Performance of Cooperative Relay NOMA with Large Antenna Transmitters
Abstract
1. Introduction
1.1. Review of Existing Works and Motivation
1.1.1. 5G Massive MIMO Channel Models
1.1.2. Performance of CR-NOMA with CBSM Channel Model
1.2. Motivation
1.3. Contribution of the Work
- We examine a two-stage downlink mMIMO CR-NOMA GBSM system and introduce a new channel model when the transmitter is URA or CA. To reduce the computational complexity of the 3D GBSM channel, we define the antenna elements’ location vector based on the physical dimension of the antenna array. We illustrate the transmitter with a massive antenna system following the models discussed in [17]. Here, the relay and user equipment only has a single antenna.
- Two coding schemes, AF and DF, are incorporated into the channel model to improve the channel performance.
- For performance analysis, evaluation and comparison, we present outage probability and achievable rate for the two-stage mMIMO CR-NOMA system.
- Final findings show that the joint contribution between large antenna transmitters and coding schemes with 3D GBSM CR-NOMA presents possible advantages for future communications systems concerning achievable rate, outage probability and Bit-error rate (BER).
2. System Model
Proposed 3D GBSM Models
3. Achievable Rates, Outage Probabilities and Bit-Error-Rates Analysis
3.1. Transmission between TX and RS
3.2. Transmission between RS and UE
3.2.1. Application of AF Coding Scheme
3.2.2. Application of DF Coding Scheme
3.3. Achievable Rates Analysis
3.4. Outage Probabilities Analysis
3.5. Bit-Error-Rates (BER) Analysis
4. Numerical Results and Analyses
4.1. Achievable Rate Performance
4.2. BER Performance
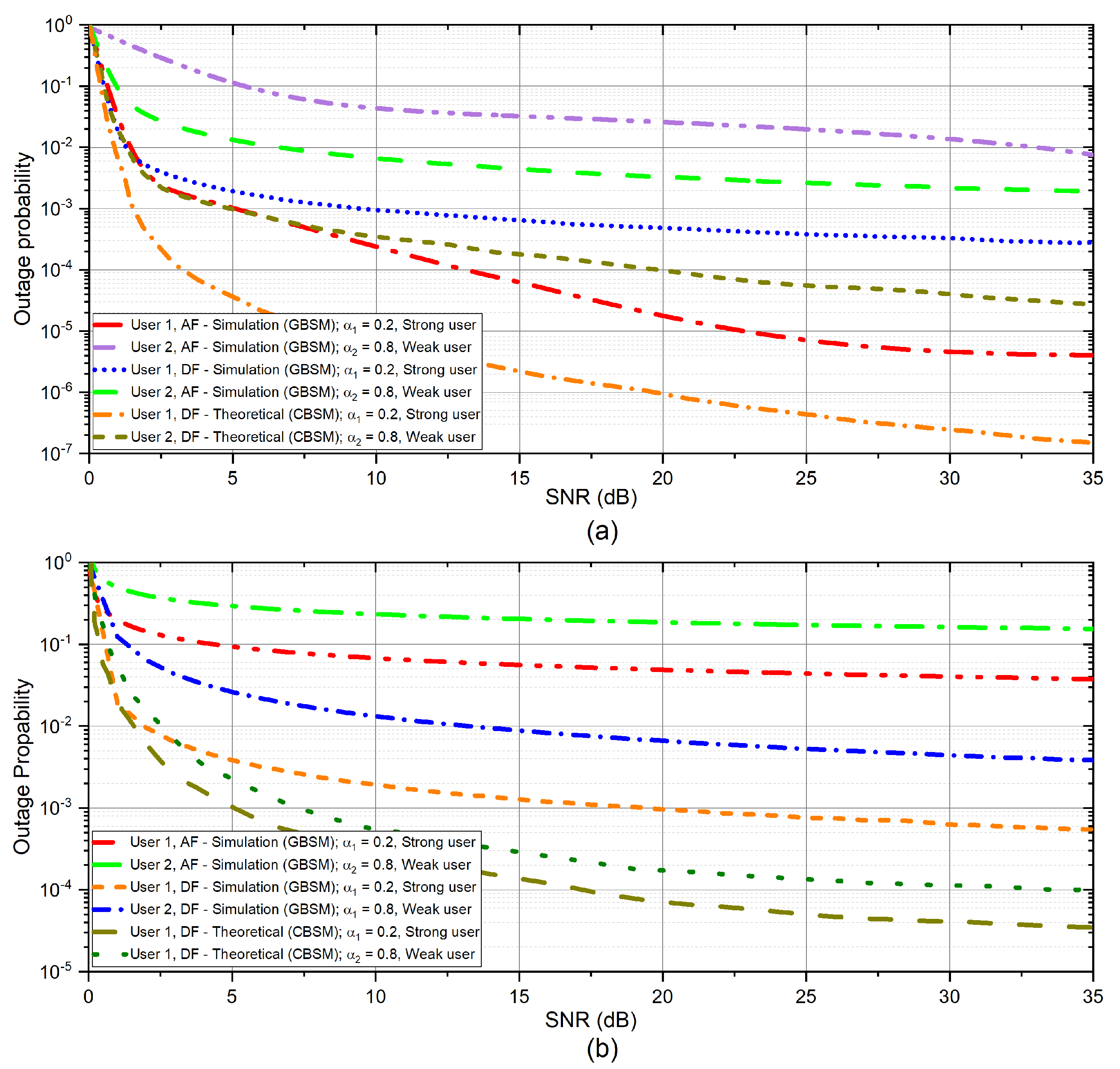
4.3. Outage Probability (OP) Performance
5. Conclusions and Future Scope
Author Contributions
Funding
Data Availability Statement
Acknowledgments
Conflicts of Interest
Abbreviations
| NOMA | Non-Orthogonal Multiple Access |
| 5G | Fifth Generation |
| SIC | Successive Interference Cancellation |
| CR-NOMA | Cooperative Relay Non-Orthogonal Multiple Access |
| mMIMO | Massive Multiple-Input Multiple-Output |
| CBSM | Correlated-Based Stochastic Channel Model |
| GBSM | Geometric-Based Stochastic Channel Model |
| 3GPP | Third Generation Partnership Project |
| 3D | Three Dimension |
| URA | Uniform Rectangular Array |
| CA | Cylindrical |
| Array | |
| OP | Outage Probability |
| AF | Amplify-and-Forward |
| DF | Decode-and-Forward |
| OMA | Orthogonal |
| Multiple Access | |
| MIMO | Multiple-Input Multiple-Output |
| CSI | Channel State Information |
| CF | Compress-and-Forward |
| CpF | Compute-and-Forward |
| BER | Bit-Error-Rate |
| EH | Energy Harvesting |
| BS | Base |
| Station | |
| SNR | Signal-to-Noise Ratio |
| TX | Transmitter |
| UE | User Equipment |
| RS | Relay Station |
| Total Transmit Power | |
| DL | Downlink |
| DS | Delay Spread |
| AoA | Angle of Arrival |
| AoD | Azimuth of Departure |
| EoD | Elevation Angle of Departure |
| EoA | Elevation Angle of Arrival |
| AWGN | Additive White Gaussian Noise |
| Distance between TX and Rs | |
| SINR | Signal-to-Interference Noise Ratio |
| PAS | Power of Azimuth Spectrum |
References
- Penttinen, J.T. 5G Explained: Security and Deployment of Advanced Mobile Communications; John Wiley & Sons: Hoboken, NJ, USA, 2019. [Google Scholar]
- Shahraki, A.; Abbasi, M.; Piran, M.; Chen, M.; Cui, S. A comprehensive survey on 6g networks: Applications, core services, enabling technologies, and future challenges. arXiv 2021, arXiv:2101.12475. [Google Scholar]
- Osseiran, A.; Parkvall, S.; Persson, P.; Zaido, A.; Magnusson, S.; Balachandran, K. 5G Wireless Access Network; Whitepaper; Ericsson: Stockholm, Sweden, 2020. [Google Scholar]
- Carugi, M. Key features and requirements of 5G/IMT-2020 networks. In Proceedings of the ITU Arab Forum on Emerging Technologies, Algiers, Algeria, 14–15 February 2018. [Google Scholar]
- Yuan, M.; Song, D.; Li, B. A Comparative Study on Key Technologies of Ultra-Reliable Low Latency Communication. In Proceedings of the International Conference on Machine Learning for Cyber Security, Guangzhou, China, 8–10 October 2020; Springer: Berlin/Heidelberg, Germany, 2020; pp. 112–124. [Google Scholar]
- Carcel, J.L.; Mouhouche, B.; Fuentes, M.; Garro, E.; Gomez-Barquero, D. IMT-2020 key performance indicators: Evaluation and extension towards 5G new radio point-to-multipoint. In Proceedings of the 2019 IEEE International Symposium on Broadband Multimedia Systems and Broadcasting (BMSB), Jeju, Korea, 5–7 June 2019; pp. 1–5. [Google Scholar]
- Akbar, A.; Jangsher, S.; Bhatti, F.A. NOMA and 5G emerging technologies: A survey on issues and solution techniques. Comput. Netw. 2021, 190, 107950. [Google Scholar] [CrossRef]
- Basnayake, V.; Jayakody, D.N.K.; Sharma, V.; Sharma, N.; Muthuchidambaranathan, P.; Mabed, H. A New Green Prospective of Non-orthogonal Multiple Access (NOMA) for 5G. Information 2020, 11, 89. [Google Scholar] [CrossRef]
- Ghanami, F.; Hodtani, G.A.; Vucetic, B.; Shirvanimoghaddam, M. Performance analysis and optimization of NOMA with HARQ for short packet communications in massive IoT. IEEE Internet Things J. 2020, 8, 4736–4748. [Google Scholar] [CrossRef]
- Budhiraja, I.; Kumar, N.; Tyagi, S.; Tanwar, S.; Han, Z.; Suh, D.Y.; Piran, M.J. A Systematic Review on NOMA Variants for 5G and Beyond. IEEE Access 2021, 9, 85573–85644. [Google Scholar] [CrossRef]
- Islam, S.R.; Zeng, M.; Dobre, O.A.; Kwak, K.S. Nonorthogonal multiple access (NOMA): How it meets 5G and beyond. arXiv 2019, arXiv:1907.10001. [Google Scholar]
- Proakis, J.G.; Salehi, M.; Zhou, N.; Li, X. Communication Systems Engineering; Prentice Hall New Jersey: Upper Saddle River, NJ, USA, 1994; Volume 2, Chapter 1; pp. 20–21. [Google Scholar]
- Reddy, B.S.K.; Mannem, K.; Jamal, K. Software Defined Radio Based Non-orthogonal Multiple Access (NOMA) Systems. Wirel. Pers. Commun. 2021, 119, 1251–1273. [Google Scholar] [CrossRef]
- Islam, S.; Zeng, M.; Dobre, O.A. NOMA in 5G systems: Exciting possibilities for enhancing spectral efficiency. arXiv 2017, arXiv:1706.08215. [Google Scholar]
- Ntiamoah-Sarpong, K.; Huang, Z.; Wen, G.; Ampoma, A.E. Performance of non-orthogonal multiple access: Analysis using compute-and-forward cooperative relaying in 5G networks. IET Commun. 2020, 14, 3058–3064. [Google Scholar] [CrossRef]
- Laneman, J.N.; Tse, D.N.; Wornell, G.W. Cooperative diversity in wireless networks: Efficient protocols and outage behavior. IEEE Trans. Inf. Theory 2004, 50, 3062–3080. [Google Scholar] [CrossRef]
- Zheng, K.; Ou, S.; Yin, X. Massive MIMO channel models: A survey. Int. J. Antennas Propag. 2014, 2014, 848071. [Google Scholar] [CrossRef]
- Liu, Y.; Wang, C.X.; Lopez, C.F.; Goussetis, G.; Yang, Y.; Karagiannidis, G.K. 3D non-stationary wideband tunnel channel models for 5G high-speed train wireless communications. IEEE Trans. Intell. Transp. Syst. 2019, 21, 259–272. [Google Scholar] [CrossRef]
- Zhang, P.; Chen, J.; Yang, X.; Ma, N.; Zhang, Z. Recent research on massive MIMO propagation channels: A survey. IEEE Commun. Mag. 2018, 56, 22–29. [Google Scholar] [CrossRef]
- Zheng, K.; Zhao, L.; Mei, J.; Shao, B.; Xiang, W.; Hanzo, L. Survey of large-scale MIMO systems. IEEE Commun. Surv. Tutor. 2015, 17, 1738–1760. [Google Scholar] [CrossRef]
- Ampoma, A.E.; Wen, G.; Huang, Y.; Gyasi, K.O.; Tebe, P.I.; Ntiamoah-Sarpong, K. Spatial correlation models of large-scale antenna topologies using maximum power of offset distribution and its application. IEEE Access 2018, 6, 36295–36304. [Google Scholar] [CrossRef]
- He, D.; Ai, B.; Guan, K.; Wang, L.; Zhong, Z.; Kürner, T. The design and applications of high-performance ray-tracing simulation platform for 5G and beyond wireless communications: A tutorial. IEEE Commun. Surv. Tutor. 2018, 21, 10–27. [Google Scholar] [CrossRef]
- Zaghdoud, N.; Alouane, W.H.; Boujemaa, H.; Touati, F. Secure performance of AF and DF relaying in cooperative NOMA systems. In Proceedings of the 2019 19th International Conference on Sciences and Techniques of Automatic Control and Computer Engineering (STA), Sousse, Tunisia, 24–26 March 2019; pp. 614–619. [Google Scholar]
- Gong, X.; Yue, X.; Liu, F. Performance analysis of cooperative NOMA networks with imperfect CSI over Nakagami-m fading channels. Sensors 2020, 20, 424. [Google Scholar] [CrossRef]
- Tran, D.D.; Ha, D.B.; So-In, C.; Tran, H.; Nguyen, T.G.; Baig, Z.A.; Sanguanpong, S. Performance Analysis of DF/AF Cooperative MISO Wireless Sensor Networks With NOMA and SWIPT Over Nakagami-m Fading. IEEE Access 2018, 6, 56142–56161. [Google Scholar] [CrossRef]
- Aldababsa, M.; Kucur, O. Performance of cooperative multiple-input multiple-output NOMA in Nakagami-m fading channels with channel estimation errors. IET Commun. 2020, 14, 274–281. [Google Scholar] [CrossRef]
- Nguyen, X.X.; Do, D.T. System performance of cooperative NOMA with full-duplex relay over Nakagami-m fading channels. Mob. Inf. Syst. 2019, 2019, 7547431. [Google Scholar]
- Li, G.; Mishra, D. Cooperative NOMA networks: User cooperation or relay cooperation? In Proceedings of the ICC 2020—2020 IEEE International Conference on Communications (ICC), Dublin, Ireland, 7–11 June 2020; pp. 1–6. [Google Scholar]
- Goutham, V.; Harigovindan, V. Full-duplex cooperative relaying with NOMA for the performance enhancement of underwater acoustic sensor networks. Eng. Sci. Technol. Int. J. 2021, 24, 1396–1407. [Google Scholar] [CrossRef]
- Kramer, G.; Maric, I.; Yates, R.D. Cooperative Communications; Now Publishers Inc.: Hanover, MA, USA, 2007. [Google Scholar]
- Zhou, Y.; Wong, V.W.; Schober, R. Performance analysis of cooperative NOMA with dynamic decode-and-forward relaying. In Proceedings of the GLOBECOM 2017—2017 IEEE Global Communications Conference, Singapore, 4–8 December 2017; pp. 1–6. [Google Scholar]
- Umakoglu, I.; Namdar, M.; Basgumus, A.; Kara, F.; Kaya, H.; Yanikomeroglu, H. BER Performance Comparison of AF and DF Assisted Relay Selection Schemes in Cooperative NOMA Systems. In Proceedings of the 2021 IEEE International Black Sea Conference on Communications and Networking (BlackSeaCom), Bucharest, Romania, 24–28 May 2021; pp. 1–6. [Google Scholar]
- Zheng, B.; Wen, M.; Wang, C.X.; Wang, X.; Chen, F.; Tang, J.; Ji, F. Secure NOMA based two-way relay networks using artificial noise and full duplex. IEEE J. Sel. Areas Commun. 2018, 36, 1426–1440. [Google Scholar] [CrossRef]
- Men, J.; Ge, J. Performance analysis of non-orthogonal multiple access in downlink cooperative network. IET Commun. 2015, 9, 2267–2273. [Google Scholar] [CrossRef]
- Abbasi, O.; Ebrahimi, A. Cooperative NOMA with full-duplex amplify-and-forward relaying. Trans. Emerg. Telecommun. Technol. 2018, 29, e3421. [Google Scholar] [CrossRef]
- Liang, X.; Wu, Y.; Ng, D.W.K.; Zuo, Y.; Jin, S.; Zhu, H. Outage performance for cooperative NOMA transmission with an AF relay. IEEE Commun. Lett. 2017, 21, 2428–2431. [Google Scholar] [CrossRef]
- Li, Y.; Kishore, S. Asymptotic analysis of amplify-and-forward relaying in Nakagami-fading environments. IEEE Trans. Wirel. Commun. 2007, 6, 4256–4262. [Google Scholar] [CrossRef]
- Peppas, K.P.; Alexandropoulos, G.C.; Mathiopoulos, P.T. Performance Analysis of Dual-Hop AF Relaying Systems over Mixed η − μ and κ − μ Fading Channels. IEEE Trans. Veh. Technol. 2013, 62, 3149–3163. [Google Scholar] [CrossRef]
- Kim, J.B.; Lee, I.H. Capacity analysis of cooperative relaying systems using non-orthogonal multiple access. IEEE Commun. Lett. 2015, 19, 1949–1952. [Google Scholar] [CrossRef]
- So, J.; Sung, Y. Improving non-orthogonal multiple access by forming relaying broadcast channels. IEEE Commun. Lett. 2016, 20, 1816–1819. [Google Scholar] [CrossRef]
- Liu, H.; Ding, Z.; Kim, K.J.; Kwak, K.S.; Poor, H.V. Decode-and-forward relaying for cooperative NOMA systems with direct links. IEEE Trans. Wirel. Commun. 2018, 17, 8077–8093. [Google Scholar] [CrossRef]
- Li, G.; Mishra, D.; Hu, Y.; Huang, Y.; Jiang, H. Adaptive Relay Selection Strategies for Cooperative NOMA Networks With User and Relay Cooperation. IEEE Trans. Veh. Technol. 2020, 69, 11728–11742. [Google Scholar] [CrossRef]
- Wu, X.; Xie, L.L. On the optimal compressions in the compress-and-forward relay schemes. IEEE Trans. Inf. Theory 2013, 59, 2613–2628. [Google Scholar] [CrossRef]
- Liaqat, M.; Noordin, K.A.; Latef, T.A.; Dimyati, K. Power-domain non orthogonal multiple access (PD-NOMA) in cooperative networks: An overview. Wirel. Netw. 2020, 26, 181–203. [Google Scholar] [CrossRef]
- Zeng, M.; Hao, W.; Dobre, O.A.; Ding, Z. Cooperative NOMA: State of the Art, Key Techniques, and Open Challenges. IEEE Netw. 2020, 34, 205–211. [Google Scholar] [CrossRef]
- Li, Y.; Li, Y.; Chu, X.; Ye, Y.; Zhang, H. Performance analysis of relay selection in cooperative NOMA networks. IEEE Commun. Lett. 2019, 23, 760–763. [Google Scholar] [CrossRef]
- Kaur, J.; Singh, M.L. User assisted cooperative relaying in beamspace massive MIMO NOMA based systems for millimeter wave communications. China Commun. 2019, 16, 103–113. [Google Scholar] [CrossRef]
- Sushma, J.; Gayathri, M.N.; Srivani, S.; Nayak, V.N.; Gurrala, K.K. Performance Analysis and Power allocation for Multi Relay Wireless Cooperative NOMA Networks with Diversity Combining strategies. In Proceedings of the 2020 IEEE International Students’ Conference on Electrical, Electronics and Computer Science (SCEECS), Bhopal, India, 22–23 February 2020; pp. 1–6. [Google Scholar]
- Mohammadi, M.; Shi, X.; Chalise, B.K.; Ding, Z.; Suraweera, H.A.; Zhong, C.; Thompson, J.S. Full-duplex non-orthogonal multiple access for next generation wireless systems. IEEE Commun. Mag. 2019, 57, 110–116. [Google Scholar] [CrossRef]
- Zhang, Z.; Si, Z. Performance Evaluation and Optimization of Cooperative NOMA over Rayleigh Fading Channels. In Proceedings of the 2020 IEEE International Conference on Communications Workshops (ICC Workshops), Dublin, Ireland, 7–11 June 2020; pp. 1–6. [Google Scholar]
- Wang, H.; Shi, R.; Tang, K.; Dong, J.; Liao, S. Performance Analysis and Optimization of a Cooperative Transmission Protocol in NOMA-Assisted Cognitive Radio Networks with Discrete Energy Harvesting. Entropy 2021, 23, 785. [Google Scholar] [CrossRef]
- Alnwaimi, G.; Boujemaa, H.; Arshad, K. Throughput optimization of cooperative non orthogonal multiple access. Telecommun. Syst. 2021, 76, 359–370. [Google Scholar] [CrossRef]
- Ali, Z.; Khan, W.U.; Ihsan, A.; Waqar, O.; Sidhu, G.A.S.; Kumar, N. Optimizing Resource Allocation for 6G NOMA-enabled Cooperative Vehicular Networks. IEEE Open J. Intell. Transp. Syst. 2021, 2, 269–281. [Google Scholar] [CrossRef]
- Reshma, K.; Babu, A. Cooperative NOMA system with incremental relaying and energy harvesting: Performance analysis and optimization. Trans. Emerg. Telecommun. Technol. 2020, 31, e4075. [Google Scholar] [CrossRef]
- Nazari, A.; Javan, M.R.; Hosseini, S.S. Resource allocation in power domain NOMA-based cooperative multicell networks. IET Commun. 2020, 14, 1162–1168. [Google Scholar] [CrossRef]
- Li, J.; Lei, X.; Diamantoulakis, P.D.; Zhou, F.; Sarigiannidis, P.; Karagiannidis, G.K. Resource allocation in buffer-aided cooperative non-orthogonal multiple access systems. IEEE Trans. Commun. 2020, 68, 7429–7445. [Google Scholar] [CrossRef]
- Wang, L.; Xu, D. Resource allocation in downlink SWIPT-based cooperative NOMA systems. KSII Trans. Internet Inf. Syst. (TIIS) 2020, 14, 20–39. [Google Scholar]
- Chen, X.; Wen, M.; Mao, T.; Dang, S. Spectrum resource allocation based on cooperative NOMA with index modulation. IEEE Trans. Cogn. Commun. Netw. 2020, 6, 946–958. [Google Scholar] [CrossRef]
- Rezaei, A.; Azmi, P.; Yamchi, N.M.; Javan, M.R.; Yanikomeroglu, H. Robust Resource Allocation for Cooperative MISO-NOMA-Based Heterogeneous Networks. IEEE Trans. Commun. 2021, 69, 3864–3878. [Google Scholar] [CrossRef]
- Amer, A.; Ahmad, A.M.; Hoteit, S. Resource allocation for downlink full-duplex cooperative NOMA-based cellular system with imperfect SI cancellation and underlaying D2D communications. Sensors 2021, 21, 2768. [Google Scholar] [CrossRef]
- Chen, X.; Jia, R.; Ng, D.W.K. The application of relay to massive non-orthogonal multiple access. IEEE Trans. Commun. 2018, 66, 5168–5180. [Google Scholar] [CrossRef]
- Abolpour, M.; Mirmohseni, M.; Aref, M.R. Outage performance in secure cooperative NOMA. In Proceedings of the 2019 Iran Workshop on Communication and Information Theory (IWCIT), Tehran, Iran, 24–25 April 2019; pp. 1–6. [Google Scholar]
- Zhang, J.; Tao, X.; Wu, H.; Zhang, X. Performance analysis of user pairing in cooperative NOMA networks. IEEE Access 2018, 6, 74288–74302. [Google Scholar] [CrossRef]
- Zhou, Y.; Wong, V.W.; Schober, R. Dynamic decode-and-forward based cooperative NOMA with spatially random users. IEEE Trans. Wirel. Commun. 2018, 17, 3340–3356. [Google Scholar] [CrossRef]
- Zhou, T.; Yang, Y.; Liu, L.; Tao, C.; Liang, Y. A Dynamic 3-D Wideband GBSM for Cooperative Massive MIMO Channels in Intelligent High-Speed Railway Communication Systems. IEEE Trans. Wirel. Commun. 2020, 20, 2237–2250. [Google Scholar] [CrossRef]
- Hong, Y.W.P.; Huang, W.J.; Kuo, C.C.J. Cooperative Communications and Networking: Technologies and System Design; Springer Science & Business Media: New York, NY, USA, 2010; Chapter 1; pp. 1–10. [Google Scholar]
- Huang, H.; Zhu, M. Energy efficiency maximization design for full-duplex cooperative NOMA systems with SWIPT. IEEE Access 2019, 7, 20442–20451. [Google Scholar] [CrossRef]
- Liu, K.R.; Sadek, A.K.; Su, W.; Kwasinski, A. Cooperative Communications and Networking; Cambridge University Press: Cambridge, UK, 2009. [Google Scholar]
- Elouafadi, R.; Benjillali, M. Cooperative NOMA-based D2D communications: A survey in the 5G/IoT context. In Proceedings of the 2018 19th IEEE Mediterranean Electrotechnical Conference (MELECON), Marrakech, Morocco, 2–7 May 2018; pp. 132–137. [Google Scholar]
- Abbasi, O.; Ebrahimi, A.; Mokari, N. NOMA inspired cooperative relaying system using an AF relay. IEEE Wirel. Commun. Lett. 2018, 8, 261–264. [Google Scholar] [CrossRef]
- Abdel-Razeq, S.; Zhou, S.; Bansal, R.; Zhao, M. Uplink NOMA transmissions in a cooperative relay network based on statistical channel state information. IET Commun. 2019, 13, 371–378. [Google Scholar] [CrossRef]
- Huang, Y.; Zhang, C.; Wang, J.; Jing, Y.; Yang, L.; You, X. Signal processing for MIMO-NOMA: Present and future challenges. IEEE Wirel. Commun. 2018, 25, 32–38. [Google Scholar] [CrossRef]
- Aldababsa, M.; Kucur, O. Outage and ergodic sum-rate performance of cooperative MIMO-NOMA with imperfect CSI and SIC. Int. J. Commun. Syst. 2020, 33, e4405. [Google Scholar] [CrossRef]
- Singh, S.; Bansal, M. Outage analysis of NOMA-based cooperative relay systems with imperfect SIC. Phys. Commun. 2020, 43, 101219. [Google Scholar] [CrossRef]
- Belmekki, B.E.Y.; Hamza, A.; Escrig, B. On the performance of cooperative NOMA Using MRC at road intersections in the presence of interference. Phys. Commun. 2021, 46, 101321. [Google Scholar] [CrossRef]
- Chen, X.; Gong, F.K.; Li, G.; Zhang, H.; Song, P. User pairing and pair scheduling in massive MIMO-NOMA systems. IEEE Commun. Lett. 2017, 22, 788–791. [Google Scholar] [CrossRef]
- Ding, Z.; Dai, H.; Poor, H.V. Relay selection for cooperative NOMA. IEEE Wirel. Commun. Lett. 2016, 5, 416–419. [Google Scholar] [CrossRef]
- Men, J.; Ge, J. Non-orthogonal multiple access for multiple-antenna relaying networks. IEEE Commun. Lett. 2015, 19, 1686–1689. [Google Scholar] [CrossRef]
- Nasir, H.; Javaid, N.; Raza, W. Study of buffer-aided cooperative NOMA using incremental relaying in wireless networks. Phys. Commun. 2020, 39, 101011. [Google Scholar] [CrossRef]
- Jiao, R.; Dai, L.; Zhang, J.; MacKenzie, R.; Hao, M. On the performance of NOMA-based cooperative relaying systems over Rician fading channels. IEEE Trans. Veh. Technol. 2017, 66, 11409–11413. [Google Scholar] [CrossRef]
- Fang, Z.; Hu, J.; Lu, Y.; Ni, W. Three-User Cooperative NOMA Transmission. IEEE Wirel. Commun. Lett. 2019, 9, 465–469. [Google Scholar] [CrossRef]
- Ju, J.; Duan, W.; Sun, Q.; Gao, S.; Zhang, G. Performance analysis for cooperative NOMA with opportunistic relay selection. IEEE Access 2019, 7, 131488–131500. [Google Scholar] [CrossRef]
- Lv, L.; Ye, Q.; Ding, Z.; Li, Z.; Al-Dhahir, N.; Chen, J. Multi-antenna two-way relay based cooperative NOMA. IEEE Trans. Wirel. Commun. 2020, 19, 6486–6503. [Google Scholar] [CrossRef]
- Cao, Y.; Zhao, N.; Pan, G.; Chen, Y.; Fan, L.; Jin, M.; Alouini, M.S. Secrecy analysis for cooperative NOMA networks with multi-antenna full-duplex relay. IEEE Trans. Commun. 2019, 67, 5574–5587. [Google Scholar] [CrossRef]
- Salem, A.; Musavian, L. NOMA in cooperative communication systems with energy-harvesting nodes and wireless secure transmission. IEEE Trans. Wirel. Commun. 2020, 20, 1023–1037. [Google Scholar] [CrossRef]
- Alkhawatrah, M.; Gong, Y.; Chen, G.; Lambotharan, S.; Chambers, J.A. Buffer-aided relay selection for cooperative NOMA in the Internet of Things. IEEE Internet Things J. 2019, 6, 5722–5731. [Google Scholar] [CrossRef]
- Mei, W.; Zhang, R. Uplink cooperative NOMA for cellular-connected UAV. IEEE J. Sel. Top. Signal Process. 2019, 13, 644–656. [Google Scholar] [CrossRef]
- Liau, Q.Y.; Leow, C.Y. Successive user relaying in cooperative NOMA system. IEEE Wirel. Commun. Lett. 2019, 8, 921–924. [Google Scholar] [CrossRef]
- Imoize, A.L.; Ibhaze, A.E.; Atayero, A.A.; Kavitha, K. Standard Propagation Channel Models for MIMO Communication Systems. Wirel. Commun. Mob. Comput. 2021, 2021, 8838792. [Google Scholar] [CrossRef]
- Meredith, J. Study on Channel Model for Frequency Spectrum above 6 GHZ. 3GPP TR 38.900 Jun Technical Report. 2016. Available online: https://portal.3gpp.org/desktopmodules/Specifications/SpecificationDetails.aspx?specificationId=2991 (accessed on 20 February 2021).
- Mondal, B.; Thomas, T.A.; Visotsky, E.; Vook, F.W.; Ghosh, A.; Nam, Y.H.; Li, Y.; Zhang, J.; Zhang, M.; Luo, Q.; et al. 3D channel model in 3GPP. IEEE Commun. Mag. 2015, 53, 16–23. [Google Scholar] [CrossRef]
- Nadeem, Q.U.A.; Kammoun, A.; Debbah, M.; Alouini, M.S. Spatial correlation characterization of a uniform circular array in 3D MIMO systems. In Proceedings of the 2016 IEEE 17th International Workshop on Signal Processing Advances in Wireless Communications (SPAWC), Edinburgh, UK, 3–6 July 2016; pp. 1–6. [Google Scholar] [CrossRef]
- Assiimwe, E.; Marye, Y.W. A Stochastic Confocal Elliptic-Cylinder Channel Model for 3D MIMO in Millimeter-Wave High-Speed Train Communication System. Electronics 2022, 11, 1948. [Google Scholar] [CrossRef]
- Ahmed, N.; Hua, B.; Zhu, Q.; Mao, K.; Bao, J. A Novel GBSM for Non-Stationary V2V Channels Allowing 3D Velocity Variations. Sensors 2021, 21, 3271. [Google Scholar] [CrossRef] [PubMed]
- Kammoun, A.; Debbah, M.; Alouini, M.S. 3D massive MIMO systems: Modeling and performance analysis. IEEE Trans. Wirel. Commun. 2015, 14, 6926–6939. [Google Scholar]
- May Taniguchi, L.; Abrao, T. Stochastic channel models for massive and extreme large multiple-input multiple-output systems. Trans. Emerg. Telecommun. Technol. 2020, 31, e4099. [Google Scholar] [CrossRef]
- Yuan, Y.; He, R.; Ai, B.; Ma, Z.; Miao, Y.; Niu, Y.; Zhang, J.; Chen, R.; Zhong, Z. A 3D Geometry-Based THz Channel Model for 6G Ultra Massive MIMO Systems. IEEE Trans. Veh. Technol. 2022, 71, 2251–2266. [Google Scholar] [CrossRef]
- Björnson, E.; Hoydis, J.; Kountouris, M.; Debbah, M. Massive MIMO systems with non-ideal hardware: Energy efficiency, estimation, and capacity limits. IEEE Trans. Inf. Theory 2014, 60, 7112–7139. [Google Scholar] [CrossRef]
- Salo, J. Universal mobile telecommunications system (UMTS); Spatial channel model for multiple input multiple output (MIMO) simulations. Eur. Telecommun. Standards Inst., Nice, French, Technical Report GT. 2020; Volume 25. Available online: https://portal.3gpp.org/desktopmodules/Specifications/SpecificationDetails.aspx?specificationId=1382 (accessed on 10 February 2021).
- Guan, K.; He, D.; Ai, B.; Chen, Y.; Han, C.; Peng, B.; Zhong, Z.; Kuerner, T. Channel characterization and capacity analysis for THz communication enabled smart rail mobility. IEEE Trans. Veh. Technol. 2021, 70, 4065–4080. [Google Scholar] [CrossRef]
- Guan, K.; Ai, B.; He, D.; Zhu, F.; Yi, H.; Dou, J.; Zhong, Z. Channel sounding and ray tracing for thz channel characterization. In Proceedings of the 2020 13th UK-Europe-China Workshop on Millimetre-Waves and Terahertz Technologies (UCMMT), Tianjin, China, 29 August–1 September 2020; pp. 1–3. [Google Scholar]
- Yong, S.K.; Thompson, J.S. Three-dimensional spatial fading correlation models for compact MIMO receivers. IEEE Trans. Wirel. Commun. 2005, 4, 2856–2869. [Google Scholar] [CrossRef]
- Ademaj, F.; Taranetz, M.; Rupp, M. 3GPP 3D MIMO channel model: A holistic implementation guideline for open source simulation tools. EURASIP J. Wirel. Commun. Netw. 2016, 2016, 55. [Google Scholar] [CrossRef]
- Zeng, L.; Cheng, X.; Wang, C.X.; Yin, X. A 3D geometry-based stochastic channel model for UAV-MIMO channels. In Proceedings of the 2017 IEEE Wireless Communications and Networking Conference (WCNC), San Francisco, CA, USA, 19–22 March 2017; pp. 1–5. [Google Scholar]
- Zheng, Y.; Yu, L.; Yang, R.; Wang, C.X. A General 3D Non-Stationary Massive MIMO GBSM for 6G Communication Systems. In Proceedings of the 2021 IEEE Wireless Communications and Networking Conference (WCNC), Nanjing, China, 29 March–1 April 2021; pp. 1–6. [Google Scholar]
- Zeng, W.; He, Y.; Li, B.; Wang, S. 3D Multiple-Antenna Channel Modeling and Propagation Characteristics Analysis for Mobile Internet of Things. Sensors 2021, 21, 989. [Google Scholar] [CrossRef]
- Bello, O.; Zen, H.; Othman, A.K.; Hamid, K.A. Computing amplify-and-forward relay amplification factor to improve total capacity at destination. Am. J. Appl. Sci. 2015, 12, 572. [Google Scholar] [CrossRef]
- Dai, L.; Wang, B.; Yuan, Y.; Han, S.; Chih-Lin, I.; Wang, Z. Non-orthogonal multiple access for 5G: Solutions, challenges, opportunities, and future research trends. IEEE Commun. Mag. 2015, 53, 74–81. [Google Scholar] [CrossRef]
- Wang, Z.; Peng, Z.; Pei, Y.; Wang, H. Performance Analysis of Cooperative NOMA Systems with Incremental Relaying. Wirel. Commun. Mob. Comput. 2020, 2020, 4915638. [Google Scholar] [CrossRef]
- Blahut, R.E. 25—Information Theory and Coding. In Reference Data for Engineers, 9th ed.; Middleton, W.M., Van Valkenburg, M.E., Eds.; Newnes: Woburn, MA, USA, 2002; pp. 25-1–25-31. [Google Scholar] [CrossRef]
- Kara, F.; Kaya, H. BER performances of downlink and uplink NOMA in the presence of SIC errors over fading channels. IET Commun. 2018, 12, 1834–1844. [Google Scholar] [CrossRef]
- Shen, M.; Huang, Z.; Lei, X.; Fan, L. BER analysis of NOMA with max-min relay selection. China Commun. 2021, 18, 172–182. [Google Scholar] [CrossRef]
- Ampoma, A.E.; Zhang, H.; Huang, Y.; Wen, G.; Kwame, O.G. On massive MIMO antenna topologies using total power in the azimuth and zenith domains. In Proceedings of the 2017 IEEE International Symposium on Antennas and Propagation & USNC/URSI National Radio Science Meeting, San Diego, CA, USA, 9–14 July 2017; pp. 369–370. [Google Scholar]
- Su, J.; Shen, J.; Liu, W.; Guo, L. Chapter 1 - Overview. In 5G NR and Enhancements; Shen, J., Du, Z., Zhang, Z., Yang, N., Tang, H., Eds.; Elsevier: Amsterdam, The Netherlands, 2022; pp. 1–39. [Google Scholar] [CrossRef]
- Ropokis, G.A.; Rontogiannis, A.A.; Berberidis, K. BER performance analysis of cooperative DaF relay networks and a new optimal DaF strategy. IEEE Trans. Wirel. Commun. 2011, 10, 1044–1049. [Google Scholar] [CrossRef]
- Li, Q.; Wen, M.; Basar, E.; Poor, H.V.; Chen, F. Spatial modulation-aided cooperative NOMA: Performance analysis and comparative study. IEEE J. Sel. Top. Signal Process. 2019, 13, 715–728. [Google Scholar] [CrossRef]
- Yang, Z.; Ding, Z.; Wu, Y.; Fan, P. Novel relay selection strategies for cooperative NOMA. IEEE Trans. Veh. Technol. 2017, 66, 10114–10123. [Google Scholar] [CrossRef]
- Hoang, T.M.; Nguyen, B.C.; Tran, X.N.; Dung, L.T. Outage Probability and Ergodic Capacity of User Clustering and Beamforming MIMO-NOMA Relay System With Imperfect CSI Over Nakagami-m Fading Channels. IEEE Syst. J. 2020, 15, 2398–2409. [Google Scholar] [CrossRef]
- Le, C.B.; Do, D.T.; Voznak, M. Wireless-powered cooperative MIMO NOMA networks: Design and performance improvement for cell-edge users. Electronics 2019, 8, 328. [Google Scholar] [CrossRef]









| Ref | Coding Scheme | Channel Model & Antenna Type | Transmission Mode | Performance Metrics | Outcome |
|---|---|---|---|---|---|
| [47] | DF relay | CBSM (Saleh-Valenzuela), multiple antenna | Downlink | Achievable sum rate | The spectrum and energy efficiency of beamspace MIMO are higher than those of conventional beamspace systems. |
| [61] | AF relay | CBSM (Rayleigh), multiple antenna | Downlink | Spectral efficiency | The number of BS antennas enhances system spectral efficiency. |
| [77] | DF relay | CBSM (Rayleigh), single antenna | Downlink | Diversity gain, outage probability | A two-stage relay with DF achieves maximum diversity gain while reducing outage probability. |
| [78] | AF relay | CBSM (Rayleigh), multiple antenna | Downlink | Outage probability | MIMO improves outage probabilities, but that depends on the relay location. |
| [79] | AF buffer-aided relay | CBSM (Rayleigh), single antenna | Downlink | Outage probability, throughput and diversity gain | Improve outage probability with increase buffer size. Incorporating channel-to-packet matching enhances system performance. Optimal selection of buffer size provides a significant delay. |
| [80] | DF relay | CBSM (Rician), single antenna | Downlink | Achievable rate | Gauss-Chebyshev interpolation is efficient to approximate achievable rate. |
| [81] | DF relay | CBSM (Rayleigh), single antenna | Downlink | Achievable sum rate | Configurable decoding achieves high sum rate even under strong inter-user interference and SNR. |
| [82] | DF relay | CBSM (Rayleigh), single antenna | Multi-relay Downlink | Outage probability and ergodic sum-rate | In comparison to typical NOMA and OMA systems, the ergodic sum rate and outage probability are enhanced. |
| [83] | DF relay | CBSM (Rayleigh), multiple antenna | Downlink | Outage probability and diversity order | A combination of antenna-and-relay selection strategies can provide optimal outage performance and diversity order that outperforms conventional systems. |
| [84] | DF relay | CBSM (Rayleigh), multiple antenna | Downlink | Secrecy outage probability | There is better outage performance of the system even in the presence of a jamming signal. |
| [85] | AF and DF relay | CBSM (Rayleigh), multiple antenna with energy harvesting (EH) capabilities | Downlink | Average sum-rate and secrecy rate | The position of the relay is crucial for maximum performance. To maximize the secrecy rate, the EH time duration must be carefully considered. |
| [86] | DF relay | CBSM (Rayleigh), single antenna with buffer capabilities | Downlink | Average throughput and outage probability | There is a significant improvement in system throughput at both low and high SNR bands, as well as diversity order with an increased number of relays. |
| [87] | DF relay | CBSM (Rayleigh), single antenna | Uplink | Weighted sum-rate maximization | The proposed cooperative NOMA approach outperforms both the non-cooperative NOMA benchmark and the traditional OMA in terms of attainable rate and throughput. |
| [88] | DF relay | CBSM (Rayleigh), single antenna | downlink | Ergodic sum-rate and outage probability | The proposed system provides better outage probability and superior ergodic sum rate over equivalent conventional systems. |
| Parameter | Value |
|---|---|
| Frequency | 2.6 GHz |
| Operating bandwidth | 200 MHz |
| Antenna configuration | URA, CA |
| Number of clusters | 1 |
| Number of users | 2 |
| Channel model | 3D GBSM |
| Path-loss exponent | 4 |
| Environment | Urban Macrocell |
| UE power allocations | , |
| Ref. | Relay Schemes | Channel Model & Antenna Type | No. of Users | SNR (dB) | BER |
|---|---|---|---|---|---|
| Proposed model | AF | GBSM, multiple antenna TX, single antenna RS and UE | 2 | 5 | |
| 20 | |||||
| DF | 5 | ||||
| 20 | |||||
| [15] | CpF | CBSM, single antenna TX, RS and UE | 2 | 5 | |
| 20 | |||||
| AF | 5 | ||||
| 20 | |||||
| DF | 5 | ||||
| 20 | |||||
| [43] | AF | CBSM, single antenna TX, RS and UE | 1 | 5 | |
| 20 | |||||
| DF | 5 | ||||
| 20 | |||||
| [115] | AF | CBSM, single antenna TX, RS and UE | 2 | 5 | |
| 20 | |||||
| [116] | DF | CBSM, multiple antenna TX, RS and UE | 2 | 5 | |
| 20 |
| Ref. | Relay Schemes | Channel Model & Antenna Type | No. of Users | No. of Relays | OP |
|---|---|---|---|---|---|
| Proposed model | AF | GBSM, multiple antenna TX, single RS and UE | 2 | 1 | |
| DF | |||||
| [15] | CpF | CBSM, single antenna TX, RS and UE | 2 | 1 | |
| AF | |||||
| DF | |||||
| [78] | AF | CBSM, multiple antenna TX and RS, single antenna UE | M | 1 | |
| [117] | AF | CBSM, single antenna TX, RS and UE | 2 | M | |
| DF | |||||
| [118] | DF | CBSM, multiple antenna TX, single antenna RS and UE | 3 | 1 | |
| [119] | DF | CBSM, multiple antenna TX and UE, single antenna RS | 2 | 1 |
Publisher’s Note: MDPI stays neutral with regard to jurisdictional claims in published maps and institutional affiliations. |
© 2022 by the authors. Licensee MDPI, Basel, Switzerland. This article is an open access article distributed under the terms and conditions of the Creative Commons Attribution (CC BY) license (https://creativecommons.org/licenses/by/4.0/).
Share and Cite
Tweneboah-Koduah, S.; Affum, E.A.; Agyemang-Prempeh Agyekum, K.; Ajagbe, S.A.; Adigun, M.O. Performance of Cooperative Relay NOMA with Large Antenna Transmitters. Electronics 2022, 11, 3482. https://doi.org/10.3390/electronics11213482
Tweneboah-Koduah S, Affum EA, Agyemang-Prempeh Agyekum K, Ajagbe SA, Adigun MO. Performance of Cooperative Relay NOMA with Large Antenna Transmitters. Electronics. 2022; 11(21):3482. https://doi.org/10.3390/electronics11213482
Chicago/Turabian StyleTweneboah-Koduah, Samuel, Emmanuel Ampoma Affum, Kwame Agyemang-Prempeh Agyekum, Sunday Adeola Ajagbe, and Matthew O. Adigun. 2022. "Performance of Cooperative Relay NOMA with Large Antenna Transmitters" Electronics 11, no. 21: 3482. https://doi.org/10.3390/electronics11213482
APA StyleTweneboah-Koduah, S., Affum, E. A., Agyemang-Prempeh Agyekum, K., Ajagbe, S. A., & Adigun, M. O. (2022). Performance of Cooperative Relay NOMA with Large Antenna Transmitters. Electronics, 11(21), 3482. https://doi.org/10.3390/electronics11213482

