Next Article in Journal
Controllable Wireless Spoofing Attack Based on Conditional BEGAN and Auxiliary Channel Sensing
Next Article in Special Issue
Linear Active Disturbance Rejection Control for a Laser Powder Bed Fusion Additive Manufacturing Process
Previous Article in Journal
The Effects of the COVID-19 Pandemic on the Digital Competence of Educators
Previous Article in Special Issue
Speed-Gradient Adaptive Control for Parametrically Uncertain UAVs in Formation
 
 
Font Type:
Arial Georgia Verdana
Font Size:
Aa Aa Aa
Line Spacing:
Column Width:
Background:
Article

Stochastic Fixed-Time Tracking Control for the Chaotic Multi-Agent-Based Supply Chain Networks with Nonlinear Communication

1
School of Mathematics and Physics, China University of Geosciences, Wuhan 430074, China
2
FEMA, University of Malta, MSD, 2080 Msida, Malta
3
LSE Health, Department of Health Policy, London School of Economics and Political Science, London WC2A2AE, UK
4
IPAG Business School (IPAG), 184, bd Saint-Germain, 75006 Paris, France
5
Department of Mechanical Engineering, College of Engineering, Taif University, Taif 21944, Saudi Arabia
6
Department of Mechanical Engineering, University of Manitoba, Winnipeg, MB R3T 5V6, Canada
*
Authors to whom correspondence should be addressed.
Electronics 2023, 12(1), 83; https://doi.org/10.3390/electronics12010083
Submission received: 14 November 2022 / Revised: 12 December 2022 / Accepted: 21 December 2022 / Published: 25 December 2022
(This article belongs to the Special Issue Feature Papers in Systems & Control Engineering)

Abstract

The multi-agent-based supply chain network is a dynamic system consisting of multiple subchains connected by information flows, material flows and capital flow, etc. The consensus of multi-agent systems is often applied to the cooperation between subchains and inventory management in supply chain networks. Considering the ubiquitous external disturbances, this paper mainly considers the fixed-time consensus of a stochastic three-echelon multi-agent-based supply chain system. A nonlinear feedback fixed-time control protocol is constructed for ensuring the consensus of the considered supply chain network. Using the stability theory of stochastic differential equations, sufficient conditions for the fixed-time consensus and the upper bound estimation of the settling time are obtained. Finally, the validity of the control protocol and the correctness of the theoretical analysis are revealed by numerical simulation.

1. Introduction

The supply chain is a system composed of suppliers, manufacturers, warehouses, logistics, channels, retailers, and customers that carry raw materials from original collection to production and final distribution to customers [1]. In this network, suppliers provide raw materials, which are processed by manufacturers, and finally products are sent to customers through wholesalers and retailers. There is information, logistics, and capital flow among these fully autonomous or semi-autonomous agents. The supply chain is for the enterprise individual and processes can be integrated, reduce waste and duplication, and then through the close cooperation of related enterprises, improve business performance and service level [2]. Global competition and rapid change in consumer demand has forced companies to constantly change their product style and supply chain structure which forms the traditional centralized, fragmented way of supply chain management, due to its scalability, congenital deficiency of reconstruction, and the aspect of fault tolerance ability being greater, thus it cannot adapt to today’s dynamic and complex supply chain environment [3,4,5].
Effective supply chain control not only leads to the minimization of production, inventory, and transportation costs, but also enhances consumer satisfaction. The introduction of supply chains, however, has diversified market competition and individualized customer needs as living standards have improve, increasing the uncertainty of market demand. It should be noted that the existence of such things as stochastic disturbance and nonlinear communication in the actual supply chain network can affect the operation of logistics, information flow, and capital flow, thus affecting business efficiency. Therefore, how to reduce this impact is the core purpose of supply chain control [6,7,8]. In this paper, we will reduce the impact of stochastic disturbance and nonlinear communication demand on the system under the framework of control theory, so that the system can achieve the desired control effect.
The multi-agent system is a network composed of multiple agents, and all the agents in a multi-agent system can communicate and coordinate with each other to solve complex tasks that cannot be accomplished by a single agent. Moreover, the multi-agent system not only has high efficiency, but also has strong robustness and reliability in solving complex problems. Because of this, many scholars began to model supply chain networks based on multi-agent systems [9,10,11,12,13]. The multi-agent supply chain network is composed of multiple subchains connected by information flows and material flows.
The consensus of multi-agent systems aims to use the state information between agents and their neighbors to design distributed protocols to control the system and drive all agents to converge to a common state. It is the basis for studying the cooperation of multi-agent systems and is often applied to the cooperation between subchains and inventory management in supply chain networks. For example, [14] proposed a control protocol based on the concept of sliding and a Chebyshev neural network estimator to consider distributed consensus based on a supply chain network with variable-order fractional multi-agent. In [15], H consensus of multi-agent-based supply chain systems under switching topology and uncertain demands was studied via switching controller. The authors designed a new fault-tolerant and chatter-free protocol to investigate the finite-time consensus tracking control for a chaotic multi-agent-based supply chain network. In [16], based on the finite-time super-torsion algorithm, the authors proposed a control method for distributed consensus tracking of nonlinear uncertain systems to achieve finite-time consensus.
It is necessary to point out that the consensus mentioned above is either asymptotic or finite-time consensus [17,18,19]. Asymptotic consensus means that the states of all agents in the system reach the same value when the time approaches infinity. While the finite-time consensus ensures that all agents can converge to the same state in a finite time, its settling time depends heavily on the initial value of the system. In real networks, the initial value of the system is often difficult to know in advance. This means that these two forms of consensus will encounter great obstacles in practical application. However, the fixed-time consensus [20,21,22,23] not only has a fast convergence rate but also has a uniform upper bound that is independent of the initial value on its settling time. Therefore, it is worth studying the fixed-time consensus of the multi-agent-based supply chain networks.
Considering the ubiquitous external interference and the diversity of information communication modes, this paper mainly studies the fixed-time consensus of multi-agent-based supply chain systems subject to stochastic disturbance and nonlinear communication. The contribution is given as follows: Firstly, a stochastic three-echelon chaotic supply chain network that takes into account safety stock, information distortion, and retailer order fulfillment is introduced. Then, based on the local nonlinear communication interactions, a fixed-time control protocol is constructed for ensuring the consensus of the considered supply chain network. Afterward, by means of graph theory, matrix inequalities, and fixed-time stability of stochastic differential equations, the sufficient conditions for fixed-time consensus and the upper bound estimation of the settling time, which is independent of the initial value of the supply chain network, are obtained through theoretical analysis. Finally, the simulation results validate our conclusion.
The organization of the rest of the paper is arranged as follows: In Section 2, a stochastic three-echelon chaotic supply chain network is introduced. In Section 3, preliminary knowledge of algebraic graph theory, definitions, and lemmas are provided. In Section 4, a fixed-time control protocol is constructed to ensure consensus in the considered supply chain network. In Section 5, a simulation example is given to demonstrate the validity of the theoretical result. Finally, the conclusion of this paper is presented in Section 6.
Notations: R n × n represents the set of real matrices; 1 n = ( 1 , 1 , , 1 ) T R n . For a vector z = ( z 1 , z 2 , , z n ) T , | z | α = ( | z 1 | α ,   | z 2 | α , , | z n | α ) T , and sign ( z ) = ( sign ( z 1 ) ,   sign ( z 2 ) , ,   sign ( z n ) ) T , where sign ( · ) denotes the signum function. And sig α ( z ) = ( sig α ( z 1 ) ,   sig α ( z 2 ) ,   ,   sig α ( z n ) ) T , where sig α ( z i ) = | z i | α sign ( z i ) . For a matrix A, λ max ( A ) and λ min ( A ) represent the maximum eigenvalue and minimum eigenvalue, respectively. The notation ⊗ denotes the Kronecker product and · indicates the Euclidean norm (2-norm).

2. Multi-Agent Three-Echelon Supply Chain Networks

A supply chain network is a complex system consisting of multiple subchains connected by information flow, logistics, capital flow, etc. Each subchain can be regarded as a single agent, and the subchains (agents) interact with each other through information and collaborate, then accomplish complex tasks [24]. From this, it can be seen that a multi-agent system has many commonalities with a supply chain system, so a multi-agent system paradigm can be a feasible approach for supply chain network modeling.
Recently, a three-echelon chaotic supply chain model was proposed in [25]. In addition, based on this model, Liu et al. [16] developed the following multi-agent-based supply chain network:
x ˙ 1 j ( t ) = m x 2 j ( t ) ( n + 1 ) x 1 j ( t ) + d 1 j ( t ) + u 1 j ( t ) , x ˙ 2 j ( t ) = r x 1 j ( t ) x 2 j ( t ) x 1 j ( t ) x 3 j ( t ) + d 2 j ( t ) + u 2 j ( t ) , x ˙ 3 j ( t ) = x 1 j ( t ) x 2 j ( t ) + ( k 1 ) x 3 j ( t ) + d 3 j ( t ) + u 3 j ( t ) ,
where d j ( t ) = ( d 1 j ( t ) , d 2 j ( t ) , d 3 j ( t ) ) T , u j ( t ) = ( u 1 j ( t ) , u 2 j ( t ) , u 3 j ( t ) ) T ( j = 1 , 2 , 3 , 4 ) represent the state vector, disturbances, control input of the j-th subchain, respectively. m, n, r, and k denote the customer demand satisfaction rate of the retailer, the inventory level of the distributor, the safety stock factor of the manufacturer, and the distortion rate of the product information required by the retailer for the j-th subchain, respectively.
In the supply chain network, stochastic disturbances are ubiquitous [26,27]. For example, the subchains are disturbed when demand fluctuations or disruptions occur in the market at a certain moment. These stochastic disturbances have a great impact on the system’s performance and may lead to chaos, bifurcation, or instability of the system.
Based on the above analysis, we provide a third-echelon stochastic multi-agent-based supply chain network (2),
d x 1 j ( t ) = m x 2 j ( t ) ( n + 1 ) x 1 ( t ) + u 1 j ( t ) + g 1 ( x i j ( t ) , x 2 j ( t ) , x 3 j ( t ) ) d ω ( t ) , d x 2 j ( t ) = r x 1 j ( t ) x 2 j ( t ) x 1 j ( t ) x 2 j ( t ) + u 2 j ( t ) + g 2 ( x i j ( t ) , x 2 j ( t ) , x 3 j ( t ) ) d ω ( t ) , d x 3 j ( t ) = x 1 j ( t ) x 2 j ( t ) + ( k 1 ) x 3 j ( t ) + u 3 j ( t ) + g 3 ( x i j ( t ) , x 2 j ( t ) , x 3 j ( t ) ) d ω ( t ) ,
where g ( · ) : R n R n is the noise intensity function with g ( 0 ) = 0 . ω ( t ) is a one-dimensional Brownian motion defined on the complete probability space and satisfies E { d ω ( t ) } = 0 and E { d ω 2 ( t ) } = d t .

3. Preliminaries

Graph G ( A ) = ( χ , , A ) is usually used to denote the topological communication of a multi-agent system, where χ = { x 1 , x 2 , , x n } is the set of agents, = { ( x i , x j ) , i , j = 1 , 2 , , n } is the set of all edges and A = ( a i j ) n × n is the weighted adjacency matrix. Each communication edge ( x i , x j ) indicates that agent x i can obtain information from agent x j . If ( x i , x j ) χ , then a i j > 0 ; otherwise, a i j = 0 . In this paper, we default a i i = 0 ( i = 1 , 2 , , n ) , i.e., we do not consider the case of self-loops. The Laplacian matrix of the graph G ( A ) is defined as L A = D A = ( l i j ) n × n , where D = diag { j = 1 n a 2 j , j = 1 n a 2 j , , j = 1 n a n j } is the in-degree matrix. A series of edges ( x i , x i 1 ) , ( x i 1 , x i 2 ) , , ( x i k , x j ) with different agents x i 1 , x i 2 , , x i k are called a path from agent x i to x j . G ( A ) contains a spanning tree if there exists an agent (named root) that has a path to any other agent. If there is at least one path between any pair of different agents, then the undirected graph G ( A ) is connected.
For a leader-following multi-agent system, we assume that the leader moves autonomously. Its topological graph is represented as G ¯ ( A ) , consisting of n followers (corresponding to the graph G ( A ) ) and a leader. B = diag { b 1 , b 2 , , b n } is used to denote the adjacency matrix of the leader, where b i > 0 ( b i = 0 ) means that the i-th follower can (cannot) get information directly from the leader.
Lemma 1
([28]). If G ( A ) is undirected and the leader is the root of graph G ¯ ( A ) , then L A + B is positive definite.
Lemma 2
([29,30]). If the undirected graph G ( A ) is connected, then one has:
(1) 
The Laplacian matrix L A has a zero eigenvalue with multiplicity 1, and all eigenvalues of L A satisfy 0 = λ 1 ( L A ) < λ 2 ( L A ) < λ 3 ( L A ) < < λ n ( L A ) ;
(2) 
x T L A x λ 2 ( L A ) x T x , for all x R n satisfing x T 1 n = 0.
Lemma 3
([31]). For non-negative real numbers ζ 1 , ζ 2 , , ζ n , we have the following inequalities:
(1) 
i = 1 n ζ i p ( i = 1 n ζ i ) p , when 0 < p 1 ;
(2) 
i = 1 n ζ i p n 1 p ( i = 1 n ζ i ) p , when p 1 .
Definition 1
([32]). Consider the following n-dimensional stochastic differential equation:
d x = f ( x ) d t + g ( x ) d ω ( t ) ,
where x R n is the state vector, f L 1 ( R + , R n ) , g L 2 ( R + , R n ) satisfies f ( 0 ) = g ( 0 ) = 0 . For V C 2 ( R n ; R + ) , we define the operator L V corresponding to Equation (3) as follows:
L V = ( V x ) T f + 1 2 trace [ g T 2 V x 2 g ] ,
where V x = ( V x 1 , V x 2 , , V x n ) T , 2 V x 2 = ( 2 V x i x j ) n × n .
Lemma 4
([33]). For system (3), if there exists a radically unbounded, positive definite and regular function V ( x ) : R n R + and positive constants a , b , c > 0 , 0 p < 1 < q and α < min { p β , γ } , such that
L V ( x ( t ) ) a V ( x ( t ) ) b V p ( x ( t ) ) c V q ( x ( t ) ) , x ( t ) R n ,
then the origin of system (3) is globally stochastically fixed-time stable in probability, and the corresponding settling time T ( x , ω ) is estimated by E [ T ( x , ω ) ] 1 ( 1 p ) ( b a ) + 1 ( c a ) ( q 1 ) for any initial state.

4. Main Results

4.1. Problem Formulation

Without loss of generality, the dynamic of the i-th follower subchain is set as follows:
d x i ( t ) = ( f ( x i ( t ) ) + u i ( t ) ) d t + g ( x i ( t ) ) d ω ( t ) , i = 1 , 2 , , n ,
where x i ( t ) R m represents the state of the i-th subchain, u i ( t ) is the control input, and f ( · ) : R m R m denotes the nonlinear functions.
The dynamic of the leader subchain is considered as:
d x 0 ( t ) = f ( x 0 ( t ) ) d t + g ( x 0 ( t ) ) d ω ( t ) ,
where x 0 ( t ) R m represents the state of the leader.
For simplicity, we omit the symbol t in the time-dependent notations.
Assumption 1.
For the nonlinear function f ( · ) in system (5), there is a positive constant ρ 1 satisfying the following inequality:
f ( x 1 ) f ( x 2 ) ρ 1 x 1 x 2 , x 1 , x 2 R m .
Assumption 2.
For the noise intensity function g ( · ) in system (5), there is a positive constant ρ 2 satisfying the following inequality:
g ( x 1 ) g ( x 2 ) ρ 2 x 1 x 2 , x 1 , x 2 R m .
Definition 2.
The fixed-time tracking problem in probability for system (3) is solved if there exists a time T independent of the initial state, such that
P { lim t T x i ( t ) x 0 ( t ) = 0 } = 1 , i = 1 , 2 , , n .

4.2. Control Design and Stability Analysis

In order to make system (5) reach fixed-time tracking in probability, a new fixed-time consensus tracking algorithm is proposed as
u i ( t ) = c 1 ( j = 1 n a i j sig α ( h ( x i ) h ( x j ) ) + b i sig α ( h ( x i ) h ( x 0 ) ) ) c 2 ( j = 1 n a i j sign ( h ( x i ) h ( x j ) ) + b i sign ( h ( x i ) h ( x 0 ) ) ) ,
where α > 1 is the power parameter, c 1 , c 2 > 0 are the control strengths to be designed, and h ( x ) = ( h ^ ( x 1 ) , h ^ ( x 2 ) , , h ^ ( x n ) ) is the nonlinear communication mode between subchains.
Remark 1.
In our control protocol, h ( · ) represents a more general way of information communication, i.e., nonlinear communication. It is often considered in complex network control [34,35,36,37]. This is because in real networks, there is often a need for nonlinear sensors to be used, or for information encryption. Therefore, in multi-agent-based supply chain networks, we consider this as a more general way of communication, which is able to obtain more applicable fields.
Assumption 3
([34]). For any real number x , y, there exists a positive constant β such that h ^ ( · ) satisfies the following inequality,
h ^ ( x ) h ^ ( y ) x y β .
The state error is defined as e i = x i x 0 , then the error system can be expressed as
d e i = ( f ( x i ) f ( x 0 ) c 1 ( j = 1 n a i j sig α ( h ( x i ) h ( x j ) ) + b i sig α ( h ( x i ) h ( x 0 ) ) ) c 2 ( j = 1 n a i j sign ( h ( x i ) h ( x j ) ) + b i sign ( h ( x i ) h ( x 0 ) ) ) ) d t + ( g ( x i ) g ( x 0 ) ) d ω ( t ) .
Theorem 1.
Suppose that all assumptions hold, undirected graph G ( A ) is connected, and the leader is the root node. If the control strengths c 1 , c 2 in protocol (6) satisfy
c 1 2 ( ρ 1 + ρ 2 2 ) β α ( n m ) 1 α λ min α + 1 2 ( L A 1 + B 1 ) ,
and
c 2 2 ( ρ 1 + ρ 2 2 ) λ min 1 2 ( L A 2 + B 2 ) ,
where A 1 = ( a i j 2 α + 1 ) n × n , B 1 = diag { ( 2 b 1 ) 2 α + 1 , ( 2 b 2 ) 2 α + 1 , ,   ( 2 b n ) 2 α + 1 } , L A 1 is a Laplacian matrix of the graph G ( A 1 ) . A 2 = ( a i j 1 2 ) n × n , B 2 = diag { ( 2 b 1 ) 1 2 , ( 2 b 2 ) 1 2 , , ( 2 b n ) 1 2 } , L A 2 is a Laplacian matrix of the graph G ( A 2 ) .
System (5) will reach fixed-time tracking in probability, and the expectation of the estimated settling time is
E [ T ( x , ω ) ] 2 ( α 1 ) ( 2 α c 1 β α ( n m ) 1 α λ min α + 1 2 ( L A 1 + B 1 ) 2 ρ 1 2 ρ 2 2 ) + 2 c 2 λ min 1 2 ( L A 2 + B 2 ) 2 ρ 1 2 ρ 2 2 .
Proof. 
Based on the differential inclusion theory [38], the solutions of system (5) are obtained
d e i ( f ( x i ) f ( x 0 ) c 1 ( j = 1 n a i j sig α ( h ( x i ) h ( x j ) ) + b i sig α ( h ( x i ) h ( x 0 ) ) ) c 2 ( j = 1 n a i j SIGN ( h ( x i ) h ( x j ) ) + b i SIGN ( h ( x i ) h ( x 0 ) ) ) ) d t + ( g ( x i ) g ( x 0 ) ) d ω ( t ) .
By applying the measurable choice theorem [38], it follows that there exist measurable functions γ 1 ( t ) SIGN ( h ( x i ) h ( x j ) ) and γ 2 ( t ) SIGN ( h ( x i ) h ( x 0 ) ) , such that the following equation holds
d e i = ( f ( x i ) f ( x 0 ) c 1 ( j = 1 n a i j sig α ( h ( x i ) h ( x j ) ) + b i sig α ( h ( x i ) h ( x 0 ) ) ) c 2 ( j = 1 n a i j γ 1 ( t ) + b i γ 2 ( t ) ) ) d t + ( g ( x i ) g ( x 0 ) ) d ω ( t ) .
Choose the following positive definite function
V ( t ) = 1 2 i = 1 n e i T e i .
Applying Ito’s formula to the function V ( t ) along the error system (6), one has the operator L V ( t ) as follows:
L V ( t ) = i = 1 n e i T ( f ( x i ) f ( x 0 ) ) c 1 ( i = 1 n j = 1 n a i j e i T sig α ( h ( x i ) h ( x j ) ) + j = 1 n b i e i T × sig α ( h ( x i ) h ( x 0 ) ) ) c 2 ( i = 1 n j = 1 n a i j e i T γ 1 ( t ) + i = 1 n b i e i T γ 2 ( t ) ) + i = 1 n ( g ( x i ) g ( x 0 ) ) T ( g ( x i ) g ( x 0 ) ) d ω ( t ) .
From Assumption 1, one has
i = 1 n e i T ( f ( x i ) f ( x 0 ) ) ρ 1 i = 1 n e i T e i = 2 ρ 1 V .
From Lemmas 2, 3 and Assumption 3, we have
c 1 ( i = 1 n j = 1 n a i j e i T sig α ( h ( x i ) h ( x j ) ) + j = 1 n b i e i T sig α ( h ( x i ) h ( x 0 ) ) ) = c 1 ( i = 1 n j = 1 n a i j e i T diag { sign ( h ( x j ) h ( x i ) ) } h ( x j ) h ( x i ) α + i = 1 n b i e i T diag { sign ( h ( x i ) ) } h ( x i ) α ) c 1 β α ( i = 1 n j = 1 n a i j e i T x i x j α sign ( x i x j ) + i = 1 n b i e i T x i x 0 α sign ( x i x 0 ) ) = c 1 β α ( i = 1 n j = 1 n a i j e i T e i e j α sign ( e i e j ) + i = 1 n b i e i T e i e 0 α sign ( e i ) ) = c 1 2 β α ( i = 1 n j = 1 n a i j e i e j α + 1 + i = 1 n 2 b i e i α + 1 ) = c 1 2 β α ( i = 1 n j = 1 n ( a i j 2 α + 1 e i e j 2 ) α + 1 2 + i = 1 n ( ( 2 b i ) 2 α + 1 e i 2 ) α + 1 2 ) c 1 2 β α ( n m ) 1 α ( i = 1 n j = 1 n a i j 2 α + 1 e i e j 2 + i = 1 n ( 2 b i ) 2 α + 1 e i 2 ) α + 1 2 = c 1 2 β α ( n m ) 1 α ( 2 e T ( L A 1 + B 1 ) I m e ) α + 1 2 2 α c 1 β α ( n m ) 1 α λ min α + 1 2 ( L A 1 + B 1 ) V α + 1 2 ,
where e = ( e 1 T , e 2 T , , e n T ) T , it should be noted that G ( A 1 ) has the same set of edges and nodes as G ( A ) , so L A 1 is a Laplacian matrix of the graph G ( A 1 ) , and L A 1 + B 1 is positive definite. □
Similarly, one can obtain
c 2 ( i = 1 n j = 1 n a i j e i T γ 1 ( t ) + i = 1 n b i e i T γ 2 ( t ) ) = c 2 2 ( i = 1 n j = 1 n a i j e i e j + j = 1 n 2 b i e i ) c 2 2 ( 2 e T ( L A 2 + B 2 ) I m e ) 1 2 c 2 λ min 1 2 ( L A 2 + B 2 ) V 1 2 .
Similarly, G ( A 2 ) has the same edge set and node set as G ( A ) , thus L A 2 is the Laplacian matrix of graph G ( A 2 ) . In addition, L A 2 + B 2 is positive definite.
Based on Assumption 2, one has
i = 1 n ( g ( x i ) g ( x 0 ) ) T ( g ( x i ) g ( x 0 ) ) ρ 2 2 i = 1 n ( x i x 0 ) T ( x i x 0 ) = 2 ρ 2 2 i = 1 n e i T e i = 2 ρ 2 2 V .
Combined with Equations (9)–(14), it can be obtained that
L V ( t ) 2 ( ρ 1 + ρ 2 2 ) V ( t ) c 2 λ min 1 2 ( L A 2 + B 2 ) V ( t ) 1 2 2 α c 1 β α ( n m ) 1 α λ min α + 1 2 ( L A 1 + B 1 ) V ( t ) α + 1 2 .
According to Lemma 4, in order to ensure that V ( t ) converges to zero in a fixed time, one should have
2 ( ρ 1 + ρ 2 2 ) 2 α c 1 β α ( n m ) 1 α λ min α + 1 2 ( L A 1 + B 1 ) ,
and
2 ( ρ 1 + ρ 2 2 ) c 2 λ min 1 2 ( L A 2 + B 2 ) ,
i.e.,
c 1 2 ( ρ 1 + ρ 2 2 ) β α ( n m ) 1 α λ min α + 1 2 ( L A 1 + B 1 ) ,
and
c 2 2 ( ρ 1 + ρ 2 2 ) λ min 1 2 ( L A 2 + B 2 ) .
At this time, system (5) reaches fixed-time tracking in probability, and the corresponding settling time is estimated as
E { T ( x , ω ) } 2 ( α 1 ) ( 2 α c 1 β α ( n m ) 1 α λ min α + 1 2 ( L A 1 + B 1 ) 2 ρ 1 2 ρ 2 2 ) + 2 c 2 λ min 1 2 ( L A 2 + B 2 ) 2 ρ 1 2 ρ 2 2 .
Remark 2.
In [16], the control protocol proposed can only enable chaotic multi-agent-based supply chain networks to reach finite-time consensus tracking. The settling time of the finite-time consensus is an unbounded function of the system’s initial value, which limits its application in engineering control. In contrast to [16], the fixed-time consensus tracking whose settling time is uniform in initial value is considered in our paper.
If the stochastic disturbance is not considered, the following deterministic system can be obtained as
x i ( t ) = f ( x i ( t ) ) + u i ( t ) , i = 1 , 2 , , n , x 0 ( t ) = f ( x 0 ( t ) ) ,
For the deterministic system (14), using the control protocol (3), the following conclusions can be drawn.
Corollary 1.
Suppose that Assumptions 1 and 3 hold, undirected graph G ( A ) is connected, and the leader is the root node. If the control strengths c 1 , c 2 in protocol (6) satisfy
c 1 2 ρ 1 β α ( n m ) 1 α λ min α + 1 2 ( L A 1 + B 1 ) ,
and
c 2 2 ρ 1 λ min 1 2 ( L A 2 + B 2 ) ,
then system (5) will reach fixed-time consensus tracking, and the estimated settling time is
T 2 ( α 1 ) ( 2 α c 1 β α ( n m ) 1 α λ min α + 1 2 ( L A 1 + B 1 ) 2 ρ 1 ) + 2 c 2 λ min 1 2 ( L A 2 + B 2 ) 2 ρ 1 .
Remark 3.
In [16], the authors proposed a control protocol based on a super-torsion algorithm that enables finite-time consensus control of nonlinear systems. Our proposed control protocol involves only the state information between subchains and neighboring subchains, and the control protocol enables the settling time to be free of the initial value, and the convergence effect of the system is not affected by stochastic disturbances.
Remark 4.
Compared with the deterministic system considered in [16], our stochastic model (5) is more realistic. From the results proposed in this section, it can be seen that our control protocol is effective for both deterministic and stochastic disturbance systems, and it can also be said that the control protocol is highly robust.

5. Illustrative Example

5.1. Model Description

In this section, a numerical example is provided to verify the effectiveness of the theoretical analysis. The multi-agent-based supply chain network is assumed to be a leader subchain and five follower subchains, whose topology is shown in Figure 1. Thus, in the presence of external disturbances and control inputs, the equation of follower agents is given by system (2). The dynamic equation of the leader is as follows:
d x 01 ( t ) = m x 01 ( t ) ( n + 1 ) x 01 ( t ) + g 1 ( x 01 ( t ) , x 02 ( t ) , x 03 ( t ) ) d ω ( t ) , d x 02 ( t ) = r x 01 ( t ) x 02 ( t ) x 01 ( t ) x 02 ( t ) + g 2 ( x 01 ( t ) , x 02 ( t ) , x 03 ( t ) ) d ω ( t ) , d x 03 ( t ) = x 01 ( t ) x 02 ( t ) + ( k 1 ) x 03 ( t ) + g 3 ( x 01 ( t ) , x 02 ( t ) , x 03 ( t ) ) d ω ( t ) ,
with the parameters m = 10 , n = 9 , r = 28 , k = 2 .
According to [39,40], we show that the nonlinear term f ( · ) satisfies Assumption 1 when ρ 1 = 14.025 . Since economic and financial systems are often subject to external disturbances due to environmental impacts, the unknown time-varying disturbance to the network is considered as follows:
g ( x i ( t ) ) = ( 0.1 sin ( x i 1 ( t ) ) ; 0.1 cos ( x i 2 ( t ) ) ; 0.1 tan h ( x i 3 ( t ) ) ) T , i = 0 , 1 , 2 , , 5 ,
and g ( · ) satisfies Assumption 2 with ρ 2 = 0.1 . Furthermore, in order to reflect the nonlinear characteristics of the communication mode, we set h ( x i ( t ) ) = ( x i 1 ( t ) + 0.1 sin x i 1 ( t ) , x i 2 ( t ) + 0.1 sin x i 2 ( t ) , x i 3 ( t ) + 0.1 sin x i 3 ( t ) ) , and obviously, Assumption 3 is true with β = 1 .
In order to verify the validity of validation protocol (6), let us select some parameters and calculate the necessary data: α = 13 9 , c 1 = 86 , c 2 = 37 . In addition, the minimum eigenvalues of L ( A 1 ) + B 1 and L ( A 2 ) + B 2 are 0.4013 and 0.5858 , respectively. According to relation (15), the settling time E [ T ( x , ω ) ] is not more than 8.079 s. In addition, the initial values of followers are set as: x 1 ( 0 ) = ( 3 , 1 , 16 ) T , x 2 ( 0 ) = ( 4 , 8 , 6 ) T , x 3 ( 0 ) = ( 4 , 2 , 4 ) T , x 4 ( 0 ) = ( 8 , 12 , 6 ) T ,   x 5 ( 0 ) = ( 2 , 3 , 2 ) T . The initial value of the leader is set as x 0 ( 0 ) = ( 10 , 4 , 5 ) T .

5.2. Simulation Analysis

In this section, the Euler–Maruyama method proposed in [37] is used to numerically simulate the considered three-echelon multi-agent supply chain system. In addition, the discrete Brownian path with step d t = 2 12 is calculated to simulate the movement trajectory of each agent.
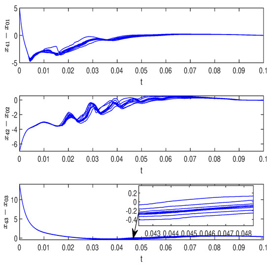
The trajectories of the state errors of the follower agents and the leader agent are shown in Figure 2, Figure 3, Figure 4, Figure 5 and Figure 6. Figure 2 shows that the 1st subchain can catch up with the leader subchain before 0.05 s. From Figure 3, we can see that the state errors between the 2nd subchain and the leader subchain tend to 0 within 0.1 s. Ten paths of the tracing error between the 3rd subchain and the leader subchain is depicted in Figure 4. Figure 5 tells us that the state of the 4th subchain changes quickly to that of the leader subchain. In Figure 6, the convergence trend of the subchain is slower, but the state errors of the 5th subchain and the leader subchain under 10 paths all converge to 0 within 0.12 s.
Thus, it shows that the stochastic multi-agent-based three-echelon supply chain network with nonlinear communication we studied is able to achieve tracking in a fixed time under the action of the control protocol (6). FIGS.2-6 illustrate that under any 10 paths, each subchain in the three-echelon supply chain system eventually achieves consensus by imposing a control protocol. That is, the states of each supplier, distributor, and consumer in the supply chain network reach the equilibrium state, i.e., the coordination and information matching of the objectives, decisions, and actions among the partners in the supply chain are realized.
Compared to [14,16], the control protocol proposed here enables the system to achieve consensus in a finite time, and the settling time is independent of the initial value of the system. Moreover, the effect of stochastic disturbance factors is considered, which leads to the difference in our simulation methods. That is why we depict 10 paths for each supply subchain.

6. Conclusions

Considering the prevalent external disturbances, this paper firstly provide a three-echelon stochastic multi-agent-based supply chain systems. Then, a protocol with nonlinear communication mode is proposed for the fixed-time consensus of the considered network. Using the stability theory of stochastic differential equations, sufficient conditions for the fixed-time tracking and upper bound estimates for the settling time are obtained. Compared with the finite-time consensus, the settling time of fixed-time consensus has a uniform upper bound for any initial values, which is more feasible in real engineering applications. Moreover, our control protocol is also applicable to deterministic systems. From the final simulation, one can see that the three-echelon stochastic multi-agent-based supply chain system reach consensus within 0.2 s. In FIGS.2-6, 10 Brownian paths of the tracking error show that our control protocol has strong anti-interference and robustness. In our future work, we will build a more realistic model that takes into account increased costs, supply chain complexity, consumer demands, the need for improved speed, quality and service, risk in the supply chain, supply chain volatility, etc.

Author Contributions

Research Topic, W.G., L.S. and H.J.; Methodology, Validation, Writing—First Draft Preparation, L.S. and W.G.; Software, numerical simulation, L.W.; Writing—review and editing, S.B., H.A., A.A. and H.J. All authors have read and agreed to the published version of the manuscript.

Funding

This research received no external funding.

Informed Consent Statement

Not applicable.

Data Availability Statement

No new data were created or analyzed in this study. Data sharing is not applicable to this article.

Conflicts of Interest

The authors declare no conflict of interest.

References

  1. Hove-Sibanda, P.; Pooe, R. Enhancing supply chain performance through supply chain practices. J. Transp. Supply Chain. Manag. 2018, 12, a400. [Google Scholar] [CrossRef]
  2. Green, K.; Inman, R.; Sower, V.; Zelbst, P. Comprehensive supply chain management model. Supply Chain.-Manag.-Int. J. 2019, 24, 590–603. [Google Scholar] [CrossRef]
  3. Schulz, K.; Freund, D. A multichain architecture for distributed supply chain design in industry 4.0. Bus. Inf. Syst. Work. 2018, 339, 277–288. [Google Scholar]
  4. Yang, A.; Li, Y.; Liu, C.; Li, J.; Zhang, Y.; Wang, J. Research on logistics supply chain of iron and steel enterprises based on block chain technology. Future Gener. Comput. Syst. 2019, 101, 635–645. [Google Scholar] [CrossRef]
  5. Mangla, S.; Kazançoğlu, Y.; Yıldızbaşı, A.; Öztürk, C.; Çalık, A. A conceptual framework for blockchain-based sustainable supply chain and evaluating implementation barriers: A case of the tea supply chain. Bus. Strategy Environ. 2022, 31, 3693–3716. [Google Scholar] [CrossRef]
  6. Gai, T.; Cao, M.; Chiclana, F.; Zhang, Z.; Dong, Y.; Herrera-Viedma, E.; Wu, J. Consensus-trust driven bidirectional feedback mechanism for improving consensus in social network large-group decision making. Group Decis. Negot. 2022, 1–30. [Google Scholar] [CrossRef]
  7. Song, Q.; Chen, Y.; Zhong, Y.; Lan, K.; Fong, S.; Tang, R. A supply-chain system framework based on internet of things using Blockchain technology. ACM Trans. Internet Technol. 2021, 21, 1–24. [Google Scholar] [CrossRef]
  8. Li, D.; Han, D.; Crespi, N.; Minerva, R.; Li, K. A blockchain-based secure storage and access control scheme for supply chain finance. J. Supercomput. 2022, 1–30. [Google Scholar] [CrossRef]
  9. Lee, J.; Kim, C. Multi-agent systems applications in manufacturing systems and supply chain management: A review paper. Int. J. Prod. Res. 2008, 46, 233–265. [Google Scholar] [CrossRef]
  10. Frayret, J.; Damours, S.; Rousseau, A.; Harvey, S.; Gaudreault, J. Agent-based supply-chain planning in the forest products industry. Int. J. Flex. Manuf. Syst. 2007, 19, 358–391. [Google Scholar] [CrossRef]
  11. Long, Q. Distributed supply chain network modelling and simulation: Integration of agent-based distributed simulation and improved SCOR model. Int. J. Prod. Res. 2014, 52, 6899–6917. [Google Scholar] [CrossRef]
  12. Caridi, M.; Cavalieri, S. Multi-agent systems in production planning and control: An overview. Prod. Plan. Control 2004, 15, 106–118. [Google Scholar] [CrossRef]
  13. Swaminathan, J.; Smith, S.; Sadeh, N. Modeling supply chain dynamics: A multiagent approach. Decis. Sci. 1998, 29, 607–632. [Google Scholar] [CrossRef]
  14. Sun, T.; Yousefpour, A.; Karaca, E.; Alassafi, M.; Ahmad, A.; Li, Y. Dynamical investigation and distributed consensus tracking control of a variable-order fractional supply chain network using a multi-agent neural network-based control method. Fractals 2022, 30, 2240168. [Google Scholar] [CrossRef]
  15. Li, Q.; Lin, H.; Tan, X.; Du, S. H consensus for multiagent-based supply chain systems under switching topology and uncertain demands. IEEE Trans. Syst. Man Cybern. Syst. 2020, 50, 4905–4918. [Google Scholar] [CrossRef]
  16. Liu, Z.; Jahanshahi, H.; Volos, C.; Bekiros, S.; He, S.; Alassafi, M.; Ahmad, A. Distributed consensus tracking control of chaotic multi-agent supply chain network: A new fault-tolerant, finite-time, and chatter-free approach. Entropy 2022, 24, 33. [Google Scholar] [CrossRef] [PubMed]
  17. Huo, Y.; Lv, Y.; Wu, X.; Duan, Z. Fully distributed consensus for general linear multi-agent systems with unknown external disturbances. IET Control Theory Appl. 2019, 13, 2595–2609. [Google Scholar] [CrossRef]
  18. Shi, L.; Guo, W.; He, W. Distributed adaptive discontinuous consensus tracking control for disturbed multi-agent systems based on input-observers. Eur. Phys. J. Spec. Top. 2022, 231, 2401–2408. [Google Scholar] [CrossRef]
  19. Luo, Y.; Zhu, J. Finite-time average consensus control of multi-agent systems based on the aperiodically intermittent control. IEEE Access 2022, 10, 14959–14968. [Google Scholar] [CrossRef]
  20. Zuo, Z.; Tie, L. A new class of finite-time nonlinear consensus protocols for multi-agent systems. Int. J. Control 2014, 87, 363–370. [Google Scholar] [CrossRef]
  21. He, W.; Guo, W.; Shi, L.; Sun, W.; Jahanshahi, H. Stochastic fixed-time formation for nonlinear multi-agent systems under a discontinuous protocol. Int. J. Robust Nonlinear Control 2022, 32, 5881–5896. [Google Scholar] [CrossRef]
  22. Sharifi, A.; Pourgholi, M. Resilient fixed-time bipartite consensus of multi-agent systems with nonlinear dynamics and directed graphs. Proc. Inst. Mech. Eng. Part I J. Syst. Control. Eng. 2022, 236, 1755–1765. [Google Scholar] [CrossRef]
  23. Wang, L.; Zou, M.; Guo, W.; Alsubaie, H.; Alotaibi, A.; Taie, R.O.A.; Jahanshahi, H. Adaptive discontinuous control for fixed-Time consensus of nonlinear multi-agent systems. Electronics 2022, 11, 3545. [Google Scholar] [CrossRef]
  24. Kumar, V.; Srinivasan, S. A review of supply chain management using multi-agent system. Int. J. Comput. Sci. Issues 2010, 7, 198. [Google Scholar]
  25. Anne, K.; Chedjou, J.; Kyamakya, K. Bifurcation analysis and synchronisation issues in a three-echelon supply chain. Int. J. Logist. Res. Appl. 2009, 12, 347–362. [Google Scholar] [CrossRef]
  26. Huang, Z.; Nie, J.; Tsai, S. Dynamic collection strategy and coordination of a remanufacturing closed-loop supply chain under uncertainty. Sustainability 2017, 9, 683. [Google Scholar] [CrossRef]
  27. Xiao, J.; Huang, Z. A stochastic differential game in the closed-loop supply chain with third-party collecting and fairness concerns. Sustainability 2019, 11, 2241. [Google Scholar] [CrossRef]
  28. Olfati-Saber, R.; Murray, R. Consensus problems in networks of agents with switching topology and time-delays. IEEE Trans. Autom. Control 2004, 49, 1520–1533. [Google Scholar] [CrossRef]
  29. Altafini, C. Consensus problems on networks with antagonistic interactions. IEEE Trans. Autom. Control 2012, 58, 935–946. [Google Scholar] [CrossRef]
  30. Meng, D.; Jia, Y.; Du, J. Finite-time consensus for multiagent systems with cooperative and antagonistic interactions. IEEE Trans. Neural Netw. Learn. Syst. 2015, 27, 762–770. [Google Scholar] [CrossRef]
  31. Hardy, G.; Littlewood, J.; Pólya, G. Inequalities; Cambridge University Press: Cambridge, UK, 1988. [Google Scholar]
  32. Mao, X. Stochastic Differential Equations and Applications; Elsevier: Amsterdam, The Netherlands, 2007. [Google Scholar]
  33. Guo, W.; He, W.; Shi, L.; Sun, W.; Lu, X. Fixed-time consensus tracking for nonlinear stochastically disturbed multi-agent systems via discontinuous protocols. Appl. Math. Comput. 2021, 400, 126046. [Google Scholar] [CrossRef]
  34. Wang, Y.; Lu, J.; Liang, J.; Cao, J.; Perc, M. Pinning synchronization of nonlinear coupled lur’e networks under hybrid impulses. IEEE Trans. Circuits Syst. -Express Briefs 2019, 66, 432–436. [Google Scholar] [CrossRef]
  35. Wang, X.; Fang, J.; Zhou, W. Controller design for fixed-time synchronization of nonlinear coupled Cohen-Grossberg neural networks with switching parameters and time-varying delays based on synchronization dynamics analysis. Nonlinear Dyn. 2019, 98, 2079–2096. [Google Scholar] [CrossRef]
  36. Chen, T.; Zhu, Z. Exponential synchronization of nonlinear coupled dynamical networks. Int. J. Bifurc. Chaos 2007, 17, 999–1005. [Google Scholar] [CrossRef]
  37. Higham, D. An algorithmic introduction to numerical simulation of stochastic differential equations. SIAM Rev. 2001, 43, 525–546. [Google Scholar] [CrossRef]
  38. Filippove, A. Differential equations with discontinuous right-hand side. In Mathematics and Its Applications; Kluwer: Boston, MA, USA, 1998. [Google Scholar]
  39. Russo, G.; Wirth, F.; Shorten, R. On synchronization in continuous-time networks of nonlinear nodes with state-dependent and degenerate noise diffusion. IEEE Trans. Autom. Control 2018, 64, 389–395. [Google Scholar] [CrossRef]
  40. Burbano-L, D.A.; Russo, G.; di Bernardo, M. Pinning controllability of complex stochastic networks. IFAC-PapersOnLine 2017, 50, 8327–8332. [Google Scholar] [CrossRef]
Figure 1. Topological structure of the leader-following example.
Figure 1. Topological structure of the leader-following example.
Electronics 12 00083 g001
Figure 2. Ten paths of the tracking error between the 1st subchain and the leader with protocol (6).
Figure 2. Ten paths of the tracking error between the 1st subchain and the leader with protocol (6).
Electronics 12 00083 g002
Figure 3. Ten paths of the tracking error between the 2nd subchain and the leader with protocol (6).
Figure 3. Ten paths of the tracking error between the 2nd subchain and the leader with protocol (6).
Electronics 12 00083 g003
Figure 4. Ten paths of the tracking error between the 3rd subchain and the leader with protocol (6).
Figure 4. Ten paths of the tracking error between the 3rd subchain and the leader with protocol (6).
Electronics 12 00083 g004
Figure 5. Ten paths of the tracking error between the 4th subchain and the leader with protocol (6).
Figure 5. Ten paths of the tracking error between the 4th subchain and the leader with protocol (6).
Electronics 12 00083 g005
Figure 6. Ten paths of the tracking error between the 5th subchain and the leader with protocol (6).
Figure 6. Ten paths of the tracking error between the 5th subchain and the leader with protocol (6).
Electronics 12 00083 g006
Disclaimer/Publisher’s Note: The statements, opinions and data contained in all publications are solely those of the individual author(s) and contributor(s) and not of MDPI and/or the editor(s). MDPI and/or the editor(s) disclaim responsibility for any injury to people or property resulting from any ideas, methods, instructions or products referred to in the content.

Share and Cite

MDPI and ACS Style

Shi, L.; Guo, W.; Wang, L.; Bekiros, S.; Alsubaie, H.; Alotaibi, A.; Jahanshahi, H. Stochastic Fixed-Time Tracking Control for the Chaotic Multi-Agent-Based Supply Chain Networks with Nonlinear Communication. Electronics 2023, 12, 83. https://doi.org/10.3390/electronics12010083

AMA Style

Shi L, Guo W, Wang L, Bekiros S, Alsubaie H, Alotaibi A, Jahanshahi H. Stochastic Fixed-Time Tracking Control for the Chaotic Multi-Agent-Based Supply Chain Networks with Nonlinear Communication. Electronics. 2023; 12(1):83. https://doi.org/10.3390/electronics12010083

Chicago/Turabian Style

Shi, Lili, Wanli Guo, Lu Wang, Stelios Bekiros, Hajid Alsubaie, Ahmed Alotaibi, and Hadi Jahanshahi. 2023. "Stochastic Fixed-Time Tracking Control for the Chaotic Multi-Agent-Based Supply Chain Networks with Nonlinear Communication" Electronics 12, no. 1: 83. https://doi.org/10.3390/electronics12010083

APA Style

Shi, L., Guo, W., Wang, L., Bekiros, S., Alsubaie, H., Alotaibi, A., & Jahanshahi, H. (2023). Stochastic Fixed-Time Tracking Control for the Chaotic Multi-Agent-Based Supply Chain Networks with Nonlinear Communication. Electronics, 12(1), 83. https://doi.org/10.3390/electronics12010083

Note that from the first issue of 2016, this journal uses article numbers instead of page numbers. See further details here.

Article Metrics

Back to TopTop