Combination of Optimized Variational Mode Decomposition and Deep Transfer Learning: A Better Fault Diagnosis Approach for Diesel Engines
Abstract
:1. Introduction
2. A Noise Reduction Approach Utilizing the Optimal VMD
2.1. The VMD
2.2. Dispersion Entropy
3. Time-Frequency Image and Deep Transfer Learning Model
3.1. Time-Frequency Image Generation Method
3.2. Deep Residual Network
3.2.1. Convolutional Layer
3.2.2. Max Pooling Layer
3.2.3. Residual Building Block
3.2.4. Global Average Pooling
3.3. Transfer Learning
4. Fault Diagnosis of the Diesel Engine Employing Both Optimized VMD and DTL
5. The Verification of the Experimental Data
5.1. Experiment Preparation
5.2. Preprocessing and Analysis of the Experimental Data
5.3. The Comparative Analysis of the Noise Reduction Effect
5.4. The Setup and Training of the Network Model
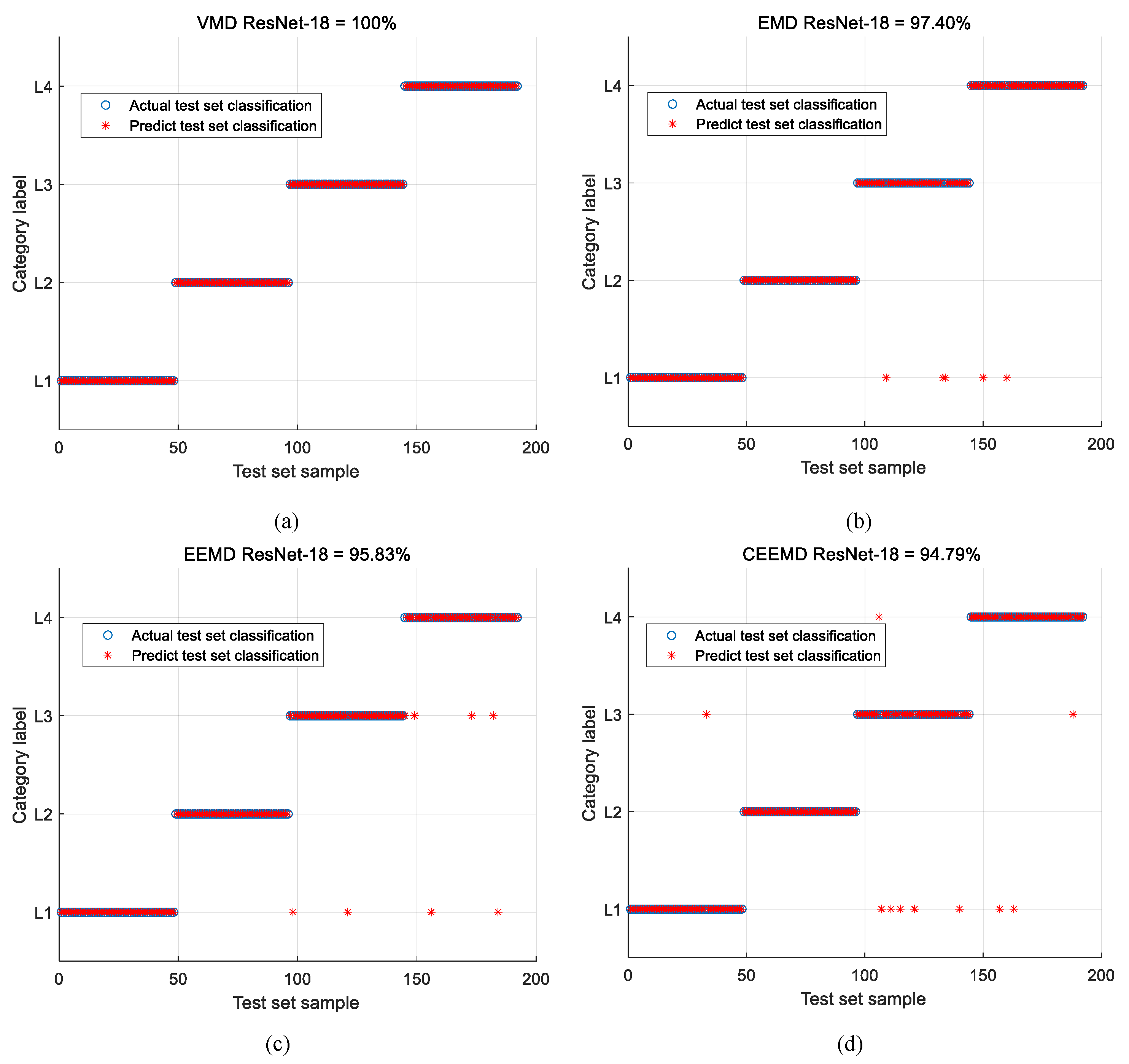
5.5. The Contrastive Analysis of the Decomposition Diagnosis Results with Various Modes
5.6. Comparison and Analysis of Diagnosis Results of Different Network Models
6. Conclusions
Author Contributions
Funding
Conflicts of Interest
Abbreviations
| Symbols | Full Explanations |
| VMD | Variational Mode Decomposition |
| IMF | Intrinsic Mode Function |
| HHT | Hilbert Huang Transform |
| WT | Wavelet Transform |
| STFT | Short Time Fourier Transform |
| DE | Dispersion Entropy |
| IMF | Intrinsic Mode Function |
| EMD | Empirical Mode Decomposition |
| EEMD | Ensemble Empirical Mode Decomposition |
| CEEMD | Complete Ensemble Empirical Mode Decomposition |
| LMD | Local Mean Decomposition |
| ADMM | Alternate Direction Method of Multipliers |
| PSNR | Peak Signal to Noise Ratio |
| ReLU | Rectified Linear Unit |
| t-SNE | t-distributed Stochastic Neighbor Embedding |
| ResNet | Residual Network |
References
- Wang, X.; Wang, T.; Ming, A.; Zhang, W.; Li, A.; Chu, F. Semi-supervised hierarchical attribute representation learning via multi-layer matrix factorization for machinery fault diagnosis. Mech. Mach. Theory 2022, 167, 104445. [Google Scholar] [CrossRef]
- Ravikumar, K.N.; Yadav, A.; Kumar, H.; Gangadharan, K.V.; Narasimhadhan, A.V. Gearbox fault diagnosis based on Multi-Scale deep residual learning and stacked LSTM model. Measurement 2021, 186, 110099. [Google Scholar] [CrossRef]
- Jung, D. Engine fault diagnosis combining model-based residuals and data-driven classifiers. IFAC-Pap. 2019, 52, 285–290. [Google Scholar] [CrossRef]
- Luque, J.; Anguita, D.; Pérez, F.; Denda, R. Spectral analysis of electricity demand using Hilbert–Huang transform. Sensors 2020, 20, 2912. [Google Scholar] [CrossRef]
- Gupta, N.; Seethalekshmi, K.; Datta, S.S. Wavelet-based real-time monitoring of electrical signals in Distributed Generation (DG) integrated system. Eng. Sci. Technol. Int. J. 2021, 24, 218–228. [Google Scholar] [CrossRef]
- Xie, X.; Li, J.; Yin, F.; Xu, K.; Dai, Y. STFT based on bandwidth-scaled microwave photonics. J. Lightwave Technol. 2020, 39, 1680–1687. [Google Scholar] [CrossRef]
- Samuel, P.D.; Pines, D.J. A review of vibration-based techniques for helicopter transmission diagnostics. J. Sound Vib. 2005, 282, 475–508. [Google Scholar] [CrossRef]
- Liu, Z.; Qu, J.; Ming, J.Z. Fault level diagnosis for planetary gearboxes using hybrid kernel feature selection and kernel Fisher discriminant analysis. Int. J. Adv. Manuf. Technol. 2013, 67, 1217–1230. [Google Scholar] [CrossRef]
- Anowar, F.; Sadaoui, S.; Selim, B. Conceptual and empirical comparison of dimensionality reduction algorithms (PCA, k-PCA, LDA, MDS, SVM, LLE, ISOMAP, LE, ICA, t-SNE). Comput. Sci. Rev. 2021, 40, 100378. [Google Scholar] [CrossRef]
- Li, J.; Li, X.; He, D.; Qu, Y. A novel method for early gear pitting fault diagnosis using stacked SAE and GBRBM. Sensors 2019, 19, 758. [Google Scholar] [CrossRef] [Green Version]
- Sun, H.; Guo, Y.; Zhao, W. Fault detection for aircraft turbofan engine using a modified moving window KPCA. IEEE Access 2020, 8, 166541–166552. [Google Scholar] [CrossRef]
- Cheng, Y.; Yuan, H.; Liu, H.; Lu, C. Fault diagnosis for rolling bearing based on SIFT-KPCA and SVM. Eng. Comput. 2017, 34, 53–65. [Google Scholar] [CrossRef]
- Wang, Z.; Zhang, Q.; Xiong, J.; Xiao, M.; Sun, G.; He, J. Fault diagnosis of a rolling bearing using wavelet packet denoising and random forests. IEEE Sens. J. 2017, 17, 5581–5588. [Google Scholar] [CrossRef]
- Baraldi, P.; Cannarile, F.; Di Maio, F.; Zio, E. Hierarchical k-nearest neighbors classification and binary differential evolution for fault diagnostics of automotive bearings operating under variable conditions. Eng. Appl. Artif. Intell. 2016, 56, 1–13. [Google Scholar] [CrossRef] [Green Version]
- Bi, X.; Lin, J.; Tang, D.; Bi, F.; Li, X.; Yang, X.; Ma, T.; Shen, P. VMD-KFCM algorithm for the fault diagnosis of diesel engine vibration signals. Energies 2020, 13, 228. [Google Scholar] [CrossRef] [Green Version]
- Chen, K.; Mao, Z.; Zhao, H.; Jiang, Z.; Zhang, J. A variational stacked autoencoder with harmony search optimizer for valve train fault diagnosis of diesel engine. Sensors 2019, 20, 223. [Google Scholar] [CrossRef] [Green Version]
- Gu, C.; Qiao, X.Y.; Li, H.; Jin, Y. Misfire fault diagnosis method for diesel engine based on MEMD and dispersion entropy. Shock. Vib. 2021, 2021, 9213697. [Google Scholar] [CrossRef]
- Jia, F.; Lei, Y.; Lin, J.; Zhou, X.; Lu, N. Deep neural networks: A promising tool for fault characteristic mining and intelligent diagnosis of rotating machinery with massive data. Mech. Syst. Signal Processing 2016, 72, 303–315. [Google Scholar] [CrossRef]
- Shang, C.; Yang, F.; Huang, D.; Lyu, W. Data-driven soft sensor development based on deep learning technique. J. Process Control. 2014, 24, 223–233. [Google Scholar] [CrossRef]
- Lei, Y.; Jia, F.; Lin, J.; Zhou, X.; Lu, N. An intelligent fault diagnosis method using unsupervised feature learning towards mechanical big data. IEEE Trans. Ind. Electron. 2016, 63, 3137–3147. [Google Scholar] [CrossRef]
- Zhang, J.; Tian, Y.; Ren, Z.; Chang, Q.; Jia, Z. The calibration of force offset for rocket engine based on deep belief network. Meas. Control. 2018, 51, 172–181. [Google Scholar] [CrossRef]
- Wang, Y.S.; Liu, N.N.; Guo, H.; Wang, X.L. An engine-fault-diagnosis system based on sound intensity analysis and wavelet packet pre-processing neural network. Eng. Appl. Artif. Intell. 2020, 94, 103765. [Google Scholar] [CrossRef]
- Xu, J.; Liu, X.; Wang, B.; Lin, J. Deep Belief Network-Based Gas Path Fault Diagnosis for Turbofan Engines. IEEE Access 2019, 7, 170333–170342. [Google Scholar] [CrossRef]
- Zhou, D.; Yao, Q.; Wu, H.; Ma, S.; Zhang, H. Fault diagnosis of gas turbine based on partly interpretable convolutional neural networks. Energy 2020, 200, 117467. [Google Scholar] [CrossRef]
- Han, P.; Ellefsen, A.L.; Li, G.; Æsøy, V.; Zhang, H. Fault Prognostics Using LSTM Networks: Application to Marine Diesel Engine. IEEE Sens. J. 2021, 21, 25986–25994. [Google Scholar] [CrossRef]
- Xu, W.; Wan, Y.; Zuo, T.Y.; Sha, X.M. Transfer learning-based data feature transfer for fault diagnosis. IEEE Access 2020, 8, 76120–76129. [Google Scholar] [CrossRef]
- Zhao, Y.P.; Chen, Y.B. Extreme learning machine-based transfer learning for aero-engine fault diagnosis. Aerosp. Sci. Technol. 2022, 121, 107311. [Google Scholar] [CrossRef]
- Xiong, G.; Ma, W.; Zhao, N.; Zhang, J.; Jiang, Z.; Mao, Z. Multi-type diesel engines operating condition recognition method based on stacked auto-encoder and feature transfer learning. IEEE Access 2021, 9, 31043–31052. [Google Scholar] [CrossRef]
- Zhou, M.; Hu, T.; Bian, K.; Lai, W.; Hu, F.; Hamrani, O.; Zhu, Z. Short-Term Electric Load Forecasting Based on Variational Mode Decomposition and Grey Wolf Optimization. Energies 2021, 14, 4890. [Google Scholar] [CrossRef]
- Cai, W.; Yang, Z.; Wang, Z.; Wang, Y. A new compound fault feature extraction method based on multipoint kurtosis and variational mode decomposition. Entropy 2018, 20, 521. [Google Scholar] [CrossRef] [Green Version]
- Azami, H.; Escudero, J. Amplitude-and fluctuation-based dispersion entropy. Entropy 2018, 20, 210. [Google Scholar] [CrossRef] [PubMed] [Green Version]
- Khetarpal, P.; Tripathi, M.M. A critical and comprehensive review on power quality disturbance detection and classification. Sustain. Comput. Inform. Syst. 2020, 28, 100417. [Google Scholar] [CrossRef]
- He, K.; Zhang, X.; Ren, S.; Sun, J. Deep residual learning for image recognition. In Proceedings of the IEEE Conference on Computer Vision and Pattern Recognition, Las Vegas, NV, USA, 12 December 2016; pp. 770–778. [Google Scholar]
- Hao, X.; Zheng, Y.; Lu, L.; Pan, H. Research on Intelligent Fault Diagnosis of Rolling Bearing Based on Improved Deep Residual Network. Appl. Sci. 2021, 11, 10889. [Google Scholar] [CrossRef]
- Ma, P.; Zhang, H.; Fan, W.; Wang, C.; Wen, G.; Zhang, X. A novel bearing fault diagnosis method based on 2D image representation and transfer learning-convolutional neural network. Meas. Sci. Technol. 2019, 30, 055402. [Google Scholar] [CrossRef]
- Agis, D.; Pozo, F. Vibration-Based Structural Health Monitoring Using Piezoelectric Transducers and Parametric t-SNE. Sensors 2020, 20, 1716. [Google Scholar] [CrossRef] [PubMed] [Green Version]














| Serial Numbers | Fault States | Failure Modes |
|---|---|---|
| 1 | L1 | Normal |
| 2 | L2 | Cylinder misfire |
| 3 | L3 | Air filter clogged |
| 4 | L4 | Broken oil supply pipe |
| Fault State | Rotating Speed | Sampling Frequency | Sampling Time | Number of Sensors | Number of Samples |
|---|---|---|---|---|---|
| L1 | 800 rpm | 20 kHz | 12 s | 6 | 10 |
| L2 | 800 rpm | 20 kHz | 12 s | 6 | 10 |
| L3 | 800 rpm | 20 kHz | 12 s | 6 | 10 |
| L4 | 800 rpm | 20 kHz | 12 s | 6 | 10 |
| IMF | The Dispersion Entropy of Each IMF Component When Various Ks Is Used | ||||
|---|---|---|---|---|---|
| 3 | 4 | 5 | 6 | 7 | |
| IMF1 | 3.4637 | 3.5874 | 3.7228 | 3.5134 | 3.6991 |
| IMF2 | 3.3146 | 3.4540 | 3.8595 | 3.6764 | 3.7245 |
| IMF3 | 3.0940 | 3.2836 | 3.4521 | 3.6547 | 3.7565 |
| IMF4 | 3.0683 | 3.2794 | 3.4482 | 3.4512 | |
| IMF5 | 3.0627 | 3.2768 | 3.2839 | ||
| IMF6 | 3.0655 | 3.0765 | |||
| IMF7 | 2.7068 | ||||
| Signal States | Total Sample | Training Samples | Test Sample | Validation Sample |
|---|---|---|---|---|
| L1 | 240 | 180 | 20 | 40 |
| L2 | 240 | 180 | 20 | 40 |
| L3 | 240 | 180 | 20 | 40 |
| L4 | 240 | 180 | 20 | 40 |
| Total | 960 | 720 | 80 | 160 |
| Evaluation Indicators | Vibration Signal | CEEMD | EEMD | EMD | VMD |
|---|---|---|---|---|---|
| K-value | 3.362 | 3.747 | 4.253 | 4.641 | 5.385 |
| PSNR | 4.253 | 15.652 | 18.368 | 24.527 | 32.983 |
| Network Layer | Type | Size × Number of Output Channels | Output (Size × Number of Channels) |
|---|---|---|---|
| Input layer | RGB | 227 × 227 × 3 | |
| Conv1 | Convolutional Layer | 7 × 7 × 54 | 114 × 114 × 64 |
| Maxpool | Max Pooling Layer | 3 × 3 × 64 | 57 × 57 × 64 |
| Layer1 | Residual Layer: IRB64 + IRB64 | 3 × 3 × 64 | 57 × 57 × 64 |
| 3 × 3 × 64 | 57 × 57 × 64 | ||
| 3 × 3 × 64 | 57 × 57 × 64 | ||
| 3 × 3 × 64 | 57 × 57 × 64 | ||
| Layer2 | Residual Layer: SRB128 + SRB128 | 3 × 3 × 128 | 29 × 29 × 128 |
| 3 × 3 × 128 | 29 × 29 × 128 | ||
| 1 × 1 × 128 | 29 × 29 × 128 | ||
| 3 × 3 × 128 | 29 × 29 × 128 | ||
| 3 × 3 × 128 | 29 × 29 × 128 | ||
| Layer3 | Residual Layer: SRB256 + SRB256 | 3 × 3 × 256 | 15 × 15 × 256 |
| 3 × 3 × 256 | 15 × 15 × 256 | ||
| 1 × 1 × 256 | 15 × 15 × 256 | ||
| 3 × 3 × 256 | 15 × 15 × 256 | ||
| 3 × 3 × 256 | 15 × 15 × 256 | ||
| Layer4 | Residual Layer: SRB512 + SRB512 | 3 × 3 × 512 | 8 × 8 × 512 |
| 3 × 3 × 512 | 8 × 8 × 512 | ||
| 1 × 1 × 512 | 8 × 8 × 512 | ||
| 3 × 3 × 512 | 8 × 8 × 512 | ||
| 3 × 3 × 512 | 8 × 8 × 512 | ||
| Avapool | Global average pooling layer | 8 × 8 × 512 | 1 × 1 × 512 |
| FC | Fully connected layer | 1 × 1 × 4 | 4 |
| Network Model | Diagnostic Results | Training Time/S | |||
|---|---|---|---|---|---|
| L1 | L2 | L3 | L4 | ||
| VMD-ResNet18 | 100.0% | 100.0% | 100.0% | 100.0% | 121.635 s |
| Fault State | Different Modal Decomposition Methods | |||
|---|---|---|---|---|
| CEEMD | EEMD | EMD | VMD | |
| L1 | 97.92% | 100.0% | 100.0% | 100.0% |
| L2 | 100.0% | 100.0% | 100.0% | 100.0% |
| L3 | 87.50% | 95.83% | 93.75% | 100.0% |
| L4 | 93.75% | 87.50% | 95.83% | 100.0% |
| Accuracy | 94.79% | 95.83% | 97.40% | 100.0% |
| Training time/s | 166.744 s | 137.427 s | 153.226 s | 121.635 s |
| ResNet18 | AlexNet | SqueezeNet | GoogLeNet | |
|---|---|---|---|---|
| Solver Name (Algorithm) | sgdm | sgdm | sgdm | sgdm |
| Initial Learn Rate | 0.00005 | 0.00005 | 0.00005 | 0.00005 |
| Max Epochs | 10 | 10 | 10 | 10 |
| Mini Batch Size | 15 | 15 | 15 | 15 |
| Validation Frequency | 3 | 3 | 3 | 3 |
| Shuffle | Every epoch | Every epoch | Every epoch | Every epoch |
| Execution Environment | GPU | GPU | GPU | GPU |
| Network Model | Accuracy | ||||
|---|---|---|---|---|---|
| RAW DATA | CEEMD | EEMD | EMD | VMD | |
| ResNet18 | 94.27% | 94.79% | 95.83% | 97.39% | 100.0% |
| AlexNet | 88.02% | 69.27% | 79.16% | 78.13% | 95.31% |
| SqueezeNet | 61.97% | 65.10% | 60.41% | 71.35% | 83.85% |
| GoogLeNet | 62.50% | 56.77% | 41.14% | 48.44% | 76.56% |
Publisher’s Note: MDPI stays neutral with regard to jurisdictional claims in published maps and institutional affiliations. |
© 2022 by the authors. Licensee MDPI, Basel, Switzerland. This article is an open access article distributed under the terms and conditions of the Creative Commons Attribution (CC BY) license (https://creativecommons.org/licenses/by/4.0/).
Share and Cite
Bai, H.; Zhan, X.; Yan, H.; Wen, L.; Jia, X. Combination of Optimized Variational Mode Decomposition and Deep Transfer Learning: A Better Fault Diagnosis Approach for Diesel Engines. Electronics 2022, 11, 1969. https://doi.org/10.3390/electronics11131969
Bai H, Zhan X, Yan H, Wen L, Jia X. Combination of Optimized Variational Mode Decomposition and Deep Transfer Learning: A Better Fault Diagnosis Approach for Diesel Engines. Electronics. 2022; 11(13):1969. https://doi.org/10.3390/electronics11131969
Chicago/Turabian StyleBai, Huajun, Xianbiao Zhan, Hao Yan, Liang Wen, and Xisheng Jia. 2022. "Combination of Optimized Variational Mode Decomposition and Deep Transfer Learning: A Better Fault Diagnosis Approach for Diesel Engines" Electronics 11, no. 13: 1969. https://doi.org/10.3390/electronics11131969
APA StyleBai, H., Zhan, X., Yan, H., Wen, L., & Jia, X. (2022). Combination of Optimized Variational Mode Decomposition and Deep Transfer Learning: A Better Fault Diagnosis Approach for Diesel Engines. Electronics, 11(13), 1969. https://doi.org/10.3390/electronics11131969
