Methodology for Improving Scanning Performance Loading an Array Element with a 3D All-Metal WAIM
Abstract
:1. Introduction
2. Proposed Unit-Cell and Equivalent Circuit
2.1. Description of the Structure
2.2. Description of the EC
2.3. Derivation of Circuit Elements
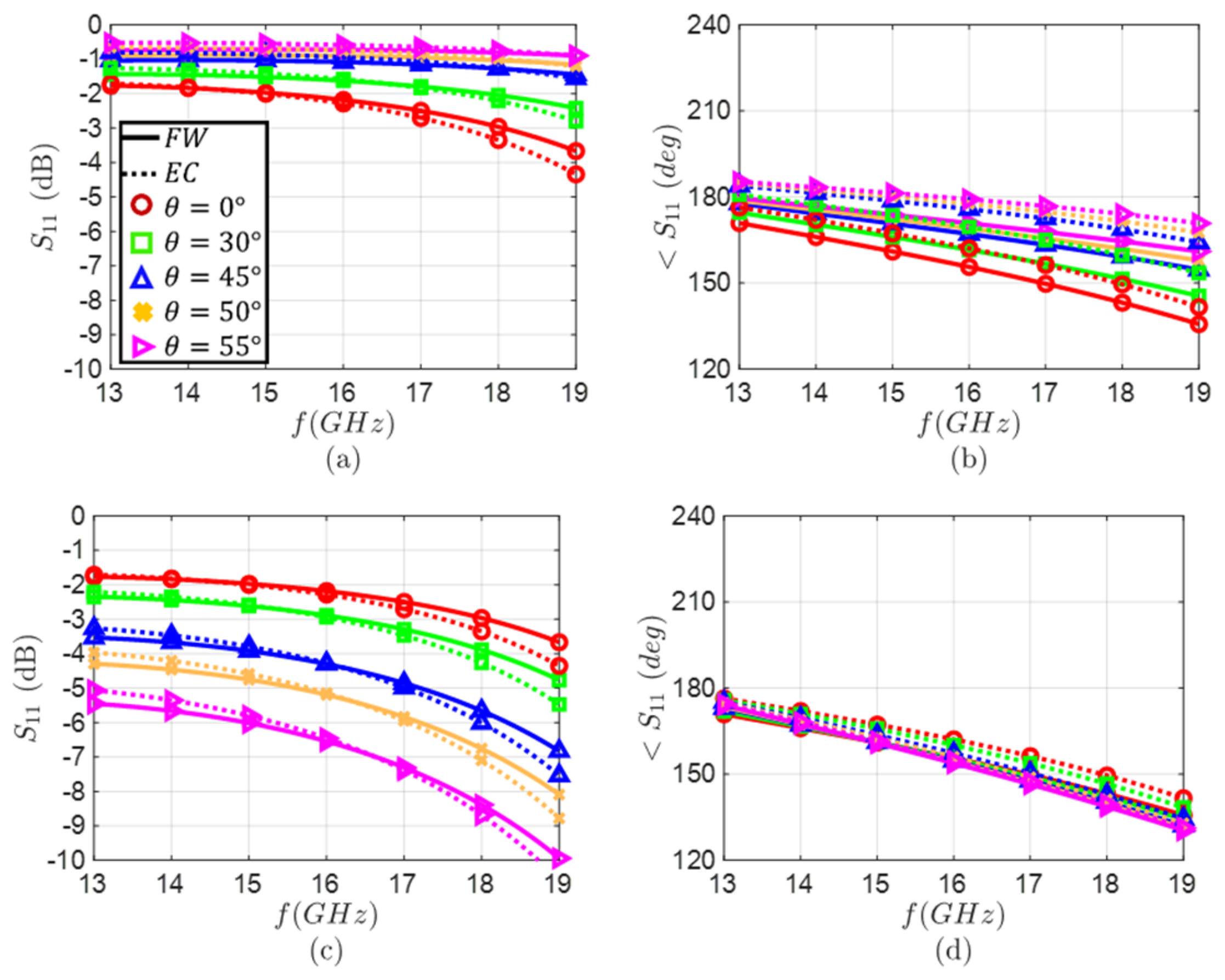
2.4. EC Validation
3. WAIM Design Methodology
3.1. General Design Methodology
3.2. Application of the Methodology
Additional Validation
4. Conclusions
Author Contributions
Funding
Conflicts of Interest
References
- Tekkouk, K.; Hirokawa, J.; Ando, M.; Sauleau, R. Continuous beam steering antenna with large 2D coverage for 5G applications. In Proceedings of the 2017 IEEE International Symposium on Antennas and Propagation & USNC/URSI National Radio Science Meeting, San Diego, CA, USA, 9–14 July 2017; pp. 243–244. [Google Scholar] [CrossRef]
- Faridani, M.; Xiao, G.; Amaya, R.E.; Yagoub, M.C.E. A Compact Beam-Steerable Integrated Reflectarray Antenna for LEO Applications. In Proceedings of the 2021 IEEE 19th International Symposium on Antenna Technology and Applied Electromagnetics (ANTEM), Winnipeg, MB, Canada, 8–11 August 2021; pp. 1–2. [Google Scholar] [CrossRef]
- Pozar, D.; Schaubert, D. Scan blindness in infinite phased arrays of printed dipoles. IEEE Trans. Antennas Propagat. 1984, 32, 602–610. [Google Scholar] [CrossRef]
- Densmore, A.C.; Jamnejad, V. A satellite-tracking K- and K/sub a/-band mobile vehicle antenna system. IEEE Trans. Veh. Technol. 1993, 42, 502–513. [Google Scholar] [CrossRef]
- Doane, J.P.; Sertel, K.; Volakis, J.L. A Wideband, Wide Scanning Tightly Coupled Dipole Array With Integrated Balun (TCDA-IB). IEEE Trans. Antennas Propagat. 2013, 61, 4538–4548. [Google Scholar] [CrossRef]
- Alibakhshikenari, M.; Virdee, B.S.; Shukla, P.; See, C.H.; Abd-Alhameed, R.A.; Falcone, F.; Limiti, E. Improved adaptive impedance matching for RF front-end systems of wireless transceivers. Sci. Rep. 2020, 10, 14065. [Google Scholar] [CrossRef]
- Valagiannopoulos, C.A.; Monticone, F.; Alù, A. PT-symmetric planar devices for field transformation and imaging. J. Opt. 2016, 18, 044028. [Google Scholar] [CrossRef]
- Gollor, M.; Rogalla, K. HV design of vacuum-insulated power supplies for space applications. IEEE Trans. Elect. Insul. 1993, 28, 667–680. [Google Scholar] [CrossRef]
- Sanz-Izquierdo, B.; Parker, E.A. Frequency selective surfaces formed by partially metalising 3D printed shapes. In Proceedings of the 2015 9th European Conference on Antennas and Propagation (EuCAP), Lisbon, Portugal, 13–17 April 2015. [Google Scholar]
- Liang, B.; Bai, M. Subwavelength three-dimensional frequency selective surface based on surface wave tunneling. Opt. Express 2016, 24, 14697. [Google Scholar] [CrossRef]
- Tang, W.; Zhu, J.; Wang, C.; Ge, J.; Yu, Z.; Zhuang, W. Waveguide 3-D FSSs by 3-D printing technique. In Proceedings of the 2016 International Conference on Electromagnetics in Advanced Applications (ICEAA), Cairns, Australia, 19–23 September 2016; pp. 675–678. [Google Scholar] [CrossRef]
- Molero, C.; Garcia-Vigueras, M. Circuit Modeling of 3-D Cells to Design Versatile Full-Metal Polarizers. IEEE Trans. Microw. Theory Tech. 2019, 67, 1357–1369. [Google Scholar] [CrossRef]
- Molero Jimenez, C.; Menargues, E.; Garcia-Vigueras, M. All-Metal 3-D Frequency-Selective Surface with Versatile Dual-Band Polarization Conversion. IEEE Trans. Antennas Propagat. 2020, 68, 5431–5441. [Google Scholar] [CrossRef]
- Molero, C.; Legay, H.; Pierre, T.; Garcia-Vigueras, M. Broadband 3D-Printed Polarizer based on Metallic Transverse Electro-Magnetic Unit-Cells. IEEE Trans. Antennas Propagat. 2022, 70, 4632–4644. [Google Scholar] [CrossRef]
- Rojas-Nastrucci, E.A.; Nussbaum, J.T.; Crane, N.B.; Weller, T.M. Ka-Band Characterization of Binder Jetting for 3-D Printing of Metallic Rectangular Waveguide Circuits and Antennas. IEEE Trans. Microw. Theory Tech. 2017, 65, 3099–3108. [Google Scholar] [CrossRef]
- Huang, G.-L.; Yuan, T. Application of 3-D metal printing to microwave components and antennas. In Proceedings of the 2017 Sixth Asia-Pacific Conference on Antennas and Propagation (APCAP), Xi’an, China, 16–19 October 2017; pp. 1–3. [Google Scholar] [CrossRef]
- Xiong, Y.; Zhang, B. A Metallic 3D Printed Miniaturized Quasi Log Periodic Koch-Dipole Antenna Using T-Shaped Top Loading. In Proceedings of the 2020 IEEE MTT-S International Microwave Workshop Series on Advanced Materials and Processes for RF and THz Applications (IMWS-AMP), Suzhou, China, 29–31 July 2020; pp. 1–3. [Google Scholar] [CrossRef]
- Zhang, B.; Li, R.; Wu, L.; Sun, H.; Guo, Y.-X. A Highly Integrated 3-D Printed Metallic K-Band Passive Front End as the Unit Cell in a Large Array for Satellite Communication. Antennas Wirel. Propag. Lett. 2018, 17, 2046–2050. [Google Scholar] [CrossRef]
- Foged, L.J.; Giacomini, A.; Morbidini, R.; Saccardi, F.; Schirosi, V.; Boumans, M.; Gerg, B.; Melachrinos, D. Investigation of Additive Manufacturing for Broadband Choked Horns at X/Ku Band. Antennas Wirel. Propag. Lett. 2018, 17, 2003–2007. [Google Scholar] [CrossRef]
- Pfeiffer, C.; Massman, J.; Steffen, T. 3-D Printed Metallic Dual-Polarized Vivaldi Arrays on Square and Triangular Lattices. IEEE Trans. Antennas Propagat. 2021, 69, 8325–8334. [Google Scholar] [CrossRef]
- Yamamoto, T.; Sanada, A.; Kubo, H. Measurements of a 3-D negative refractive index slab lens composed of periodic wired metallic spheres. In Proceedings of the 2011 41st European Microwave Conference, Manchester, UK, 10–13 October 2011. [Google Scholar]
- Diallo, C.D.; Girard, E.; Legay, H.; Sauleau, R. All-metal Ku-band Luneburg lens antenna based on variable parallel plate spacing Fakir bed of nails. In Proceedings of the 2017 11th European Conference on Antennas and Propagation (EUCAP), Paris, France, 19–24 March 2017; pp. 1401–1404. [Google Scholar] [CrossRef]
- Liao, Q.; Fonseca, N.J.G.; Quevedo-Teruel, O. Compact Multibeam Fully Metallic Geodesic Luneburg Lens Antenna Based on Non-Euclidean Transformation Optics. IEEE Trans. Antennas Propagat. 2018, 66, 7383–7388. [Google Scholar] [CrossRef]
- Vallecchi, A.; Cadman, D.; Whittow, W.G.; Vardaxoglou, J.; Shamonina, E.; Stevens, C.J. 3-D Printed Bandpass Filters With Coupled Vertically Extruded Split Ring Resonators. IEEE Trans. Microw. Theory Tech. 2019, 67, 4341–4352. [Google Scholar] [CrossRef]
- Magill, E.; Wheeler, H. Wide-angle impedance matching of a planar array antenna by a dielectric sheet. IEEE Trans. Antennas Propagat. 1966, 14, 49–53. [Google Scholar] [CrossRef]
- Lee, S.; Mittra, R. Radiation from dielectric-loaded arrays of parallel-plate waveguides. IEEE Trans. Antennas Propagat. 1968, 16, 513–519. [Google Scholar] [CrossRef]
- Yun, J.; Park, D.; Jang, D.; Hwang, K.C. Design of an Active Beam-Steering Array With a Perforated Wide-Angle Impedance Matching Layer. IEEE Trans. Antennas Propagat. 2021, 69, 6028–6033. [Google Scholar] [CrossRef]
- Zhou, X.; Wang, M.; Li, Y.; Qiu, C.; Wu, W. Planar Ultra-Wideband Wide-Angle Scanning Array Antenna with Improved WAIM Layer. In Proceedings of the 2021 IEEE International Conference on Power Electronics, Computer Applications (ICPECA), Shenyang, China, 22–24 January 2021; pp. 300–303. [Google Scholar] [CrossRef]
- Cameron, T.R.; Eleftheriades, G.V. Analysis and Characterization of a Wide-Angle Impedance Matching Metasurface for Dipole Phased Arrays. IEEE Trans. Antennas Propagat. 2015, 63, 3928–3938. [Google Scholar] [CrossRef]
- Oliveri, G.; Salucci, M.; Anselmi, N.; Massa, A. Multiscale System-by-Design Synthesis of Printed WAIMs for Waveguide Array Enhancement. IEEE J. Multiscale Multiphys. Comput. Tech. 2017, 2, 84–96. [Google Scholar] [CrossRef]
- Oliveri, G.; Gelmini, A.; Gottardi, G.; Salucci, M. Metamaterial-by-Design-A Paradigm for the Industrial Synthesis of EM Manipulation Devices. In Proceedings of the 2019 IEEE International Conference on Microwaves, Antennas, Communications and Electronic Systems (COMCAS), Tel-Aviv, Israel, 4–6 November 2019; pp. 1–3. [Google Scholar] [CrossRef]
- Oliveri, G.; Polo, A.; Salucci, M.; Gottardi, G.; Massa, A. SbD-Based Synthesis of Low-Profile WAIM Superstrates for Printed Patch Arrays. IEEE Trans. Antennas Propagat. 2021, 69, 3849–3862. [Google Scholar] [CrossRef]
- Sajuyigbe, S.; Ross, M.; Geren, P.; Cummer, S.A.; Tanielian, M.H.; Smith, D.R. Wide angle impedance matching metamaterials for waveguide-fed phased-array antennas. IET Microw. Antennas Propag. 2010, 4, 1063. [Google Scholar] [CrossRef]
- Oliveri, G.; Viani, F.; Anselmi, N.; Massa, A. Synthesis of Multilayer WAIM Coatings for Planar-Phased Arrays Within the System-by-Design Framework. IEEE Trans. Antennas Propagat. 2015, 63, 2482–2496. [Google Scholar] [CrossRef]
- Syed, W.H.; Cavallo, D.; Thippur Shivamurthy, H.; Neto, A. Wideband, Wide-Scan Planar Array of Connected Slots Loaded With Artificial Dielectric Superstrates. IEEE Trans. Antennas Propagat. 2016, 64, 543–553. [Google Scholar] [CrossRef]
- Mehdipour, A.; Sazegar, M.; Stevenson, R. Broadband WAIM Metasurface Structure for Electronically Beam Scanning Holographic Antenna for Ku-Band Satellite Communications. In Proceedings of the 2019 IEEE International Symposium on Antennas and Propagation and USNC-URSI Radio Science Meeting, Atlanta, GA, USA, 7–12 July 2019; pp. 429–430. [Google Scholar] [CrossRef]
- Sun, B.; Loison, R.; Gillard, R.; Estebe, E.; Renard, C. 3D Wide-Angle Impedance Matching for X-Band Phased Array. In Proceedings of the 2021 15th European Conference on Antennas and Propagation (EuCAP), Dusseldorf, Germany, 22–26 March 2021; pp. 1–5. [Google Scholar] [CrossRef]
- Manica, L.; Carlin, M.; Malcic, I.; Oliveri, G.; Massa, A. Wideband multilayer WAIM design and optimization. In Proceedings of the The 8th European Conference on Antennas and Propagation (EuCAP 2014), The Hague, The Netherlands, 6–11 April 2014; pp. 2997–3000. [Google Scholar] [CrossRef]
- Valagiannopoulos, C.A. High Selectivity and Controllability of a Parallel-Plate Component with a Filled Rectangular Ridge. PIER 2011, 119, 497–511. [Google Scholar] [CrossRef] [Green Version]
- Li, J. Waveguide Simualtion Using Mode Matching Method. Master’s Thesis, McMaster University, Hamilton, ON, Canada, September 2014; p. 94. [Google Scholar]









| Matching Range Improvement | Dual Scanning Plane Performance | WAIM Type | |
|---|---|---|---|
| [25] | -H-plane improved up to . -E-plane already matched at (almost unmodified). | Affects mostly the H-plane. | Single dielectric layer. |
| [27] | . . | Affects mostly the H-plane. | |
| [28] | . . No results shown without WAIM. | No information. | |
| [33] | . -E-plane is not shown. | E-plane is not shown. | Single-layer metamaterial. |
| [29] | to . to . -E-plane does not vary. | Affects mostly the H- and D-plane. | |
| [30] | . . . Without WAIM the antenna is unmatched. | Affects the 3 scanning planes. | |
| [35] | Compensates mismatching produced by back reflector. . . | Affects the 2 scanning planes. | Multilayer metamaterial. |
| [36] | (not specifying the scanning plane). -Improving the gain of the antenna between 3 to 5 dB. | No information. | |
| [37] | . . | Affects 2 planes for 1 polarization. | 3D WAIM (dielectric + metal). |
| Loaded TEM unit-cell (this work) | . -E-plane degraded. | Affects 2 planes for 1 polarization. | 3D WAIM (all-metal). |
Publisher’s Note: MDPI stays neutral with regard to jurisdictional claims in published maps and institutional affiliations. |
© 2022 by the authors. Licensee MDPI, Basel, Switzerland. This article is an open access article distributed under the terms and conditions of the Creative Commons Attribution (CC BY) license (https://creativecommons.org/licenses/by/4.0/).
Share and Cite
Bermúdez-Martín, D.; Gillard, R.; Molero, C.; Legay, H.; García-Vigueras, M. Methodology for Improving Scanning Performance Loading an Array Element with a 3D All-Metal WAIM. Electronics 2022, 11, 2848. https://doi.org/10.3390/electronics11182848
Bermúdez-Martín D, Gillard R, Molero C, Legay H, García-Vigueras M. Methodology for Improving Scanning Performance Loading an Array Element with a 3D All-Metal WAIM. Electronics. 2022; 11(18):2848. https://doi.org/10.3390/electronics11182848
Chicago/Turabian StyleBermúdez-Martín, Diego, Raphaël Gillard, Carlos Molero, Hervé Legay, and María García-Vigueras. 2022. "Methodology for Improving Scanning Performance Loading an Array Element with a 3D All-Metal WAIM" Electronics 11, no. 18: 2848. https://doi.org/10.3390/electronics11182848
APA StyleBermúdez-Martín, D., Gillard, R., Molero, C., Legay, H., & García-Vigueras, M. (2022). Methodology for Improving Scanning Performance Loading an Array Element with a 3D All-Metal WAIM. Electronics, 11(18), 2848. https://doi.org/10.3390/electronics11182848

