A Multi-Modal Modulation Recognition Method with SNR Segmentation Based on Time Domain Signals and Constellation Diagrams
Abstract
1. Introduction
- (1)
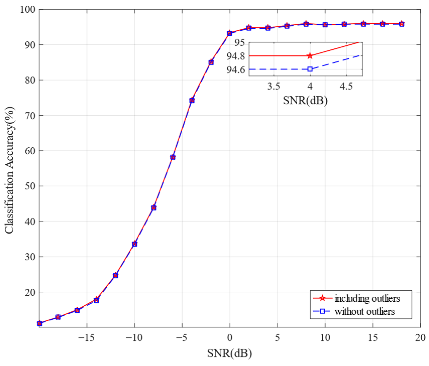
- We propose a lightweight AMR neural network model, named M-LSCANet, that utilizes a multi-modal mechanism. The model integrates two distinct networks to extract the time-domain and constellation diagram features, allowing for more comprehensive mining of the signal phase-amplitude information. In particular, incorporating constellation features significantly improves the model’s recognition performance in medium and high SNR regions. We also optimize the number of samples contained in each constellation diagram to ensure an optimal recognition performance. Additionally, sample outliers are eliminated during the training process to further improve this recognition performance.
- (2)
- In the feature extraction stage, the incorporation of rich skip-connection structures and residual stacks with small convolutional kernels helps to mine the shallow and deep features of the signals simultaneously, thereby enhancing the model’s feature extraction capabilities while reducing the network complexity. In the feature fusion stage, the CBAM module is utilized to accurately capture dependent information by recalibrating the channel and spatial weights. This enables the model to solve complex problems by selectively focusing on the most informative features at each layer. As a result, the CBAM module significantly enhances the identification ability of the model.
- (3)
- Considering the blurring of constellation diagrams in low SNR regions, we propose an SNR segmentation strategy to further enhance the network recognition ability in the low SNR range. Specifically, we jointly apply the time domain I/Q branch and constellation branch for modulation recognition when the SNR is above a certain threshold, but only use the I/Q branch when the SNR is low. This strategy yields a better performance across a wide SNR region and dramatically reduces the model complexity in the low SNR region. We choose the RadioML 2016.10B dataset as the benchmark for the simulation experiments, which is widely used for AMR tasks. The proposed method outperforms all existing AMR neural network models in terms of its classification accuracy over the entire SNR range from −20 dB to +18 dB.
2. Signal Model
3. Proposed Network Model Structure
3.1. Time Domain I/Q-Signal-Processing Branch
3.2. Constellation-Diagram-Processing Branch
3.3. Multi-Modal Fusion Layer
3.4. Full Connection Module
| Algorithm 1: Description of the proposed M-LSCANet |
| Input: original time domain I/Q data(X) and constellation diagram(S) Output: modulation mode Time domain I/Q signal processing branch: for i = 1 to 3 do: Xi = Conv_i(Xi−1) Conv_i is the ith convolutional block described in Section 3.1 end for SNR Segmentation: SNR_val = CNN(X) if SNR_val ≥ −4 dB Constellation diagram processing branch: for i = 1 to 4 do: Si = Res_i(Si−1) Res_i is the ith residual stack described in Section 3.2 end for F = Concatenate (X3, S4, axis = 1) else F = X3 end if Multi-modal fusion layer process: F″ = Cbam (F) Cbam represents the recalibration for the weights of the CBAM module, and the detailed calculation process can be referred to Equation (5). Classification layer process: Output = SoftMax (ReLU (F″)) ReLU and SoftMax are activation functions, and they are defined in Equations (6) and (7). |
4. Simulation Results and Analysis
4.1. Dataset
4.1.1. Dataset’s Parameters
4.1.2. The Generation of Constellation Diagrams
4.2. Experimental Environment
4.3. Ablation Experiments and Analysis
4.3.1. SNR-Segmentation Multi-Modal Network Model
4.3.2. Optimization of Sample Number for One Constellation Diagram
4.4. Classification Performance for Each Modulation Mode
4.5. Performance Comparison of Different Methods
5. Conclusions
Author Contributions
Funding
Data Availability Statement
Conflicts of Interest
References
- Ke, D.; Huang, Z.; Wang, X.; Li, X. Blind detection techniques for non-cooperative communication signals based on deep learning. IEEE Access 2019, 7, 89218–89225. [Google Scholar] [CrossRef]
- Zhang, Z.; Wang, C.; Gan, C.; Sun, S.; Wang, M. Automatic modulation classification using convolutional neural network with features fusion of SPWVD and BJD. IEEE Trans. Signal Inf. Process. Over Netw. 2019, 5, 469–478. [Google Scholar] [CrossRef]
- Liang, Y.; Tan, J.; Dusit, N. Overview on intelligent wireless communication technology. J. Commun. 2020, 41, 1–17. [Google Scholar]
- Jiang, J.; Wang, Z.; Zhao, H.; Qiu, S.; Li, J. Modulation recognition method of satellite communication based on CLDNN model. In Proceedings of the IEEE 30th International Symposium on Industrial Electronics (ISIE), Kyoto, Japan, 20–23 June 2021; IEEE: Piscataway, NJ, USA; pp. 1–6. [Google Scholar]
- Zhu, Z.; Nandi, A.K. Automatic Modulation Classification: Principles, Algorithms and Applications; John Wiley & Sons: Hoboken, NJ, USA, 2015. [Google Scholar]
- Zhaoyu, M.A.; Ffuli, H.A.N.; Zhidong, X.I.E. Modulation recognition technology of satellite communication signal system. Acta Aeronaut. Astronaut. Sin. 2014, 35, 3403–3414. [Google Scholar]
- Su, W.; Xu, J.L.; Zhou, M. Real-time modulation classification based on maximum likelihood. IEEE Commun. Lett. 2008, 12, 801–803. [Google Scholar] [CrossRef]
- Meng, F.; Chen, P.; Wu, L.; Wang, X. Automatic modulation classification: A deep learning enabled approach. IEEE Trans. Veh. Technol. 2018, 67, 10760–10772. [Google Scholar] [CrossRef]
- Dobre, O.; Abdi, A.; Bar-Ness, Y.; Su, W. Survey of automatic modulation classification techniques: Classical approaches and new trends. IET Commun. 2007, 1, 137–156. [Google Scholar] [CrossRef]
- Panagiotou, P.; Anastasopoulos, A.; Polydoros, A. Likelihood ratio tests for modulation classification MILCOM 2000 Proceedings. 21st Century Military Communications. Archit. Technol. Inf. Super. 2000, 2, 670–674. [Google Scholar]
- Popoola, J.J.; Van Olst, R. A novel modulation-sensing method. IEEE Veh. Technol. Mag. 2011, 6, 60–69. [Google Scholar] [CrossRef]
- Park, C.S.; Jang, W.; Nah, S.P.; Kim, D.Y. Automatic modulation recognition using support vector machine in software radio applications. In Proceedings of the 9th International Conference on Advanced Communication Technology, Phoenix Park, Republic of Korea, 12–14 February 2007; IEEE: Piscataway, NJ, USA, 2007; Volume 1, pp. 9–12. [Google Scholar]
- Aslam, M.W.; Zhu, Z.; Nandi, A.K. Automatic modulation classification using combination of genetic programming and KNN. IEEE Trans. Wirel. Commun. 2012, 11, 2742–2750. [Google Scholar]
- Park, C.S.; Choi, J.H.; Nah, S.P.; Jang, W.; Kim, D.Y. Automatic modulation recognition of digital signals using wavelet features and SVM2008. In Proceedings of the 10th International Conference on Advanced Communication Technology, Gangwon, Republic of Korea, 17–20 February 2008; IEEE: Piscataway, NJ, USA, 2008; Volume 1, pp. 387–390. [Google Scholar]
- Das, D.; Anand, A.; Bora, P.K.; Bhattacharjee, R. Cumulant Based Automatic Modulation Classification of QPSK, OQPSK, π/4-QPSK and 8-PSK in MIMO Environment International Conference on Signal Processing & Communications; IEEE: Piscataway, NJ, USA, 2016. [Google Scholar]
- Ling, Q.; Zhang, L.; Yan, W.; Kong, D. Hierarchical space–time block codes signals classification using higher order cumulants. Chin. J. Aeronaut. 2016, 29, 754–762. [Google Scholar] [CrossRef]
- Sun, X.; Su, S.; Zuo, Z.; Guo, X.; Tan, X. Modulation classification using compressed sensing and decision tree–support vector machine in cognitive radio system. Sensors 2020, 20, 1438. [Google Scholar] [CrossRef]
- Zhang, W. Automatic Modulation Classification Based on Statistical Features and Support Vector Machine 2014 XXXIth URSI General Assembly and Scientific Symposium (URSI GASS); IEEE: Piscataway, NJ, USA, 2014; pp. 1–4. [Google Scholar]
- Goodfellow, I.; Bengio, Y.; Courville, A. Deep Learning; MIT Press: Cambridge, MA, USA, 2016. [Google Scholar]
- Young, T.; Hazarika, D.; Poria, S.; Cambria, E. Recent trends in deep learning based natural language processing. IEEE Comput. Intell. Mag. 2018, 13, 55–75. [Google Scholar] [CrossRef]
- Masita, K.L.; Hasan, A.N.; Shongwe, T. Deep learning in object detection: A review. In Proceedings of the International Conference on Artificial Intelligence, Big Data, Computing and Data Communication Systems (icABCD), Durban, South Africa, 6–7 August 2020; IEEE: Piscataway, NJ, USA; pp. 1–11. [Google Scholar]
- Covington, P.; Adams, J.; Sargin, E. Deep neural networks for youtube recommendations. In Proceedings of the 10th ACM Conference on Recommender Systems, Boston, MA, USA, 15–19 September 2016; pp. 191–198. [Google Scholar]
- O’Shea, T.J.; Corgan, J.; Clancy, T.C. Convolutional Radio Modulation Recognition Networks International Conference on Engineering Applications of Neural Networks; Springer: Cham, Switzerland, 2016; pp. 213–226. [Google Scholar]
- Hong, D.; Zhang, Z.; Xu, X. Automatic modulation classification using recurrent neural networks. In Proceedings of the 2017 3rd IEEE International Conference on Computer and Communications (ICCC), Chengdu, China, 13–16 December 2017; IEEE: Piscataway, NJ, USA, 2017; pp. 695–700. [Google Scholar]
- Rajendran, S.; Meert, W.; Giustiniano, D.; Lenders, V.; Pollin, S. Deep learning models for wireless signal classification with distributed low-cost spectrum sensors. IEEE Trans. Cogn. Commun. Netw. 2018, 4, 433–445. [Google Scholar] [CrossRef]
- Sun, J.; Shi, W.; Yang, Z.; Yang, J.; Gui, G. Behavioral modeling and linearization of wideband RF power amplifiers using BiLSTM networks for 5G wireless systems. IEEE Trans. Veh. Technol. 2019, 68, 10348–10356. [Google Scholar] [CrossRef]
- O’Shea, T.J.; Roy, T.; Clancy, T.C. Over-the-air deep learning based radio signal classification. IEEE J. Sel. Top. Signal Process. 2018, 12, 168–179. [Google Scholar] [CrossRef]
- Huynh-The, T.; Hua, C.H.; Pham, Q.V.; Kim, D.S. MCNet: An efficient CNN architecture for robust automatic modulation classification. IEEE Commun. Lett. 2020, 24, 811–815. [Google Scholar] [CrossRef]
- Tunze, G.B.; Huynh-The, T.; Lee, J.M.; Kim, D.S. Multi-shuffled convolutional blocks for low-complex modulation recognition. In Proceedings of the 2020 International Conference on Information and Communication Technology Convergence (ICTC), Jeju Islan, Republic of Korea, 21–23 October 2020; IEEE: Piscataway, NJ, USA, 2020; pp. 939–942. [Google Scholar]
- Tunze, G.B.; Huynh-The, T.; Lee, J.-M.; Kim, D.S. Sparsely connected CNN for efficient automatic modulation recognition. IEEE Trans. Veh. Technol. 2020, 69, 15557–15568. [Google Scholar] [CrossRef]
- Huynh-The, T.; Hua, C.H.; Doan, V.S.; Kim, D.S. Accurate modulation classification with reusable-feature convolutional neural network. In Proceedings of the 2020 IEEE Eighth International Conference on Communications and Electronics (ICCE), Phu Quoc Island, Vietnam, 13–15 January 2021 ; IEEE: Piscataway, NJ, USA, 2021; pp. 12–17. [Google Scholar]
- Huynh-The, T.; Doan, V.S.; Hua, C.H.; Pham, Q.V.; Kim, D.S. Chain-Net: Learning deep model for modulation classification under synthetic channel impairment GLOBECOM 2020. In Proceedings of the 2020 IEEE Global Communications Conference, Taipei, Taiwan, 7–11 December 2020; IEEE: Piscataway, NJ, USA, 2020; pp. 1–6. [Google Scholar]
- Wang, Y.; Yang, J.; Liu, M.; Gui, G. LightAMC: Lightweight automatic modulation classification via deep learning and compressive sensing. IEEE Trans. Veh. Technol. 2020, 69, 3491–3495. [Google Scholar] [CrossRef]
- Njoku, J.N.; Morocho-Cayamcela, M.E.; Lim, W. CGDNet: Efficient hybrid deep learning model for robust automatic modulation recognition. IEEE Netw. Lett. 2021, 3, 47–51. [Google Scholar] [CrossRef]
- Yang, H.; Zhao, L.; Yue, G.; Ma, B.; Li, W. IRLNet: A Short-Time and Robust Architecture for Automatic Modulation Recognition. IEEE Access 2021, 9, 143661–143676. [Google Scholar] [CrossRef]
- Zheng, Y.; Ma, Y.; Tian, C. TMRN-GLU: A Transformer-Based Automatic Classification Recognition Network Improved by Gate Linear Unit. Electronics 2022, 11, 1554. [Google Scholar] [CrossRef]
- Su, H.; Fan, X.; Liu, H. Robust and Efficient Modulation Recognition with Pyramid Signal Transformer GLOBECOM 2022. In Proceedings of the 2022 IEEE Global Communications Conference, Rio de Janeiro, Brazil, 4–8 December 2022; IEEE: Piscataway, NJ, USA, 2022; pp. 1868–1874. [Google Scholar]
- An, T.T.; Lee, B.M. Robust Automatic Modulation Classification in Low Signal to Noise Ratio. IEEE Access 2023, 11, 7860–7872. [Google Scholar] [CrossRef]
- Huang, S.; Jiang, Y.; Gao, Y.; Feng, Z.; Zhang, P. Automatic modulation classification using contrastive fully convolutional network. IEEE Wirel. Commun. Lett. 2019, 8, 1044–1047. [Google Scholar] [CrossRef]
- Xu, M.; Hou, J.; Wu, P.; Liu, Y.; Lv, Z. Convolutional neural networks based on time-frequency characteristic for modulation classification. Comput. Sci. 2020, 47, 175–179. [Google Scholar]
- Zha, X.; Peng, H.; Qin, X. Modulation recognition method based on multi-inputs convolution neural network. J. Commun. 2019, 40, 30–37. [Google Scholar]
- Wang, Y.; Liu, M.; Yang, J.; Gui, G. Data-driven deep learning for automatic modulation recognition in cognitive radios. IEEE Trans. Veh. Technol. 2019, 68, 4074–4077. [Google Scholar] [CrossRef]
- Han, H.; Yi, Z.; Zhu, Z.; Li, L.; Gong, S.; Li, B.; Wang, M. Automatic Modulation Recognition Based on Deep-Learning Features Fusion of Signal and Constellation Diagram. Electronics 2023, 12, 552. [Google Scholar] [CrossRef]
- Ma, P.; Liu, Y.; Li, L.; Zhu, Z.; Li, B. A Robust Constellation Diagram Representation for Communication Signal and Automatic Modulation Classification. Electronics 2023, 12, 920. [Google Scholar] [CrossRef]
- Guo, Y.; Yao, W. Modulation Signal Classification and Recognition Algorithm Based on Signal to Noise Ratio Classification Network. J. Electron. Inf. Technol. 2022, 44, 3507–3515. (In Chinese) [Google Scholar]
- Zhou, Z.; Siddiquee, M.M.R.; Tajbakhsh, N.; Liang, J. Unet++: Redesigning skip connections to exploit multiscale features in image segmentation. IEEE Trans. Med. Imaging 2019, 39, 1856–1867. [Google Scholar] [CrossRef]
- Woo, S.; Park, J.; Lee, J.Y.; Kweon, I.S. Cbam: Convolutional block attention module. In Proceedings of the European Conference on Computer Vision (ECCV), Glasgow, UK, 8–14 September 2018; pp. 3–19. [Google Scholar]
- Kingma, D.P.; Ba, J. Adam: A method for stochastic optimization. arXiv 2014, arXiv:1412.6980. [Google Scholar]
- West, N.E.; O’shea, T. Deep architectures for modulation recognition. In Proceedings of the 2017 IEEE International Symposium on Dynamic Spectrum Access Networks (DySPAN), Baltimore, MD, USA, 6–9 March 2017; IEEE: Piscataway, NJ, USA, 2017; pp. 1–6. [Google Scholar]
- Ramjee, S.; Ju, S.; Yang, D.; Liu, X.; Gamal, A.E.; Eldar, Y.C. Fast deep learning for automatic modulation classification. arXiv 2019, arXiv:1901.05850. [Google Scholar]



















| Conv-Name | Conv1 | Conv2 | Conv3 | Conv4 |
|---|---|---|---|---|
| Conv-Block1 | Conv2d(32, 32, 1, 1, 0) | Conv2d(32, 8, 1, 1, 0) | Conv2d(8, 8, 1, 1, 0) | Conv2d(8, 32, 1, 1, 0) |
| Conv-Blcok2 | Conv2d(32, 64, 1, 1, 0) | Conv2d(32, 16, 1, 1, 1) | Conv2d(16, 16, 1, 1, 1) | Conv2d(16, 64, 1, 1, 0) |
| Conv-Block3 | Conv2d(64, 128, 1, 1, 0) | Conv2d(128, 32, 1, 1, 0) | Conv2d(32, 32, 1, 1, 0) | Conv2d(32, 16, 1, 1, 0) |
| Module Type | Output Size | Description |
|---|---|---|
| Input-1 | (1, 2, 1024) | In-phase and quadrature components of signal (I/Q data) |
| Pre-1 | (32, 3, 256) | Includes 2 convolutions, 2 normalizations, and 1 pooling |
| Conv-Block-1 | (32, 3, 256) (8, 3, 256) (8, 3, 256) (32, 3, 256) | 4 convolutions |
| Conv-Block-2 | (64, 3, 256) (16, 3, 256) (16, 3, 256) (64, 3, 256) | 4 convolutions |
| Conv-Block-3 | (128, 3, 256) (32, 3, 256) (32, 3, 256) (16, 3, 256) | 4 convolutions |
| Maxpool-1 | (16, 1, 16) | kernel size = (3, 16) |
| Input-2 | (3, 256, 256) | Constellation diagram data |
| Pre-2 | (8, 64, 64) | 1 convolution, 1 normalization, and 1 pooling |
| Res-Stack-1 | (16, 64, 64) × 3 | Convolution(stride = 0) |
| Res-Stack-2 | (32, 64, 64) × 4 | Convolution(stride = 0) |
| Res-Stack-3 | (32, 64, 64) × 6 | Convolution(stride = 2) |
| Res-Stack-4 | (16, 64, 64) × 3 | Convolution(stride = 0) |
| Maxpool-2 | (16, 16, 16) | kernel size = (4, 4) |
| Concatenation | (16, 17, 16) | Concat output of Maxpool 1 and Maxpool 2 |
| CBAM(Attention) | (16, 17, 16) | Spatial attention and channel attention |
| Dense-1 Dense-2(Output) | (128) (10) | Full connection units Activation: SoftMax |
| Parameter | Value |
|---|---|
| Modulation modes | Digital: BPSK 1, QPSK 1, 8PSK 1, QAM16 2, QAM64 2, GFSK 3, CPFSK 3, and PAM4 4; Analog: WBFM 5 and AM-DSB 5 |
| Number of datasets | 1,200,000 pieces |
| SNR (dB) | −20:2:18 |
| The number of signal samples for per piece | 2 × 128 |
| Channel model | Center frequency offset (CFO), Sample rate offset (SRO), AWGN, Rayleigh, Rician |
| Data source | GNU Radio simulated |
| Type | Value |
|---|---|
| Optimizer | Adam (Default) |
| Epoch | 50 |
| Mini-batch | 64 |
| Learning Rate | 3 × 10−4 |
| LRScheduler | StepLR |
| LRDropStep | 20 epochs |
| LRDropFactor | 0.1 |
| Mode | 8PSK | AM-DSB | BPSK | CPFSK | GFSK | PAM4 | QAM16 | QAM64 | QPSK | WBFM | |
|---|---|---|---|---|---|---|---|---|---|---|---|
| SNR | |||||||||||
| 12 dB | ![]() | ||||||||||
| 6 dB | ![]() | ||||||||||
| 0 dB | ![]() | ||||||||||
| −6 dB | ![]() | ||||||||||
| Model | Average Recognition Accuracy | The Maximum Recognition Accuracy | Model Parameters Numbers |
|---|---|---|---|
| M-LSCANet | 66.56% | 96.04% | 544 k 1 (SNR ≥ −4 dB) 63 k 1 (SNR < −4 dB) |
| TMRN-GLU [36] | 66.05% | 94.74% | 103 k |
| SigFormer-Net [37] | 65.77% | 94.08% | 440 k |
| IRLNet [35] | 63.92% | 93.74% | 318 k |
| ResNet [27] | 61.79% | 91.00% | 157 k |
| CLDNN [49] | 59.06% | 86.83% | 163 k |
| CNN4 [50] | 56.09% | 83.46% | 3263 k |
Disclaimer/Publisher’s Note: The statements, opinions and data contained in all publications are solely those of the individual author(s) and contributor(s) and not of MDPI and/or the editor(s). MDPI and/or the editor(s) disclaim responsibility for any injury to people or property resulting from any ideas, methods, instructions or products referred to in the content. |
© 2023 by the authors. Licensee MDPI, Basel, Switzerland. This article is an open access article distributed under the terms and conditions of the Creative Commons Attribution (CC BY) license (https://creativecommons.org/licenses/by/4.0/).
Share and Cite
Duan, R.; Li, X.; Zhang, H.; Yang, G.; Li, S.; Cheng, P.; Li, Y. A Multi-Modal Modulation Recognition Method with SNR Segmentation Based on Time Domain Signals and Constellation Diagrams. Electronics 2023, 12, 3175. https://doi.org/10.3390/electronics12143175
Duan R, Li X, Zhang H, Yang G, Li S, Cheng P, Li Y. A Multi-Modal Modulation Recognition Method with SNR Segmentation Based on Time Domain Signals and Constellation Diagrams. Electronics. 2023; 12(14):3175. https://doi.org/10.3390/electronics12143175
Chicago/Turabian StyleDuan, Ruifeng, Xinze Li, Haiyan Zhang, Guoting Yang, Shurui Li, Peng Cheng, and Yonghui Li. 2023. "A Multi-Modal Modulation Recognition Method with SNR Segmentation Based on Time Domain Signals and Constellation Diagrams" Electronics 12, no. 14: 3175. https://doi.org/10.3390/electronics12143175
APA StyleDuan, R., Li, X., Zhang, H., Yang, G., Li, S., Cheng, P., & Li, Y. (2023). A Multi-Modal Modulation Recognition Method with SNR Segmentation Based on Time Domain Signals and Constellation Diagrams. Electronics, 12(14), 3175. https://doi.org/10.3390/electronics12143175





