IRC-CLVul: Cross-Programming-Language Vulnerability Detection with Intermediate Representations and Combined Features
Abstract
1. Introduction
- We propose a cross-programming-language vulnerability detection method based on intermediate representation and combined features, using the LLVM intermediate representation (LLVM-IR) to avoid differences in vocabulary, which constitutes the basis of cross-programming language detection.
- We propose a combined semantic feature extraction method, using a network based on the attention mechanism to extract code sequence features and capture the global information of code; we used the graph vector generation network to extract the control information of the control flow graph and capture the code structure information.
- We input the final semantic vector into Random Forest for further information capture and vulnerability pattern training and finally generated a vulnerability classification result. We used three different programming languages and over 80,000 samples to conduct experiments and compared our method with the most advanced programming language semantic capture networks (CodeBERT, InferCode). The result shows that our method is superior in recall, precision, F1 score, and accuracy compared with the baseline algorithms.
2. Related Work
2.1. Software Vulnerability Detection
2.2. Code Intelligence Based on Source Code
2.3. Cross-Program Language Learning
3. Method and Model
3.1. Motivation and Framework
3.2. Intermediate Representation
3.3. Semantic Abstract Representation and Vectorization
| Algorithm 1:Graph2Vec |
![]() |
| Algorithm 2:GetWLSubgraph |
![]() |
3.4. Classification
4. Experiments Design
4.1. Research Questions
4.2. Datasets and Evaluation Metrics
4.3. Baseline
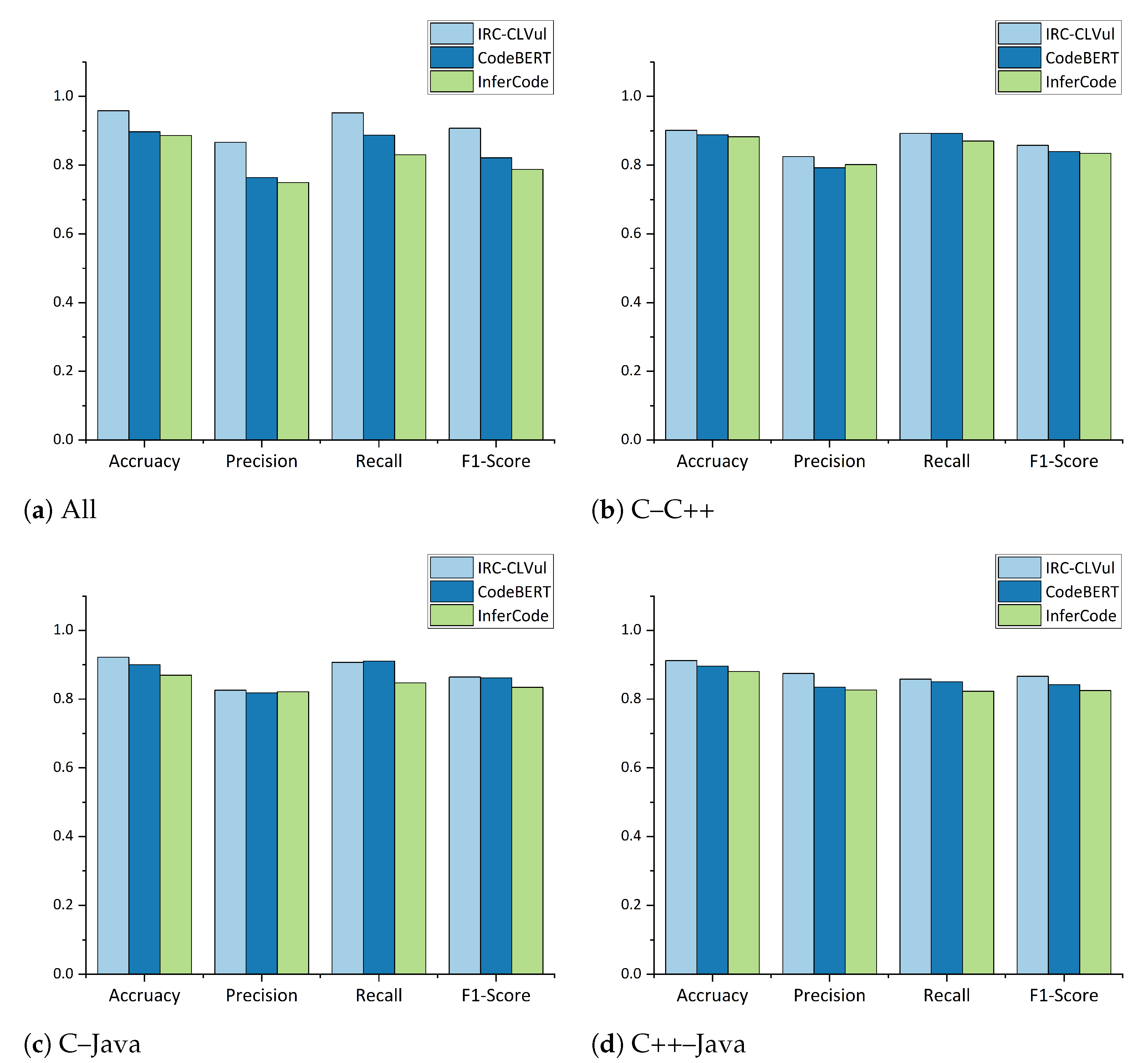
5. Results and Analysis
5.1. The Accuracy of the Model
5.2. The Effect of IR
5.3. The Effect of Combined Feature
5.4. Analysis and Comparison
6. Conclusions and Future Work
Author Contributions
Funding
Data Availability Statement
Conflicts of Interest
References
- Alon, U.; Zilberstein, M.; Levy, O.; Yahav, E. code2vec: Learning distributed representations of code. Proc. Acm Program. Lang. 2019, 3, 29. [Google Scholar] [CrossRef]
- Wang, S.; Liu, T.; Tan, L. Automatically Learning Semantic Features for Defect Prediction. In Proceedings of the 2016 IEEE/ACM 38th International Conference on Software Engineering (ICSE), Austin, TX, USA, 14–22 May 2016; pp. 297–308. [Google Scholar]
- Yi, Y.; Li, Y.; Chen, K. Vulnerability Detection Methods Based on Natural Language Processing. J. Comput. Res. Dev. 2022, 59, 2649–2666. (In Chinese) [Google Scholar]
- Zimmermann, T.; Nagappan, N.; Williams, L. Searching for a needle in a haystack: Predicting security vulnerabilities for windows vista. In Proceedings of the 2010 Third International Conference on Software Testing, Verification and Validation, Paris, France, 6–10 April 2010; IEEE: Piscataway, NJ, USA, 2010; pp. 421–428. [Google Scholar]
- Chowdhury, I.; Zulkernine, M. Using complexity, coupling, and cohesion metrics as early indicators of vulnerabilities. J. Syst. Archit. 2011, 57, 294–313. [Google Scholar] [CrossRef]
- Younis, A.; Malaiya, Y.; Anderson, C.; Ray, I. To fear or not to fear that is the question: Code characteristics of a vulnerable functionwith an existing exploit. In Proceedings of the 6th ACM Conference on Data and Application Security and Privacy, New Orleans, LA, USA, 9–11 March 2016; pp. 97–104. [Google Scholar]
- Hanif, H.; Maffeis, S. Vulberta: Simplified source code pre-training for vulnerability detection. In Proceedings of the 2022 International Joint Conference on Neural Networks (IJCNN), Padua, Italy, 18–23 July 2022; IEEE: Piscataway, NJ, USA, 2022; pp. 1–8. [Google Scholar]
- Li, X.; Wang, L.; Xin, Y.; Yang, Y.; Tang, Q.; Chen, Y. Automated software vulnerability detection based on hybrid neural network. Appl. Sci. 2021, 11, 3201. [Google Scholar] [CrossRef]
- Tang, G.; Meng, L.; Wang, H.; Ren, S.; Wang, Q.; Yang, L.; Cao, W. A comparative study of neural network techniques for automatic software vulnerability detection. In Proceedings of the 2020 International Symposium on Theoretical Aspects of Software Engineering (TASE), Hangzhou, China, 11–13 December 2020; IEEE: Piscataway, NJ, USA, 2020; pp. 1–8. [Google Scholar]
- Wu, F.; Wang, J.; Liu, J.; Wang, W. Vulnerability detection with deep learning. In Proceedings of the 2017 3rd IEEE International Conference on Computer and Communications (ICCC), Chengdu, China, 13–16 December 2017; IEEE: Piscataway, NJ, USA, 2017; pp. 1298–1302. [Google Scholar]
- Wang, W.; Li, G.; Ma, B.; Xia, X.; Jin, Z. Detecting code clones with graph neural network and flow-augmented abstract syntax tree. In Proceedings of the 2020 IEEE 27th International Conference on Software Analysis, Evolution and Reengineering (SANER), London, ON, Canada, 18–21 February 2020; IEEE: Piscataway, NJ, USA, 2020; pp. 261–271. [Google Scholar]
- Chen, D.; Li, B.; Zhou, C.; Zhu, X. Automatically identifying bug entities and relations for bug analysis. In Proceedings of the 2019 IEEE 1st International Workshop on Intelligent Bug Fixing (IBF), Hangzhou, China, 24 February 2019; IEEE: Piscataway, NJ, USA, 2019; pp. 39–43. [Google Scholar]
- Li, D.; Wong, W.E.; Jian, M.; Geng, Y.; Chau, M. Improving search-based automatic program repair with Neural Machine Translation. IEEE Access 2022, 10, 51167–51175. [Google Scholar] [CrossRef]
- Zhang, Y.; Ge, C.; Hong, S.; Tian, R.; Dong, C.; Liu, J. DeleSmell: Code smell detection based on deep learning and latent semantic analysis. Knowl.-Based Syst. 2022, 255, 109737. [Google Scholar] [CrossRef]
- Yahya, M.A.; Kim, D.K. CLCD-I: Cross-Language Clone Detection by Using Deep Learning with InferCode. Computers 2023, 12, 12. [Google Scholar] [CrossRef]
- Nafi, K.W.; Kar, T.S.; Roy, B.; Roy, C.K.; Schneider, K.A. Clcdsa: Cross language code clone detection using syntactical features and api documentation. In Proceedings of the 2019 34th IEEE/ACM International Conference on Automated Software Engineering (ASE), San Diego, CA, USA, 11–15 November 2019; IEEE: Piscataway, NJ, USA, 2019; pp. 1026–1037. [Google Scholar]
- Feng, Z.; Guo, D.; Tang, D.; Duan, N.; Feng, X.; Gong, M.; Shou, L.; Qin, B.; Liu, T.; Jiang, D.; et al. CodeBERT: A Pre-Trained Model for Programming and Natural Languages. In Proceedings of the Findings of the Association for Computational Linguistics: EMNLP 2020, Online, 16–20 November 2020; pp. 1536–1547. [Google Scholar]
- Bui, N.D.; Yu, Y.; Jiang, L. Infercode: Self-supervised learning of code representations by predicting subtrees. In Proceedings of the 2021 IEEE/ACM 43rd International Conference on Software Engineering (ICSE), Madrid, Spain, 22–30 May 2021; IEEE: Piscataway, NJ, USA, 2021; pp. 1186–1197. [Google Scholar]
- Wang, K.; Yan, M.; Zhang, H.; Hu, H. Unified abstract syntax tree representation learning for cross-language program classification. In Proceedings of the 30th IEEE/ACM International Conference on Program Comprehension, Pittsburgh, PA, USA, 16–17 May 2022; pp. 390–400. [Google Scholar]
- Hasija, K.; Pradhan, S.; Patwardhan, M.; Medicherla, R.K.; Vig, L.; Naik, R. Neuro-symbolic Zero-Shot Code Cloning with Cross-Language Intermediate Representation. arXiv 2023, arXiv:2304.13350. [Google Scholar]
- Lin, Z.; Li, G.; Zhang, J.; Deng, Y.; Zeng, X.; Zhang, Y.; Wan, Y. XCODE: Towards Cross-Language Code Representation with Large-Scale Pre-Training. ACM Trans. Softw. Eng. Methodol. TOSEM 2022, 31, 52. [Google Scholar] [CrossRef]
- Ullah, F.; Wang, J.; Jabbar, S.; Al-Turjman, F.; Alazab, M. Source code authorship attribution using hybrid approach of program dependence graph and deep learning model. IEEE Access 2019, 7, 141987–141999. [Google Scholar] [CrossRef]
- Li, R.; Feng, C.; Zhang, X.; Tang, C. A lightweight assisted vulnerability discovery method using deep neural networks. IEEE Access 2019, 7, 80079–80092. [Google Scholar] [CrossRef]
- Mend.io. Available online: https://www.mend.io/most-secure-programming-languages/ (accessed on 1 January 2023).
- LLVM. Available online: https://llvm.org/ (accessed on 1 January 2023).
- Vaswani, A.; Shazeer, N.; Parmar, N.; Uszkoreit, J.; Jones, L.; Gomez, A.N.; Kaiser, L.; Polosukhin, I. Attention is all you need. In Advances in Neural Information Processing Systems; MIT Press: Cambridge, MA, USA, 2017; pp. 6000–6010. [Google Scholar]
- Luo, L.; Yang, Z.; Yang, P.; Zhang, Y.; Wang, L.; Lin, H.; Wang, J. An attention-based BiLSTM-CRF approach to document-level chemical named entity recognition. Bioinformatics 2018, 34, 1381–1388. [Google Scholar] [CrossRef] [PubMed]
- Joern. Available online: https://joern.io/ (accessed on 1 January 2023).
- Narayanan, A.; Chandramohan, M.; Venkatesan, R.; Chen, L.; Liu, Y.; Jaiswal, S. graph2vec: Learning distributed representations of graphs. arXiv 2017, arXiv:1707.05005. [Google Scholar]
- Black, P.E.; Black, P.E. Juliet 1.3 Test Suite: Changes from 1.2; US Department of Commerce, National Institute of Standards and Technology: Washington, DC, USA, 2018. [Google Scholar]





| Language | The Most Common Vulnerabilities | ||
|---|---|---|---|
| Top 1 | Top 2 | Top 3 | |
| C | CWE-119 | CWE-20 | CWE-399 |
| C++ | CWE-119 | CWE-20 | CWE-79 |
| Java | CWE-200 | CWE-20 | CWE-79 |
| PHP | CWE-79 | CWE-89 | CWE-264 |
| JavaScript | CWE-310 | CWE-22 | CWE-79 |
| Python | CWE-200 | CWE-264 | CWE-79 |
| Ruby | CWE-79 | CWE-264 | CWE-20 |
| Parameters | Description | Value |
|---|---|---|
| N_estimators | The number of decision trees. | 100 |
| Criterion | The division standard of the node. | Gini |
| Max depth | The maximum depth of the decision tree. | 10 |
| Min samples leaf and Min samples split | The minimum samples contained in the leaf node. | 2 |
| Max features | The maximum number of features considered when building the decision tree optimal model. | auto |
| Number of Common Vulnerability Types | Number of Vulnerabilities | Number of Samples | ||||
|---|---|---|---|---|---|---|
| C | C++ | Java | All | |||
| C | - | 40 | 26 | 17 | 48 | 24,934 |
| C++ | 40 | - | 23 | 46 | 13,486 | |
| Java | 26 | 23 | - | 56 | 47,391 | |
| Method | Accuracy | Precision | Recall | F1 score |
|---|---|---|---|---|
| ours | 0.9585 | 0.8669 | 0.9526 | 0.9077 |
| CodeBERT | 0.8976 | 0.7642 | 0.8880 | 0.8215 |
| InferCode | 0.8864 | 0.7493 | 0.8302 | 0.7877 |
| Dataset | Method | Accuracy | Precision | Recall | F1 Score |
|---|---|---|---|---|---|
| All | IRG-CLVul | 0.9585 | 0.8669 | 0.9526 | 0.9077 |
| IR-CLVul | 0.8458 | 0.8261 | 0.8974 | 0.8603 | |
| G-CLVul | 0.9250 | 0.7881 | 0.9134 | 0.8461 | |
| C–Java | IRG-CLVul | 0.9343 | 0.8789 | 0.9175 | 0.8978 |
| IR-CLVul | 0.8994 | 0.7913 | 0.8581 | 0.8233 | |
| G-CLVul | 0.9274 | 0.8517 | 0.9060 | 0.8780 | |
| C++–Java | IRG-CLVul | 0.9573 | 0.8727 | 0.9118 | 0.8918 |
| IR-CLVul | 0.8737 | 0.7943 | 0.8581 | 0.8250 | |
| G-CLVul | 0.9128 | 0.8231 | 0.8565 | 0.8395 | |
| C–C++ | IRG-CLVul | 0.9247 | 0.7487 | 0.8695 | 0.8046 |
| IR-CLVul | 0.8761 | 0.7907 | 0.8190 | 0.8046 | |
| G-CLVul | 0.8610 | 0.8143 | 0.8429 | 0.8283 |
Disclaimer/Publisher’s Note: The statements, opinions and data contained in all publications are solely those of the individual author(s) and contributor(s) and not of MDPI and/or the editor(s). MDPI and/or the editor(s) disclaim responsibility for any injury to people or property resulting from any ideas, methods, instructions or products referred to in the content. |
© 2023 by the authors. Licensee MDPI, Basel, Switzerland. This article is an open access article distributed under the terms and conditions of the Creative Commons Attribution (CC BY) license (https://creativecommons.org/licenses/by/4.0/).
Share and Cite
Lei, T.; Xue, J.; Wang, Y.; Liu, Z. IRC-CLVul: Cross-Programming-Language Vulnerability Detection with Intermediate Representations and Combined Features. Electronics 2023, 12, 3067. https://doi.org/10.3390/electronics12143067
Lei T, Xue J, Wang Y, Liu Z. IRC-CLVul: Cross-Programming-Language Vulnerability Detection with Intermediate Representations and Combined Features. Electronics. 2023; 12(14):3067. https://doi.org/10.3390/electronics12143067
Chicago/Turabian StyleLei, Tianwei, Jingfeng Xue, Yong Wang, and Zhenyan Liu. 2023. "IRC-CLVul: Cross-Programming-Language Vulnerability Detection with Intermediate Representations and Combined Features" Electronics 12, no. 14: 3067. https://doi.org/10.3390/electronics12143067
APA StyleLei, T., Xue, J., Wang, Y., & Liu, Z. (2023). IRC-CLVul: Cross-Programming-Language Vulnerability Detection with Intermediate Representations and Combined Features. Electronics, 12(14), 3067. https://doi.org/10.3390/electronics12143067



