Next Article in Journal
The DC Inductor Current Ripple Reduction Method for a Two-Stage Power Conversion System
Next Article in Special Issue
NDN-Based Coded Caching Strategy for Satellite Networks
Previous Article in Journal
MUS3E: A Mobility Ubiquitous Sensor Edge Environment for the Elderly
Previous Article in Special Issue
A Robust Scheme for RIS-Assisted UAV Secure Communication in IoT
 
 
Font Type:
Arial Georgia Verdana
Font Size:
Aa Aa Aa
Line Spacing:
Column Width:
Background:
Communication

NOMA or OMA in Delay-QoS Limited Satellite Communications: Effective Capacity Analysis

1
Guangxi Key Laboratory of Ocean Engineering Equipment and Technology, Qinzhou 535011, China
2
Key Laboratory of Beibu Gulf Offshore Engineering Equipment and Technology (Beibu Gulf University), Education Department of Guangxi Zhuang Autonomous Region, Qinzhou 535011, China
3
Sixty-Third Research Institute, National University of Defense Technology, Nanjing 210007, China
*
Author to whom correspondence should be addressed.
Electronics 2023, 12(14), 3004; https://doi.org/10.3390/electronics12143004
Submission received: 10 June 2023 / Revised: 1 July 2023 / Accepted: 6 July 2023 / Published: 8 July 2023

Abstract

In this paper, we theoretically study the achievable capacity of orthogonal and non-orthogonal multiple access (OMA and NOMA) schemes in supporting downlink satellite communication networks. Considering that various satellite applications have different delay quality-of-service (QoS) requirements, the concept of effective capacity is introduced as a delay-guaranteed capacity metric to represent users’ various delay requirements. Specifically, the analytical expressions of effective capacities for each user achieved with the NOMA and OMA schemes are first studied. Then, approximated effective capacities achieved in some special cases, exact closed-form expressions of users’ achievable effective capacity, and the capacity difference between NOMA and OMA schemes are derived. Simulation results are finally provided to validate the theoretical analysis and show the suitable limitations of the NOMA and OMA schemes, such as the NOMA scheme is more suitable for users with better channel quality when transmit signal-to-noise (SNR) is relatively large, while it is suitable for users with worse link gain when transmit SNR is relatively small. Moreover, the influences of delay requirements and key parameters on user selection strategy and system performance are also shown in the simulations.

1. Introduction

Due to the explosive growth of various satellite applications and services, which range from smart grid in remote locations to file transfer and environmental monitoring, future satellite networks are expected to offer much higher data rates and resource utilization efficiency for much more users. However, the limited deployed spectrum resource of satellite communications can hardly meet the quality-of-service (QoS) requirements of these increased resource-consuming multimedia applications. To accommodate the expanding satellite users within the limited spectrum, based on an orthogonal multiple access (OMA) scheme, flexibility resource assignment (RA) has been proposed to alleviate the scarcity of spectrum for satellite networks by enabling on-demand resource allocation [1,2]. Moreover, cognitive radio (CR), with which a licensed user can share the spectrum with an unlicensed user if the interference caused by an unlicensed user is under some certain constraint, has also been introduced in satellite networks to overcome spectrum scarcity by dynamically sharing spectrum between satellites in different orbits, i.e., the CR scheme was introduced to alleviate the spectrum scarcity of LEO satellite by sharing the incumbent spectrum of GEO [3], or between satellite and terrestrial networks, such as the authors in [4,5] studied the performance enhancement introduced by the CR strategy and further applied artificial intelligence to optimally manage spectrum resource. However, although RA and CR strategies can improve the spectrum utilization efficiency, the adopted OMA scheme limits the potential of this improvement due to only one user having access within one time slot/spectrum block.
Different from the OMA scheme, the non-orthogonal multiple access (NOMA) scheme, which can realize multiple access in the same time/frequency block by superposing signals in the power domain and providing increased transmit rate and fairness [6], has been regarded as an attractive and promising technology for future satellite communications. Until now, several works have been investigated to demonstrate the potential benefits brought by introducing the NOMA in satellite networks, such as enhanced ergodic capacity [7,8,9,10], maximized energy efficiency [11], decreased outage probability [12,13], and reduced power consumption [14] in a single spot beam scenario. Extension works to multi-beam satellite networks with massive multiple input multiple output and beam-hopping schemes were conducted in [15,16], respectively. Moreover, some works explored the performance of the NOMA-based satellite networks from the perspective of power allocation or relay selection with various objectives. The works [17,18] were to maximize the sum rate of satellite-terrestrial relay networks by using joint reinforcement learning as well as Karush–Kuhn–Tucker algorithm and Q-learning algorithm, respectively. Taking the transmit reliability as the target, the authors in [19] proposed a relaying protocol and a three-stage relay selection strategy to minimize the system outage probability.
However, no matter what access scheme was adopted, most of these aforementioned works mainly focused on Shannon’s capacity without taking users’ delay quality-of-service (QoS) guarantees into consideration. Actually, in the satellite communications, users’ delay-QoS guarantees are significantly varied even if they are located in the same spot beam; for example, smart grid monitoring is a representative delay-sensitive application while file transfer is a delay-tolerant service. In this respect, the concept of effective capacity was proposed as a delay-QoS guaranteed capacity metric to represent the user’s various delay requirements [20]. Based on this, the authors in [21,22] investigated the negative effects of users’ delay-QoS requirements of OMA-based satellite networks from the perspective of analyzing the system’s achieved effective capacity and maximizing effective energy efficiency, respectively. The performance analysis and suboptimal power control policy for delay-limited NOMA-based satellite networks were, respectively, studied in works [23,24]. Taking transmission latency minimization as the target, the authors in [25] incorporated a multi-agent deep deterministic policy gradient algorithm to solve a joint trajectory and power optimization problem in a NOMA-based satellite aerial network.
Although works [23,24,25] have proven that the NOMA scheme can provide a higher delay-limited system performance than that provided with the OMA scheme at some certain transmission power, they did not study whether the performance of each user achieved with the NOMA scheme can always be higher than that achieved with the OMA scheme in any condition. In other words, a comparative study on the advantages and disadvantages of NOMA and OMA schemes for different satellite users under various transmission conditions has not been investigated. Motivated by these observations, this paper studies the delay-QoS limited capacity for downlink satellite networks. Specifically, the analytical expressions of effective capacities for each user achieved with the NOMA and OMA schemes are first studied. Then, approximated effective capacities achieved in some special cases, exact closed-form expressions of users’ achievable effective capacity, and capacity difference between NOMA and OMA schemes are derived. The simulation results are finally provided to validate the theoretical analysis and show the advantages and disadvantages of NOMA and OMA schemes for different users at different transmission powers. Moreover, the influences of delay requirements and key parameters on user selection strategy and system performance are also shown in the simulations.
The remainder of the paper is organized as follows. Section 2 presents the system model. In Section 3, we derive the theoretical expressions for the effective capacities of each user achieved with the NOMA and OMA schemes in downlink satellite networks. In Section 4, simulation results and discussions are provided and conclusions are finally drawn in Section 5.

2. System Model

As shown in Figure 1, we suppose that there is a satellite simultaneously transmitting signals to multiple users with the help of the NOMA scheme. These users are uniformly deployed in the same spot beam. Specifically, users are ordered based on their link qualities, i.e., g 1 g 2 ⋯≤ g m , where g j is the channel coefficient from satellite to User j (j = 1, 2, ⋯, m). For simplicity, we further assume only the cth and tth users (1 ≤ c < tm) are selected to form a NOMA group, each user in the proposed model is equipped with a single antenna.
Thus, the received signal at User j  ( j = c , t ) is
y j = g j x + w j ,
where w j denotes the noise at the User j with zero mean and δ 2 variance, x = α P s x t + ( 1 α ) P s x c is the superposed signal with α being a fraction of the transmission power P s allocated to User t and x j ( E [ | x j | 2 ] = 1 ) being the signal for User j.
According to the downlink NOMA principle, the user with a weaker channel condition is allocated with more power resources; thus, α 0.5 is assumed here, and decoded directly by viewing other users’ information as noise. Then, with g c 2 g t 2 , the signal-to-interference-plus-noise ratio (SINR) of User c can be written as
γ c N = 1 α ρ g c 2 α ρ g c 2 + 1 ,
while user with better channel condition, i.e., User t, first adopts the successive interference cancellation (SIC) strategy to decode and remove the interference from User c, and the decoding SINR is
γ t c N = 1 α ρ g t 2 α ρ g t 2 + 1 .
We can derive that γ c N < γ t c N since g c < g t . Then, User t decodes its own information and the achieved SINR is
γ t N = α ρ g t 2 .
When a Shadowed-Rician fading distribution is adopted [26,27,28,29,30], the probability density function (PDF) of ρ j with ρ j = ρ α g j 2 and ρ = P s / δ 2 being the transmission SNR, can be given by
f ρ j x = α j α ρ e β j x α ρ 1 F 1 m j ; 1 ; δ j x α ρ ,
where α j = 2 b j m j m j 2 b j 2 b j m j + Ω j m j , δ j = Ω j 2 b j 2 b j m j + Ω j , β j = 1 2 b j with 2 b j and Ω j , respectively, being the average power of the multipath and the LoS components, m j m j > 0 denoting the Nakagami-m fading parameter, and 1 F 1 a ; b ; c being the confluent hypergeometric function ([31], Equation (9.14.1)).
Then, the achievable data rate of User j with the NOMA strategy can be formulated as
R j N = log 2 1 + γ j N .
While if an OMA scheme, i.e., time division multiple access (TDMA), is used, the achievable SINR and data rate of User j can be, respectively, obtained as
γ t T = ρ g t 2 ,
and
R j T = 0.5 log 2 1 + γ j T ,
where γ j T = ρ g j 2 and 0.5 here is due to each user only having half of the available time resources to transmit information in the TDMA scheme.

3. Effective Capacity

To provide services with different delay-QoS requirements, we adopt the concept of effective capacity, which provides a measure for the constant arrival supportable source rate for a given delay exponent requirement characterized by θ ( θ 0 ) [20]. In this paper, an uncorrelated service process across different slots is further assumed and the normalized effective capacity is adopted. In this context, the normalized effective capacity of User j with NOMA and OMA scheme can be, respectively, written as
C j N θ j = 1 θ j T f B ln E e θ j T f B R j N ,
and
C j T θ j = 1 θ j T f B ln E e θ j T f B R j T ,
where T f and B are, respectively, the frame duration and the occupied bandwidth, E denotes the expectation operator, and θ j is a delay-QoS exponent for User j.
By submitting (2), (4), and (6) into (9), we can, respectively, obtain the expressions of effective capacity for Users c and t with the NOMA scheme as
E c N = 1 φ c ln E e φ c log 2 1 + 1 α ρ g c 2 α ρ g c 2 + 1 = 1 φ c ln E 1 + 1 α ρ g c 2 α ρ g c 2 + 1 φ c / ln 2 = 1 φ c ln E 1 α 1 + α 1 α ρ g c 2 + 1 φ c / ln 2 ,
and
E t N = 1 φ t ln E 1 + α ρ g t 2 φ t / ln 2 ,
where φ j = θ j T f B ( j = c , t ) . Similarly, the expressions of effective capacity of Users c and t with the TDMA can be, respectively, calculated by inserting (7) and (8) into (10) as
E c T = 1 φ c ln E 1 + ρ g c 2 0.5 φ c / ln 2 ,
and
E t T = 1 φ t ln E 1 + ρ g t 2 0.5 φ t / ln 2 .
In the following subsections, the influences of key parameters on users’ performance approximations and exact closed-form expressions in both NOMA and OMA schemes, and on each user’s and considered system’s capacity difference between NOMA and OMA for the considered communication network are investigated.

3.1. Effective Capacity Expressions for Some Extreme and Special Cases

Firstly, the capacity achieved by Users c and t in some extreme and special cases, such as ρ 0 and ρ , are studied. Based on (11)–(14) and along some simple manipulations, for User c, we have
lim ρ 0 E c T θ c 0 , lim ρ 0 E c N θ c 0 , lim ρ E c T θ c , lim ρ E c N θ c ln α φ c ln 2 / φ c .
While for User t, we have
lim ρ 0 E t T θ t 0 , lim ρ 0 E t N θ t 0 , lim ρ E t T θ t , lim ρ E t N θ t .
It is worth noting that the effective capacities of both access schemes start at zero for both users when ρ is small enough. Moreover, when ρ , capacities achieved with both access schemes approach infinity except the rate of User c, who experiences a worse channel quality, is limited by ln α φ c ln 2 / φ c . This phenomenon means that even for a very large value of ρ , the achievable rate of User c still tends to a limited value, which is closely related to the power allocation coefficient α and delay-QoS exponent θ c .

3.2. Closed-Form Expressions of Users’ Effective Capacity

Then, to evaluate the closed-form expression of effective capacity for User c with the NOMA scheme, we first transform and simplify 1 F 1 m j ; 1 ; δ t x α ρ by expanding it into generalized hypergeometric series via ([31], Equation (9.14.1)) as
1 F 1 m j , 1 , δ j x α ρ = k = 0 δ j k m j k α k ρ k k ! x k ,
and expressing 1 + α 1 α ρ g c 2 + 1 φ c / ln 2 in terms of the Binominals representations with ([12], Equation (1.11)) as
1 + α 1 α ρ g c 2 + 1 φ c ln 2 = k = 0 φ c ln 2 k α 1 α ρ g c 2 + 1 k ,
where a b = a b b ! with · b being the Pochhammer symbol ([31], Equation (3.10.1)). Then, inserting (5), (6), (17), and (18) into (11) along with ([32], Equation (13.2.5)), we can obtain the desired result for the expression of C c N θ c as,
E c N = 1 φ t ln α t α φ c ln 2 1 ρ k = 0 φ c ln 2 k α 1 k n = 0 δ t k m c n α k ρ k n ! U n + 1 , 2 + n k , β c α ρ ,
where
U a , b , c = 1 Γ a 0 e c x x a 1 1 + x b a 1 d x ,
is the confluent hypergeometric function of the second kind [32]. By substituting (5) and (6) into (12) and following with the similar steps as those in the derivation of (19), the effective capacity for User t with NOMA scheme can be obtained as
E t N = 1 φ t ln α t α ρ k = 0 δ t k m 1 k α k ρ k k ! Γ k + 1 U k + 1 , k + 2 φ t ln 2 , β t α ρ .
Similarly, by following similar steps, the effective capacities achieved with the TDMA scheme of Users c and t can be, respectively, as
E c T = 1 φ c ln α c ρ k = 0 δ c k m 1 k ρ k k ! Γ k + 1 U k + 1 , k + 2 φ c 2 ln 2 , β c ρ ,
and
E t T = 1 φ t ln α t ρ k = 0 δ t k m 1 k ρ k k ! Γ k + 1 U k + 1 , k + 2 φ t 2 ln 2 , β t ρ .

3.3. Capacity Difference between NOMA and OMA Schemes

To further analyze which access scheme is more suitable for a particular transmission SNR ρ , we derive the difference of each user’s achievable rate between NOMA and OMA change with respect to ρ as
E c N E c T ρ = 1 α ln 2 E 1 + ρ g c 2 α ρ g c 2 + 1 φ c / ln 2 1 g c 2 α ρ g c 2 + 1 2 E 1 + ρ g c 2 α ρ g c 2 + 1 φ c / ln 2 1 2 ln 2 E g c 2 1 + ρ g c 2 0.5 φ c / ln 2 1 E 1 + ρ g c 2 0.5 φ c / ln 2 ,
and
E t N E t T ρ = α ln 2 E g t 2 1 + α ρ g t 2 φ t / ln 2 1 E 1 + α ρ g t 2 φ t / ln 2 1 2 ln 2 E g t 2 1 + ρ g t 2 0.5 φ t / ln 2 1 E 1 + ρ g t 2 0.5 φ t / ln 2 .
Based on (24) and (25), special cases of ρ for the difference between NOMA and OMA can be obtained as shown in (26)–(29). From which, we can clearly see that in the case of a small ρ , the resource utilization efficiency of User c with the NOMA scheme is superior to that with the TDMA scheme, but this benefit will decrease with the increasing of the ρ . While for User t, the user with a better channel quality, the resource efficiency achieved with the NOMA scheme is first inferior and then superior to that achieved with the TDMA scheme with the increase in ρ .
E c N E c T ρ ρ 0 1 2 α 2 ln 2 E g c 2 0 .
E c N E c T ρ ρ 0 1 α E g c 2 α ρ 2 ln 2 1 2 ρ ln 2 1 2 ρ ln 2 < 0 .
E t N E t T ρ ρ 0 α 0.5 ln 2 E g t 2 0 .
E t N E t T ρ ρ 0 1 2 ρ ln 2 > 0 .
In total, we can conclude that for User c, the difference between NOMA and OMA, i.e., E c N E c T , starts at the initial value of zero, first increases and then decreases as the ρ grow; thus, the superiority of the NOMA scheme for this user can only be found when ρ is in a relatively low range. Although for User t, E t N E t T starts at the initial value of zero too, the difference first decreases and then increases with the increase in ρ , so we can find that the superiority of the NOMA scheme can be found when ρ is relatively high.

3.4. Sum Capacity Difference between NOMA and OMA Schemes

Finally, the sum capacity achieved with the NOMA and TDMA scheme can be written as E N = E c N + E t N and E T = E c T + E t T , respectively. Thus, the sum capacity difference of the considered system can be given as
E N E T = E c N + E t N E c T E t T .
Since the exact closed-form expression can be obtained by simply inserting (19) and (21)–(23) into (30); here, we just study the sum capacity difference in some extreme SNR cases. Such as when ρ 0 , according to the results given in (15) and (16), we can obtain that lim ρ 0 E N E T = 0 , due to lim ρ 0 E j N / T θ j = 0 , ( j = c , t ) . Moreover, since the sum capacity difference with respect to ρ can be derived as
E N E T ρ = E c N E c T ρ + E t N E t T ρ .
When ρ 0 , based on the expressions given in (24) and (25), we can obtain
lim ρ 0 E N E T ρ 1 α ln 2 E g c 2 + α ln 2 E g t 2 1 2 ln 2 E g c 2 1 2 ln 2 E g t 2 1 2 α 2 ln 2 E g c 2 E g t 2 ,
which is negative since α 0.5 and the assumption that User t experiences a better fading severity than that User t undergoes.
When ρ 0 , according to (11)–(14), we have
lim ρ 0 E N E T 1 φ c ln E α φ c ln 2 + 1 φ c ln E ρ g c 2 0.5 φ c ln 2 1 φ t ln E α ρ g t 2 φ t ln 2 + 1 φ t ln E ρ g t 2 0.5 φ t ln 2 1 φ c ln E g c 2 0.5 φ c ln 2 α φ c ln 2 ρ 0.5 φ c ln 2 + 1 φ t ln ρ 0.5 φ t ln 2 E g t 2 0.5 φ t ln 2 α φ t ln 2 E g t 2 φ t ln 2 ,
whose negative or positive is closely related to the values of power allocation factor α , transmit SNR ρ , delay-QoS exponents, and fading qualities of Users c and t. For simplicity, here, we only consider θ c = θ t , then we have
lim ρ 0 E N E T 1 φ c ln E g c 2 0.5 φ c ln 2 + ln E g t 2 0.5 φ c ln 2 ln E g t 2 φ c ln 2 .

4. Results

In this section, simulation results are conducted to validate the analytical results derived in the previous section. Without loss of generality, we assume T f B = 1 , the carrier frequency as 1.6 GHz, FSL as L c = L t = 187.6 dB, G c = G t = 3.5 dBi, and G m a x = 52.1 dBi [7,8].
We first show the impacts of delay-Qos exponent θ c and power allocation factor α on User c’s performance when it experiences frequent heavy shadowing (FHS) and average shadowing (AS) in Figure 2 and Figure 3, respectively. From these two figures, we can find that the capacity of User c begins at zero, as the value of ρ increases, this capacity first increases, and then converges to a constant, whose value is determined by parameters θ c and α , as the results given in (15). In addition, although the convergence is derived by assuming ρ in (15), the effective capacity of User c saturates when ρ 40 dB and ρ 20 dB in these two fading scenarios. We can also see that either a larger θ c or a larger α can significantly degrade the achievable capacity for User c. While a larger θ c means a smaller tolerated delay outage and a lower supported constant arrival rate, a larger α means a smaller power resource is allocated to User c. Although a lighter shadowing can increase the achieved capacity, it leads to a fast convergence as well. Moreover, we find from these two figures that the superiority of the NOMA scheme for User c can only be found when ρ is relatively small, i.e., ρ 20 dB and ρ 10 dB in heavy and average fading cases, respectively.
Figure 4 and Figure 5 examine the impacts of delay-Qos exponent θ t and power allocation factor α on User t’s performance when it experiences light shadowing (LS) and AS in Figure 4 and Figure 5, respectively. We observe that the curves of capacity achieved with both NOMA and OMA schemes all increase with the increasing of ρ , which agrees well with the derivations given in (16). Moreover, the larger the value of α , the better the capacity achieved with the NOMA scheme. Contrary to User c, the superiority of the NOMA scheme lies in relatively large ρ , i.e., when ρ > 7 dB and ρ > 10 dB in light and average fading cases, respectively.
Then, Figure 6 and Figure 7 present the influences of various fading conditions and α values on the capacity difference between NOMA and TDMA for User c and User t, respectively. As we analyzed in (26)–(29), when transmission SNR ρ increases, the capacity difference of User c first slightly increases and then quickly decreases, while for User t, the difference between NOMA and OMA schemes first decreases and then increases. This phenomenon once again shows that NOMA and OMA schemes have different application scopes for different cases, which is decided by θ t , θ c , α , and fading conditions. We can also observe from Figure 6 and Figure 7 that for either User c or User t, a looser delay constraint θ c , a better link budget, and a larger α can all bring a larger capacity difference.
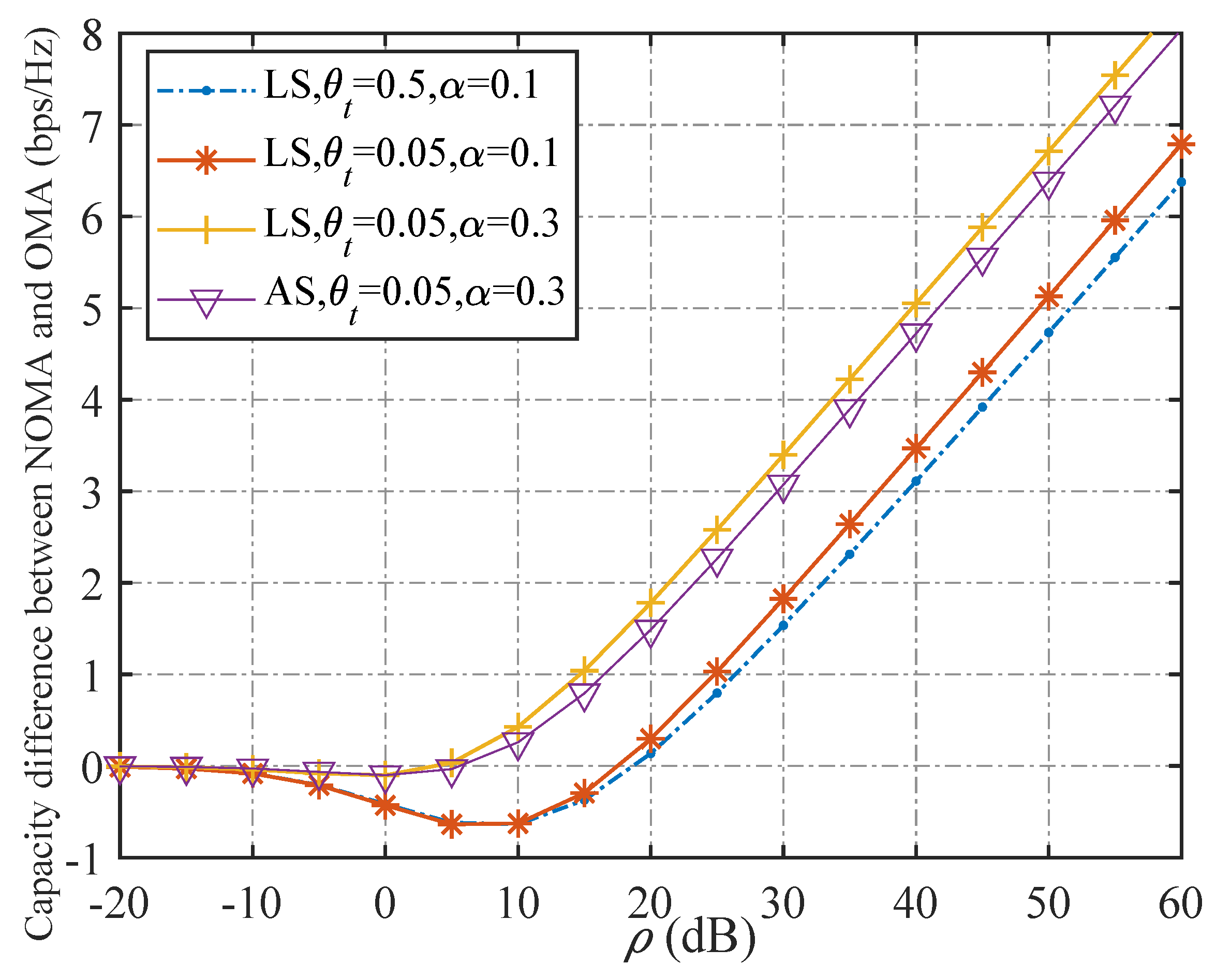
Finally, Figure 8 illustrates the sum capacity difference between NOMA and OMA versus ρ for various fading conditions, θ c , t , α values, and the label (AS/FHS) is the link fading severity of User t/User c. As can be observed, analytical results computed by (34) agree well with the Monte Carlo simulations. Moreover, when ρ 0 , with the α value rising, it can be observed from Figure 8 that the value of the difference becomes smaller. While when ρ 0 , i.e., ρ = 40 dB in this figure, for the special case θ c = θ t , the sum difference is irrelevant to the power allocation coefficient α and transmission SNR ρ , which corresponds to our derivation in (34). In addition, a better/worse fading condition of User t/c, can result in a higher sum capacity difference. However, the sum difference improvement is much more significant when the fading condition of User c degrades. This observation demonstrates that the NOMA scheme outperforms the OMA scheme when ρ is sometimes high and users with greater fading disparity should be selected to form a NOMA pair from the perspective of achieved sum capacity.

5. Conclusions

In this paper, we investigated the effective capacity of downlink satellite networks achieved with NOMA and OMA schemes. In particular, we derived each user’s theoretical capacity expressions including in special cases and closed-form situations, each user’s capacity difference and the considered system’s capacity difference between NOMA and OMA, which enable us to gain further insights into the advantages and disadvantages of NOMA and OMA schemes in satellite communication, and their respective superiority scope. Simulation results have been provided to validate those performance analyses and show that the NOMA scheme outperforms the OMA scheme for User c, who has worse channel quality, only when transmit SNR is small; while for the considered system performance and User t, who has a better link gain, the superiority of the NOMA can be found when transmit SNR is large. Moreover, the influences of key parameters, such as transmit SNR ρ , power allocation factor α , and delay-QoS exponents of users on user selection strategy and system performance are also shown in the simulations.

Author Contributions

Conceptualization, Q.Z. and K.A.; methodology, X.Y. and K.A.; validation, X.Y. and K.A.; investigation, Q.Z. and B.D.; writing—original draft preparation, X.Y.; writing—review and editing, X.Y., K.A., Q.Z. and B.D. All authors have read and agreed to the published version of the manuscript.

Funding

This work was funded by the Guangxi Natural Science Foundation (No. 2020GXNSFBA159051), the China Postdoctoral Science Foundation (No. 2020M681457), the Scientific Research Foundation of Beibu Gulf University (No. 2019KYQD40).

Data Availability Statement

Not applicable.

Conflicts of Interest

The authors declare that they have no known competing financial interest of personal relationships that could have appeared to influence the work reported in this paper.

References

  1. Miao, Z.; Chen, T.; Feng, X.; Hou, X.; Zheng, Z.; Tao, Y.; Wang, Y. Research on resource allocation algorithm for satellite uplink to provide differentiated QoS support. IEEE Syst. J. 2023, 17, 1146–1157. [Google Scholar] [CrossRef]
  2. Abdu, T.S.; Kisseleff, S.; Lagunas, E.; Chatzinotas, S. Flexible resource optimization for GEO multibeam satellite communication system. IEEE Trans. Wirel. Commun. 2021, 20, 7888–7902. [Google Scholar] [CrossRef]
  3. Tang, J.; Bian, D.; Li, G.; Hu, J.; Cheng, J. Resource allocation for LEO beam-hopping satellites in a spectrum sharing scenario. IEEE Access 2021, 9, 56468–56478. [Google Scholar] [CrossRef]
  4. Liang, Y.-C.; Tan, J.; Jia, H.; Jia, H.; Zhang, J.; Zhao, L. Realizing intelligent spectrum management for integrated satellite and terrestrial networks. PTP J. Commun. Inf. Netw. 2021, 6, 32–43. [Google Scholar] [CrossRef]
  5. Pervez, F.; Zhao, L.; Yang, C. Joint user association, power optimization and trajectory control in an integrated satellite-aerial-terrestrial network. IEEE Trans. Wirel. Commun. 2022, 21, 3279–3290. [Google Scholar] [CrossRef]
  6. Peng, H.; Tian, Z.; Li, X.; Wang, W.; Nauryzbayev, G.; Rabie, K.; Gadekallu, T.R. Covert communication for cooperative NOMA with two phases detection. Alex. Eng. J. 2023, 67, 39–49. [Google Scholar] [CrossRef]
  7. Yan, X.; Xiao, H.; An, K.; Zheng, G.; Chatzinotas, S. Ergodic capacity of NOMA-based uplink satellite networks with randomly deployed users. IEEE Syst. J. 2020, 14, 3343–3350. [Google Scholar] [CrossRef]
  8. Yan, X.; An, K.; Liang, T.; Zheng, G.; Ding, Z.; Liu, Y.; Chatzinotas, S. The application of power-domain non-orthogonal multiple access in satellite communication networks. IEEE Access 2019, 7, 63531–63539. [Google Scholar] [CrossRef]
  9. Al-Dulaimi, O.M.K.; Al-Dulaimi, A.M.K.; Alexandra, M.O.; Al-Dulaimi, M.K.H. Strategy for non-orthogonal multiple access and performance in 5G and 6G Networks. Sensors 2023, 23, 1705–1723. [Google Scholar] [CrossRef]
  10. Ge, R.; Bian, D.; Cheng, J.; An, K.; Hu, J.; Li, G. Joint user pairing and power allocation for NOMA-based GEO and LEO satellite network. IEEE Access 2021, 9, 93255–93266. [Google Scholar] [CrossRef]
  11. Mirbolouk, S.; Valizadeh, M.; Amirani, M.C.; Ali, S. Relay selection and power allocation for energy efficiency maximization in hybrid satellite-UAV networks with CoMP-NOMA transmission. IEEE Internet Things J. 2022, 71, 5087–5100. [Google Scholar] [CrossRef]
  12. Tegos, S.A.; Diamantoulakis, P.D.; Xia, J.; Fan, L. Karagiannidis, G.K. Outage performance of uplink NOMA in land mobile satellite communications. IEEE IEEE Trans. Wirel. Lett. 2020, 7, 1710–1714. [Google Scholar]
  13. Guo, K.; Dong, C.; An, K. NOMA-based cognitive satellite terrestrial relay network: Secrecy performance under channel estimation errors and hardware impairments. IEEE Internet Things J. 2022, 9, 17334–17347. [Google Scholar] [CrossRef]
  14. Chu, J.; Chen, X.; Zhong, C.; Zhang, Z. Robust design for NOMA-based multibeam LEO satellite internet of things. IEEE Internet Things J. 2021, 8, 1959–1970. [Google Scholar] [CrossRef]
  15. Gao, Z.; Liu, A.; Han, C.; Liang, X. Sum rate maximization of massive MIMO NOMA in LEO satellite communication system. IEEE Trans. Wirel. Lett. 2021, 10, 1667–1671. [Google Scholar] [CrossRef]
  16. Wang, A.; Lei, L.; Lagunas, E.; Pérez-Neira, A.I.; Chatzinotas, S.; Ottersten, B. Joint optimization of beam-hopping design and NOMA-assisted transmission for flexible satellite systems. IEEE Trans. Wirel. Commun. 2022, 21, 8846–8858. [Google Scholar] [CrossRef]
  17. Zhao, B.; Ren, G.; Dong, X. Joint NOMA clustering and power allocation in IoRT-oriented satellite terrestrial relay networks. IEEE Trans. Veh. Technol. 2022, 71, 11078–11088. [Google Scholar] [CrossRef]
  18. Tubiana, D.A.; Farhat, J.; Brante, G.; Souza, R.D. Q-Learning NOMA random access for IoT-satellite terrestrial relay networks. IEEE Wirel. Commun. Lett. 2022, 11, 1619–1623. [Google Scholar] [CrossRef]
  19. Han, L.; Zhu, W.-P.; Lin, M. Outage analysis of multi-relay NOMA-based hybrid satellite-terrestrial relay networks. IEEE Trans. Veh. Technol. 2022, 71, 6469–6487. [Google Scholar] [CrossRef]
  20. Wu, D.; Negi, R. Effective capacity: A wireless link model for support of quality of service. IEEE Trans. Wirel. Commun. 2003, 2, 630–643. [Google Scholar]
  21. Ruan, Y.; Li, Y.; Wang, C.-X.; Zhang, R.; Zhang, H. Effective capacity analysis for underlay cognitive satellite-terrestrial networks. In Proceedings of the 2017 IEEE International Conference on Communications (ICC) ICC’17, Paris, France, 21–25 May 2017. [Google Scholar]
  22. Ruan, Y.; Li, Y.; Wang, C.-X.; Zhang, R.; Zhang, H. Energy efficient power allocation for delay constrained cognitive satellite terrestrial networks under interference constraints. IEEE Trans. Wirel. Commun. 2019, 18, 4957–4969. [Google Scholar] [CrossRef]
  23. Choi, J. Effective capacity of NOMA and a suboptimal power control policy with delay QoS. IEEE Trans. Wirel. Commun. 2017, 65, 1849–1858. [Google Scholar] [CrossRef]
  24. Yan, X.; An, K.; Li, D.; Xi, H.; Wang, Y.; Li, X.; Chen, H. Delay-limited performance analysis of NOMA-enabled satellite internet of things. In Proceedings of the 2021 IEEE/CIC International Conference on Communications in China (ICCC) ICCC’21, Xiamen, China, 28–30 July 2021. [Google Scholar]
  25. Guo, S.; Zhao, X. Multi-agent deep reinforcement learning based transmission latency minimization for delay-sensitive cognitive satellite-UAV networks. IEEE Trans. Commun. 2023, 71, 131–144. [Google Scholar] [CrossRef]
  26. Abdi, A.; Lau, W.; Alouini, M.-S.; Kaveh, M. A new simple model for land mobile satellite channels: First and second order statistics. IEEE Trans. Wirel. Commun. 2003, 2, 519–528. [Google Scholar] [CrossRef]
  27. Lin, Z.; An, K.; Niu, H.; Hu, Y.; Chatzinotas, S.; Zheng, G.; Wang, J. SLNR-based secure energy efficient beamforming in multibeam satellite systems. IEEE Trans. Aerosp. Electron. Syst. 2023, 59, 2085–2088. [Google Scholar] [CrossRef]
  28. An, K.; Liang, T.; Zheng, G.; Yan, X.; Li, Y.; Chatzinotas, S. Performance limits of cognitive-uplink FSS and terrestrial FS for Ka-band. IEEE Trans. Aerosp. Electron. Syst. 2019, 55, 2604–2611. [Google Scholar] [CrossRef]
  29. An, K.; Lin, M.; Ouyang, J.; Zhu, W. Secure transmission in cognitive satellite terrestrial networks. IEEE J. Sel. Areas Commun. 2016, 34, 3025–3037. [Google Scholar] [CrossRef]
  30. An, K.; Chatzinotas, S.; Hu, Y.; Lin, Z.; Niu, H.; Wang, Y.; Zheng, G. Refracting RIS aided hybrid satellite-terrestrial relay networks: Joint beamforming design and optimization. IEEE Trans. Aerosp. Electron. Syst. 2022, 58, 3717–3724. [Google Scholar]
  31. Gradshteyn, I.S.; Ryzhik, I.M. Table of Integrals, Series, and Products, 7th ed.; Academic: New York, NY, USA, 2007. [Google Scholar]
  32. Mathai, A.M.; Saxena, R.K. The H-Function with Applications in Statistics and Other Disciplines; Wiley: New York, NY, USA, 1978. [Google Scholar]
Figure 1. The proposed NOMA-based satellite networks with delay QoS constraints.
Figure 1. The proposed NOMA-based satellite networks with delay QoS constraints.
Electronics 12 03004 g001
Figure 2. The impacts of θ and α on User c’s performance, when User c experiences FHS.
Figure 2. The impacts of θ and α on User c’s performance, when User c experiences FHS.
Electronics 12 03004 g002
Figure 3. The impacts of θ and α on User c’s performance, when User c experiences AS.
Figure 3. The impacts of θ and α on User c’s performance, when User c experiences AS.
Electronics 12 03004 g003
Figure 4. The impacts of θ and α on User t’s performance, when User c experiences LS.
Figure 4. The impacts of θ and α on User t’s performance, when User c experiences LS.
Electronics 12 03004 g004
Figure 5. The impacts of θ and α on User t’s performance, when User c experiences AS.
Figure 5. The impacts of θ and α on User t’s performance, when User c experiences AS.
Electronics 12 03004 g005
Figure 6. The impacts of various fading conditions and α values on the effective capacity difference between NOMA and TDMA for User c.
Figure 6. The impacts of various fading conditions and α values on the effective capacity difference between NOMA and TDMA for User c.
Electronics 12 03004 g006
Figure 7. The impacts of various fading conditions and α values on the effective capacity difference between NOMA and TDMA for User t.
Figure 7. The impacts of various fading conditions and α values on the effective capacity difference between NOMA and TDMA for User t.
Electronics 12 03004 g007
Figure 8. The sum capacity difference between NOMA and OMA versus ρ for various fading conditions, θ c , t , and α values.
Figure 8. The sum capacity difference between NOMA and OMA versus ρ for various fading conditions, θ c , t , and α values.
Electronics 12 03004 g008
Disclaimer/Publisher’s Note: The statements, opinions and data contained in all publications are solely those of the individual author(s) and contributor(s) and not of MDPI and/or the editor(s). MDPI and/or the editor(s) disclaim responsibility for any injury to people or property resulting from any ideas, methods, instructions or products referred to in the content.

Share and Cite

MDPI and ACS Style

Yan, X.; An, K.; Zhang, Q.; Du, B. NOMA or OMA in Delay-QoS Limited Satellite Communications: Effective Capacity Analysis. Electronics 2023, 12, 3004. https://doi.org/10.3390/electronics12143004

AMA Style

Yan X, An K, Zhang Q, Du B. NOMA or OMA in Delay-QoS Limited Satellite Communications: Effective Capacity Analysis. Electronics. 2023; 12(14):3004. https://doi.org/10.3390/electronics12143004

Chicago/Turabian Style

Yan, Xiaojuan, Kang An, Qianfeng Zhang, and Bo Du. 2023. "NOMA or OMA in Delay-QoS Limited Satellite Communications: Effective Capacity Analysis" Electronics 12, no. 14: 3004. https://doi.org/10.3390/electronics12143004

APA Style

Yan, X., An, K., Zhang, Q., & Du, B. (2023). NOMA or OMA in Delay-QoS Limited Satellite Communications: Effective Capacity Analysis. Electronics, 12(14), 3004. https://doi.org/10.3390/electronics12143004

Note that from the first issue of 2016, this journal uses article numbers instead of page numbers. See further details here.

Article Metrics

Back to TopTop