Improvement of the Coupling of Renewable Sources through Z-Source Converters Based on the Study of Their Dynamic Model
Abstract
:1. Introduction
2. Architecture and Operation of the Converter
2.1. Choice of Converters
2.2. Step-Up Mode Stages
3. Converter Analysis
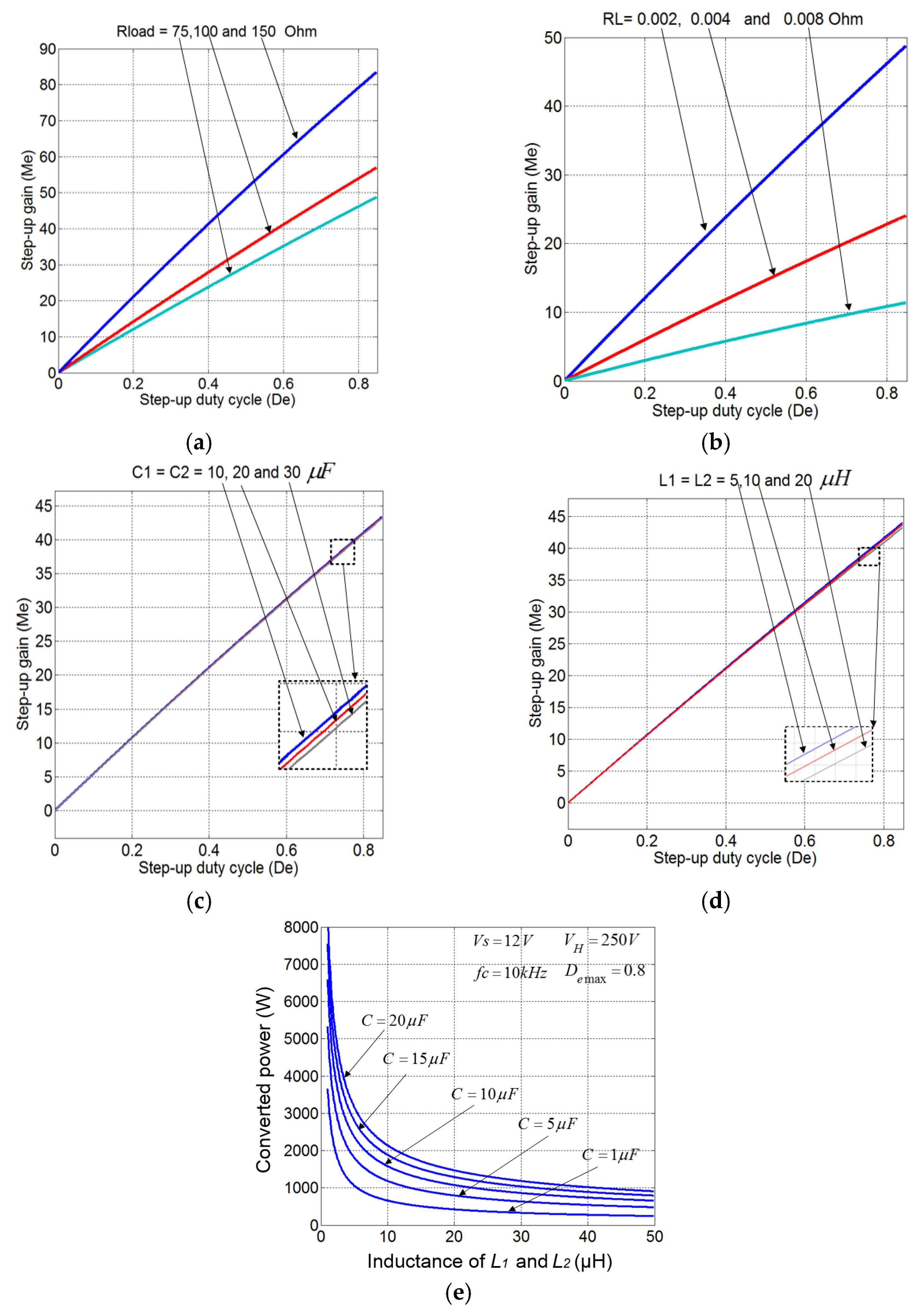
Step-Up Mode Equations
4. Dynamic Model and Converter Coupling Control Strategy
5. Results
Design Considerations
6. Discussion
Author Contributions
Funding
Conflicts of Interest
References
- Wang, F. A Novel Quadratic Boost Converter with Low Current and Voltage Stress on Power Switch for Fuel-Cell System Applications. Renew. Energy 2018, 115, 836–845. [Google Scholar] [CrossRef]
- Goudarzian, A.; Khosravi, A.; Raeisi, H.A. Analysis of a Step-up Dc/Dc Converter with Capability of Right-Half Plane Zero Cancellation. Renew. Energy 2020, 157, 1156–1170. [Google Scholar] [CrossRef]
- Kolli, A.; Gaillard, A.; De Bernardinis, A.; Bethoux, O.; Hissel, D.; Khatir, Z. A Review on DC/DC Converter Architectures for Power Fuel Cell Applications. Energy Convers. Manag. 2015, 105, 716–730. [Google Scholar] [CrossRef]
- Babaei, E.; Shokati Asl, E. A New Topology for Z-Source Half-Bridge Inverter with Low Voltage Stress on Capacitors. Electr. Power Syst. Res. 2016, 140, 722–734. [Google Scholar] [CrossRef]
- Khan, M.N.H.; Forouzesh, M.; Siwakoti, Y.P.; Li, L.; Kerekes, T.; Blaabjerg, F. Transformerless Inverter Topologies for Single-Phase Photovoltaic Systems: A Comparative Review. IEEE J. Emerg. Sel. Top. Power Electron. 2020, 8, 805–835. [Google Scholar] [CrossRef]
- Dong, S.; Zhang, Q.; Chunbo, Z. Switched-Coupled-Inductor Z-Source Inverter with a High Boost Inversion Capability. IET Power Electron. 2020, 13, 2671–2674. [Google Scholar] [CrossRef]
- Ortega, M.; Ortega, M.V.; Jurado, F.; Carpio, J.; Vera, D. Bidirectional DC–DC Converter with High Gain Based on Impedance Source. IET Power Electron. 2019, 12, 2069–2078. [Google Scholar] [CrossRef]
- Spier, D.W.; Oggier, G.G.; da Silva, S.A.O. Dynamic Modeling and Analysis of the Bidirectional DC-DC Boost-Buck Converter for Renewable Energy Applications. Sustain. Energy Technol. Assess. 2019, 34, 133–145. [Google Scholar] [CrossRef]
- Ortega, M.; Lanagrán, E.; Ortega, M.V.; Jurado, F. Design and Integration of Z-Source Converters for Energy Management with Series Operation: Applied to DC Microgrid. Int. J. Electr. Power Energy Syst. 2021, 128, 106781. [Google Scholar] [CrossRef]
- Chen, D.; Deng, J.; Wang, W.; Wang, Z.; Wang, S. A Novel Voltage-Fed Hybrid Bridge Combining Semiactive Rectifier Converter for Wide Voltage Gain. IEEE Trans. Ind. Electron. 2022, 69, 365–375. [Google Scholar] [CrossRef]
- Kan, J.; Xie, S.; Tang, Y.; Wu, Y. Voltage-Fed Dual Active Bridge Bidirectional. IEEE Trans. Power Electron. 2014, 29, 3582–3590. [Google Scholar] [CrossRef]
- Shi, F.; Song, D. A Novel High-Efficiency Double-Input Bidirectional DC/DC Converter for Battery Cell-Voltage Equalizer with Flyback Transformer. Electronics 2019, 8, 1426. [Google Scholar] [CrossRef] [Green Version]
- Zhang, Y.; Wang, Z.; Li, Y.W.; Hou, N.; Cheng, M. A Leakage-Inductor Parameter Compensation Method for Paralleled Current-Fed Isolated DC/DC System. IEEE Trans. Power Electron. 2020, 35, 1160–1164. [Google Scholar] [CrossRef]
- Ortega, M.; Jurado, F.; Valverde, M. Novel Topology for DC/DC Unidirectional Converter for Fuel Cell. IET Power Electron. 2014, 7, 681–691. [Google Scholar] [CrossRef]
- Gao, S.; Wang, Y.; Guan, Y.; Xu, D. A High Step Up SEPIC-Based Converter Based on Partly Interleaved Transformer. IEEE Trans. Ind. Electron. 2020, 67, 1455–1465. [Google Scholar] [CrossRef]
- Liu, Y.; Abu-Rub, H.; Ge, B. Front-End Isolated Quasi-Z-Source DC-DC Converter Modules in Series for High-Power Photovoltaic Systems-Part I: Configuration, Operation, and Evaluation. IEEE Trans. Ind. Electron. 2017, 64, 347–358. [Google Scholar] [CrossRef]
- Peng, F.Z.; Member, S. Z-Source Inverter. IEEE Trans. Ind. Appl. 2003, 39, 504–510. [Google Scholar] [CrossRef]
- Ahmad, A.; Bussa, V.K.; Singh, R.K.; Mahanty, R. Switched-Boost-Modified Z-Source Inverter Topologies with Improved Voltage Gain Capability. IEEE J. Emerg. Sel. Top. Power Electron. 2018, 6, 2227–2244. [Google Scholar] [CrossRef]
- Stepenko, S.; Husev, O.; Vinnikov, D.; Fesenko, A.; Matiushkin, O. Feasibility Study of Interleaving Approach for Quasi- Z-Source Inverter. Electronics 2020, 9, 277. [Google Scholar] [CrossRef] [Green Version]
- Barath, J.N.; Soundarrajan, A.; Stepenko, S.; Husev, O.; Vinnikov, D.; Nguyen, M.K. Topological Review of Quasi-Switched Boost Inverters. Electronics 2021, 10, 1485. [Google Scholar] [CrossRef]
- Cha, H.; Li, Y.; Peng, F.Z. Practical Layouts and DC-Rail Voltage Clamping Techniques of Z-Source Inverters. IEEE Trans. Power Electron. 2016, 31, 7471–7479. [Google Scholar] [CrossRef]
- Florez-Tapia, A.M.; Vadillo, J.; Martin-Villate, A.; Echeverria, J.M. Transient Analysis of a Trans Quasi-Z-Source Inverter Working in Discontinuous Conduction Mode. Electr. Power Syst. Res. 2017, 151, 106–114. [Google Scholar] [CrossRef]
- Zhu, X.; Zhang, B.; Qiu, D. Enhanced Boost Quasi-Z-Source Inverters with Active Switched-Inductor Boost Network. IET Power Electron. 2018, 11, 1774–1787. [Google Scholar] [CrossRef]
- Dehghanzadeh, A.R.; Behjat, V.; Banaei, M.R. Double Input Z-Source Inverter Applicable in Dual-Star PMSG Based Wind Turbine. Int. J. Electr. Power Energy Syst. 2016, 82, 49–57. [Google Scholar] [CrossRef]
- Wang, B.; Tang, W. A New Cuk-Based z-Source Inverter. Electronics 2018, 7, 313. [Google Scholar] [CrossRef] [Green Version]
- Papadimitriou, C.N.; Zountouridou, E.I.; Hatziargyriou, N.D. Review of Hierarchical Control in DC Microgrids. Electr. Power Syst. Res. 2015, 122, 159–167. [Google Scholar] [CrossRef]
- Frances, A.; Asensi, R.; Garcia, O.; Prieto, R.; Uceda, J. Modeling Electronic Power Converters in Smart Dc Microgrids—An Overview. IEEE Trans. Smart Grid 2018, 9, 6274–6287. [Google Scholar] [CrossRef]







| Source | Source Rated Power | Design Voltage (VSn) | Design Power | Dmax |
|---|---|---|---|---|
| P.V. | 2400 W | 35 V | 2600 W | 0.8 |
| W.T. | 1000 W | 16 V | 1000 W | 0.8 |
| B1 | 600Ah | 18 V | 1650 W | 0.8 |
| B2 | 600Ah | 12 V | 1100 W | 0.8 |
| Source | L1,L2 µH | C1, C2 µF | Currents ILt1, ILt2 | Converted Pmax |
|---|---|---|---|---|
| P.V. | 18 | 6 | 58 A, 135 A | 2808 |
| W.T | 10 | 7 | 40 A, 128 A | 1100 W |
| B1 | 12 | 11 | 85 A, 118 A | 1859 W |
| B2 | 10 | 5 | 97 A, 150 A | 1192 W |
| Step-Down Circuit for Battery Converter | ||||
|---|---|---|---|---|
| L4 µH | L3 µH | Peak Current IL4 (A) | Drmax | Converted Pmax |
| 50 | 2 | 88 A | 0.1 T | 2230 W |
Publisher’s Note: MDPI stays neutral with regard to jurisdictional claims in published maps and institutional affiliations. |
© 2022 by the authors. Licensee MDPI, Basel, Switzerland. This article is an open access article distributed under the terms and conditions of the Creative Commons Attribution (CC BY) license (https://creativecommons.org/licenses/by/4.0/).
Share and Cite
Lanagran, E.; Ortega, M.V.; Ortega, M.; Roa, J.P.; García-Triviño, P. Improvement of the Coupling of Renewable Sources through Z-Source Converters Based on the Study of Their Dynamic Model. Electronics 2022, 11, 2074. https://doi.org/10.3390/electronics11132074
Lanagran E, Ortega MV, Ortega M, Roa JP, García-Triviño P. Improvement of the Coupling of Renewable Sources through Z-Source Converters Based on the Study of Their Dynamic Model. Electronics. 2022; 11(13):2074. https://doi.org/10.3390/electronics11132074
Chicago/Turabian StyleLanagran, Enrique, María Victoria Ortega, Manuel Ortega, Juan Pedro Roa, and Pablo García-Triviño. 2022. "Improvement of the Coupling of Renewable Sources through Z-Source Converters Based on the Study of Their Dynamic Model" Electronics 11, no. 13: 2074. https://doi.org/10.3390/electronics11132074
APA StyleLanagran, E., Ortega, M. V., Ortega, M., Roa, J. P., & García-Triviño, P. (2022). Improvement of the Coupling of Renewable Sources through Z-Source Converters Based on the Study of Their Dynamic Model. Electronics, 11(13), 2074. https://doi.org/10.3390/electronics11132074

