω ) in (1), Equation (21) can be rewritten as
M s 1 = max ω 1 / ( 1 + e j L 1 ω j λ 1 ω + 1 e j L 1 ω ) = max ω 1 / ( 1 + e j L 1 ω j λ 1 L 1 L 1 ω + 1 e j L 1 ω )
Considering L 1 ω as a whole, the relationship between the M s 1 index and λ 1 / L 1 is displayed in Figure 2. Meanwhile, the analytical expression between the controller parameters λ 1 and M s 1 can be obtained as follows.
λ 1 = L 1 ( 0.07067 M s 1 + 0.1871 M s 1 3 4.106 M s 1 2 + 5.809 M s 1 2.696 )
Moreover, the maximum sensitivity of the closed-loop transfer function containing the controller is defined as
M s = 1 / ( 1 + G p ( j ω ) G c d ( j ω ) )
where G c d ( s ) = K p ( 1 + 1.5 s ) and G p ( s ) = 2 e 3 s s ( 0.5 s + 1 ) . Similar to the analytical expression shown in (23), the controller parameter K p can be obtained as follows:
K p = 0.2742 M s 0.8625 + 0.2737
Meanwhile, it is clearly seen from (19) that the parameter λ 2 is only one parameter of the controller G c in the primary loop. Similar to the selection for the parameter λ 1 in (23), we must first obtain the following open-loop transfer function in the primary loop:
l 1 ( s ) = G c ( s ) G ( s )
where G = k e θ s λ 1 s 2 + ( 1 0.5 θ k p k ) s + k p k and G c = K c ( 1 + 1 T i s ) .
In order to reduce the difficulty of controller design, the transfer function G ( s ) is approximated with the following FOTD model by the half-rule model reduction method:
G ( s ) = K 1 ( 1 p 1 s ) ( τ a s + 1 ) ( τ b s + 1 ) e θ 1 s K t ( τ t s + 1 ) e θ t s
where τ a τ b , K t = K 1 , τ t = τ a + τ b / 2 , and θ t = θ 1 + τ b / 2 + p 1 .
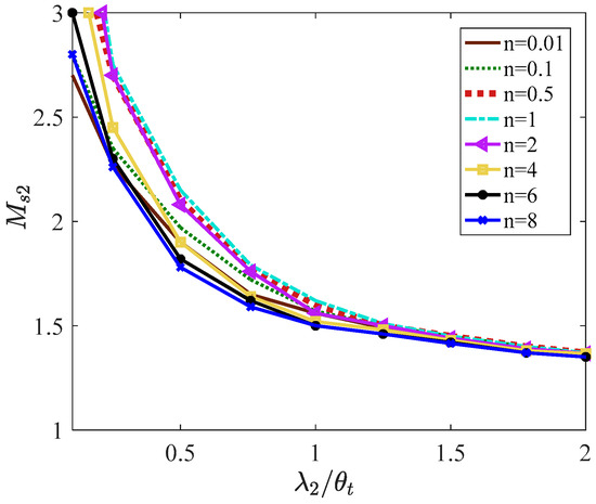
Similar to Figure 2, Figure 3 describes the relationship between the M s 2 index and λ 2 / θ t using the fitting toolbox of MATLAB. Then, the analytical expression for the relationship between the M s 2 index and the parameter λ 2 can be obtained as follows:
λ 2 = θ t ( M s 2 C 2 A 2 ) 1 B 2 , 0.01 t 8
where M s 2 = 1 / ( 1 + G c ( s ) G ( s ) ) , n = θ t / τ t , A 2 = 1.578 e 1.468 n + 0.992 e 0.013 n , B 2 = 0.553 e 0.044 n + 0.411 e 1.255 n , and C 2 = 0.636 e 0.006 n 1.612 e 1.692 n .

4.2. Robustness Analysis

The model for the general controller design is an approximate estimation of the process dynamics. Hence, the controller design needs to be analyzed for the robust stability of a closed-loop system with uncertainties, and the sufficient and necessary condition for robust stabilization is given as follows:
T ( j ω ) l m ( j ω ) < 1 , ω 0
where T ( j ω ) is the complementary sensitivity function, and l m ( j ω ) is the uncertainty norm bound. In order to analyze the robust stability of a closed-loop system, when the model parameters contain uncertainties, the following three cases should be considered.
When the time-delay constant contains uncertainties, the complementary sensitivity function in (27) should be satisfied as follows:
T ( j ω ) < 1 e j Δ L ω 1 , ω 0
When both the time-delay constant and the process gain contain uncertainties, the following inequality should be satisfied as follows:
T ( j ω ) < 1 ( 1 + Δ K K ) e j Δ L ω 1 , ω 0
When the time constant, the time-delay constant, and process gain contain uncertainties, the inequality should be satisfied as follows:
T ( j ω ) < ( T + Δ T ) j ω + 1 ( T j ω + 1 ) ( 1 + Δ K K ) e j Δ L ω ( ( T + Δ T ) j ω + 1 ) , ω 0

5. Simulation Examples

In this section, simulation examples are employed to illustrate the effectiveness and superiority of the proposed method. The FOTD process, ITD process, SOITD process, and UFOTD process are presented in the following examples. In these simulations, the integral absolute error (IAE), the integral square error (ISE), and the integral time absolute error (ITAE) are used as the evaluation indices for the superiority of the proposed method.
Example 1.
The following cascade FOTD process is considered in [4,15].
G p 1 = 1 s + 1 e 0.3 s , G p 2 = 1 5 s + 1 e 1.5 s
When the maximum sensitivity M s 1 = 1.584 is selected in the secondary loop, the tuned parameter is obtained as λ 1 = 0 . 1269 by (23). Then, the PID controller parameters in (13) can be calculated as K p 1 = 2.589 , T i 1 = 1.105 , and T d 1 = 0.095 . Second, the maximum sensitivity M s 2 = 2 in the primary loop is selected, and the tuned parameters are obtained as K c = 0.1424 , T i = 0.1514 . Moreover, when the selection for the maximum sensitivity in the primary loop is M s = 1.7 , the parameters of the controller G c d are K p = 1.9 , T d = 0.9 .
Finally, the proposed method is simulated by giving a unit step signal in the set point at t = 0 s and the unit step inputs as the load disturbances d 1 = d 2 = d 3 = 1 at t = 100   s , 200   s , 300   s , respectively. The closed-loop responses and the evaluation indices for nominal processes are displayed in Figure 4 and Table 3 based on the methods in [4,15], respectively. A cascade control system with the secondary loop being PID and the primary loop consisting of a PID structure with a fractional-order filter was proposed in [4]. A cascade control structure based on the two-degree-of-freedom PID was introduced in [15]. The performance indicators in this proposed method are superior to the methods in both [4,15]. Method [4] exhibits a relatively large overshoot and slower response speed. Method [15] demonstrates better disturbance rejection but has a longer adjustment time. It can be seen from the comparative simulation results that the tracking performance and disturbance rejection capabilities can be enhanced by the proposed method.
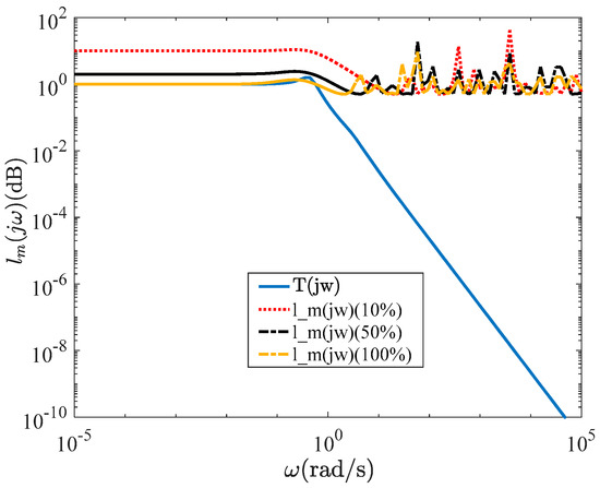
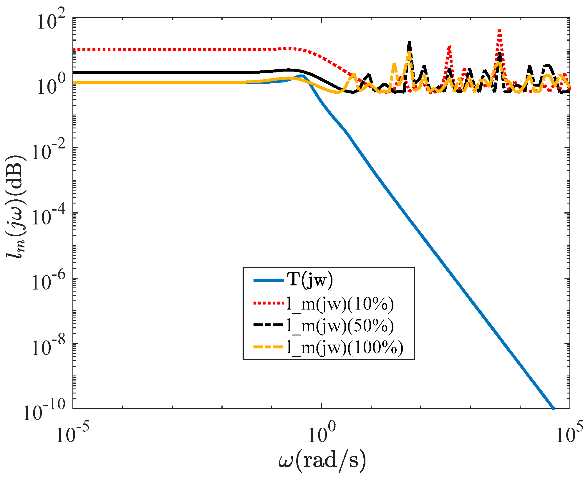
In order to further verify the robustness of a closed-loop system, the model parameters were perturbed by +10%. The responses with the parameter perturbation are shown in Figure 5. Moreover, the evaluation indices were evaluated by the IAE, ISE, and ITAE, as shown in Table 3. In this way, it can be seen that the proposed process can still maintain robust closed-loop performance under parameter perturbation. In addition, the model parameters for the time-delay constant, the time constant, and the gain in the primary loop are increased by +10%, +50%, and +100%, respectively, and the magnitude of the complementary sensitivity function versus the uncertainty norm bound is shown in Figure 6. The results indicate that when the uncertainties for the time-delay constant, the time constant, and the gain are less than +100%, the robust stability criterion T ( j ω ) < l m ( j ω ) is ensured. Thus, it is obviously seen that the proposed method has better disturbance rejection performance and robustness.
Example 2.
The following cascade ITD process is considered in [14,16].
G p 1 = 4 s + 1 e s , G p 2 = 2 s e 2 s
Firstly, the maximum sensitivity in the secondary loop is set at M s 1 = 1.474 , and the parameters of controller C 1 are calculated as K p 1 = 0.21 , T i 1 = 1.32 , T d 1 = 0.239 . When the maximum sensitivity M s 2 = 1.9 is selected in the primary loop, the controller G c parameters can be calculated as λ 2 = 2.4 , K c = 0.01473 , T i = 1.05 . Then, the parameters of controller G c d are K p = 0.101 , T d = 1.5 when the maximum sensitivity M s is 1.7. The responses were generated by introducing the load disturbances d2 and d 3 and with step inputs with amplitude −0.1 at t = 80 s and t = 170 s. The closed-loop responses and the evaluation indices are exhibited in Figure 7 and Table 4 based on the methods proposed in [14,16], respectively. Reference [14] proposed an improved cascade control structure with a PI controller in the secondary loop and a PI-P structure in the primary loop. Compared to the method proposed in this paper, this control method exhibits a larger overshoot and a longer settling time. In reference [16], a PI-PD Smith structure was employed in the primary loop. However, this structure involves the design of multiple controllers and the tuning of parameters for multiple controllers, increasing the complexity of the control system and requiring significant design effort. It is demonstrated that the fastest response speed and the strongest disturbance rejection abilities can be acquired by the proposed method.
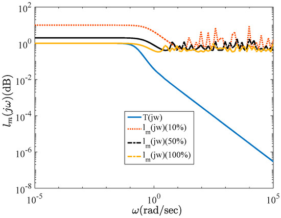
Finally, in order to verify the robustness of the proposed method, it is assumed that the gain and the time-delay constant of the process model generate +10% perturbation. The step responses with the parameter perturbed is revealed in Figure 8, and the evaluation indices are shown in Table 4. It can be seen that the proposed method has less performance loss when parameter perturbation occurs. In addition, the time-delay constant, time constant, and gain of the model in the primary loop are increased by +10%, +50%, and +100%, respectively. The magnitude of the complementary sensitivity function versus the uncertainty boundaries can be seen in Figure 9. This reveals that the proposed method has better tracking performance and robustness.
Example 3.
The following cascade SOIPTD process is considered in [14,17].
G p 1 = 2 s + 1 e 2 s , G p 2 = 1 s ( 3.4945 s + 1 ) e 6.5672 s
When the maximum sensitivity M s 1 of the secondary loop is set to 1.857, the tuning parameter λ 1 is 0.326, and the controller C 1 parameters can be calculated as K p 1 = 0.399 , T i 1 = 1.858 , and T d 1 = 0.55 . Similarly, the maximum sensitivity M s 2 in the primary loop is considered to be 1.52, and the controller G c parameters are obtained as K c = 0.0039 and T i = 1.598 . Meanwhile, when the maximum sensitivity of the loop containing the controller G c d is set to M s = 1.517 , the controller G c d parameters in the primary loop are K p = 0.064 and T d = 4.284 .
Simulations were conducted by giving a set point with magnitude 1 at t = 0 s, and the disturbance signals d 1 = d 2 = 0.1 were added at 200 s and 500 s, respectively. The responses and the evaluation indices of the closed loop for the nominal process are displayed in Figure 10 and Table 5 based on the methods proposed in [14,17], respectively. Reference [14] proposed an improved cascade control structure with a PI controller in the secondary loop and a PI-P structure in the primary loop. Compared to the method proposed in this paper, this control method exhibits a larger overshoot and a longer settling time. The control structure introduced in reference [17] involves two controllers and a setpoint filter. This control method is simple but has a slower response rate. It is found from the comparative simulation results that the closed-loop system has a faster response speed and stronger disturbance rejection abilities in the proposed method.
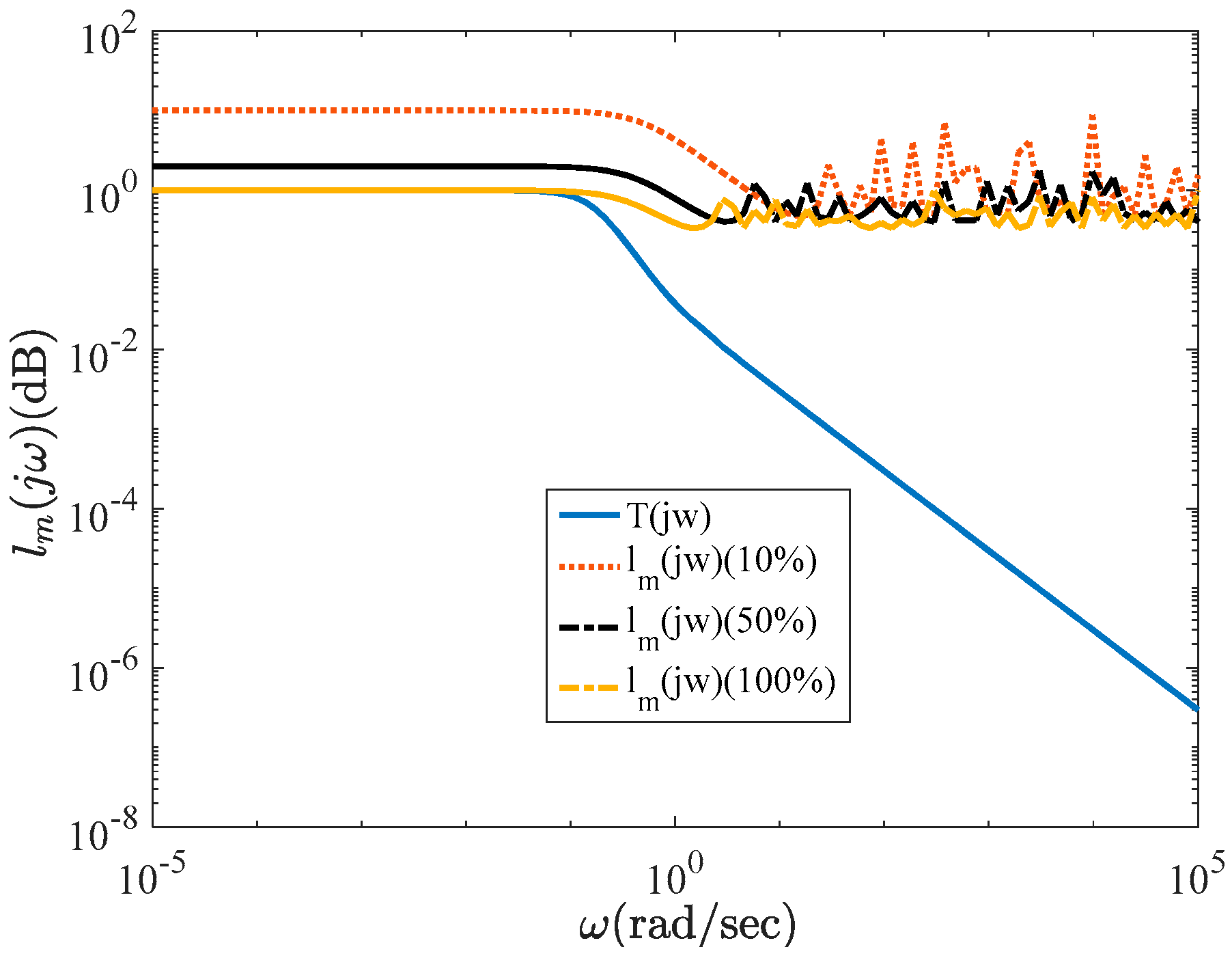
In order to verify the robustness of the proposed method, perturbations of +10% for the process gain and +10% for the time-delay constant were considered simultaneously. The response curves under parameter perturbation are shown in Figure 11, and the evaluation indices are shown in Table 5. It is demonstrated from the simulation results that the proposed method still maintains better tracking performance under parameter perturbation. In addition, the time-delay constant, the time constant, and the process gain are simultaneously increased by +10%, +50%, and +100%; the magnitude plot of the complementary sensitivity function in (32) and the uncertainty boundary are shown in Figure 12. It is seen that when the time-delay constant, the time constant, and the process gain contain uncertainties, the conditions of robust stability T ( j ω ) < l m ( j ω ) in (32) can be satisfied.
Example 4.
The following cascade UFOTD process is considered in [11,18].
G p 1 = 2 s + 1 e 2 s , G p 2 = 1 10 s 1 e 5 s
The controller C 1 parameter is obtained as K p 1 = 0.32 , T i 1 = 1.737 , and T d 1 = 0.454 by (13) when the maximum sensitivity M s 1 of the secondary loop is set at 1.642. Similarly, the controller G c parameters are λ 2 = 3.468 , K c = 0.364 , and T i = 7.57465 when the maximum sensitivity of the primary loop is set at M s 2 = 2 . Then, the controller G c d parameters in the primary loop are set at K p = 1.5 and T d = 2.5 . Meanwhile, the setpoint r 2 = 1 at t = 0 is given, and the disturbances d 1 = d 3 = 0.5 at t = 200 s and 400 s, respectively, are added. Figure 13 and Table 6 show the responses and the evaluation indices for the nominal process by the different methods. In reference [11], for the unstable cascade time-delay process, an improved Smith-predictor-based cascade control method was proposed, but this method has a longer adjustment time. The scheme of Reference [18] uses the Smith predictor with IMC, with three different controllers for stabilizing, setpoint, and disturbance compensation. However, this method exhibits poor disturbance rejection capabilities under parameter perturbations. The comparative simulation experiments verified that the closed-loop system has a faster response and stronger disturbance rejection abilities with the proposed method.
Moreover, the robust stability of a closed-loop system was analyzed by introducing variations of +10% in the model parameter; the step responses and evaluation indices for the perturbed process are displayed in Figure 14 and Table 6, respectively. It can be concluded that satisfactory tracking performances can be maintained by the proposed method. In addition, the time-delay constant, the time constant, and the process model gain in the primary loop are increased by +10%, +50%, and +100%, respectively; the magnitude of the complementary sensitivity function and uncertainty boundary is plotted in Figure 15. This demonstrates that the robust stability criterion inequality condition T ( j ω ) < l m ( j ω ) is guaranteed under the model parameter uncertainties.

6. Conclusions

This paper introduces an analytical design for the PI-PD control based on the Smith predictor for series cascade time-delay processes. This approach avoids arbitrary parameter tuning and concurrently attains excellent closed-loop control performance and robustness. Firstly, by matching the practical closed-loop transfer function and the desired closed-loop transfer function, the controller with PID structure in the secondary loop was designed. Meanwhile, a PI-PD Smith predictor was utilized in the primary loop, and the analytical expressions for the parameters of the PD and PI controllers were obtained using direct synthesis and the Routh–Hurwitz stability criterion. Moreover, the analytical expressions for characterizing the relationship between the controller parameters and the maximum sensitivity were derived from the primary loop and the secondary loop. Finally, comparative experiments were conducted with existing control methods to verify the effectiveness and superiority of this method.
This paper mainly focuses on relevant simulations for the control of typical linear cascade processes with time delay [4,11,14,15,16,17,18]. Nevertheless, due to the limitations of current studies, the control method for cascade processes with nonlinearity will be considered in the future. Meanwhile, the authors will conduct industrial validation of the proposed control method based on an actual process plant.

Author Contributions

M.L.: investigation, methodology, validation, supervision. M.X.: conceptualization, methodology, software, writing—review and editing, formal analysis. Z.Z.: supervision, formal analysis, funding acquisition. J.W.: writing—review and editing, validation. X.H.: writing—review and editing, methodology, validation. All authors have read and agreed to the published version of the manuscript.

Funding

This research was funded by the National Natural Science Foundation of China under grant number 62003077, the Science and Technology Development Foundation of Central-Guided Local under grant number YDZJSX20231A047, the Initial Scientific Research Fund of Taiyuan University of Science and Technology under grant number 20232021, the Key Research and Development Program of Shanxi Province under grant number 2022ZDYF069, 202102020101005, and the Fundamental Research Program of Shanxi Province under grant number 20210302123210.

Data Availability Statement

Not applicable.

Conflicts of Interest

The authors declare no conflict of interest.

References

  1. Gao, J.; Xu, X.; Li, X.; Zhang, J.; Zhang, Y.; Wei, G. Model-based space temperature cascade control for constant air volume air-conditioning system. Build. Environ. 2018, 145, 308–318. [Google Scholar] [CrossRef]
  2. Qin, Y.; Li, N.; Zhang, H.; Liu, B. Study on the performance of an energy-efficient three-stage auto-cascade refrigeration system enhanced with a pressure regulator. Energy 2022, 258, 124872. [Google Scholar] [CrossRef]
  3. Mao, J.; Yang, Z.; Zhang, S. Simulation of Liquid Level Cascade Control System Based on Genetic Fuzzy PID. In Proceedings of the 2022 5th International Conference on Robotics, Control and Automation Engineering (RCAE), Changchun, China, 28–30 October 2022; pp. 40–44. [Google Scholar]
  4. Ranganayakulu, R.; Seshagiri Rao, A.; Uday Bhaskar Babu, G. Analytical design of fractional IMC filter–PID control strategy for performance enhancement of cascade control systems. Int. J. Syst. Sci. 2020, 51, 1699–1713. [Google Scholar] [CrossRef]
  5. Ajmeri, M.; Ali, A. Direct synthesis based tuning of the parallel control structure for integrating processes. Int. J. Syst. Sci. 2015, 46, 2461–2473. [Google Scholar] [CrossRef]
  6. Bhaskaran, A.; Rao, A.S. Predictive control of unstable time delay series cascade processes with measurement noise. ISA Trans. 2020, 99, 403–416. [Google Scholar] [CrossRef] [PubMed]
  7. Begum, K.G. Design of a simple control strategy for time-delayed unstable series cascade processes. Arab. J. Sci. Eng. 2022, 47, 6679–6691. [Google Scholar] [CrossRef]
  8. Raja, G.L.; Ali, A. Modified parallel cascade control strategy for stable, unstable and integrating processes. ISA Trans. 2016, 65, 394–406. [Google Scholar] [CrossRef] [PubMed]
  9. Siddiqui, M.A.; Anwar, M.N.; Laskar, S.H.; Mahboob, M.R. A unified approach to design controller in cascade control structure for unstable, integrating and stable processes. ISA Trans. 2021, 114, 331–346. [Google Scholar] [CrossRef] [PubMed]
  10. Safaei, M.; Tavakoli, S. Smith predictor based fractional-order control design for time-delay integer-order systems. Int. J. Dyn. Control 2018, 6, 179–187. [Google Scholar] [CrossRef]
  11. Yin, C.Q.; Wang, H.T.; Sun, Q.; Zhao, L. Improved cascade control system for a class of unstable processes with time delay. Int. J. Control Autom. Syst. 2019, 17, 126–135. [Google Scholar] [CrossRef]
  12. Raja, G.L.; Ali, A. Enhanced tuning of Smith predictor based series cascaded control structure for integrating processes. ISA Trans. 2021, 114, 191–205. [Google Scholar] [CrossRef] [PubMed]
  13. Chandran, K.; Murugesan, R.; Gurusamy, S.; Mohideen, K.A.; Pandiyan, S.; Nayyar, A.; Nam, Y. Modified cascade controller design for unstable processes with large dead time. IEEE Access 2020, 8, 157022–157036. [Google Scholar]
  14. Raja, G.L.; Ali, A. Modified series cascade control strategy for integrating processes. In Proceedings of the 2018 Indian Control Conference (ICC), Kanpur, India, 4–6 January 2018; pp. 252–257. [Google Scholar]
  15. Alfaro, V.M.; Vilanova, R.; Arrieta, O. Two-degree-of-freedom PI/PID tuning approach for smooth control on cascade control systems. In Proceedings of the 47th IEEE Conference on Decision and Control, Cancun, Mexique, 9–11 December 2008; pp. 5680–5685. [Google Scholar]
  16. Kaya, İ.; Atherton, D.P. Use of Smith predictor in the outer loop for cascaded control of unstable and integrating processes. Ind. Eng. Chem. Res. 2008, 47, 1981–1987. [Google Scholar] [CrossRef]
  17. Padhan, D.G.; Majhi, S. Enhanced cascade control for a class of integrating processes with time delay. ISA Trans. 2013, 52, 45–55. [Google Scholar] [CrossRef] [PubMed]
  18. Mukherjee, D.; Raja, G.L.; Kundu, P. Optimal fractional order IMC-based series cascade control strategy with dead-time compensator for unstable processes. J. Control Autom. Electr. Syst. 2021, 32, 30–41. [Google Scholar] [CrossRef]
Figure 1. Smith-predictor-based PI-PD control scheme for cascade processes with time delay.
Figure 1. Smith-predictor-based PI-PD control scheme for cascade processes with time delay.
Electronics 12 04089 g001
Figure 2. The relationship between λ 1 / L 1 and the M s 1 index.
Figure 2. The relationship between λ 1 / L 1 and the M s 1 index.
Electronics 12 04089 g002
Figure 3. The relationship between the M s 2 index and λ 2 / θ t .
Figure 3. The relationship between the M s 2 index and λ 2 / θ t .
Electronics 12 04089 g003
Figure 4. Nominal process responses for Example 1 [4,15].
Figure 4. Nominal process responses for Example 1 [4,15].
Electronics 12 04089 g004
Figure 5. Perturbed process responses for Example 1 [4,15].
Figure 5. Perturbed process responses for Example 1 [4,15].
Electronics 12 04089 g005
Figure 6. Magnitude plots for complementary sensitivity function and uncertainty norm bound for Example 1.
Figure 6. Magnitude plots for complementary sensitivity function and uncertainty norm bound for Example 1.
Electronics 12 04089 g006
Figure 7. Nominal process responses for Example 2 [14,16].
Figure 7. Nominal process responses for Example 2 [14,16].
Electronics 12 04089 g007
Figure 8. Perturbed process responses for Example 2 [14,16].
Figure 8. Perturbed process responses for Example 2 [14,16].
Electronics 12 04089 g008
Figure 9. Magnitude plots for complementary sensitivity function and uncertainty norm bound for Example 2.
Figure 9. Magnitude plots for complementary sensitivity function and uncertainty norm bound for Example 2.
Electronics 12 04089 g009
Figure 10. Nominal process responses for Example 3 [14,17].
Figure 10. Nominal process responses for Example 3 [14,17].
Electronics 12 04089 g010
Figure 11. Perturbed process responses for Example 3 [14,17].
Figure 11. Perturbed process responses for Example 3 [14,17].
Electronics 12 04089 g011
Figure 12. Magnitude plots for complementary sensitivity function and uncertainty norm bound for Example 3.
Figure 12. Magnitude plots for complementary sensitivity function and uncertainty norm bound for Example 3.
Electronics 12 04089 g012
Figure 13. Nominal process responses for Example 4 [11,18].
Figure 13. Nominal process responses for Example 4 [11,18].
Electronics 12 04089 g013
Figure 14. Perturbed process responses for Example 4 [11,18].
Figure 14. Perturbed process responses for Example 4 [11,18].
Electronics 12 04089 g014
Figure 15. Magnitude plots for complementary sensitivity function and uncertainty norm bound for Example 4.
Figure 15. Magnitude plots for complementary sensitivity function and uncertainty norm bound for Example 4.
Electronics 12 04089 g015
Table 1. Summary of the controller G c d parameter settings for the series processes in (2)–(5).
Table 1. Summary of the controller G c d parameter settings for the series processes in (2)–(5).
G p 2 G c d
FOTD 1 k < k p < λ 1 + T 2 0.5 k θ , T d = 0.5 θ
ITD 0 < k p < 1 0.5 k θ , T d = 0.5 θ
SOITD 0 < k p < 1 0.5 k θ , T d = 0.5 θ
UFOTD 1 k < k p < T 2 λ 1 0.5 k θ , T d = 0.5 θ
Table 2. Summary of the controller G c parameter settings for the series processes in (2)–(5).
Table 2. Summary of the controller G c parameter settings for the series processes in (2)–(5).
G p 2 G c
FOTD k c = a 0 T i 3 k λ 2 , T i = a 1 a 0 λ 2 a 1 = λ 1 + T 2 0.5 k k p θ , a 0 = k k p + 1
ITD k c = a 0 T i 3 k λ 2 , T i = a 1 a 0 λ 2 a 1 = 1 0.5 k k p θ , a 0 = k k p
SOITD k c = a 0 T i 4 k λ 2 , T i = a 1 a 0 3 2 λ 2 a 1 = 1 0.5 k k p θ , a 0 = k k p
UFOTD k c = a 0 T i 3 k λ 2 , T i = a 1 a 0 λ 2 a 1 = T 2 λ 1 0.5 k k p θ , a 0 = k k p 1
Table 3. Evaluation indices of nominal process and perturbed process for Example 1.
Table 3. Evaluation indices of nominal process and perturbed process for Example 1.
Evaluation IndicesNominal ProcessPerturbed Process
IAEISEITAEIAEISEITAE
Proposed6.1743.305323.16.2383.419331.3
Ref. [4]6.5424.658510.97.1055.663517.1
Ref. [15]13.1905.6661080.013.7905.7771072.0
Table 4. Evaluation indices of nominal process and perturbed process for Example 2.
Table 4. Evaluation indices of nominal process and perturbed process for Example 2.
Evaluation IndicesNominal ProcessPerturbed Process
IAEISEITAEIAEISEITAE
Proposed20.8812.55222522.8413.012334
Ref. [16]26.317.76326227.3118.063397
Ref. [14]146.5156.632,250146.9157.632,290
Table 5. Evaluation indices of nominal process and perturbed process for Example 3.
Table 5. Evaluation indices of nominal process and perturbed process for Example 3.
Evaluation IndicesNominal ProcessPerturbed Process
IAEISEITAEIAEISEITAE
Proposed54.6330.93710056.3731.738416
Ref. [17]84.6542.4317,090111.459.9928,660
Ref. [14]642.91328398,721643.11333398,558
Table 6. Evaluation indices of nominal process and perturbed process for Example 4.
Table 6. Evaluation indices of nominal process and perturbed process for Example 4.
Evaluation IndicesNominal ProcessPerturbed Process
IAEISEITAEIAEISEITAE
Proposed34.3916.02731136.5316.187347
Ref. [11]50.3326.7311,54251.8127.0111,954
Ref. [18]51.1726.611,81558.6227.6511,734
Disclaimer/Publisher’s Note: The statements, opinions and data contained in all publications are solely those of the individual author(s) and contributor(s) and not of MDPI and/or the editor(s). MDPI and/or the editor(s) disclaim responsibility for any injury to people or property resulting from any ideas, methods, instructions or products referred to in the content.

Share and Cite

MDPI and ACS Style

Li, M.; Xin, M.; Zhao, Z.; Wang, J.; Hu, X. Smith-Predictor-Based Design of Analytical PI-PD Control for Series Cascade Processes with Time Delay. Electronics 2023, 12, 4089. https://doi.org/10.3390/electronics12194089

AMA Style

Li M, Xin M, Zhao Z, Wang J, Hu X. Smith-Predictor-Based Design of Analytical PI-PD Control for Series Cascade Processes with Time Delay. Electronics. 2023; 12(19):4089. https://doi.org/10.3390/electronics12194089

Chicago/Turabian Style

Li, Mingjie, Minyuan Xin, Zhicheng Zhao, Jianan Wang, and Xiao Hu. 2023. "Smith-Predictor-Based Design of Analytical PI-PD Control for Series Cascade Processes with Time Delay" Electronics 12, no. 19: 4089. https://doi.org/10.3390/electronics12194089

APA Style

Li, M., Xin, M., Zhao, Z., Wang, J., & Hu, X. (2023). Smith-Predictor-Based Design of Analytical PI-PD Control for Series Cascade Processes with Time Delay. Electronics, 12(19), 4089. https://doi.org/10.3390/electronics12194089

Note that from the first issue of 2016, this journal uses article numbers instead of page numbers. See further details here.

Article Metrics

Back to TopTop