A Novel Anchor-Free Localization Method Using Cross-Technology Communication for Wireless Sensor Network †
Abstract
1. Introduction
- Improving coverage. Limited by the low power, a sensor device can only achieve about 20 m transmission. In order to enlarge the coverage, a large quantity of ANs has to be deployed. Except for the unacceptable cost, deployment of a large number of ANs will increase the complexity and maintenance of the network.
- Anti-interference. In indoor scenarios with complex radios, as the lower-power device, sensor is vulnerable to interference from the signals with strong-power, such as Wi-Fi and Bluetooth.
- Avoiding packet collisions. ANs have to broadcast their locations and identities in WSN to enable the ZigBee Node (ZN) to be aware of their positions. When a large number of ANs is connecting, WSN suffers from packet collisions.
- For the first time, we apply the advanced CTC technique to WSN localization. Instead of anchor-based localization, we propose an anchor-free mechanism by leveraging the installed Wi-Fi infrastructure to calculate the distance.
- We design WiZiLoc, a distributed self-positioning method for localization in WSN. To achieve this, we face two challenges, including the asymmetric coverage and the strong interference introduced by the environmental Wi-Fi. A distributed progressive method and a reasonable Wi-Fi broadcasting period are investigated to address the challenges.
- We implement WiZiLoc on the SDR platform USRP N210 and the commodity ZigBee device, CC2530. The experimental results demonstrate that WiZiLoc can achieve decimeter-level accuracy within two Wi-Fi APs coverage area, without deploying any ANs.
2. Preliminaries
2.1. Overview
2.2. Challenges
3. WiZiLoc Design
3.1. Workflow
3.2. ONION Algorithm
3.2.1. Basic Idea of ONION
3.2.2. Inherent Error of ONION
Around the x-Axis
Random Areas near the First Area
| Algorithm 1:ONION |
![]() |
3.3. Broadcasting Period
- Case 1
- Case 2
- Case 3
3.4. Offline Part
4. Experiment
4.1. Anti-Interference
4.2. Robustness
4.3. Coverage
4.4. The Broadcasting Period
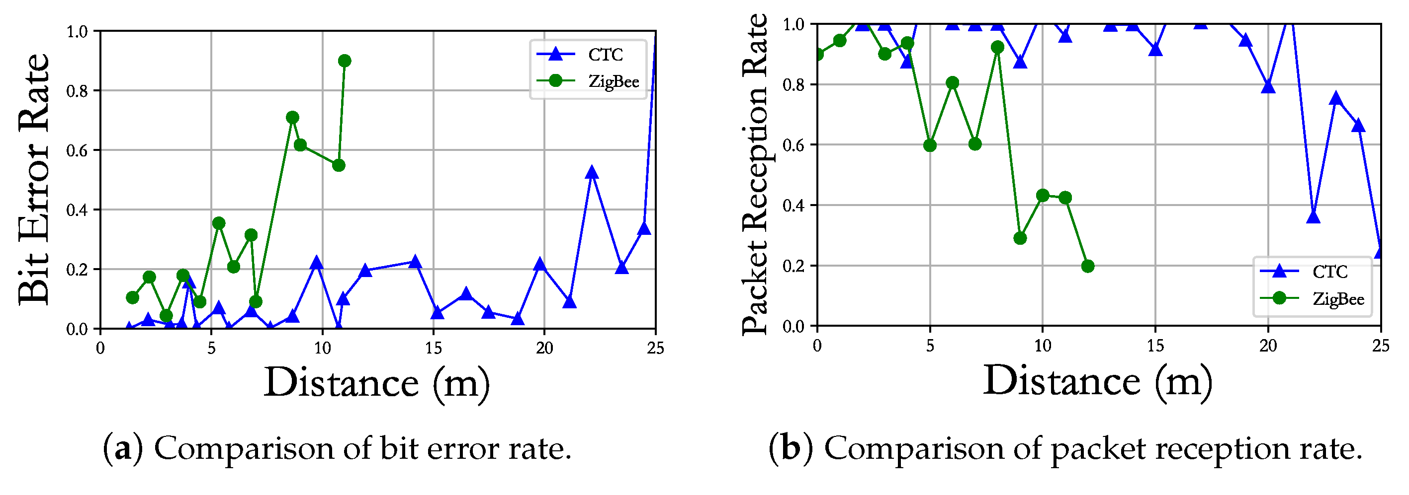
4.5. Comparison
5. Conclusions
Author Contributions
Funding
Acknowledgments
Conflicts of Interest
References
- Shahraki, A.; Taherkordi, A.; Haugen, Ø.; Eliassen, F. A survey and future directions on clustering: From wsns to iot and modern networking paradigms. IEEE Trans. Netw. Serv. Manag. 2021, 18, 2242–2274. [Google Scholar] [CrossRef]
- Akyildiz, I.F.; Su, W.; Sankarasubramaniam, Y. Wireless sensor networks: A survey. Comput. Netw. 2002, 38, 393–422. [Google Scholar] [CrossRef]
- Souza, F.L.; Nakamura, E.F.; Pazzi, R.W. Target tracking for sensor networks: A survey. ACM Comput. Surv. 2016, 49, 1–31. [Google Scholar] [CrossRef]
- Annepu, V.; Rajesh, A.; Bagadi, B. Radial basis function-based node localization for unmanned aerial vehicle-assisted 5g wireless sensor networks. Neural Comput. Appl. 2021, 33, 12333–12346. [Google Scholar] [CrossRef]
- Yassin, A.; Nasser, Y.; Awad, M.; Al-Dubai, A.; Liu, R.; Yuen, C.; Raulefs, R.; Aboutanios, E. Recent advances in indoor localization: A survey on theoretical approaches and applications. IEEE Commun. Surv. Tutor. 2016, 19, 1327–1346. [Google Scholar] [CrossRef]
- He, W.; Cheng, R.; Mao, K.; Yan, K.; Wei, J.; Xu, Y. A novel anchorless node positioning method for wireless sensor network. J. Sens. 2022, 2022, 5385393. [Google Scholar] [CrossRef]
- Liu, W.; Luo, X.; Wei, G.; Liu, H. Node Localization Algorithm for Wireless Sensor Networks Based on Static Anchor Node Location Selection Strategy, Computer Communications. Available online: https://www.sciencedirect.com/science/article/pii/S0140366422002122 (accessed on 1 August 2022). [CrossRef]
- Huang, H.; Miao, W.; Min, G.; Huang, C.; Wang, C. Resilient range-based d-dimensional localization for mobile sensor networks. IEEE/ACM Trans. Netw. 2020, 28, 2037–2050. [Google Scholar] [CrossRef]
- Singh, S.P.; Sharma, S. Range free localization techniques in wireless sensor networks: A review. Procedia Comput. Sci. 2015, 57, 7–16. [Google Scholar] [CrossRef]
- Zhao, S.; Zhang, X.-P.; Cui, X.; Lu, M. A new toa localization and synchronization system with virtually synchronized periodic asymmetric ranging network. IEEE Internet Things J. 2021, 8, 9030–9044. [Google Scholar] [CrossRef]
- Sun, Y.; Zhang, F.; Wan, Q. Wireless sensor network-based localization method using tdoa measurements in mpr. IEEE Sens. J. 2019, 19, 3741–3750. [Google Scholar] [CrossRef]
- Liu, J.; Hu, M.; Zhou, M.; Ding, Z. Performance analysis and comparison for tdoa and dtdoa. In Proceedings of the 2021 3rd International Conference on Information Technology and Computer Communications, Shanghai, China, 23–25 April 2021; pp. 103–108. [Google Scholar]
- Vashistha, A.; Law, C.L. E-dtdoa based localization for wireless sensor networks with clock drift compensation. IEEE Sens. J. 2019, 20, 2648–2658. [Google Scholar] [CrossRef]
- Zheng, Y.; Sheng, M.; Liu, J.; Li, J. Exploiting aoa estimation accuracy for indoor localization: A weighted aoa-based approach. IEEE Wirel. Commun. Lett. 2019, 8, 65–68. [Google Scholar] [CrossRef]
- Sahota, H.; Kumar, R. Maximum-likelihood sensor node localization using received signal strength in multimedia with multipath characteristics. IEEE Syst. J. 2016, 6, 1–10. [Google Scholar] [CrossRef]
- Xie, Y.; Xiong, J.; Li, M.; Jamieson, K. md-track: Leveraging multi-dimensionality in passive indoor wi-fi tracking. In Proceedings of the 25th Annual International Conference, Athens, Greece, 15–18 May 2019; pp. 1–16. [Google Scholar]
- Costa, M.S.; Tomic, S.; Beko, M. An socp estimator for hybrid rss and aoa target localization in sensor networks. Sensors 2021, 21, 1731. [Google Scholar] [CrossRef]
- Panwar, K.; Katwe, M.; Babu, P.; Ghare, P.; Singh, K. A majorization-minimization algorithm for hybrid toa-rss based localization in nlos environment. IEEE Commun. Lett. 2022, 26, 1017–1021. [Google Scholar] [CrossRef]
- Panwar, K.; Fatima, G.; Babu, P. Optimal sensor placement for hybrid source localization using fused toa-rss-aoa measurements. arXiv 2022, arXiv:2204.06198. [Google Scholar] [CrossRef]
- Panwar, K.; Babu, P. Majorization-minimization based hybrid localization method for high precision localization in wireless sensor networks. arXiv 2022, arXiv:2205.03881. [Google Scholar]
- Hosseinianfar, H.; Brandt-Pearce, M. Performance limits for fingerprinting-based indoor optical communication positioning systems exploiting multipath reflections. IEEE Photonics J. 2020, 12, 1–16. [Google Scholar] [CrossRef]
- Kaur, A.; Kumar, P.; Gupta, G.P. A weighted centroid localization algorithm for randomly deployed wireless sensor networks. J. King Saud Univ. Comput. Inf. Sci. 2019, 31, 82–91. [Google Scholar] [CrossRef]
- Chen, T.; Hou, S.; Sun, L. An enhanced dv-hop positioning scheme based on spring model and reliable beacon node set. Comput. Netw. 2022, 209, 108926. [Google Scholar] [CrossRef]
- Shen, S.; Yang, B.; Qian, K.; Wang, W.; Jiang, X.; She, Y.; Wang, Y. An improved amorphous localization algorithm for wireless sensor networks. In Proceedings of the 2016 International Conference on Networking and Network Applications (NaNA), Hokkaido, Japan, 23–25 July 2016; pp. 69–72. [Google Scholar] [CrossRef]
- Liu, J.; Wang, Z.; Yao, M.; Qiu, Z. Vn-apit: Virtual nodes-based range-free apit localization scheme for wsn. Wirel. Netw. 2016, 22, 867–878. [Google Scholar] [CrossRef]
- Saeed, N.; Nam, H.; Al-Naffouri, T.Y.; Alouini, M.S. A state-of-the-art survey on multidimensional scaling-based localization techniques. IEEE Commun. Surv. Tutor. 2020, 21, 3565–3583. [Google Scholar] [CrossRef]
- Zhang, S.; Liu, X.; Wang, J.; Cao, J.; Min, G. Accurate range-free localization for anisotropic wireless sensor networks. ACM Trans. Sens. Netw. 2015, 11, 1–28. [Google Scholar] [CrossRef]
- Savarese, C.; Rabaey, J.M.; Beutel, J. Location in distributed ad-hoc wireless sensor networks. In Proceedings of the 2001 IEEE International Conference on Acoustics, Speech, and Signal Processing (Cat. No. 01CH37221), Salt Lake City, UT, USA, 7–11 May 2001; Volume 4, pp. 2037–2040. [Google Scholar]
- Priyantha, N.B.; Balakrishnan, H.; Demaine, E.; Teller, S. Anchor-free distributed localization in sensor networks. In Proceedings of the 1st International Conference on Embedded Networked Sensor Systems, Los Angeles, CA, USA, 5–7 November 2003; pp. 340–341. [Google Scholar]
- Shang, Y.; Ruml, W.; Zhang, Y.; Fromherz, M.P.J. Localization from mere connectivity. In Proceedings of the 4th ACM International Symposium on Mobile Ad Hoc Networking and Computing, Annapolis, MD, USA, 1–3 June 2003; pp. 201–212. [Google Scholar]
- Benbadis, F.; Friedman, T.; De Amorim, M.D.; Fdida, S. Gps-free-free positioning system for wireless sensor networks. In Proceedings of the Second IFIP International Conference on Wireless and Optical Communications Networks, Dubai, United Arab Emirates, 6–8 March 2005; pp. 541–545. [Google Scholar]
- Qu, H.; Wicker, S.B. Anchor-free localization in rapidly-deployed wireless sensor networks. In Proceedings of the 2006 IEEE International Conference on Mobile Ad Hoc and Sensor Systems, Vancouver, BC, Canada, 9–12 October 2006; pp. 627–632. [Google Scholar]
- Fang, L.; Du, W.; Ning, P. A beacon-less location discovery scheme for wireless sensor networks. In Proceedings of the IEEE 24th Annual Joint Conference of the IEEE Computer and Communications Societies, Miami, FL, USA, 13–17 March 2005; pp. 161–171. [Google Scholar]
- Fuiorea, D.; Gui, V.; Pescaru, D.; Toma, C. Using registration algorithms for wireless sensor network node localization. In Proceedings of the 2007 4th International Symposium on Applied Computational Intelligence and Informatics, Timisoara, Romania, 17–18 May 2007; pp. 209–214. [Google Scholar]
- He, Y.; Guo, X.; Zheng, X.; Yu, Z.; Zhang, J.; Jiang, H.; Na, X.; Zhang, J. Cross-technology communication for the internet of things: A survey. ACM Comput. Surv. 2023, 55, 1–29. [Google Scholar] [CrossRef]
- Li, Z.; Tian, H. Webee: Physical-layer cross-technology communication via emulation. In Proceedings of the 23rd Annual International Conference, Staten Island, NY, USA, 7–9 June 2017; pp. 2–14. [Google Scholar]
- He, Y.; Guo, X.; Zhang, J.; Jiang, H. Wide: Physical-level ctc via digital emulation. IEEE/ACM Trans. Netw. 2021, 29, 1567–1579. [Google Scholar] [CrossRef]
- Xia, D.; Zheng, X.; Liu, L.; Wang, C.; Ma, H. c-chirp: Towards symmetric cross-technology communication over asymmetric channels. IEEE/ACM Trans. Netw. 2021, 29, 1169–1182. [Google Scholar] [CrossRef]
- Zheng, X.; Xia, D.; Guo, X.; Liu, L.; Ma, H. Portal: Transparent cross-technology opportunistic forwarding for low-power wireless networks. In Proceedings of the Mobihoc’20: The Twenty-first ACM International Symposium on Theory, Algorithmic Foundations, and Protocol Design for Mobile Networks and Mobile Computing, , Boston, MA, USA, 11–14 October 2020; pp. 241–250. [Google Scholar]
- Jing, N.; Zhang, B.; Liu, G.; Yang, L.; Wang, L. Anchor-Free Self-Positioning in Wireless Sensor Networks via Cross-Technology Communication. In Proceedings of the 2021 IEEE 27th International Conference on Parallel and Distributed Systems (ICPADS), Beijing, China, 14–16 December 2021; pp. 915–922. [Google Scholar]
- Kristalina, P.; Pratiarso, A.; Badriyah, T.; Putro, E.D. A wireless sensor networks localization using geometric triangulation scheme for object tracking in urban search and rescue application. In Proceedings of the 2016 2nd International Conference on Science in Information Technology (ICSITech), Yogyakarta, Indonesia, 27–28 October 2016; pp. 254–259. [Google Scholar]
- Dutta, S.; Obaidat, M.S.; Dahal, K.; Giri, D.; Neogy, S. M-memhs: Modified minimization of error in multihop system for localization of unknown sensor nodes. IEEE Syst. J. 2019, 13, 215–225. [Google Scholar] [CrossRef]
- Kumar, A. Karampal, Optimized range-free 3d node localization in wireless sensor networks using firefly algorithm. In Proceedings of the 2015 International Conference on Signal Processing and Communication (ICSC), Singapore, 25–27 February 2015; pp. 14–19. [Google Scholar] [CrossRef]





















Publisher’s Note: MDPI stays neutral with regard to jurisdictional claims in published maps and institutional affiliations. |
© 2022 by the authors. Licensee MDPI, Basel, Switzerland. This article is an open access article distributed under the terms and conditions of the Creative Commons Attribution (CC BY) license (https://creativecommons.org/licenses/by/4.0/).
Share and Cite
Jing, N.; Zhang, B.; Wang, L. A Novel Anchor-Free Localization Method Using Cross-Technology Communication for Wireless Sensor Network. Electronics 2022, 11, 4025. https://doi.org/10.3390/electronics11234025
Jing N, Zhang B, Wang L. A Novel Anchor-Free Localization Method Using Cross-Technology Communication for Wireless Sensor Network. Electronics. 2022; 11(23):4025. https://doi.org/10.3390/electronics11234025
Chicago/Turabian StyleJing, Nan, Bowen Zhang, and Lin Wang. 2022. "A Novel Anchor-Free Localization Method Using Cross-Technology Communication for Wireless Sensor Network" Electronics 11, no. 23: 4025. https://doi.org/10.3390/electronics11234025
APA StyleJing, N., Zhang, B., & Wang, L. (2022). A Novel Anchor-Free Localization Method Using Cross-Technology Communication for Wireless Sensor Network. Electronics, 11(23), 4025. https://doi.org/10.3390/electronics11234025


