“Follower of the Reference Point”: Platform Utility-Oriented Incentive Mechanism in Crowdsensing
Abstract
:1. Introduction
- A participant decision mechanism based on reference dependency called PDRD is proposed. This mechanism cultivates new and old participants to form reference points by setting internal and external reference rewards. It increases the expected reward of participants. In addition, a competition mechanism is designed based on the alternative participants. In the mechanism, the optimal decision of the participants is to lower their bids to improve the platform’s utility.
- A winner selection mechanism based on risk preference reversal called WSRPR is proposed. The mechanism calculates the value function of participants with different risk preferences for rewards and evaluates the variability of participants’ risk preferences. We design a winner selection algorithm to change the risk preferences of participants, so that the platform can select more potential participants. The algorithm enables participants to have higher values, which can increase the probability of participants participating in the task and improve the task completion rate.
2. Related Work
2.1. Incentive Mechanisms Based on Traditional Economics
2.1.1. Monetary Incentive Mechanism
2.1.2. Nonmonetary Incentive Mechanism
2.2. The Current Study of Reference Dependency
2.3. The Current Study of Risk Preference Reversal
3. System Model
3.1. Physical Model
3.2. Logic Model of IMBE
4. The Incentive Mechanism Based on Behavioral Economics
4.1. The Detail of PDRD
4.1.1. Setting of External Reference Reward
4.1.2. Setting of Internal Reference Reward
4.1.3. Participant’s Decision-Making
4.1.4. Setting of the Reference Reward
4.2. The Detail of WSRPR
4.2.1. Setting of Risk Preference
4.2.2. Participant’s Value Function
4.2.3. Risk Preference Reversal
4.2.4. Winner Selection Algorithm Based on Risk Preference Reversal
| Algorithm 1. Winner Selection Algorithm Based on Risk Preference Reversal. |
| input: candidate set:, mean reward: |
| output: winner set: |
| 1: For |
| 2: For |
| 3: ; |
| 4: End For |
| 5: For |
| 6: ; |
| 7: If |
| 8: ; |
| 9: End If |
| 10: End For |
| 11: End For |
4.2.5. Platform’s Utility
5. Simulations and Evaluations
5.1. Simulation Settings
5.2. Discussion on the Effect of the IMBE
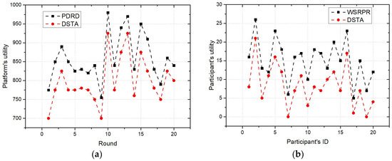
5.3. Comparison with DSTA
6. Conclusions
Author Contributions
Funding
Conflicts of Interest
References
- Lin, Y.; Cai, Z.; Wang, X.; Hao, F.; Wang, L.; Sai, A.M.V.V. Multi-Round Incentive Mechanism for Cold Start-Enabled Mobile Crowdsensing. IEEE Trans. Veh. Technol. 2021, 70, 993–1007. [Google Scholar]
- Liu, Z.; Jiang, S.; Zhou, P.; Li, M. A Participatory Urban Traffic Monitoring System: The Power of Bus Riders. IEEE Trans. Intell. Transp. Syst. 2017, 18, 2851–2864. [Google Scholar]
- Feng, Z.; Zhu, Y.; Zhang, Q.; Ni, L.; Vasilakos, A.V. TRAC: Truthful Auction for Location-Aware Collaborative Sensing in Mobile Crowdsourcing. In Proceedings of the 2014 33rd IEEE Annual Conference on Computer Communications, Toronto, ON, Canada, 27 April–2 May 2014; pp. 1231–1239. [Google Scholar]
- Hasenfratz, D.; Saukh, O.; Walser, C.; Hueglin, C.; Fierz, M.; Arn, T.; Beutel, J.; Thiele, L. Deriving high-resolution urban air pollution maps using mobile sensor nodes. Pervasive Mob. Comput. 2015, 16, 268–285. [Google Scholar]
- Hu, Y.; Dai, G.; Fan, J.; Wu, Y.; Zhang, H. BlueAer: A fine-grained urban PM 2.5 3D monitoring system using mobile sensing. In Proceedings of the 2016 35th IEEE Annual International Conference on Computer Communications, San Francisco, CA, USA, 10–14 April 2016; pp. 1–9. [Google Scholar]
- Wei, X.; Yang, Y.; Jiang, W.; Shen, J.; Qiu, X. A Blockchain Based Mobile Crowdsensing Market. China Commun. 2019, 16, 31–41. [Google Scholar] [CrossRef]
- Restuccia, F.; Ferraro, P.; Silvestri, S.; Das, S.K.; Re, G.L. IncentMe: Effective Mechanism Design to Stimulate Crowdsensing Participants with Uncertain Mobility. IEEE. Trans. Mob. Comput. 2019, 18, 1571–1584. [Google Scholar] [CrossRef] [Green Version]
- Yucel, F.; Yuksel, M.; Bulut, E. IncentMe: Coverage-Aware Stable Task Assignment in Opportunistic Mobile Crowdsensing. IEEE Trans. Veh. Technol. 2021, 70, 3831–3845. [Google Scholar] [CrossRef]
- Sun, P.; Wang, Z.; Wu, L.; Feng, Y.; Pang, X.; Qi, H.; Wang, Z. Towards Personalized Privacy-Preserving Incentive for Truth Discovery in Mobile Crowdsensing Systems. IEEE. Trans. Mob. Comput. 2021, 21, 352–365. [Google Scholar]
- Guo, H.; Dai, G.; Fan, J.; Wu, Y.; Shen, F.; Hu, Y. A Mobile Sensing System for Urban PM2.5 Monitoring with Adaptive Resolution. J. Sens. 2016, 2016, 7901245. [Google Scholar]
- Munneke, M.; Nijkrake, M.; Keus, S.H.J.; Bloem, B.R.; Kwakkel, G.; Berendse, H.M.; Roos, R. A process evaluation of ParkNet implementation. Parkinsonism Relat. Disord. 2007, 13, S181. [Google Scholar]
- Jiang, W.; Chen, P.; Zhang, W.; Sun, Y.; Chen, J. Mobile Crowdsensing User Recruitment Algorithm Based on Combination Multi-Armed Bandit. J. Electron. Inf. Technol. 2022, 44, 1119–1128. [Google Scholar]
- Jiang, W.; Chen, P.; Zhang, W.; Sun, Y.; Chen, J.; Qing, W. User Recruitment Algorithm for Maximizing Quality under Limited Budget in Mobile Crowdsensing. Discret. Dyn. Nat. Soc. 2022, 2022, 4804231. [Google Scholar] [CrossRef]
- Jiang, W.; Zhang, W.; Chen, P.; Chen, J.; Sun, Y.; Yang, Y. Quantity sensitive task allocation based on improved whale optimization algorithm in crowdsensing system. Concurr. Comput. Pract. Exp. 2021, 2021, e6637. [Google Scholar] [CrossRef]
- Li, F.; Zhao, J.; Yu, D.; Cheng, X.; Lv, W. Harnessing Context for Budget-Limited Crowdsensing with Massive Uncertain Workers. IEEE ACM Trans. Netw. 2022, 2022, 1–15. [Google Scholar] [CrossRef]
- Wang, E.; Yang, Y.; Lou, K. User Recruitment for Optimizing Requester’s Benefit in Self-Organized Mobile Crowdsensing. IEEE Access 2018, 6, 17518–17526. [Google Scholar] [CrossRef]
- Chen, Y.; Guo, D.; Bhuiyan, M.D.Z.A.; Xu, M.; Wang, G.; Lv, P. Towards Benefit Optimization during Online Participant Selection in Compressive Mobile Crowdsensing. ACM Trans. Sens. Netw. 2019, 15, 38. [Google Scholar] [CrossRef]
- An, B.; Xiao, M.; Liu, A.; Xie, X.; Zhou, X. Crowdsensing Data Trading based on Combinatorial Multi-Armed Bandit and Stackelberg Game. In Proceedings of the 2021 37th IEEE International Conference on Data Engineering, Chania, Greece, 19–22 April 2021; pp. 253–264. [Google Scholar]
- Tapas, P.; Pillai, D. Prospect theory: An analysis of corporate actions and priorities in pandemic crisis. Int. J. Innov. Sci. 2021, 1, 1–15. [Google Scholar] [CrossRef]
- Yang, J.; Fu, L.; Yang, B.; Xu, J. Participant Service Quality Aware Data Collecting Mechanism with High Coverage for Mobile Crowdsensing. IEEE Access 2020, 8, 10628–10639. [Google Scholar] [CrossRef]
- Jaimes, L.G.; Vergara, I.J.; Raij, A. A Location-based Incentive Algorithm for Consecutive Crowd Sensing Tasks. IEEE Lat. Am. Trans. 2016, 14, 811–817. [Google Scholar] [CrossRef]
- Gao, G.; Wu, J.; Yan, Z.; Xiao, M.; Chen, G. Unknown Worker Recruitment with Budget and Covering Constraints for Mobile Crowdsensing. In Proceedings of the 2019 IEEE 25th International Conference on Parallel and Distributed Systems, Tianjin, China, 4–6 December 2019; pp. 539–547. [Google Scholar]
- Mellers, A.B.; Chang, S.-J. Representations of Risk Judgments. Organ. Behav. Hum. Decis. Processes 1994, 57, 167–184. [Google Scholar] [CrossRef]
- Koutsopoulos, I. Optimal Incentive-driven Design of Participatory Sensing Systems. In Proceedings of the 2013 32nd IEEE INFOCOM Conference, Turin, Italy, 14–19 April 2013; pp. 1402–1410. [Google Scholar]
- Ji, G.; Yao, Z.; Zhang, B.; Li, C. A Reverse Auction-Based Incentive Mechanism for Mobile Crowdsensing. IEEE Internet Things J. 2020, 7, 8238–8248. [Google Scholar] [CrossRef]
- Yang, D.; Fang, X.; Xue, G. Truthful Incentive Mechanisms for K-Anonymity Location Privacy. In Proceedings of the 2013 32nd IEEE INFOCOM Conference, Turin, Italy, 14–19 April 2013; pp. 2994–3002. [Google Scholar]
- Gao, L.; Hou, F.; Huang, J. Providing Long-Term Participation Incentive in Participatory Sensing. In Proceedings of the 2015 34th IEEE Conference on Computer Communications, Hong Kong, China, 26 April–1 May 2015; pp. 1–9. [Google Scholar]
- Kim, S. Effective crowdsensing and routing algorithms for next generation vehicular networks. Wirel. Netw. 2019, 25, 1815–1827. [Google Scholar]
- Pouryazdan, M.; Kantarci, B. On Coalitional and Non-Coalitional Games in the Design of User Incentives for Dependable Mobile Crowdsensing Services. In Proceedings of the 2020 IEEE International Conference on Service Oriented Systems Engineering, Oxford, UK, 3–6 August 2020; pp. 1–9. [Google Scholar]
- Yang, D.; Xue, G.; Fang, X.; Tang, J. Crowdsourcing to Smartphones: Incentive Mechanism Design for Mobile Phone Sensing. In Proceedings of the 18th Annual International Conference on Mobile Computing and Networking, Istanbul, Turkey, 22–26 August 2012; pp. 173–184. [Google Scholar]
- Jordan, K.O.; Sheptykin, I.; Grüter, B. Identification of structural landmarks in a park using movement data collected in a location-based game. ACM 2013, 13, 1–8. [Google Scholar]
- Mccall, R.; Koenig, V. Gaming concepts and incentives to change driver behaviour. In Proceedings of the 2012 11th Annual Mediterranean Ad Hoc Networking Workshop, Ayia Napa, Cyprus, 19–22 June 2012; pp. 1–6. [Google Scholar]
- Bigwood, G.; Henderson, T. IRONMAN: Using Social Networks to Add Incentives and Reputation to Opportunistic Networks. In Proceedings of the IEEE Third International Conference on Privacy, Boston, MA, USA, 9–11 October 2011; pp. 65–72. [Google Scholar]
- Sun, J. An Incentive Scheme Based on Heterogeneous Belief Values for Crowd Sensing in Mobile Social Networks. In Proceedings of the IEEE Global Communications Conference, Atlanta, GA, USA, 9–13 December 2013; pp. 1717–1722. [Google Scholar]
- Dong, Z.Y. Behavioral Economics; Peking University Press: Beijing, China, 2005; pp. 75–81. [Google Scholar]
- Mark, S.; Winer, R.S. An Empirical Analysis of Price Endings with Scanner Data. J. Consum. Res. 1997, 24, 57–67. [Google Scholar]
- Briesch, R.A.; Krishnamurthi, L.; Mazumdar, T. A Comparative Analysis of Reference Price Models. J. Consum. Res. 1997, 24, 202–214. [Google Scholar]
- Epley, N.; Gilovich, T. When effortful thinking influences judgmental anchoring: Differential effects of forewarning and incentives on self-generated and externally-provided anchors. J. Behav. Decis. Mak. 2005, 18, 199–212. [Google Scholar]
- Hardie, B.; Johnson, E.J.; Fader, P. Modeling Loss Aversion and Reference Dependence Effects on Brand Choice. Mark. Sci. 1993, 12, 378–394. [Google Scholar]
- Holte, J.H.; Sivey, P.; Abelsen, B.; Olsen, J.A. Modelling Nonlinearities and Reference Dependence in General Practitioners’ Income Preferences. Health Econ. 2016, 25, 1020–1038. [Google Scholar] [PubMed]
- Liu, X. Disclosing information to a loss-averse audience. Econ. Theory Bull. 2018, 6, 63–79. [Google Scholar]
- Soetevent, A.; Zhou, L. Loss Modification Incentives for Insurers under Expected Utility and Loss Aversion. Econ.-Neth. 2016, 164, 41–67. [Google Scholar]
- Kahneman, D.; Tversky, A. Prospect Theory of Decisions Under Risk. Econometrica 1979, 47, 263–292. [Google Scholar]
- Zhang, G.-M. Principal-Agent Model and Risk Analysis under Asymmetric Information Condition. In Proceedings of the 18th International Conference on Management Science and Engineering, Rome, Italy, 13–15 September 2011; pp. 187–191. [Google Scholar]
- Ji, L.; Liu, W.; Zhang, Y. Research on the Tournament Incentive Mechanism of the Safety Behavior for Construction Workers: Considering Multiple Heterogeneity. Front. Psychol. 2021, 12, 796295. [Google Scholar] [PubMed]
- Enguix, L. The New EU Remuneration Policy as Good but Not Desired Corporate Governance Mechanism and the Role of CSR Disclosing Marginal values analysis for chemical industry. Sustainability 2021, 13, 5476. [Google Scholar]
- Balasubramanian, N.; Balasubramanian, A.; Venkataramani, A. Energy consumption in mobile phones: A measurement study and implications for network applications. In Proceedings of the 9th ACM SIGCOMM Internet Measurement Conference, Chicago, IL, USA, 4–6 November 2009; pp. 280–293. [Google Scholar]
- Ma, H.D.; Zhao, D. Mobile Crowd Sensing Network; Tsinghua University Press: Beijing, China, 2019. [Google Scholar]
- Duan, L.; Kubo, T.; Sugiyama, K.; Huang, J.; Hasegawa, T.; Walrand, J. Incentive mechanisms for smartphone collaboration in data acquisition and distributed computing. In Proceedings of the IEEE INFOCOM Conference, Orlando, FL, USA, 25–30 March 2012; pp. 1701–1709. [Google Scholar]
- Lee, J.; Hoh, B. Dynamic Pricing Incentive for Participatory Sensing. Pervasive Mob. Comput. 2010, 6, 693–708. [Google Scholar]
- Lai, C.; Zhang, X. Duration-Sensitive Task Allocation for Mobile Crowd Sensing. IEEE Syst. J. 2020, 14, 4430–4441. [Google Scholar]
- Wang, J.; Wang, F.; Wang, Y.; Wang, L.; Qiu, Z.; Zhang, D.; Guo, B.; Lv, Q. HyTasker: Hybrid Task Allocation in Mobile Crowd Sensing. IEEE. Trans. Mob. Comput. 2020, 19, 598–611. [Google Scholar]
- Wang, J.; Wang, Y.; Zhang, D.; Wang, F.; Xiong, H.; Chen, C.; Lv, Q.; Qiu, Z. Multi-Task Allocation in Mobile Crowd Sensing with Individual Task Quality Assurance. IEEE. Trans. Mob. Comput. 2018, 17, 2101–2113. [Google Scholar]
- Wang, J.; Wang, Y.; Zhang, D.; Wang, L.; Xiong, H.; Helal, A.; He, Y.; Wang, F. Fine-Grained Multitask Allocation for Participatory Sensing with a Shared Budget. IEEE Internet Things J. 2016, 3, 1395–1405. [Google Scholar]
- Hu, A.; Gu, Y. Mobile crowdsensing tasks allocation for mult-parameter bids. In Proceedings of the 3rd IEEE Information Technology and Mechatronics Engineering Conference (ITOEC), Chongqing, China, 3–5 October 2017; pp. 489–493. [Google Scholar]
- Zhang, X.; Xue, G.; Yu, R.; Yang, D.; Tang, J. Robust Incentive Tree Design for Mobile Crowdsensing. In Proceedings of the 37th IEEE International Conference on Distributed Computing Systems (ICDCS), Atlanta, GA, USA, 5–8 June 2017; pp. 458–468. [Google Scholar]
- Liu, J.; Yang, Y.; Li, D.; Deng, X.; Huang, S.; Liu, H. An Incentive Mechanism Based on Behavioural Economics in Location-based Crowdsensing Considering an Uneven Distribution of Participants. IEEE. Trans. Mob. Comput. 2020, 21, 44–62. [Google Scholar]








| Parameter | Definition | Parameter | Definition | Parameter | Definition |
|---|---|---|---|---|---|
| Set of new participants | Internal reference reward | Reward reference value | |||
| Set of old participants | Internal reference factor | Risk preference factor | |||
| External reference reward | Participant bid price | Participant value | |||
| Total platform’s budget | Reward to participants | Platform’s utility | |||
| Participant cost | Expected rate of reward | Concavity parameter of the value function | |||
| External reference factors | Expected reward | Task value | |||
| Candidate set | Winner set |
| Parameter | Value |
|---|---|
| 20 | |
| 50 | |
| 20 | |
| 0.88 | |
| 0.88 | |
| 2.25 | |
| 30 |
Publisher’s Note: MDPI stays neutral with regard to jurisdictional claims in published maps and institutional affiliations. |
© 2022 by the authors. Licensee MDPI, Basel, Switzerland. This article is an open access article distributed under the terms and conditions of the Creative Commons Attribution (CC BY) license (https://creativecommons.org/licenses/by/4.0/).
Share and Cite
Peng, R.; Huang, W.; Xu, H.; Pi, M.; Liu, J. “Follower of the Reference Point”: Platform Utility-Oriented Incentive Mechanism in Crowdsensing. Electronics 2022, 11, 2609. https://doi.org/10.3390/electronics11162609
Peng R, Huang W, Xu H, Pi M, Liu J. “Follower of the Reference Point”: Platform Utility-Oriented Incentive Mechanism in Crowdsensing. Electronics. 2022; 11(16):2609. https://doi.org/10.3390/electronics11162609
Chicago/Turabian StylePeng, Runze, Wei Huang, Hucheng Xu, Mingyang Pi, and Jiaqi Liu. 2022. "“Follower of the Reference Point”: Platform Utility-Oriented Incentive Mechanism in Crowdsensing" Electronics 11, no. 16: 2609. https://doi.org/10.3390/electronics11162609
APA StylePeng, R., Huang, W., Xu, H., Pi, M., & Liu, J. (2022). “Follower of the Reference Point”: Platform Utility-Oriented Incentive Mechanism in Crowdsensing. Electronics, 11(16), 2609. https://doi.org/10.3390/electronics11162609
