AI-Enabled Framework for Mobile Network Experimentation Leveraging ChatGPT: Case Study of Channel Capacity Calculation for η-µ Fading and Co-Channel Interference
Abstract
:1. Introduction
- (1)
- We derive the expression for CC for the L-branch SC receiver in the case of η-µ multipath fading and η-µ CCI;
- (2)
- We present a QoS estimation model based on classifications within the Neo4j graph database, leveraging the previously derived CC as one of the inputs;
- (3)
- We propose a ChatGPT-based approach to automated Neo4j query generation, covering data import and classification using a meta-model.
2. Channel Capacity in the Presence of η-µ Fading and CCI
2.1. Derivation of the PDF of the Receiver’s Output Signal-to-Co-Channel Interference Ratio
2.2. Channel Capacity Derivation
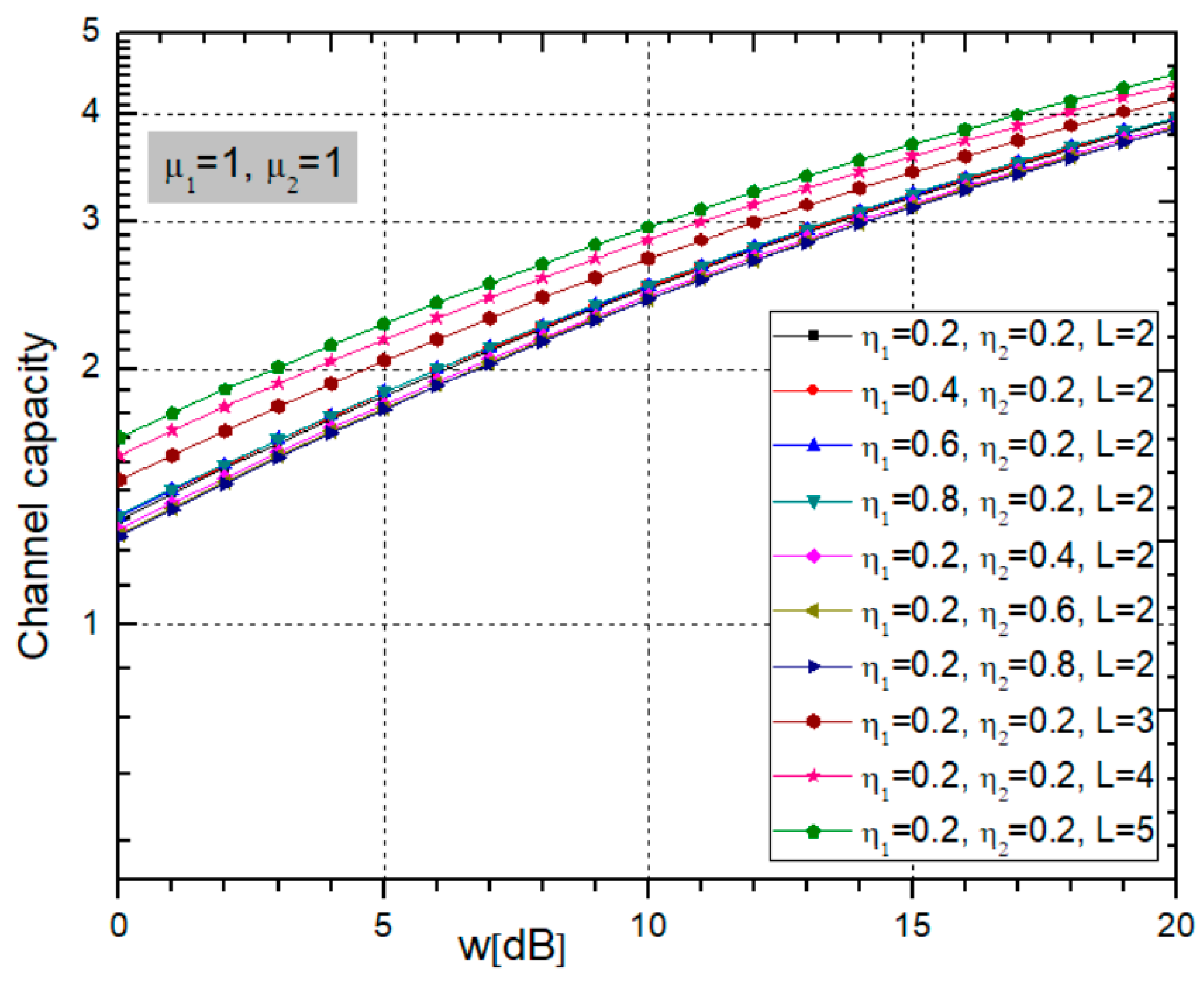
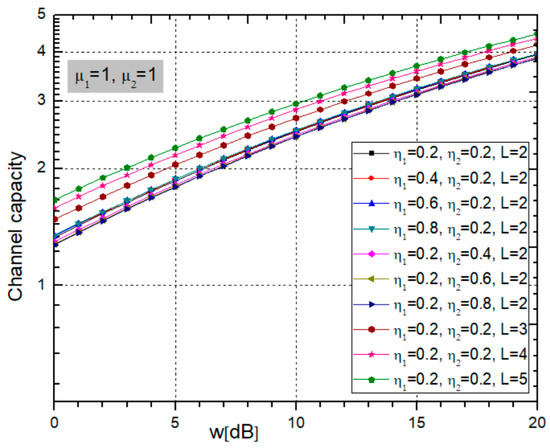
2.3. Analysis of Parameters’ Influence on the Channel Capacity
3. Model-Driven Approach to QoS Estimation Using Neo4j Graph Database Aided by ChatGPT
3.1. Neo4j and Graph Data Science Library
3.2. ChatGPT and Large Language Models
3.3. Model-Driven Engineering and Ecore
3.4. Approach Overview
3.5. Simulations and Evaluation
4. Conclusions and Future Work
Author Contributions
Funding
Data Availability Statement
Acknowledgments
Conflicts of Interest
Appendix A
Appendix B
References
- Simon, M.K.; Alouini, M.-S. Digital Communications Over Fading Channels, 2nd ed.; John Wiley and Sons: New York, NY, USA, 2005. [Google Scholar]
- Yacoub, M.D. The η-µ distribution: A general fading distribution. In Proceedings of the 52nd Vehicular Technology Conference VTC2000, Boston, MA, USA, 24–28 September 2000; pp. 872–877. [Google Scholar] [CrossRef]
- Yacoub, M.D. The κ-μ distribution and the η-µ distribution. IEEE Antennas Propag. Mag. 2007, 49, 68–81. [Google Scholar] [CrossRef]
- Ermolova, N.Y. Moment generating functions of the generalized η-µ and k-μ distributions and their applications to performance evaluations of communication systems. IEEE Commun. Lett. 2008, 12, 502–504. [Google Scholar] [CrossRef]
- Morales-Jimenez, D.; Paris, J.F. Outage probability analysis for η-µ fading channels. IEEE Commun. Lett. 2010, 14, 521–523. [Google Scholar] [CrossRef]
- Das, P.; Subadar, R. Performance of L-MRC receiver over exponentially correlated η-µ fading channels. Adv. Wirel. Mob. Commun. 2017, 10, 171–181. [Google Scholar]
- Srinivasan, M.; Kalyani, S. Analysis of MRC with η-µ co-channel interference. IEEE Trans. Veh. Technol. 2020, 69, 738–745. [Google Scholar] [CrossRef]
- Morales-Jimenez, D.; Paris, J.F.; Lozano, A. Outage probability analysis for MRC in η-µ fading channels with co-channel interference. IEEE Commun. Lett. 2012, 16, 674–677. [Google Scholar] [CrossRef]
- Krstic, D.; Suljovic, S.; Petrovic, N.; Minic, S. GPU-enabled framework for modelling, determination and simulation the LCR of mobile networks in smart cities limited by η-µ distributed fading and interference. In Proceedings of the SpliTech 2021—6th International Conference on Smart and Sustainable Technologies, Bol, Croatia, 8-11 September 2021. [Google Scholar] [CrossRef]
- Da Costa, D.; Filho, J.S.S.; Yacoub, M.D.; Fraidenraich, G. Second-order statistics of η-µ fading channels: Theory and applications. IEEE Trans. Wirel. Commun. 2008, 7, 819–824. [Google Scholar] [CrossRef]
- Gvozdarev, A.S. Capacity analysis of the fluctuating double-Rayleigh with line-of-sight fading channel. Phys. Commun. 2022, 55, 101939. [Google Scholar] [CrossRef]
- Kansal, V.; Singh, S. Analysis of effective capacity over Beaulieu-Xie fading model. In Proceedings of the 2017 IEEE International WIE Conference on Electrical and Computer Engineering (WIECON-ECE), Dehradun, India, 18–19 December 2017. [Google Scholar] [CrossRef]
- Smilic, M.M.; Jaksic, B.S.; Milic, D.N.; Panic, S.R.; Spalevic, P.C. Channel capacity of the macrodiversity SC system in the presence of kappa-mu fading and correlated slow Gamma fading. Facta Univ. Ser. Electron. Energetics 2018, 31, 447–460. [Google Scholar] [CrossRef]
- Milic, D.; Stanojčić, S.; Popovic, Z.; Stefanovic, D.; Petrovic, I. Performance analysis of EGC combining over correlated Nakagami-m fading channels. Serbian J. Electr. Eng. 2012, 9, 293–300. [Google Scholar] [CrossRef]
- Mitrovic, Z.J.; Nikolic, B.Z.; Ðordjevic, G.T.; Stefanovic, M. Influence of imperfect carrier signal recovery on performance of SC receiver of BPSK signals transmitted over alfa-mi fading channel. Electronics 2009, 13, 58–62. [Google Scholar]
- Krstic, D.; Petrovic, N.; Al-Azzoni, I. Model-driven approach to fading-aware wireless network planning leveraging multi-objective optimization and deep learning. Math. Probl. Eng. 2022, 2022, 4140522. [Google Scholar] [CrossRef]
- Gradshteyn, I.S.; Ryzhik, I.M. Tables of Integrals, Series and Products, 7th ed.; Elsevier: Amsterdam, The Netherlands; Academic Press: Cambridge, MA, USA, 2007. [Google Scholar]
- Suljović, S.; Krstić, D.; Bandjur, D.; Veljković, S.; Stefanović, M. Level crossing rate of macro-diversity system in the presence of fading and co-channel interference. In Revue Roumaine des Sciences Techniques; Romanian Academy: Bucharest, Romania, 2019; Volume 64, pp. 63–68. [Google Scholar]
- Graph Database Concepts. Available online: https://neo4j.com/docs/getting-started/current/graphdb-concepts/ (accessed on 18 July 2023).
- Cypher Query Language. Available online: https://neo4j.com/developer/cypher/ (accessed on 18 July 2023).
- The Neo4j Graph Data Science Library Manual v2.4. Available online: https://neo4j.com/docs/graph-data-science/current/ (accessed on 18 July 2023).
- Petrovic, N.; Al-Azzoni, I.; Krstic, D.; Alqahtani, A. Base station anomaly prediction leveraging model-driven framework for classification in Neo4j. In Proceedings of the International Conference on Broadband Communications for Next Generation Networks and Multimedia Applications, CoBCom 2022, Graz, Austria, 12–14 July 2022. [Google Scholar] [CrossRef]
- Node Classification. Available online: https://neo4j.com/docs/graph-data-science/current/algorithms/ml-models/node-classification/ (accessed on 18 July 2023).
- Kalla, D.; Smith, N. Study and analysis of Chat GPT and its impact on different fields of study. Int. J. Innov. Sci. Res. Technol. 2023, 8. Available online: https://ssrn.com/abstract=4402499 (accessed on 18 July 2023).
- Wang, J.; Liu, Z.; Zhao, L.; Wu, Z.; Ma, C.; Yu, S.; Dai, H.; Yang, Q.; Liu, Y.; Zhang, S.; et al. Review of large vision models and visual prompt engineering. arXiv 2023, arXiv:2307.00855. [Google Scholar]
- Petrović, N.; Al-Azzoni, I. Model-driven smart contract generation leveraging ChatGPT. ICSEng 2023, 761, 1–10. [Google Scholar] [CrossRef]
- Brambilla, M.; Cabot JWimmer, M. Model-Driven Software Engineering in Practice, 2nd ed.; Morgan & Claypool Publishers: San Rafael, CA, USA, 2017. [Google Scholar]
- Rodrigues da Silva, A. Model-driven engineering: A survey supported by the unified conceptual model. Comput. Lang. Syst. Struct. 2015, 43, 139–155. [Google Scholar] [CrossRef]
- Steinberg, D.; Budinsky, F.; Paternostro, M.; Merks, E. EMF: Eclipse Modeling Framework; Addison-Wesley Professional: Boston, MA, USA, 2008; Chapter 5. [Google Scholar]
- Eclipse Modeling Framework (EMF). Web Reference. Available online: https://www.eclipse.or modeling/emf/ (accessed on 4 August 2023).
- PyEcore: A Pythonic Implementation of the Eclipse Modeling Framework. Available online: https://github.com/pyecore/pyecore (accessed on 21 July 2023).
- Petrović, N.; Vasić, S.; Milić, D.; Suljović, S.; Koničanin, S. GPU-supported simulation for ABEP and QoS analysis of a combined macro diversity system in a Gamma-shadowed k-µ fading channel. Facta Univ. Ser. Electron. Energetics 2021, 34, 89–104. [Google Scholar] [CrossRef]
- Neo4j Desktop. Available online: https://neo4j.com/docs/desktop-manual/current/ (accessed on 21 July 2023).
- Suljovic, S.; Krstic, D.S.; Nestorovic, G.; Petrovic, N.N.; Minic, S.; Gurjar, D.S. Using level crossing rate of selection combining receiver damaged by Beaulieu-Xie fading and Rician co-channel interference with a purpose of machine learning QoS level prediction. Elektron. Ir Elektrotechnika 2023, 29, 68–73. [Google Scholar] [CrossRef]
- Vasile, R.; Olivares, S.; Paris, M.A.; Maniscalco, S. Continuous-variable quantum key distribution in non-Markovian channels. Phys. Rev. 2011, 83, 042321. [Google Scholar] [CrossRef]
- Teklu, B.; Bina, M.; Paris, M.G.A. Noisy propagation of Gaussian states in optical media with finite bandwidth. Sci. Rep. 2022, 12, 11646. [Google Scholar] [CrossRef] [PubMed]
- Adnane, H.; Teklu, B.; Paris, M.G.A. Quantum phase communication channels assisted by non-deterministic noiseless amplifiers. J. Opt. Soc. Am. B 2019, 36, 2938–2945. [Google Scholar] [CrossRef]
- Trapani, J.; Teklu, B.; Olivares, S.; Paris, M.G.A. Quantum phase communication channels in the presence of static and dynamical phase diffusion. Phys. Rev. A 2015, 92, 012317. Available online: https://journals.aps.org/pra/abstract/10.1103/PhysRevA.92.012317 (accessed on 3 August 2023). [CrossRef]
- DiDonato, A.R.; Jarnagin, M.P. The efficient calculation of the incomplete Beta-function ratio for half- integer values of the parameters a, b. Math. Comput. 1967, 21, 652–662. [Google Scholar] [CrossRef]
- Abramowitz, M.; Stegun, I.A. (Eds.) Confluent Hypergeometric Functions. Ch. 13. In Handbook of Mathematical Functions with Formulas, Graphs, and Mathematical Tables; Dover: New York, NY, USA, 1972; pp. 503–515. [Google Scholar]
- Huang, H.C.; Yuan, C. Ergodic capacity of composite fading channels in cognitive radios with series formula for product of κ-μ and α-μ fading distributions. IEICE Trans. Commun. 2020, 103, 458–466. [Google Scholar] [CrossRef]
- Ribičić Penava, M.; Škrobar, D. Gamma and Beta functions. Osječki Mat. List 2015, 15, 93–111. (In Croatian) [Google Scholar]







| Variables | w = −10 dB | w = 0 dB | w = 10 dB |
|---|---|---|---|
| µ1 = 1, µ2 = 1 | 15 | 17 | 17 |
| µ1 = 1.5, µ2 = 1 | 16 | 17 | 18 |
| µ1 = 2, µ2 = 1 | 18 | 19 | 20 |
| µ1 = 2.5, µ2 = 1 | 19 | 19 | 20 |
| µ1 = 3, µ2 = 1 | 19 | 21 | 22 |
| µ1 = 4, µ2 = 1 | 22 | 22 | 24 |
| µ1 = 1, µ2 = 1.5 | 15 | 17 | 18 |
| µ1 = 1, µ2 = 2 | 17 | 18 | 19 |
| µ1 = 1, µ2 = 2.5 | 18 | 19 | 20 |
| µ1 = 1, µ2 = 3 | 19 | 20 | 21 |
| µ1 = 1, µ2 = 4 | 21 | 22 | 22 |
| Variables | w = −10 dB | w = 0 dB | w = 10 dB |
|---|---|---|---|
| η1 = 0.2, η2 = 0.2, L = 2 | 15 | 17 | 17 |
| η1 = 0.4, η2 = 0.2, L = 2 | 14 | 14 | 15 |
| η1 = 0.6, η2 = 0.2, L = 2 | 13 | 15 | 16 |
| η1 = 0.8, η2 = 0.2, L = 2 | 14 | 14 | 15 |
| η1 = 0.2, η2 = 0.4, L = 2 | 15 | 16 | 16 |
| η1 = 0.2, η2 = 0.6, L = 2 | 15 | 15 | 16 |
| η1 = 0.2, η2 = 0.8, L = 2 | 15 | 16 | 15 |
| η1 = 0.2, η2 = 0.2, L = 3 | 15 | 16 | 18 |
| η1 = 0.2, η2 = 0.2, L = 4 | 17 | 17 | 17 |
| η1 = 0.2, η2 = 0.2, L = 5 | 16 | 18 | 18 |
| Step | Neo4j Query | Input | Output |
|---|---|---|---|
| Import data | LOAD CSV WITH HEADERS FROM ‘file:///qos_predict.csv’ AS row WITH row WHERE row.QoS IS NOT NULL MERGE (q:QosPredict {CC: row.CC,...QoS : row.QoS}); | CSV tabular data | Internal tabular data representation |
| Graph construct | CALL gds.graph.create.cypher( ‘QosPredictGraph’, ‘MATCH (q:QosPredict) WHERE q.QoS is NOT NULL RETURN id(s) as id, q.CC as CC, ... q.QoS as QoS’, ‘MATCH (s:QosPredict)-[link]->(e:QosPredict) RETURN ID(link) as link, ID(s) as source, ID(e) as target’ ) | Internal tabular data representation | Neo4j data graph |
| Classifier training | CALL gds.alpha.ml.nodeClassification.train( ‘QoSPredictGraph’, { modelName: ‘qos_prediction’, featureProperties: [‘CC’, ‘BsId’, . . .’Season’], targetProperty: ‘QoS’, randomSeed: 5, holdoutFraction: 0.20, validationFolds: 10, metrics: [ ‘ACCURACY’], params: [ { penalty: 0.01, maxEpochs: 10, batchSize: 5}, . . . { penalty: 0.001} ] }) YIELD modelInfo RETURN {penalty: modelInfo.bestParameters.penalty} AS winningModel, modelInfo.metrics.ACCURACY.outerTrain AS trainGraphScore, modelInfo.metrics.ACCURACY.test AS testGraphScore | Neo4j data graph | Predictive classification model |
| Variable | Description | Data Type | Role |
|---|---|---|---|
| CC | Channel capacity | Float | Input |
| BsId | Base station identifier | Integer | Input |
| AreaId | Identifier of area covered by base station | Integer | Input |
| Nusers | Number of users within the observed area | Integer | Input |
| Season | Number denoting part of year | Integer [0–3] | Input |
| QoS | Estimation of QoS value | Integer [1–4] | Output |
| Aspect | Component | Condition | Result | |
|---|---|---|---|---|
| Classification | Predictor model Neo4j | Learning rate: 0.001 75% training data 25% testing data | F1—0.95 Ac—0.98 | |
| Processing time | Import CSV | 100,000 records, 6 features | 5.5 min | |
| Train | 11.2 s | |||
| Prompt construction | 0.12 s | |||
| ML query generation | Approach | Auto | Manual | |
| Import data | 4.32 s | 154 s | ||
| Graph construction | 4.76 s | 467 s | ||
| Classification | 5.13 s | 643 s | ||
| Acceleration | Model creation | User-created in Eclipse tool | 296 s | |
| Query generator | ChatGPT generation | 3.48 s | ||
| Query manual | High-skill | 154 + 467 + 643 | ||
| Total | 1264 s | |||
| Speed-up | Manual/ Auto | 4.07 (times) | ||
Disclaimer/Publisher’s Note: The statements, opinions and data contained in all publications are solely those of the individual author(s) and contributor(s) and not of MDPI and/or the editor(s). MDPI and/or the editor(s) disclaim responsibility for any injury to people or property resulting from any ideas, methods, instructions or products referred to in the content. |
© 2023 by the authors. Licensee MDPI, Basel, Switzerland. This article is an open access article distributed under the terms and conditions of the Creative Commons Attribution (CC BY) license (https://creativecommons.org/licenses/by/4.0/).
Share and Cite
Krstic, D.; Petrovic, N.; Suljovic, S.; Al-Azzoni, I. AI-Enabled Framework for Mobile Network Experimentation Leveraging ChatGPT: Case Study of Channel Capacity Calculation for η-µ Fading and Co-Channel Interference. Electronics 2023, 12, 4088. https://doi.org/10.3390/electronics12194088
Krstic D, Petrovic N, Suljovic S, Al-Azzoni I. AI-Enabled Framework for Mobile Network Experimentation Leveraging ChatGPT: Case Study of Channel Capacity Calculation for η-µ Fading and Co-Channel Interference. Electronics. 2023; 12(19):4088. https://doi.org/10.3390/electronics12194088
Chicago/Turabian StyleKrstic, Dragana, Nenad Petrovic, Suad Suljovic, and Issam Al-Azzoni. 2023. "AI-Enabled Framework for Mobile Network Experimentation Leveraging ChatGPT: Case Study of Channel Capacity Calculation for η-µ Fading and Co-Channel Interference" Electronics 12, no. 19: 4088. https://doi.org/10.3390/electronics12194088
APA StyleKrstic, D., Petrovic, N., Suljovic, S., & Al-Azzoni, I. (2023). AI-Enabled Framework for Mobile Network Experimentation Leveraging ChatGPT: Case Study of Channel Capacity Calculation for η-µ Fading and Co-Channel Interference. Electronics, 12(19), 4088. https://doi.org/10.3390/electronics12194088

