Multi-Area Microgrid Load-Frequency Control Using Combined Fractional and Integer Order Master–Slave Controller Considering Electric Vehicle Aggregator Effects
Abstract
1. Introduction
1.1. Background and Motivation
1.2. Literature Review
1.3. Contributions
- By combining integer and fractional order control operators as master and slave controllers, a novel control approach is introduced which is PDDN-I. The master controller is an IO controller, and the slave is a simple FO integrator.
- Master and slave controllers are tuned concurrently using the JAYA optimization method to obtain optimal control strategy performance.
- In a master-slave control mechanism, the impacts of electric vehicles on the LFC process are evaluated. The quality and speed of the controllers’ performance shows the degree of reliance on EVs’ capacities to establish system stability.
- Commonly-used controllers, i.e., PID and PIDA controllers, are also tuned to compare the proposed master-slave control framework under different operating scenarios. The superiority of the proposed PDDN-I controller is highlighted by performing comparisons in different working conditions.
- In order to verify the feasibility of the practical implementation of the controller, its performance on a sample system has been performed and the comparison of experimental and simulation results has also been presented.
1.4. Paper Organization
2. System Modeling
2.1. MG Power System Model
2.2. EVs Modeling
3. Controller Synthesis
3.1. The FO Calculus and Transfer Functions
- Proportional action: Increasing response speed, decreasing steady-state error, and relative stability;
- Derivative action: Increasing relative stability and sensitivity to noise;
- Integral action: Eliminating steady-state error and decreasing relative stability.
3.2. Master-Slave Control Strategy
3.3. Proposed PDDN-I Controller
4. Problem Definition and Solving Method
4.1. Objective Function
4.2. Optimization Method
5. Numerical Study
5.1. Case I: Load Disturbances
5.2. Case II: Renewable Energy Sources Perturbations
5.3. Case III: Parametric Uncertainties
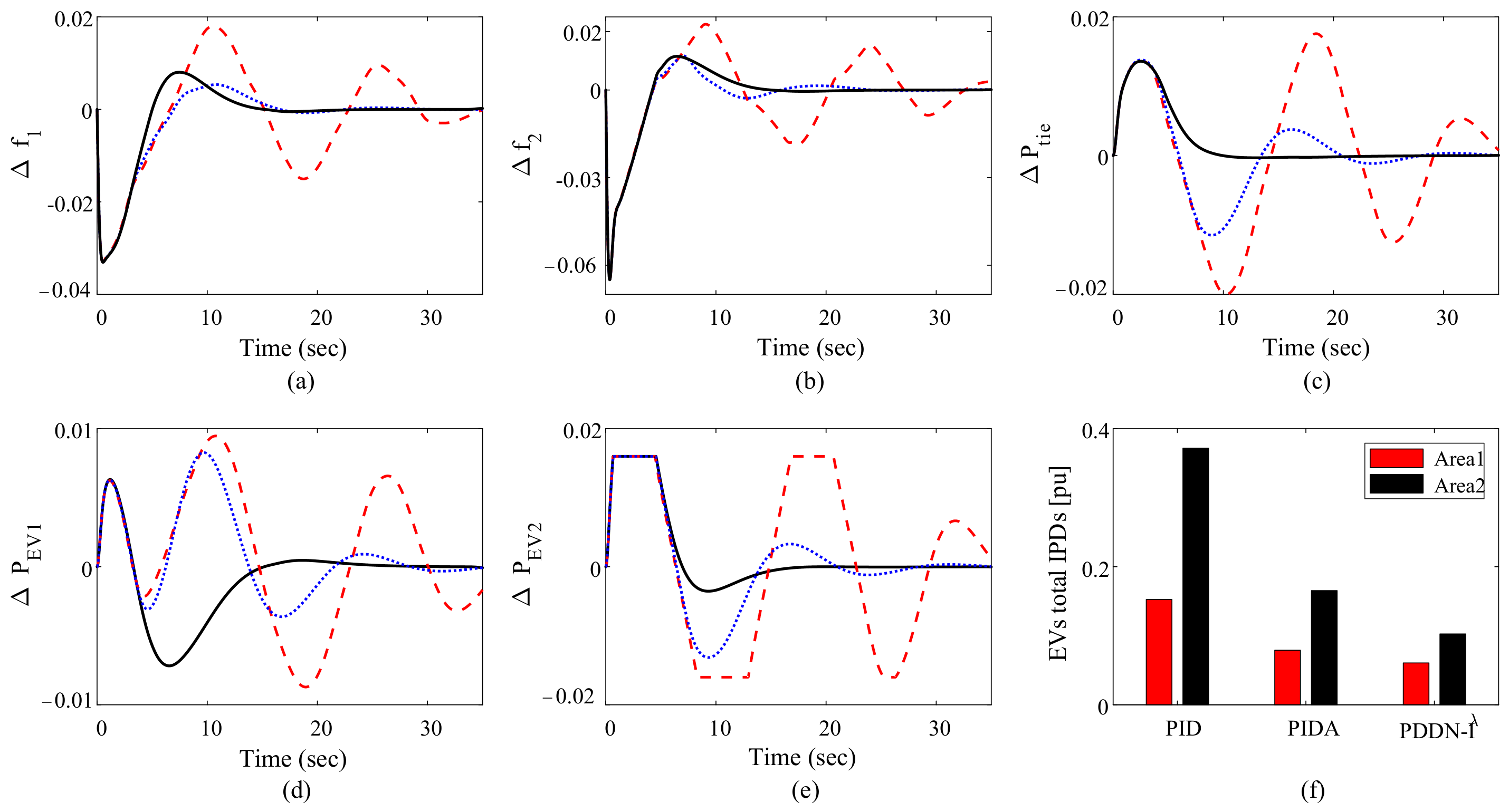
5.4. Case IV: Time-Delay Effects
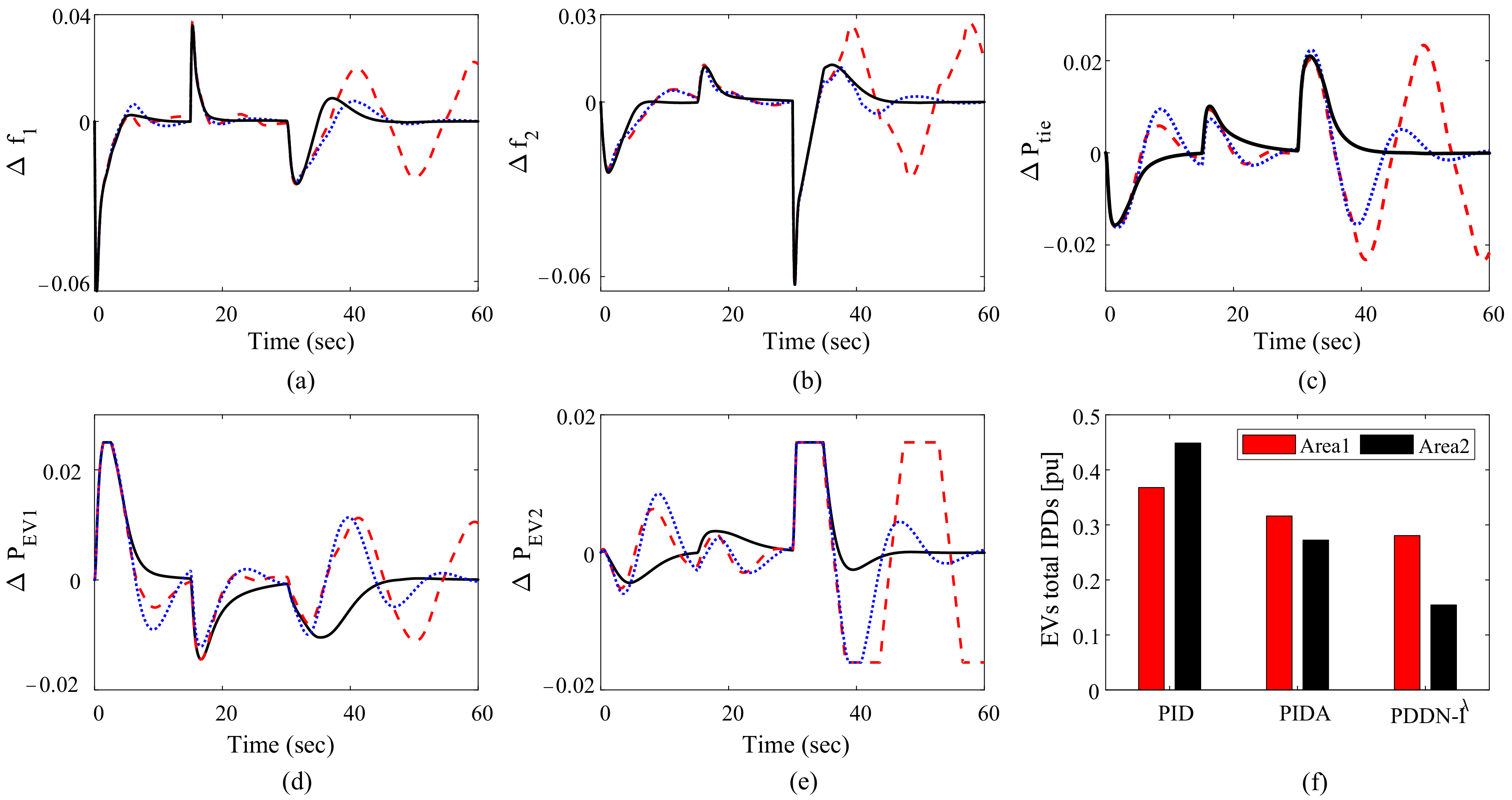
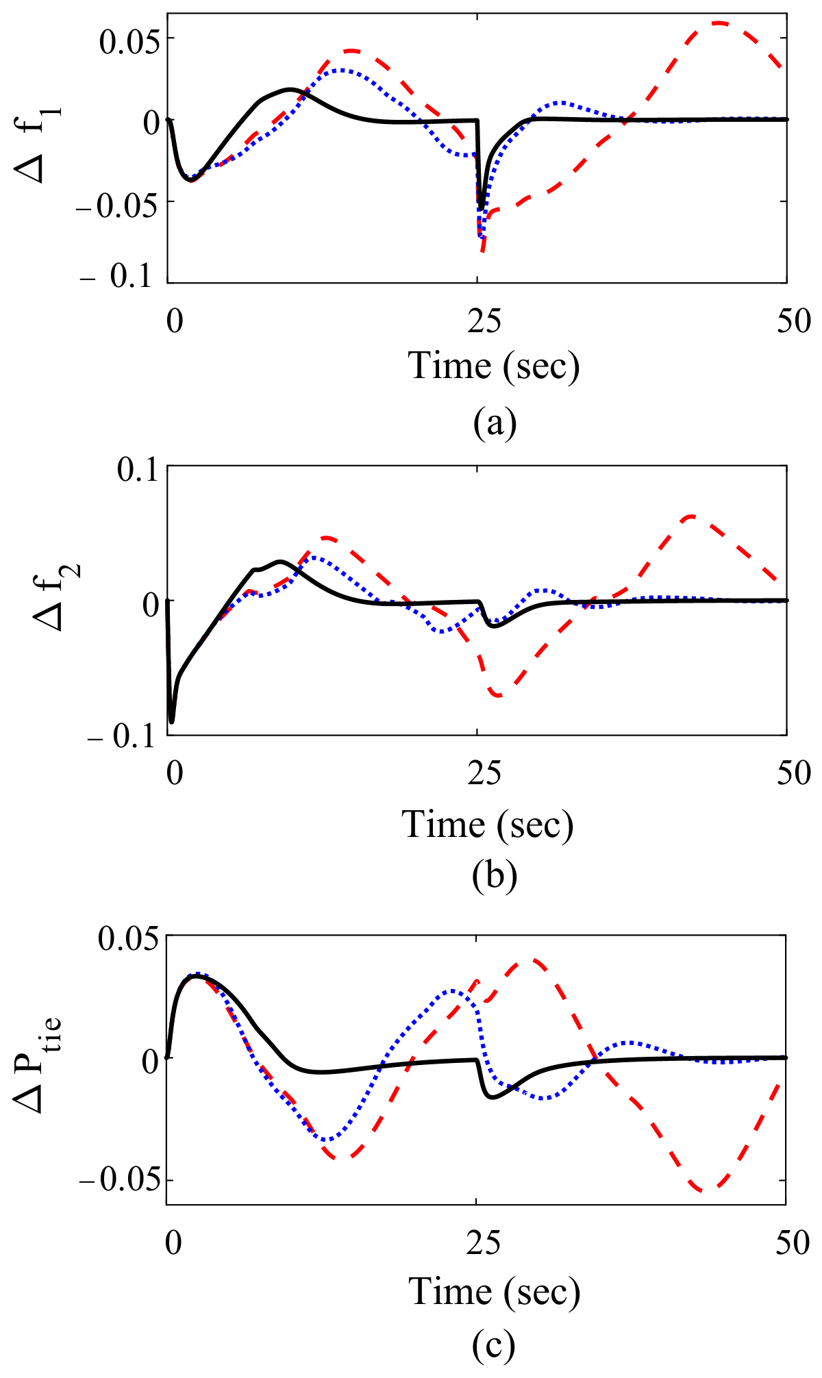
5.5. Case V: Complicated Operating Condition
5.6. Case VI: Availability of EVs
5.7. Controller Laboratory Examination—The RCP Experiments
6. Conclusions and Discussion
Author Contributions
Funding
Conflicts of Interest
Nomenclature
| Abbreviations | |
| ACE | Area control error | 
| AGC | Load frequency controlss | 
| ESS | Energy storage system | 
| EV | Electric vehicle | 
| FO | Fractional order | 
| GDB | Governor dead-band | 
| GRC | Generation rate constraint | 
| HIL | Hardware in the loop | 
| IAE | Integral of absolute error | 
| ICL | Inner control loop | 
| IO | Integer order | 
| IPD | Injected power deviation | 
| IPS | Inter connected power system | 
| ITAE | Integral of time-weighted absolute error | 
| ITSE | Integral of time-weighted square error | 
| LFC | Load frequency controls | 
| MG | Microgrid | 
| MIL | Model in the loop | 
| OC | Objective cost | 
| OCL | Outer control loop | 
| PDDN | Proportional-double-derivative with filter | 
| PEV | Plug-in electric vehicle | 
| PI | Proportional-integral | 
| PID | Proportional-integral-derivative | 
| PIDA | Proportional-integral-derivative-acceleration controller | 
| PIL | Processor in the loop | 
| PSO | Particle swarm optimization | 
| RCP | Rapid control prototyping | 
| RES | Renewable energy source | 
| SLP | Step load perturbation | 
| SOC | State of charge | 
| Parameters & Variables | |
| Frequency fluctuations of the j-th area | |
| Changes in the reference power of the unit | |
| Euler’s gamma function | |
| Fractional operator | |
| Quantities related to aqua electrolyzer | |
| D | Damping factor | 
| Quantities related to diesel engine generators | |
| Quantities related to the fuel cell | |
| Optimization algorithm number of iterations | |
| K | Gains | 
| k | Number of iterated differentiations | 
| Proportional, integral, and derivative gains | |
| M | Inertia factor | 
| PSO algorithm number of population | |
| Quantities related to phtovoltaic cells | |
| T | Time constants | 
| Self and global learning coefficients of the PSO Algorithm | |
| Quantities related to wind turbine Generator | |
Appendix A. Model Parameters
Appendix B. PSO Algorithm Parameters]PSO Algorithm Parameters
References
- Martins, F.; Felgueiras, C.; Smitkova, M.; Caetano, N. Analysis of Fossil Fuel Energy Consumption and Environmental Impacts in European Countries. Energies 2019, 12, 694. [Google Scholar] [CrossRef]
- Arya, Y.; Kumar, N.; Dahiya, P.; Sharma, G.; Çelik, E.; Dhundhara, S.; Sharma, M. Cascade-IλDμN controller design for AGC of thermal and hydro-thermal power systems integrated with renewable energy sources. IET Renew. Power Gener. 2021, 15, 504–520. [Google Scholar] [CrossRef]
- Khooban, M.H. Secondary Load Frequency Control of Time-Delay Stand-Alone Microgrids With Electric Vehicles. IEEE Trans. Ind. Electron. 2018, 65, 7416–7422. [Google Scholar] [CrossRef]
- Khooban, M.H.; Niknam, T.; Blaabjerg, F.; Dragičević, T. A new load frequency control strategy for micro-grids with considering electrical vehicles. Electr. Power Syst. Res. 2017, 143, 585–598. [Google Scholar] [CrossRef]
- Pham, T.N.; Nahavandi, S.; Hien, L.V.; Trinh, H.; Wong, K.P. Static Output Feedback Frequency Stabilization of Time-Delay Power Systems with Coordinated Electric Vehicles State of Charge Control. IEEE Trans. Power Syst. 2017, 32, 3862–3874. [Google Scholar] [CrossRef]
- Pham, T.N.; Trinh, H.; Hien, L.V. Load Frequency Control of Power Systems With Electric Vehicles and Diverse Transmission Links Using Distributed Functional Observers. IEEE Trans. Smart Grid 2016, 7, 238–252. [Google Scholar] [CrossRef]
- Singh, M.; Kumar, P.; Kar, I. Implementation of Vehicle to Grid Infrastructure Using Fuzzy Logic Controller. IEEE Trans. Smart Grid 2012, 3, 565–577. [Google Scholar] [CrossRef]
- Alhelou, H.H.; Hamedani-Golshan, M.E.; Zamani, R.; Heydarian-Forushani, E.; Siano, P. Challenges and Opportunities of Load Frequency Control in Conventional, Modern and Future Smart Power Systems: A Comprehensive Review. Energies 2018, 11, 2497. [Google Scholar] [CrossRef]
- Escudero-Garzas, J.J.; Garcia-Armada, A.; Seco-Granados, G. Fair Design of Plug-in Electric Vehicles Aggregator for V2G Regulation. IEEE Trans. Veh. Technol. 2012, 61, 3406–3419. [Google Scholar] [CrossRef]
- Shayeghi, H.; Younesi, A. Mini/Micro-Grid Adaptive Voltage and Frequency Stability Enhancement. J. Oper. Autom. Power Eng. 2019, 7, 107–118. [Google Scholar]
- Saxena, A.; Shankar, R. Improved load frequency control considering dynamic demand regulated power system integrating renewable sources and hybrid energy storage system. Sustain. Energy Technol. Assess. 2022, 52, 102245. [Google Scholar] [CrossRef]
- Shayeghi, H.; Rahnama, A.; Alhelou, H. Frequency control of fully-renewable interconnected microgrid using fuzzy cascade controller with demand response program considering. Energy Rep. 2021, 7, 6077–6094. [Google Scholar] [CrossRef]
- Arya, Y.; Dahiya, P.; Çelik, E.; Sharma, G.; Gözde, H.; Nasiruddin, I. AGC performance amelioration in multi-area interconnected thermal and thermal-hydro-gas power systems using a novel controller. Eng. Sci. Technol. Int. J. 2021, 24, 384–396. [Google Scholar] [CrossRef]
- Sundararaju, N.; Vinayagam, A.; Veerasamy, V.; Subramaniam, G. A Chaotic Search-Based Hybrid Optimization Technique for Automatic Load Frequency Control of a Renewable Energy Integrated Power System. Sustainability 2022, 14, 5668. [Google Scholar] [CrossRef]
- Latif, A.; Hussain, S.S.; Das, D.C.; Ustun, T.S.; Iqbal, A. A review on fractional order (FO) controllers’ optimization for load frequency stabilization in power networks. Energy Rep. 2021, 7, 4009–4021. [Google Scholar] [CrossRef]
- Mohamed, R.; Helaimi, M.; Taleb, R.; Gabbar, H.A.; Othman, A.M. Frequency control of microgrid system based renewable generation using fractional PID controller. Indones. J. Electr. Eng. Comput. Sci. 2020, 19, 745–755. [Google Scholar] [CrossRef]
- Shayeghi, H.; Rahnama, A. Designing a PD-(1+PI) Controller for LFC of an Entirely Renewable Microgrid Using PSO-TVAC. Int. J. Tech. Phys. Prob. Eng. (IJTPE) 2020, 12, 19–27. [Google Scholar]
- Choudhary, R.; Rai, J.; Arya, Y. Cascade FOPI-FOPTID controller with energy storage devices for AGC performance advancement of electric power systems. Sustain. Energy Technol. Assess. 2022, 53, 102671. [Google Scholar] [CrossRef]
- Shayeghi, H.; Ghasemi, A. Improvement of Frequency Fluctuations in Microgrids Using an Optimized Fuzzy P-PID Controller by Modified Multi Objective Gravitational Search Algorithm. Iran. J. Electr. Electron. Eng. 2016, 12, 241–256. [Google Scholar]
- Pan, I.; Das, S. Fractional order fuzzy control of hybrid power system with renewable generation using chaotic PSO. ISA Trans. 2016, 62, 19–29. [Google Scholar] [CrossRef]
- Arya, Y. Effect of electric vehicles on load frequency control in interconnected thermal and hydrothermal power systems utilising CF-FOIDF controller. IET Gener. Transm. Distrib. 2020, 14, 2666–2675. [Google Scholar] [CrossRef]
- Abou El-Ela, A.A.; El-Sehiemy, R.A.; Shaheen, A.M.; Diab, A.E.G. Design of cascaded controller based on coyote optimizer for load frequency control in multi-area power systems with renewable sources. Control Eng. Pract. 2022, 121, 105058. [Google Scholar] [CrossRef]
- Sharma, M.; Saxena, S.; Prakash, S.; Dhundhara, S.; Arya, Y. Frequency stabilization in sustainable energy sources integrated power systems using novel cascade noninteger fuzzy controller. Energy Sources Part A Recovery Util. Environ. Eff. 2022, 44, 6213–6235. [Google Scholar] [CrossRef]
- Sariki, M.; Shankar, R. Optimal CC-2DOF(PI)-PDF controller for LFC of restructured multi-area power system with IES-based modified HVDC tie-line and electric vehicles. Eng. Sci. Technol. Int. J. 2021, 32, 101058. [Google Scholar] [CrossRef]
- Kumari, S. Maiden application of cascade tilt-integral–tilt-derivative controller for performance analysis of load frequency control of interconnected multi-source power system. IET Gener. Transm. Distrib. 2019, 13, 5326–5338. [Google Scholar] [CrossRef]
- Khokhar, B.; Dahiya, S.; Singh Parmar, K. A robust Cascade controller for load frequency control of a standalone microgrid incorporating electric vehicles. Electr. Power Comp. Syst. 2020, 48, 711–726. [Google Scholar] [CrossRef]
- Oshnoei, S.; Aghamohammadi, M.; Oshnoei, S.; Oshnoei, A.; Mohammadi-Ivatloo, B. Provision of Frequency Stability of an Islanded Microgrid Using a Novel Virtual Inertia Control and a Fractional Order Cascade Controller. Energies 2021, 14, 4152. [Google Scholar] [CrossRef]
- Jena, S.; Mishra, S.; Ganthia, B.P.; Samal, S.K. Load Frequency Control of a Four-Area Interconnected Power System Using JAYA Tuned PID Controller and Derivative Filter. In Sustainable Energy and Technological Advancements; Springer: Berlin/Heidelberg, Germany, 2022; pp. 497–511. [Google Scholar]
- Wiora, J.; Wiora, A. Influence of methods approximating fractional-order differentiation on the output signal illustrated by three variants of Oustaloup filter. Symmetry 2020, 12, 1898. [Google Scholar] [CrossRef]
- Kumar, B.; Adhikari, S.; Datta, S.; Sinha, N. Real time simulation for load frequency control of multisource microgrid system using grey wolf optimization based modified bias coefficient diagram method (GWO-MBCDM) controller. J. Electr. Eng. Technol. 2021, 16, 205–221. [Google Scholar] [CrossRef]
- Shimizu, K.; Masuta, T.; Ota, Y.; Yokoyama, A. Load Frequency Control in power system using Vehicle-to-Grid system considering the customer convenience of Electric Vehicles. In Proceedings of the 2010 International Conference on Power System Technology, Hangzhou, China, 24–28 October 2010; pp. 1–8. [Google Scholar]
- Datta, M.; Senjyu, T. Fuzzy Control of Distributed PV Inverters/Energy Storage Systems/Electric Vehicles for Frequency Regulation in a Large Power System. IEEE Trans. Smart Grid 2013, 4, 479–488. [Google Scholar] [CrossRef]
- Monje, C.A.; Chen, Y.; Vinagre, B.M.; Xue, D.; Feliu-Batlle, V. Fractional-Order Systems and Controls: Fundamentals and Applications; Springer Science & Business Media: London, UK, 2010. [Google Scholar]
- Padula, F.; Visioli, A. Advances in Robust Fractional Control; Springer: Berlin/Heidelberg, Germany, 2015. [Google Scholar]
- Debbarma, S.; Saikia, L.C.; Sinha, N. AGC of a multi-area thermal system under deregulated environment using a non-integer controller. Electr. Power Syst. Res. 2013, 95, 175–183. [Google Scholar] [CrossRef]
- Podlubny, I. Fractional Differential Equations, 1st ed.; Elsevier Science Publishing Co. Inc.: Amsterdam, The Netherlands, 1998; Volume 198. [Google Scholar]
- Jeng, J.C.; Liao, S.J. A Simultaneous Tuning Method for Cascade Control Systems Based on Direct Use of Plant Data. Ind. Eng. Chem. Res. 2013, 52, 16820–16831. [Google Scholar] [CrossRef]
- Tasnin, W.; Saikia, L.C. Maiden application of an sine–cosine algorithm optimised FO cascade controller in automatic generation control of multi-area thermal system incorporating dish-Stirling solar and geothermal power plants. IET Renew. Power Gener. 2018, 12, 585–597. [Google Scholar] [CrossRef]
- Puangdownreong, D. Application of Current Search to Optimum PIDA Controller Design. Intel. Contr. Autom. 2012, 3, 303–312. [Google Scholar] [CrossRef]
- Tepljakov, A. Fractional-Order Modeling and Control of Dynamic Systems; Springer: Berlin/Heidelberg, Germany, 2017. [Google Scholar]




















| Cases | Evaluation Conditions | ||||
|---|---|---|---|---|---|
| EVs | Load Changes | M and D Changes | [ms] | and | |
| Design | ✓ | ✓ | ✗ | 20 ms | ✗ | 
| Case I | ✓ | ✓ | ✗ | 20 ms | ✗ | 
| Case II | ✓ | ✓ | ✗ | 20 ms | ✓ | 
| Case III | ✓ | ✓ | ✗ | 20 ms | ✓ | 
| Case IV | ✓ | ✓ | ✓ | 60 ms | ✗ | 
| Case V | ✓ | ✓ | ✓ | 20 ms | ✗ | 
| Case VI | ✗ | ✓ | ✓ | 40 ms | ✓ | 
| Algorithm | Index | PDDN-I | PID | PIDA | 
|---|---|---|---|---|
| JAYA | Best | 0.008079 | 0.020552 | 0.009950 | 
| Worst | 0.016775 | 0.039585 | 0.091644 | |
| Mean | 0.009985 | 0.034585 | 0.015949 | |
| PSO | Best | 0.009990 | 0.026790 | 0.010590 | 
| Worst | 0.230817 | 0.510817 | 0.329790 | |
| Mean | 0.017908 | 0.179790 | 0.067908 | 
| Controller | Control Area | Parameters | 
|---|---|---|
| PIDN | Area 1 | |
| Area 2 | ||
| PIDA | Area 1 | |
| Area 2 | ||
| PDDN-I | Area 1 | |
| Area 2 | 
| Cases | Controller | Indexes | ||
|---|---|---|---|---|
| IAE | ITSE | OC | ||
| PID | 1.6882 | 1.0778 | 55.9232 | |
| Case I | PIDA | 0.9419 | 0.3030 | 19.9681 | 
| PDDN-I | 0.7708 | 0.2580 | 15.2861 | |
| PID | 3.1361 | 2.5425 | 109.5704 | |
| Case II | PIDA | 5.6585 | 7.1840 | 229.5071 | 
| PDDN-I | 2.7840 | 2.5402 | 104.6916 | |
| PID | 1.0202 | 0.1531 | 12.3856 | |
| Case III | PIDA | 0.4561 | 0.0205 | 2.3427 | 
| PDDN-I | 0.3920 | 0.0165 | 1.4971 | |
| PID | 4.1843 | 4.7589 | 107.5937 | |
| Case IV | PIDA | 1.7884 | 0.5403 | 25.3235 | 
| PDDN-I | 1.0524 | 0.1792 | 10.4981 | |
| PID | 22.9511 | 189.9002 | 1618.5702 | |
| Case V | PIDA | 9.5728 | 33.1450 | 579.6402 | 
| PDDN-I | 3.9377 | 4.5510 | 175.0161 | |
| PID | 4.1843 | 422.5592 | 3036.1002 | |
| Case VI | PIDA | 22.0120 | 132.9727 | 1731.7251 | 
| PDDN-I | 3.4430 | 2.4325 | 178.4224 | |
| Controller | Parameters | ||||
|---|---|---|---|---|---|
| N | |||||
| PI | 2 | 3.9 | - | - | - | 
| PID | 5 | 5 | 0.0010 | 0.018 | - | 
| PDDN-I | 1.3 | 1.12 | 0.9007 | 0.001 | 0.9899 | 
| Publisher’s Note: MDPI stays neutral with regard to jurisdictional claims in published maps and institutional affiliations. | 
© 2022 by the authors. Licensee MDPI, Basel, Switzerland. This article is an open access article distributed under the terms and conditions of the Creative Commons Attribution (CC BY) license (https://creativecommons.org/licenses/by/4.0/).
Share and Cite
Shayeghi, H.; Rahnama, A.; Mohajery, R.; Bizon, N.; Mazare, A.G.; Ionescu, L.M. Multi-Area Microgrid Load-Frequency Control Using Combined Fractional and Integer Order Master–Slave Controller Considering Electric Vehicle Aggregator Effects. Electronics 2022, 11, 3440. https://doi.org/10.3390/electronics11213440
Shayeghi H, Rahnama A, Mohajery R, Bizon N, Mazare AG, Ionescu LM. Multi-Area Microgrid Load-Frequency Control Using Combined Fractional and Integer Order Master–Slave Controller Considering Electric Vehicle Aggregator Effects. Electronics. 2022; 11(21):3440. https://doi.org/10.3390/electronics11213440
Chicago/Turabian StyleShayeghi, Hossein, Alireza Rahnama, Reza Mohajery, Nicu Bizon, Alin Gheorghita Mazare, and Laurentiu Mihai Ionescu. 2022. "Multi-Area Microgrid Load-Frequency Control Using Combined Fractional and Integer Order Master–Slave Controller Considering Electric Vehicle Aggregator Effects" Electronics 11, no. 21: 3440. https://doi.org/10.3390/electronics11213440
APA StyleShayeghi, H., Rahnama, A., Mohajery, R., Bizon, N., Mazare, A. G., & Ionescu, L. M. (2022). Multi-Area Microgrid Load-Frequency Control Using Combined Fractional and Integer Order Master–Slave Controller Considering Electric Vehicle Aggregator Effects. Electronics, 11(21), 3440. https://doi.org/10.3390/electronics11213440
 
        







 
       