Distributed Goppa-Coded Generalized Spatial Modulation: Optimized Design and Performance Study
Abstract
1. Introduction
- The DGC-GSM scheme utilizing information selection in the relay is proposed, where the source and relay use different Goppa codes. The encoded codeword at the source is sent to the relay and destination. The relay first decodes the source signal to obtain the estimated source message bits and then chooses partial bits from the decoded message bits to encode them. By combining the codewords transmitted from the source and relay, a channel code is constructed in the destination under the assumption of the error-free decoding in the relay. In the relay, any decoding strategy will result in erroneous decoding and therefore cannot ensure error-free transmission.
- Through the relay’s proper selection of partial bits from the decoded source message bits, a channel code with a larger minimum distance can be constructed at the destination. To construct the best code in the destination, the optimal information bit selection algorithm in the relay is proposed to effectively choose the source information bits.
- Since the optimal algorithm considers all selection methods and source information sequences, it has relatively high computational complexity for the case of Goppa codes with large block lengths. To reduce the complexity, the locally optimized information bit selection algorithm considering partial selection and source information sequences is proposed.
- To effectively recover the source information, we adopt the joint decoding algorithm in the destination to decode the signals from the source-to-destination and relay-to-destination wireless channels.
2. Related Work
3. GSM-Based Goppa-Coded Cooperative System Design
3.1. Fundamentals of Goppa Codes
3.2. System Model in Cooperative Scenarios
4. Design Algorithms of Optimized Selection at the Relay
4.1. Optimal-Based Selection Design Algorithm
4.1.1. Design Steps
| Algorithm 1: Optimal Selection Algorithm |
| Input: , , , , L, Output: The optimal selection pattern Step 1: Determine all source information sequences. Step 2: Determine the sets I and at the R. Step 3: For each and , we get all the codeword sets resulted by source information sequences, and find out the minimum codeword weight . Then, we determine . Step 4: Obtain and . Step 5: For , we end the algorithm and the only element in is determined as the optimal selection pattern , i.e., . Step 6: For ,
|
4.1.2. Complexity Analysis
4.2. Locally Optimized-Based Selection Design Algorithm
4.2.1. Design Steps
| Algorithm 2: Locally Optimized Selection Algorithm |
| Input: , , , Output: The locally optimized selection pattern Step 1: At the S, we determine K source information bit sequences m. Because the source information sequences m yielding codeword weight wt(c) = q () can be selected from those sequences m of weight 1 , this implies the corresponding message sequences m possess, at most, q bits 1, i.e., the realistic number of bits 1 is 1 . The generation process of K source message sequences is as follows:
Step 4: Other steps are similar to steps 3–6 of Algorithm 1. Finally, we obtain . |

4.2.2. Complexity Analysis
4.3. Design Examples and Computation of Complexity of the Two Algorithms
4.3.1. Design Examples
| Goppa Codes | ||
|---|---|---|
- (a)
- Divide the bit positions of the information sequence m into two parts based on Figure 2.
- (b)
- For each wt(c) = q (5), we determine the positions of (1) bits 1 of m: ① In Figure 2a, we randomly choose ()) positions in the 1st part to put bits 1, and fixedly choose positions to put bits 1 in the 2nd part, which yields cases. ② In Figure 2b, cases are also yielded by randomly choosing positions in the 2nd part to put bits 1, and fixedly choosing positions in the 1st part to put bits 1.
- (c)
- By considering all cases for each wt(c) = q, we obtain K = 189 < source information bit sequences.
- (a)
- Choose bit positions from the bit positions: ① In Figure 2a, (3) bit positions are randomly chosen from the 1st part, and bit positions are fixedly chosen from the 2nd part, which generates cases. ② In Figure 2b, cases are also generated by randomly choosing bit positions from the 2nd part and fixedly choosing bit positions from the 1st part.
- (b)
- By considering all cases, we obtain Q = 24 70 selection patterns .
4.3.2. Computation of Complexity
5. Joint Decoding in the Destination
| Algorithm 3: Joint Decoding Algorithm |
| Input: The signal vectors and Output: The estimated source information sequence Step 1: The D uses the GSM demapper using MLD to separately demodulate the signal vectors and and obtains the estimated codeword bit sequences and of c and , respectively. Step 2: By using the Euclidean decoding algorithm, the Goppa decoder decodes to obtain the estimate of relay information sequence with length. Step 3: We utilize the estimated sequence to replace those selected bits in the demodulated codeword sequence and the update of is yielded. Step 4: Finally, we adopt the Goppa decoder to perform decoding for to generate the estimated source information . |
6. Performance Analysis
7. Simulations and Discussions
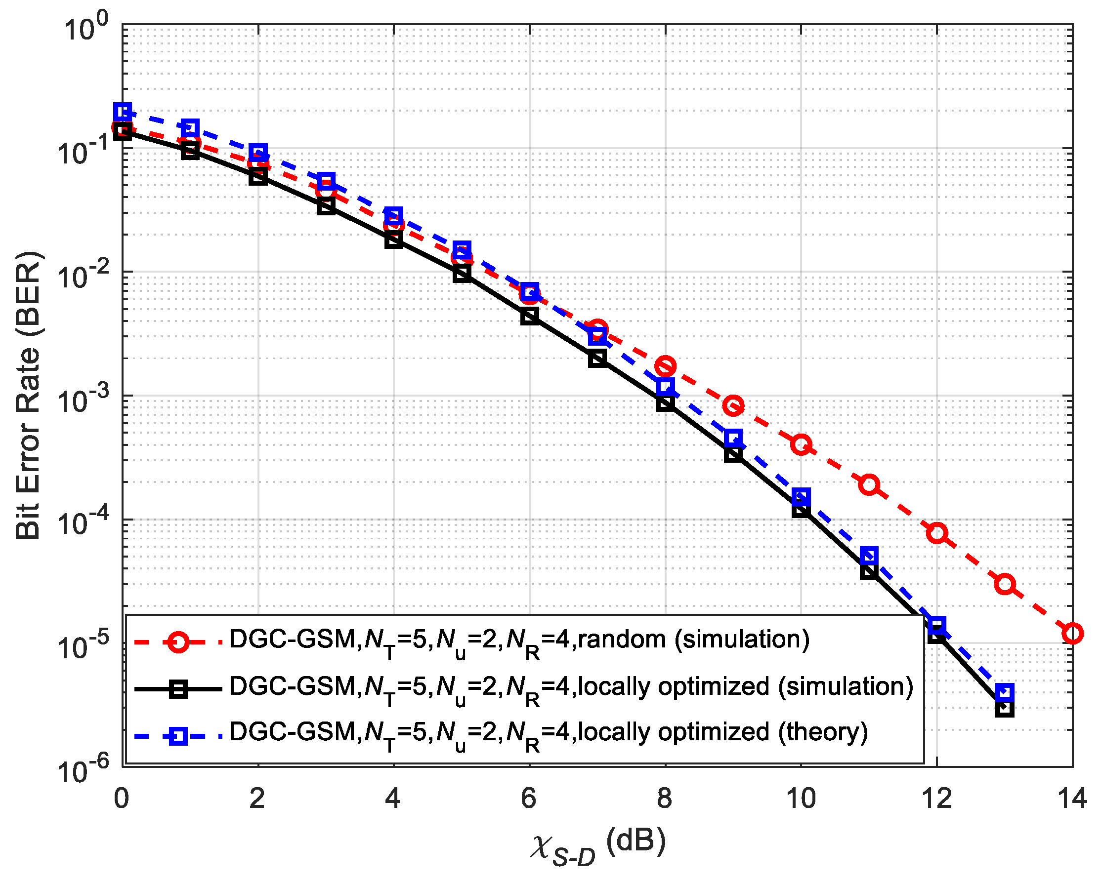
7.1. Performance of the Proposed Scheme under Various Selection Algorithms
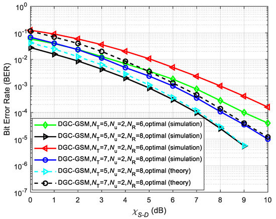
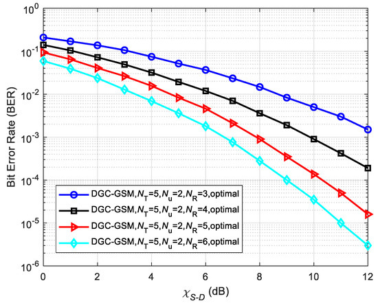
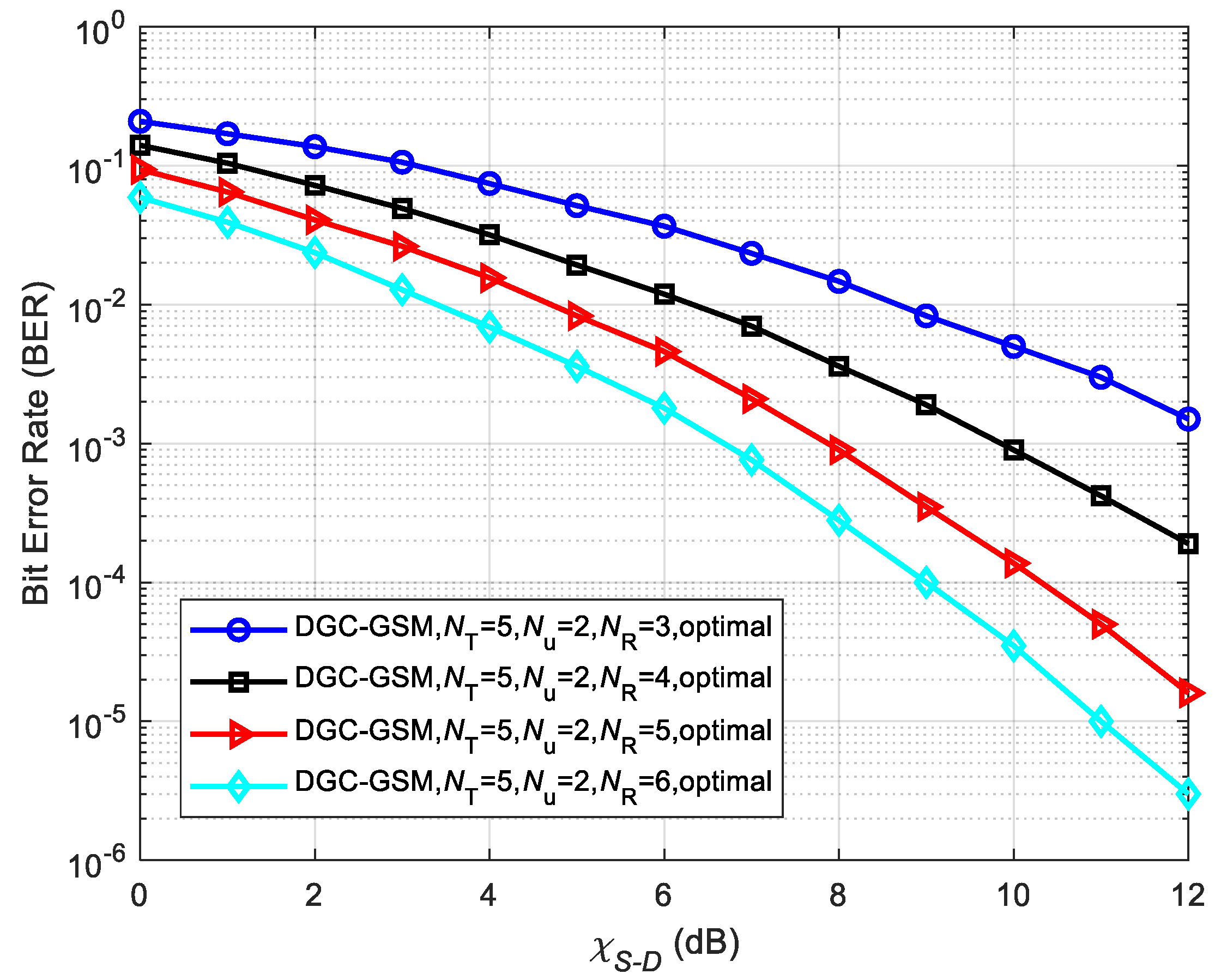
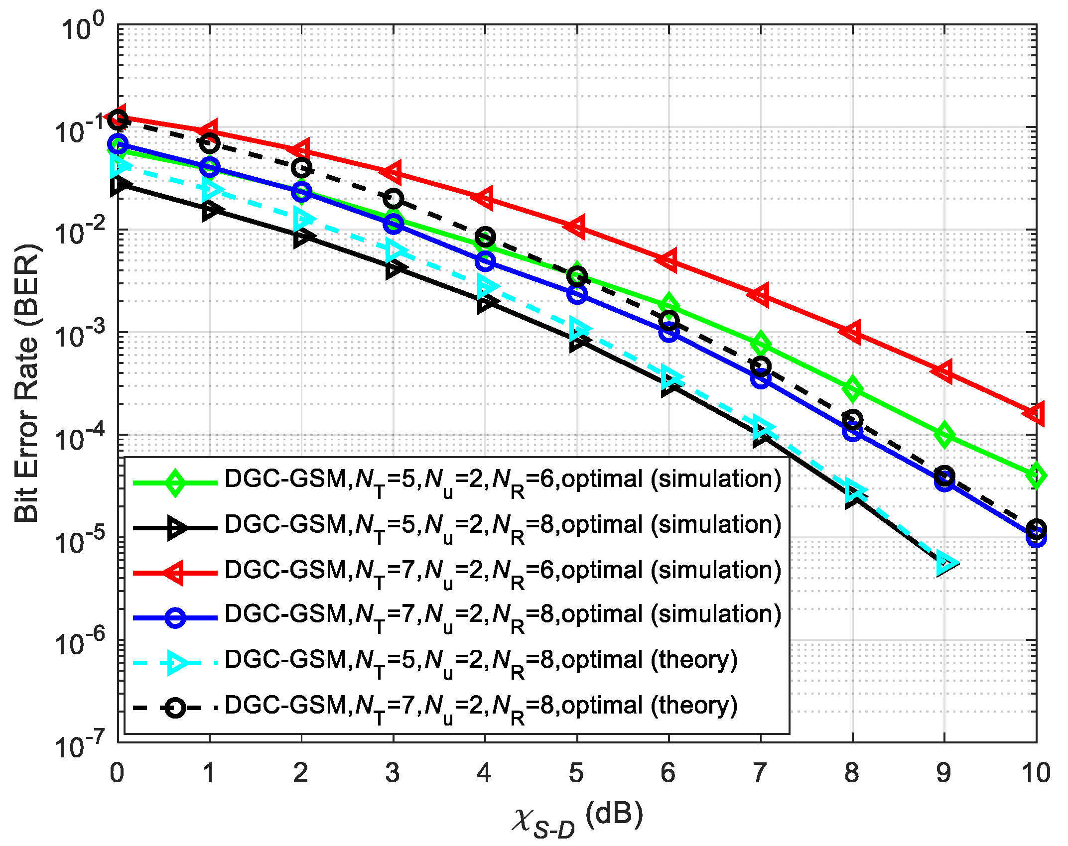
7.2. Performance of the Proposed Scheme with Different Transmit and Receive Antenna Numbers
7.3. Performance of the Proposed Scheme under Different S-R Links and Non-Cooperative Counterpart
7.4. Performance Comparison between the Proposed Scheme and Existing Strategies
7.5. Performance Comparison between the DGC-GSM and DGC-SM Schemes
8. Conclusions
Author Contributions
Funding
Data Availability Statement
Acknowledgments
Conflicts of Interest
References
- Huang, K.; Xiao, Y.; Liu, L.; Li, Y.; Song, Z.; Wang, B.; Li, X. Integrated spatial modulation and STBC-VBLAST design toward efficient MIMO transmission. Sensors 2022, 22, 4719. [Google Scholar] [CrossRef] [PubMed]
- Mesleh, R.Y.; Haas, H.; Sinanovic, S.; Ahn, C.W.; Yun, S. Spatial modulation. IEEE Trans. Veh. Technol. 2008, 57, 2228–2241. [Google Scholar] [CrossRef]
- Serafimovski, N.; Renzo, M.D.; Sinanovic, S.; Mesleh, R.Y.; Haas, H. Fractional bit encoded spatial modulation (FBE–SM). IEEE Commun. Lett. 2010, 14, 429–431. [Google Scholar] [CrossRef]
- Wu, Y.; Ying, H.; Jiang, X.; Hai, H. A joint data mapping and detection for high performance generalized spatial modulation. IEEE Commun. Lett. 2019, 23, 2008–2011. [Google Scholar] [CrossRef]
- Mughal, S.; Yang, F.; Xu, H.; Umar, R. Coded Cooperative Spatial Modulation Based on Multi-Level Construction of Polar Code. Telecommun. Syst. 2018, 70, 435–446. [Google Scholar] [CrossRef]
- Shin, J. New mean-squared-error filter design method for multiple-input multiple-output amplify-and-forward relay systems with a non-negligible direct link. Wirel. Pers. Commun. 2022, 125, 3085–3099. [Google Scholar] [CrossRef]
- Devipriya, S.; Manickam, J.M.L.; Anita, X. On the outage performance of decode-and-forward based relay ordering in cognitive wireless sensor networks. Wirel. Netw. 2022, 28, 3247–3259. [Google Scholar] [CrossRef]
- Mughal, S.; Yang, F.; Umar, R. Reed–Muller network coded-cooperation with joint decoding. IEEE Commun. Lett. 2019, 23, 24–27. [Google Scholar] [CrossRef]
- Zhao, C.; Yang, F.; Umar, R.; Mughal, S. Two-source asymmetric turbo-coded cooperative spatial modulation scheme with code matched interleaver. Electronics 2020, 9, 169. [Google Scholar] [CrossRef]
- Fang, Y.; Liew, S.C.; Wang, T. Design of distributed protograph LDPC codes for multi-relay coded-cooperative networks. IEEE Trans. Wirel. Commun. 2017, 16, 7235–7251. [Google Scholar] [CrossRef]
- Liang, H.; Liu, A.; Liu, X.; Cheng, F. Construction and optimization for adaptive polar coded cooperation. IEEE Wirel. Commun. Lett. 2021, 9, 1187–1190. [Google Scholar] [CrossRef]
- Sui, J.; Zhu, X.; Shi, X. MDS and near-MDS codes via twisted Reed–Solomon codes. Des. Code Cryptogr. 2022, 90, 1937–1958. [Google Scholar] [CrossRef]
- Almawgani, A.H.M.; Salleh, M.F.M. RS coded cooperation with adaptive cooperation level scheme over multipath Rayleigh fading channel. cooperation level scheme over multipath Rayleigh fading channel. In Proceedings of the IEEE 9th Malaysia International Conference on Communications (MICC), Kuala Lumpur, Malaysia, 15–17 December 2009. [Google Scholar]
- Almawgani, A.H.M.; Salleh, M.F.M. Coded cooperation using Reed Solomon codes in slow fading channel. IEICE Electron. Expr. 2010, 7, 27–32. [Google Scholar] [CrossRef]
- Guo, P.; Yang, F.; Zhao, C.; Ullah, W. Jointly optimized design of distributed Reed–Solomon codes by proper selection in relay. Telecommun. Syst. 2021, 78, 391–403. [Google Scholar] [CrossRef]
- Jin, L.; Xing, C. New MDS self-dual codes from generalized Reed-Solomon codes. IEEE Trans. Inf. Theory 2017, 63, 1434–1438. [Google Scholar] [CrossRef]
- Chen, B.; Liu, H. New constructions of MDS codes with complementary duals. IEEE Trans. Inf. Theory 2018, 64, 5776–5782. [Google Scholar] [CrossRef]
- Niu, Y.; Yue, Q.; Wu, Y.; Hu, L. Hermitian self-dual, MDS, and generalized Reed-Solomon codes. IEEE Commun. Lett. 2019, 23, 781–784. [Google Scholar] [CrossRef]
- Mora, R.; Tillich, J.P. On the dimension and structure of the square of the dual of a Goppa code. Des. Code Cryptogr. 2023, 91, 1351–1372. [Google Scholar] [CrossRef]
- Gao, Y.; Yue, Q.; Huang, X.; Yang, Y. Two classes of cyclic extended double-error-correcting Goppa codes. ADV. Math. 2022. [Google Scholar] [CrossRef]
- Li, X.; Yue, Q. Construction of expurgated and extended Goppa codes with dihedral automorphism groups. IEEE Trans. Inf. Theory 2022, 68, 6472–6480. [Google Scholar] [CrossRef]
- MacWilliams, F.J.; Sloane, N.J.A. The Theory of Error-Correcting Codes, 3rd ed.; Elsevier: New York, NY, USA, 1977; ISBN 0-444-85009-0. [Google Scholar]
- Bezzateev, S.; Shekhunova, N. Totally decomposed cumulative Goppa codes with improved estimations. Des. Code Cryptogr. 2019, 87, 569–587. [Google Scholar] [CrossRef]
- Zhao, C.; Yang, F.; Waweru, D.K. Reed-Solomon coded cooperative spatial modulation based on nested construction for wireless communication. Radioengineering 2021, 30, 172–183. [Google Scholar] [CrossRef]
- Younis, A.; Serafimovski, N.; Mesleh, R.; Haas, H. Generalised spatial modulation. In Proceedings of the 2010 Conference Record of the Forty Fourth Asilomar Conference on Signals, Systems and Computers, Pacific Grove, CA, USA, 7–10 November 2010; pp. 1498–1502. [Google Scholar]
- Barry, J.R.; Lee, E.A.; Messerschmitt, D.G. Digital Communication, 3rd ed.; Springer: New York, NY, USA, 2004; ISBN 978-1-4615-0227-2. [Google Scholar]













| Ref. | Channel Codes | Cooperative/ Non-Cooperative | MIMO | Optimized Encoding at the Relay | Joint Decoding at the Destination |
|---|---|---|---|---|---|
| [13] | RS codes | Non-cooperative | No | No | No |
| [14] | RS codes | Non-cooperative | No | No | No |
| [16] | GRS codes | Non-cooperative | No | No | No |
| [17] | GRS codes | Non-cooperative | No | No | No |
| [18] | GRS codes | Non-cooperative | No | No | No |
| [19] | Goppa codes | Non-cooperative | No | No | No |
| [20] | Goppa codes | Non-cooperative | No | No | No |
| [21] | Goppa codes | Non-cooperative | No | No | No |
| [23] | Goppa codes | Non-cooperative | No | No | No |
| [24] | RS codes | Cooperative | SM | No | Yes |
| This work | Goppa codes | Cooperative | GSM | Yes | Yes |
| No. | Distributed Goppa Codes | G(z) | |||
|---|---|---|---|---|---|
| 1 | [1, 3, 5, 6] | [1, 4, 5, 6] | |||
| 2 | — | [1, 4, 6, 7, 8, 9, 10, 11, 12, 13, 14, 15] | |||
| Parameters | Specification |
|---|---|
| Source codes | , |
| Relay codes | , |
| Equivalent code rate in the D | 1/4, 17/64 |
| MIMO configuration | GSM:, SM: , , 8 |
| Modulation order | 4-QAM |
| Channel model | Slow Rayleigh fading Channel |
| Detection approach | MLD |
| Decoding algorithm | Euclidean decoding algorithm |
Disclaimer/Publisher’s Note: The statements, opinions and data contained in all publications are solely those of the individual author(s) and contributor(s) and not of MDPI and/or the editor(s). MDPI and/or the editor(s) disclaim responsibility for any injury to people or property resulting from any ideas, methods, instructions or products referred to in the content. |
© 2023 by the authors. Licensee MDPI, Basel, Switzerland. This article is an open access article distributed under the terms and conditions of the Creative Commons Attribution (CC BY) license (https://creativecommons.org/licenses/by/4.0/).
Share and Cite
Zhao, C.; Yang, F.; Waweru, D.K.; Chen, C.; Xu, H.; Luo, L. Distributed Goppa-Coded Generalized Spatial Modulation: Optimized Design and Performance Study. Electronics 2023, 12, 2404. https://doi.org/10.3390/electronics12112404
Zhao C, Yang F, Waweru DK, Chen C, Xu H, Luo L. Distributed Goppa-Coded Generalized Spatial Modulation: Optimized Design and Performance Study. Electronics. 2023; 12(11):2404. https://doi.org/10.3390/electronics12112404
Chicago/Turabian StyleZhao, Chunli, Fengfan Yang, Daniel Kariuki Waweru, Chen Chen, Hongjun Xu, and Lin Luo. 2023. "Distributed Goppa-Coded Generalized Spatial Modulation: Optimized Design and Performance Study" Electronics 12, no. 11: 2404. https://doi.org/10.3390/electronics12112404
APA StyleZhao, C., Yang, F., Waweru, D. K., Chen, C., Xu, H., & Luo, L. (2023). Distributed Goppa-Coded Generalized Spatial Modulation: Optimized Design and Performance Study. Electronics, 12(11), 2404. https://doi.org/10.3390/electronics12112404
