Industrial Internet Intrusion Detection Based on Res-CNN-SRU
Abstract
1. Introduction
- A depth feature extraction method for high dimensional network traffic is proposed, which can extract local features without losing time features, and add residual connections, which not only alleviates the problem of gradient disappearance but also improves the convergence speed of the network.
- Combination with a parallel algorithm of SRU abnormal traffic detection. Compared with the traditional LSTM model, the SRU model has the advantages of high computational efficiency, fast training, strong sequence modeling ability, low memory utilization rate, and is able to train the accuracy of the model faster.
- Experiments show that the proposed method has high detection accuracy and low time consumption, and can effectively detect complex malicious response injection attacks, denial-of-service attacks, reconnaissance attacks and other attack types in the industrial Internet environment.
2. Related Work
2.1. Industrial Internet Intrusion Detection Based on Machine Learning
2.2. Industrial Internet Intrusion Detection Based on Deep Learning
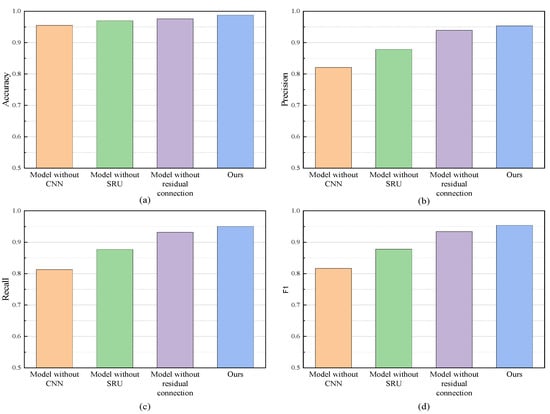
3. Proposed Method
3.1. Intrusion Detection Model Based on Res-CNN-SRU
3.1.1. One-Dimensional Convolutional Neural Network
- Convolution layer. In order to achieve the effect of feature extraction, the input features are scanned by the convolution kernel, subjected to matrix operations in the “receptive field,” and superimposed with deviations [31].
- Pooling layer. The pooling layer has a variety of different forms of nonlinear pooling functions. It divides the input image into several rectangular regions and outputs the maximum value for each subregion. The pooling layer will continuously reduce the space size of the data, so the number of parameters and the amount of calculation will also decrease, which also controls the overfitting to a certain extent.
- Fully connected layer. The extracted features are nonlinearly combined and output to other fully connected layers. The convolution layer and pooling layer can achieve the purpose of automatically extracting local features of data, while the fully connected layer can achieve feature learning.
3.1.2. Residual Connection
3.1.3. Simple Recurrent Unit
3.2. Detection Model
- Firstly, the original gas pipeline traffic is preprocessed, and the preprocessed data are input into the convolution layer.
- Feature extraction. In the 1D residual block, the input has two paths. In the first path, the data are first extracted by the convolutional layer, and then the features are convoluted to summarize the output. Within the residual structure, feature reuse is completed through weight sharing. The second path is where the data are directly output after shortcut processing, and the final output is the sum of two parts. The obtained results are then passed through 1 BN layer, Conv1D layer and maximum pooling layer, and finally the extracted features are obtained. Finally, we use the output vector as the input of the SRU to predict the subsequent features.
- First, a time series is generated for the input data so that the input data become sequence data with a time step. After the time series traffic is generated, we set the learning rate attenuation to control the learning rate in segments, in order to achieve more efficient learning at different stages and train the neural network. We use small batches of random gradient descent for training. The output obtained by the SRU is passed through the fully connected layer. In order to prevent overfitting, a dropout layer is added. Finally, the classification is performed through the softmax layer.
4. Experiment
4.1. Experimental Dataset
4.2. Data Preprocessing
4.2.1. Low-Variance Filter
4.2.2. Normalization
4.2.3. One-Hot Encoding
4.3. Benchmarking Metrics
4.4. Performance Comparison
4.4.1. Experimental Parameter Settings
4.4.2. Hyperparameter Optimization
4.4.3. Comparison of Methods
5. Conclusions
Author Contributions
Funding
Data Availability Statement
Conflicts of Interest
References
- Dai, M.; Deng, H.; Chen, B.; Su, G.; Lin, X.; Wang, H. Design of binary erasure code with triple simultaneous objectives for distributed edge caching in industrial Internet of Things networks. IEEE Trans. Ind. Inform. 2019, 16, 5497–5504. [Google Scholar] [CrossRef]
- Huang, X.; Hong, S.H.; Li, Y. Hour-ahead price based energy management scheme for industrial facilities. IEEE Trans. Ind. Inform. 2017, 13, 2886–2898. [Google Scholar] [CrossRef]
- Zhang, Y.; Guo, Z.; Lv, J.; Liu, Y. A framework for smart production-logistics systems based on CPS and industrial IoT. IEEE Trans. Ind. Inform. 2018, 14, 4019–4032. [Google Scholar] [CrossRef]
- Awotunde, J.B.; Chakraborty, C.; Adeniyi, A.E. Intrusion detection in industrial internet of things network-based on deep learning model with rule-based feature selection. Wirel. Commun. Mob. Comput. 2021, 2021, 7154587. [Google Scholar] [CrossRef]
- Bhavsar, Y.B.; Waghmare, K.C. Intrusion detection system using data mining technique: Support vector machine. Int. Emerg. Technol. Adv. Eng. 2013, 3, 581–586. [Google Scholar]
- Kuang, F.; Xu, W.; Zhang, S. A novel hybrid KPCA and SVM with GA model for intrusion detection. Appl. Soft Comput. 2014, 18, 178–184. [Google Scholar] [CrossRef]
- Kumar, V.; Chauhan, H.; Panwar, D. K-means clustering approachto analyze NSL- KDD intrusion detection dataset. Int. J. Soft Comput. Eng. 2013, 3, 1–4. [Google Scholar]
- Zhao, H.; Liu, I. Research on test data generation method of complex event big data processing system based on Bayesian network. Comput. Appl. Res. 2018, 35, 155–158,162. [Google Scholar]
- Zhang, R.; Song, Y.; Wang, X. Network Intrusion Detection Scheme Based on IPSO-SVM Algorithm. In Proceedings of the 2022 IEEE Asia-Pacific Conference on Image Processing, Electronics and Computers (IPEC), Dalian, China, 14–16 April 2022; IEEE: Piscataway, NJ, USA, 2022; pp. 1011–1014. [Google Scholar]
- Anton, S.D.D.; Sinha, S.; Schotten, H.D. Anomaly-Based Intrusion Detection in Industrial Data with SVM and Random Forests. In Proceedings of the 2019 International Conference on Software, Telecommunications and Computer Networks (SoftCOM), Split, Croatia, 19–21 September 2019; IEEE: Piscataway, NJ, USA, 2019; pp. 1–6. [Google Scholar]
- Khan, A.A.Z. Misuse Intrusion Detection Using Machine Learning for Gas Pipeline SCADA Networks. In Proceedings of the International Conference on Security and Management (SAM), The Steering Committee of The World Congress in Computer Science, Computer Engineering and Applied Computing (WorldComp), Las Vegas, NV, USA, 29 July–1 August 2019; pp. 84–90. [Google Scholar]
- Al-Asiri, M.; El-Alfy, E.S.M. On using physical based intrusion detection in SCADA systems. Procedia Comput. Sci. 2020, 170, 34–42. [Google Scholar] [CrossRef]
- Eigner, O.; Kreimel, P.; Tavolato, P. Detection of Man-in-the-Middle Attacks on Industrial Control Networks. In Proceedings of the 2016 International Conference on Software Security and Assurance (ICSSA), Saint Pölten, Austria, 24–25 August 2016; IEEE: Piscataway, NJ, USA, 2016; pp. 64–69. [Google Scholar]
- Aiswal, S.; Saxena, K.; Mishra, A.; Sahu, S.K. A KNN-ACO approach for intrusion detection using KDDCUP’99 dataset. In Proceedings of the 2016 3rd International Conference on Computing for Sustainable Global Development (INDIACom), New Delhi, India, 16–18 March 2016; IEEE: Piscataway, NJ, USA, 2016; pp. 628–633. [Google Scholar]
- Xia, W.; Neware, R.; Kumar, S.D.; Karras, D.A.; Rizwan, A. An optimization technique for intrusion detection of industrial control network vulnerabilities based on BP neural network. Int. J. Syst. Assur. Eng. Manag. 2022, 13 (Suppl. S1), 576–582. [Google Scholar] [CrossRef]
- Yang, A.; Zhuansun, Y.; Liu, C.; Li, J.; Zhang, C. Design of intrusion detection system for Internet of Things based on improved BP neural network. IEEE Access 2019, 7, 106043–106052. [Google Scholar] [CrossRef]
- Li, Y.; Xu, Y.; Liu, Z.; Hou, H.; Zheng, Y.; Xin, Y.; Zhao, Y.; Cui, L. Robust detection for network intrusion of industrial IoT based on multi-CNN fusion. Measurement 2020, 154, 107450. [Google Scholar] [CrossRef]
- Yin, C.; Zhu, Y.; Fei, J.; He, X. A deep learning approach for intrusion detection using recurrent neural networks. IEEE Access 2017, 5, 21954–21961. [Google Scholar] [CrossRef]
- Roy, B.; Cheung, H. A Deep Learning Approach for Intrusion Detection in Internet of Things Using Bi-Directional Long Short-term Memory Recurrent Neural Network. In Proceedings of the 2018 28th International Telecommunication Networks and Applications Conference (ITNAC), Sydney, NSW, Australia, 21–23 November 2018; IEEE: Piscataway, NJ, USA, 2018; pp. 1–6. [Google Scholar]
- Cao, B.; Li, C.; Song, Y.; Qin, Y.; Chen, C. Network intrusion detection model based on CNN and GRU model. Appl. Sci. 2022, 12, 4184. [Google Scholar] [CrossRef]
- Zhou, X.; Hu, Y.; Liang, W.; Ma, J.; Jin, Q. Variational LSTM enhanced anomaly detection for industrial big data. IEEE Trans. Ind. Inform. 2020, 17, 3469–3477. [Google Scholar] [CrossRef]
- Hwang, R.H.; Peng, M.C.; Nguyen, V.L.; Chang, Y.L. An LSTM-based deep learning approach for classifying malicious traffic at the packet level. Appl. Sci. 2019, 9, 3414. [Google Scholar] [CrossRef]
- Ling, J.; Zhu, Z.; Luo, Y.; Wang, H. An intrusion detection method for industrial control systems based on bidirectional simple recurrent unit. Comput. Electr. Eng. 2021, 91, 107049. [Google Scholar] [CrossRef]
- Xu, Y.; Jin, T.; Xu, Y.; Shi, X.; Chen, S.; Sun, W.; Xue, Y.; Wu, H. Transformer image recognition system based on deep learning. J. Shanghai Electr. Power Univ. 2021, 37, 51–56. [Google Scholar]
- Mahmoud, A.; Zrigui, M. Sentence embedding and convolutional neural network for semantic textual similarity detection in Arabic language. Arab. J. Sci. Eng. 2019, 44, 9263–9274. [Google Scholar] [CrossRef]
- Zhang, K.; Guo, Y.; Wang, X.; Yuan, J.; Ding, Q. Multiple feature reweight densenet for image classification. IEEE Access 2019, 7, 9872–9880. [Google Scholar] [CrossRef]
- Huang, J.T.; Li, J.; Gong, Y. An Analysis of Convolutional Neural Networks for Speech Recognition. In Proceedings of the IEEE International Conference on Acoustics, Speech and Signal Processing, South Brisbane, QLD, Australia, 19–24 April 2015; IEEE: Piscataway, NJ, USA, 2015; pp. 4989–4993. [Google Scholar]
- Krizhevsky, A.; Sutskever, I.; Hinton, G.E. Imagenet Classification with Deep Convolutional Neural Networks. In Proceedings of the 2012 Advances in Neural Information Processing Systems (NIPS2012), Lake Tahoe, NV, USA, 3–6 December 2012; pp. 1097–1105. [Google Scholar]
- Wang, H.; Shi, H.; Chen, X.; Zhao, L.; Huang, Y.; Liu, C. An improved convolutional neural network based approach for automated heartbeat classification. J. Med. Syst. 2020, 44, 35. [Google Scholar] [CrossRef] [PubMed]
- Zhao, L.; Ma, Y. Fault diagnosis of gear box based on one dimensional convolutional neural networks. J. Test Meas. Technol. 2019, 33, 302–306. [Google Scholar]
- Qu, J.; Yu, L.; Yuan, T.; Tian, Y.; Gao, F. Adaptive fault diagnosis algorithm for rolling bearings based on one-dimensional convolutional neural network. Chin. J. Sci. Instrum. 2018, 39, 134–143. [Google Scholar] [CrossRef]
- Shaikh, A.; Gupta, P. Real-time intrusion detection based on residual learning through ResNet algorithm. Int. J. Syst. Assur. Eng. Manag. 2022, 1–15. [Google Scholar] [CrossRef]
- He, K.M.; Zhang, X.Y.; Ren, S.Q.; Sun, J. Deep Residual Learning for Image Recognition. In Proceedings of the 2016 IEEE Conference on Computer Vision and Pattern Recognition (CVPR), Las Vegas, NV, USA, 27–30 June 2016; IEEE: Piscataway, NJ, USA, 2016. [Google Scholar]
- Morris, T.; Gao, W. Industrial Control System Traffic Data Sets for Intrusion Detection Research. In Critical Infrastructure Protection VIII. ICCIP 2014. IFIP Advances in Information and Communication Technology; Springer: Berlin/Heidelberg, Germany, 2014; pp. 65–78. [Google Scholar]








| Attack Type | Description | Label | Number |
|---|---|---|---|
| Normal | Normal data | 0 | 61,156 |
| NMRI | Naive malicious response injection attack | 1 | 2763 |
| CMRI | Complex malicious response injection attack | 2 | 15,466 |
| MSCI | Malicious state command injection attack | 3 | 782 |
| MPCI | Malicious parameter command injection attack | 4 | 7637 |
| MFCI | Malicious function command injection attack | 5 | 573 |
| DOS | Denial-of-service attack | 6 | 1837 |
| Recon | Reconnaissance attack | 7 | 6805 |
| Parameter Name | Description | Value |
|---|---|---|
| depth | Hidden layer size | 4 |
| optimizer | Gradient descent algorithm | RMSprop |
| activation | Activation function | softmax |
| epochs | Iteration size | 100 |
| batch_size | Samples per epoch | 100 |
| unit | Hidden unit size | 128 |
| dropout | Random deactivation rate | 0.2 |
| Activation | Optimizer | Batch_Size | Accuracy (%) | Precision (%) | Recall (%) | F1 (%) |
|---|---|---|---|---|---|---|
| ReLU | Adam | 10 | 98.5 | 94.06 | 94.01 | 94.05 |
| ReLU | Adam | 100 | 96.51 | 79.67 | 77.41 | 78.44 |
| ReLU | SGD | 10 | 90.71 | 62.26 | 62.2 | 62.26 |
| ReLU | SGD | 100 | 78.43 | 31.58 | 63.15 | 42.1 |
| ReLU | RMSprop | 10 | 97.78 | 88.04 | 86.91 | 87.42 |
| ReLU | RMSprop | 100 | 96.26 | 95.38 | 95.49 | 95.42 |
| softmax | Adam | 10 | 98.54 | 94.35 | 94.07 | 94.21 |
| softmax | Adam | 100 | 98.55 | 94.25 | 94.23 | 94.24 |
| softmax | SGD | 10 | 94.54 | 78.48 | 78.09 | 78.26 |
| softmax | SGD | 100 | 90.71 | 62.27 | 62.31 | 62.26 |
| softmax | RMSprop | 10 | 98.55 | 94.26 | 94.27 | 94.26 |
| softmax | RMSprop | 100 | 98.79 | 95.34 | 95.04 | 95.19 |
| Tanh | Adam | 10 | 98.66 | 94.72 | 94.70 | 94.73 |
| Tanh | Adam | 100 | 98.35 | 93.77 | 93.08 | 93.41 |
| Tanh | SGD | 10 | 87.51 | 60.15 | 60.22 | 60.19 |
| Tanh | SGD | 100 | 90.71 | 62.26 | 62.31 | 62.27 |
| Tanh | RMSprop | 10 | 98.42 | 93.09 | 92.63 | 92.83 |
| Tanh | RMSprop | 100 | 98.63 | 95.15 | 93.84 | 94.46 |
| Paper | Method | Accuracy (%) | Precision (%) | Recall (%) | F1 (%) | Training Time (s) |
|---|---|---|---|---|---|---|
| [10] | SVM | 92.5 | 78.2 | 93.6 | 85.2 | - |
| [11] | Naïve Bayes | 71.94 | 70.6 | 71.9 | 71.24 | - |
| [12] | Decision Tree | 84.9 | 86.1 | 84.9 | 87 | - |
| [18] | RNN | 94.95 | 78.89 | 78.17 | 77.98 | - |
| [19] | BLSTM | 97.36 | 89.59 | 89.36 | 90.1 | 102 |
| [20] | CNN-GRU | 94.69 | 78.94 | 78.92 | 75.45 | 107 |
| Ours | 98.79 | 95.34 | 95.04 | 95.38 | 89 |
Disclaimer/Publisher’s Note: The statements, opinions and data contained in all publications are solely those of the individual author(s) and contributor(s) and not of MDPI and/or the editor(s). MDPI and/or the editor(s) disclaim responsibility for any injury to people or property resulting from any ideas, methods, instructions or products referred to in the content. |
© 2023 by the authors. Licensee MDPI, Basel, Switzerland. This article is an open access article distributed under the terms and conditions of the Creative Commons Attribution (CC BY) license (https://creativecommons.org/licenses/by/4.0/).
Share and Cite
Cai, Z.; Si, Y.; Zhang, J.; Zhu, L.; Li, P.; Feng, Y. Industrial Internet Intrusion Detection Based on Res-CNN-SRU. Electronics 2023, 12, 3267. https://doi.org/10.3390/electronics12153267
Cai Z, Si Y, Zhang J, Zhu L, Li P, Feng Y. Industrial Internet Intrusion Detection Based on Res-CNN-SRU. Electronics. 2023; 12(15):3267. https://doi.org/10.3390/electronics12153267
Chicago/Turabian StyleCai, Zengyu, Yajie Si, Jianwei Zhang, Liang Zhu, Pengrong Li, and Yuan Feng. 2023. "Industrial Internet Intrusion Detection Based on Res-CNN-SRU" Electronics 12, no. 15: 3267. https://doi.org/10.3390/electronics12153267
APA StyleCai, Z., Si, Y., Zhang, J., Zhu, L., Li, P., & Feng, Y. (2023). Industrial Internet Intrusion Detection Based on Res-CNN-SRU. Electronics, 12(15), 3267. https://doi.org/10.3390/electronics12153267

