Next Article in Journal
A Self-Flux-Biased NanoSQUID with Four NbN-TiN-NbN Nanobridge Josephson Junctions
Previous Article in Journal
Numerical Study on Multiple Arcs in a Pyro-Breaker Based on the Black-Box Arc Model
 
 
Font Type:
Arial Georgia Verdana
Font Size:
Aa Aa Aa
Line Spacing:
Column Width:
Background:
Article

Application of Generator Capacity Design Technique Considering the Operational Characteristics of Container Ships

Division of Marine System Engineering, Korea Maritime and Ocean University, Busan 49112, Korea
*
Author to whom correspondence should be addressed.
Electronics 2022, 11(11), 1703; https://doi.org/10.3390/electronics11111703
Submission received: 22 April 2022 / Revised: 23 May 2022 / Accepted: 25 May 2022 / Published: 26 May 2022
(This article belongs to the Section Power Electronics)

Abstract

:
The advantages of economies of scale in marine logistics and transportation can be obtained by building bigger ships. As ship sizes increase, so do their propulsion systems, requiring that stable and high-efficiency power must continuously be supplied. In general, ships’ operations require power lower than the installed generator capacity. However, when the generator is operated at a low load, its efficiency decreases. In this study, based on actual operation data, the load requirements for each operation mode were analyzed, and a diesel-generator-based power system was designed. We present a generator capacity optimization calculation method through generator capacity. The proposed strategy maximizes the space utilization and efficiency of the ship while minimizing the generator’s power consumption. The generator’s fuel consumption, operating time, and efficiency were compared and analyzed to verify the proposed strategy’s efficacy. In conclusion, the proposed strategy demonstrated the effect of reducing fuel consumption by 2.2%, increasing generator efficiency by 8.4%, and reducing costs by 5.14% compared to the existing onboard generator capacity for the same vessel.

1. Introduction

Shipping is one of the most economical modes of transportation and plays an important role in the global economy. As the container transportation industry has developed over the past 20 years, the size of container ships and the number of containers that they accommodate have increased [1,2,3,4,5]. Accordingly, the construction of bigger ships, which is a confirmed method of reducing container shipping costs, is gradually accelerating [6,7,8]. By building bigger containers ships, advantages such as economies of scale for marine logistics and transportation, reduction of construction costs, and securing competitiveness in the fierce cargo market can be obtained [9,10,11,12]. Otherwise expressed, reduced fuel consumption per unit of distance, and the overall reduction in operating costs due to shortened operation times on regular routes can be anticipated thanks to the trend toward larger container ships. [13,14,15]. However, as the sizes of ships increase, so does the propulsion equipment, and the electrical load of a large ship requires significant rapid fluctuations in supply, leading to voltage and frequency deviations. A common approach for mitigating this is to over-design and maintain spinning reserves. However, this method adds weight, increases costs, and requires additional space [16,17,18,19]. Accordingly, as the size of the engine room increases, the size of the cargo hold decreases. Because the ship is for the transport of cargo, it is essential to design the capacity of the appropriate equipment. The size of the generator that supplies power to the ship is calculated in consideration of the safety margin along with the setting of the maximum usable load [20,21,22,23,24].
Yuan, Y. et al. [25], based on the existing power system, analyzed an actual ship’s experimental data under the conditions of arrival, departure, and normal sailing, and redesigned the solar system of the hybrid power system. Ghenai, C. et al. [26] analyzed the electrical load of Dubai Ferries to optimize the design of an energy system that included solar power, fuel cells, and diesel generators. Ibrahim, S.H.A. et al. [27] designed and optimized a solar system integrated with an existing diesel grid system by comparing four different combinations of hybrid systems. Wu et al. [28] proposed optimal energy management based on a tabu-search-based heuristic control method to reduce fuel cost and obtain a reliable energy system. Bukar, A. et al. [29] applied the meta-heuristic optimization algorithm Grasshopper Optimization Algorithm (GOA) to determine the optimal size of PV/wind power/battery/diesel generators. Aazami, R. et al. [30] determined the capacity of the energy storage systems through a compensation method that reduces power fluctuations and stabilizes the frequency of the system. Leem, J. et al. [31] calculated the optimal generator capacity through the PCF (Polynomial Curve Fitting) value obtained by analyzing the total load data to increase energy efficiency. Jung, S. et al. [32] formulated a merging problem of multi-objective optimization and game theory approach to obtain the optimal capacity of a hybrid system. Deng, S. et al. [33] suggested a PLCB (part-load properties-based) model in which the efficiency of the power generation device changes according to load fluctuations and performed the optimization of the capacity configuration of the energy hub. In calculating the generator’s capacity, the existing calculation method obtains the generation capacity where the maximum load is 80~90% of the total generation capacity. However, present methods do not optimize the generator capacity because this capacity is overestimated for safety reasons.
This study proposes a generator capacity estimation method to obtain high efficiency for large, refrigerated container ships. The novelty of this study is to prevent unnecessary overdesign of the power system and to calculate the generator’s capacity based on the result of analyzing the actual log data and aim for the optimal operation of the diesel generator.
In addition, the number and combination of generators were changed to meet the load requirements that change according to the operating conditions to suggest a strategy. The document is structured as follows. Section 2 provides an overview of the ship’s architecture, loads, and resources. Section 3 derives the GCI (Generator Capacity Index) for estimating the optimal generator capacity after analyzing the characteristics of each operation mode. Section 4 classifies cases according to GCI values and compares the fuel consumption, operating time, and efficiency of generators. Finally, this paper draws a conclusion.

2. Ship Architecture

The subject ship of the present study is a super-large container ship with a size of 13,154 TEU (twenty-foot equivalent unit). The ship can load 1200 FEU (forty-foot equivalent unit) refrigerated containers and consumes approximately 7440 kW of power when operated at the maximum load. Figure 1 shows the power system of the target ship, and Table 1 lists the specifications of the ship.
The power supply of the power system comprises four generators with an installed overall capacity of 15,200 kW. Among the loads on the ship, two bow thrusters that are heavy consumers of approximately 2500 kW of power are installed. The data of the target ship were collected every 10 min after operating for approximately 397 days. The ship’s data that were used are speed, operation mode, rpm of the propulsion engine, required power, and power supplied by the generators. The power consumption of the ship’s load varies according to the operation mode, and the operation mode is generally classified as “At sea”, “Port in/out”, and “In port”.
The ship’s operation mode follows the order of “In port”, “Port in/out”, “At sea”, and “Port in/out”. When “Port in/out” occurs after “In port”, the operation is expressed as “Departure”, and before “Port in/out”, “In port” is expressed as “Arrival”. “At sea mode” occurs after the ship loads cargo from a port and travels to a target port. It operates at a relatively constant speed and takes up most of the voyage time. The power consumption is constant, and the load fluctuation is low. “Port in/out” mode is a process for a ship to anchor in a port at sea, and the speed change is large as the propulsion engine is operated at maneuvering rpm. It consumes the lowest time of operation, and the magnitude and volatility of power consumption are high. In “In port” mode, the propulsion engine is not used. It consumes the lowest load, and the load variability is also low. Figure 2 shows the operating time in each mode.
Figure 3 shows the change in the load and operation mode of the ship according to the time the data were acquired, “0, 1, and 2 modes of the ship” indicate “In port”, “At sea”, and “Port in/out” modes, respectively.
Figure 4 is a graph showing as quartiles the distribution of power consumption during the ship’s operation modes. The horizontal axis of the figure indicates the number of times the operation mode was active during the time the data were acquired.
“At sea” mode was checked 58 times, and power in the range of approximately 1000–3500 kW is required owing to the refrigeration containers. When low numbers of containers are shipped, power use is in the 1500–2000 kW range. “In port” mode was checked 72 times, and power required is in the 1000–1500 kW range, and the load deviation is also small. “Port in/out” mode was checked 129 times, and it requires a high load depending on operations that require heavy power consumption. When heavy consumers are operating, power use is in the 2000–2500 kW range. In general, 1500–3000 kW of power is required, regardless of the mode. Accordingly, it seems appropriate to select the capacity that can operate the generator most efficiently in the 1500–3000 kW range. In addition, when using a heavy consumer, the peak load increases; therefore, the stability of the power supply must be ensured. Figure 5 shows the generator load factor of the collected data.
The load factor of the generator exhibits the highest efficiency at about 80%, and the lower the load factor, the lower the efficiency. However, in the collected data, the load factor of the running generator operated in the 30–60% range at a rate of approximately 52.2%, and the load factor of the generator operating under 30% at a rate of 33.9%. This indicates that the generator actually operates with low efficiency, taking into account excessively the redundancy of the generator capacity. A diesel generator consists of a prime mover that consumes fuel to generate rotational force and a generator that converts rotational force into electric power. Put simply, a generator consumes fuel to produce electricity. Essentially, machine efficiency means output power versus input power; therefore, the input of the generator is the amount of fuel and the output is the amount of power. Equation (1) shows the power (kWh) produced per unit of fuel (g) consumed according to the load factor of the generator.
C L F = 0.0073 × L F 2 1.2081 × L F + 239.4068 ,
where L F (%) is the load factor of the generator, and C L F (g/kWh) represents the fuel consumption of the generator when the current load factor is L F (%).
Figure 6 shows the specification fuel oil consumption curve (SFOC), which plots the consumption according to the load factor of the generator obtained using Equation (1). The SFOC curve shows that the fuel consumption is the lowest in the range of 80–85%.
Accordingly, the power generation efficiency can be obtained using Equation (2).
Efficiency G e n = C 0 C L F C 0 C m i n × 100   [ % ]
where C m i n (g/kWh) is the minimum fuel consumption per output unit, and C 0 (g/kWh) represents the fuel consumption per output unit when the load factor of the generator is 0 (%).
A power management system (PMS) governs the generator operation, and directs the start and stop actions, heavy consumer management, and load distribution. If the load factor of the generator currently in operation is higher than the set load factor of the PMS, the generator is additionally started. At this time, as the number of generators increases, the set load factor increases. Table 2 shows the set load factor according to the number of operating units designated in this study. The load factor can vary depending on the required power and total capacity of the generator in operation.

3. Generator Capacity Index

The subject ship is equipped with the generator of the same capacity; however, to apply the proposed strategy, two sets of generators with different capacities were configured. The GCI value indicates the capacity ratio of the generator; that is, the optimal capacity ratio between two different generators is derived by changing the capacity of the large generator based on that of the small generator. The capacity ratio is based on a generator with a relatively low capacity, and the GCI for a low-capacity generator is expressed as G C I s . This value is always 1. In addition, the GCI of the generator with a relatively high capacity is denoted by G C I b .
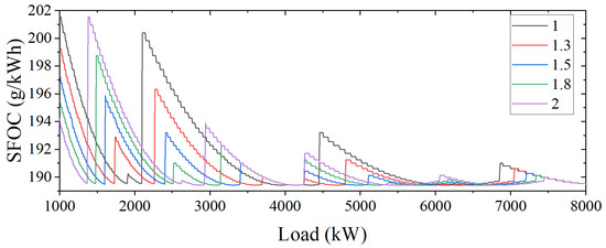
For example, when the total capacity of the generators is set to 10,000 kW, the fuel consumption according to the G C I b value can be obtained as shown in Figure 7. At this time, the load of the ship requires power in the range of 1000–8000 kW.
From Figure 8, it can be seen that the optimal point of SFOC varies according to G C I b . The lower the SFOC, the higher the efficiency. Conversely, the higher the SFOC, the lower the efficiency. Figure 7 shows the efficiency of the generator according to G C I b when the load profile is as shown in Figure 8.
It can be seen that the efficiency is as high as 97.7–98.2% when the value of G C I b is in the range of 1.3–1.8. Moreover, when the value of G C I b is 1.5, the operation combination of the generator is evenly utilized for the required load for it to respond efficiently. Table 3 shows the efficiency of each G C I b as quartiles.
To apply and compare the proposed GCI strategy, a case was set and simulation was performed. At this time, the generators were operated in an optimal combination according to the required load. The optimal combination is the combination that has the lowest fuel consumption for the current demand load among the combinations that can be obtained through the configuration of four generators. The optimal combination can be obtained through the Algorithm 1 below.
Algorithm 1. Find optimal combination of generator is
   Input: Capacity of Each Generator G C 1 , G C 2 , G C 3 , G C 4
    PMS Heavy Load Parameter P M S h e a v y [],
    Demand Load L,
   Output: Optimal combination Comb [OC]
   
   SFOC [] = {}
   Comb [] = { ( G C 1 ) ,   ( G C 2 ) ,   ( G C 3 ) ,   ( G C 4 ) ,   ( G C 1 ,   G C 2 ) ,   ,   ( G C 1 ,   G C 2 , G C 3 ) ,   ,   ( G C 1 , G C 2 , G C 3 , G C 4 ) }
    for i = 1 to len(Comb []) do
     LF = L/( n = 1 l e n ( c o m b   [ i ] ) C o m b   [ i ] [ n ] ) × 100
     If  P M S h e a v y [len(comb [i])] > LF then {
       SFOC [i] = 0.0073 × L F 2 1.2081 × L F + 239.4068
     }
     else {
       SFOC [i] = inf
     }
   OC = Index (SFOC [], minimum(SFOC [])
   
   Return Comb [OC]
Assuming that the median value of the load required in “At sea” mode, which consumes most of the time during the operation of the ship, is L o a d m (kW), the capacity of the small generator is as follows:
G e n s = L o a d m   ÷   0.8
Based on this, the capacity of the generators according to the G C I b values is shown in Table 4. Case 1 is a comparison target that verifies the effectiveness of the proposed strategy with reference to the previously designed strategy. In Case 2, the capacity of the small generator derived from Equation (3) is fixed, and the capacity of the large generator increases according to the G C I b value. Accordingly, the total power of the generator increases for each case. At this time, to supply adequate power to the load of the ship, checking the total capacity of the generator is necessary. The container ship considered in this study is equipped with 1200 FEU (forty-foot equivalent units) of reefer container. In general, each reefer container requires approximately 6.2 kW of power, and because a reefer container is classified as a preference trip, it is not a problem even if the power supply is cut off for a short time. However, if the power supply to the reefer container is cut off for a long time, the temperature of the cargo cannot be guaranteed. Therefore, assuming that the entire reefer container is used in “At sea” mode, which is operated for a relatively long time, the inboard power system should supply stable power. At this time, the required maximum load is 9874 kW, and because the normal continuous rating (NCR) of the generator must meet the maximum load at the 85% point, the total power supplied by the generator needs to be at least 11,616 kW; that is, when classifying the simulation cases, the minimum value of G C I b is 1.3.

4. Simulation

The simulation yields the fuel consumption (tons), generator operation time (hours), and efficiency (%) for each case. The simulation satisfies the following conditions:
(1)
The generator is always operated in a combination that can satisfy the optimum SFOC.
(2)
Fuel consumption by idle running of the generator is not considered
(3)
Idle running of the generator is not included in the operation time of the generator.
(4)
The load factor of the generator does not exceed the set load factor.
(5)
The load profile considered in the simulation uses actual ship operation data, and the time interval is 10 min.
Figure 9 illustrates the simulation procedure of this study. The simulation environment was configured in NI’s Labview, and the fuel consumption and efficiency of the generator were calculated based on the required load/demand, which was the input data in the simulation, and the total cost was derived.

4.1. Fuel Consumption

First, the fuel consumption by case is listed in Table 5. According to the table, there is no significant difference between the fuel consumption in the “Port in/out” and “In port” modes because the operating time is short; however, consumption in “At sea” mode determines the difference in total fuel consumption.
For the required load in the “At sea” mode, every case has a combination of one small generator and one large generator. Accordingly, as the G C I b value increases, the total generator capacity increases, and the operating load factor decreases. On comparing the previously designed capacity and fuel consumption for all the operation modes, the smaller the G C I b , the lower the fuel consumption. In the “At sea” mode, compared to the existing capacity, fuel consumption reduced from a minimum of 12 tons to a maximum of 53 tons according to G C I b . This is because the fuel consumption increases as the G C I b value increases; that is, the capacity of the generator increases, and the load factor decreases according to the rated output, resulting in low-load operation. In the “Port in/out” mode, fuel was reduced from a minimum of 4 tons to a maximum of 7 tons. In the “In port” mode, fuel savings of approximately 20 tons from Cases 2 to 6 were confirmed.

4.2. Efficiency

Efficiency for each case was derived based on Equation (3). Figure 10 shows the power generation efficiency for each case, and Table 6 shows the quartile of the efficiency for each case.
On comparing the previously designed capacity and efficiency for all the operation modes, the smaller the G C I b among the cases, the higher the efficiency. In the “At sea” mode, the efficiency increased from a minimum of 3.1% to a maximum of 8.4% according to G C I b compared to the existing capacity. This is because the efficiency decreases as G C I b increases; that is, the higher the generator capacity, the lower the load factor according to the rated output, and consequently the fuel consumption increases. In the “Port in/out” mode, the efficiency increased from 16.8% to 17.3%. Here, the reason for only 0.5% difference depending on the G C I b value is that the capacity of the small generator had already been optimized via load analysis. In the “In port” mode, efficiency improvement was obtained from a minimum of 4.5% to a maximum of 8%.

4.3. Total Cost

The more balanced the operation time of each of the four generators installed on the ship, the better. This is because the longer the operating time of the generator, the shorter its life span. If operations are biased toward one generator, maintenance becomes difficult; that is, as the total operating time of one generator increases, the maintenance cycle accelerates and the maintenance costs increase. Table 7 lists the operating times of the small generator and large generator during the simulation. In Case 1, the operating time of the two generators is assumed to be the same because they generate the same power in this case.
In addition, the total cost owing to the fuel consumption and the operating hours of each generator can be confirmed from Table 8. The cost of diesel fuel is 1000 USD/ton, and the lifetime of the generator is set to 15,000 (h). The capital and replacement costs are 300 USD/kW, and the operation and maintenance cost is 0.01 USD/h. Comparing the costs based on the generator capacity, we saved up to USD 230,000 compared to the existing design in 397 days. Case 6 saved 2.41%, and Case 2 saved 5.14% cost.

5. Conclusions

In this study, we presented a method for estimating the generator capacity to ensure high efficiency based on the demands of large refrigerated-container ships. First, to calculate the generator capacity, the characteristics of each operation mode were analyzed through the actual load profile data of the ship. The time ratio and power demand range for each operation mode were confirmed as quartiles of the power data for each operation mode. From the data analysis, the “At sea” mode was operated at the highest rate, and the “Port in/out” mode was operated at the lowest rate, while the required power range of each mode was the widest in the “Port in/out” mode, and the range of use was relatively narrow in the other modes. Based on this, the capacity of the small generator was calculated for the load factor of the small generator to be 80% of the median value of the required load in the “At sea” mode. To define the GCI and calculate the appropriate GCI, the efficiencies of large generators were compared based on their capacities. Following the comparison, rather than installing four generators with the same capacity, because the ratio of the two generator sets was different, the generator combination became diverse, and the efficiency increased. However, the efficiency was somewhat reduced by calculating the large generator as having twice the capacity of the small generator.
Accordingly, an appropriate capacity ratio of two generators with different capacities is required. Among the previously compared G C I b values, the one with high efficiency was selected and classified into six cases for simulation. In addition, the fuel consumption, operating time, and efficiency of the generators were compared in consideration of the set load factor and optimal combination of the PMS. We confirmed through the experiment that because the value of G C I b was small, the effect of reducing fuel consumption, increasing efficiency, and reducing the cost of the generator was remarkable. This is because the capacity of the small generator was optimized through the load analysis. In conclusion, the proposed strategy found an optimal configuration for the onboard generator capacity of the subject ship. This paper presents a method of optimizing generator capacity for a representative container ship that is currently in the trend of enlargement. The proposed strategy is simple, so it is expected that it will be applicable to various types of ships that will become larger in the future.

Author Contributions

Conceptualization, Methodology, Software, Validation, Data curation, Writing—original draft preparation, review and editing, J.-H.L. and J.-H.O.; Project administration, Funding acquisition, J.-S.O. All authors have read and agreed to the published version of the manuscript.

Funding

This work was supported by the Ministry of Education of the Republic of Korea and the National Research Foundation of Korea (NRF-2018R1D1A1B07049361).

Conflicts of Interest

The author declares no conflict of interest.

References

  1. Yahalom, S.Z.; Guan, C. Baseline sea time for containership liner service: A new method to evaluate voyage time efficiency and performance. Marit. Transp. Res. 2022, 3, 100051. [Google Scholar] [CrossRef]
  2. Pang, K.; Lu, C.-S.; Shang, K.-C.; Weng, H.-K. An empirical investigation of green shipping practices, corporate reputation and organisational performance in container shipping. Int. J. Shipp. Transp. Logist. 2021, 13, 422–444. [Google Scholar] [CrossRef]
  3. Abdulahi, E.W.; Fan, L. Exploring and Validating Container Operational Risk Scale in Container Shipping: The Case of Ethiopian Shipping and Logistics Service Enterprise. Sustainability 2021, 13, 9248. [Google Scholar] [CrossRef]
  4. Czermański, E.; Cirella, G.T.; Oniszczuk-Jastrząbek, A.; Pawłowska, B.; Notteboom, T. An energy consumption approach to estimate air emission reductions in container shipping. Energies 2021, 14, 278. [Google Scholar] [CrossRef]
  5. Wang, Y.; Meng, Q. Integrated method for forecasting container slot booking in intercontinental liner shipping service. Flex. Serv. Manuf. J. 2019, 31, 653–674. [Google Scholar] [CrossRef]
  6. Nguyen, S.; Chen, P.S.-L.; Du, Y. Container shipping operational risks: An overview of assessment and analysis. Marit. Policy Manag. 2021, 49, 1875142. [Google Scholar] [CrossRef]
  7. Kim, K. Characteristics of Economic and Environmental Benefits of Shore Power Use by Container-Ship Size. J. Mar. Sci. Eng. 2022, 10, 622. [Google Scholar] [CrossRef]
  8. Son, W.-J.; Cho, I.-S. Analysis of Trends in Mega-Sized Container Ships Using the K-Means Clustering Algorithm. Appl. Sci. 2022, 12, 2115. [Google Scholar] [CrossRef]
  9. Sánchez, R.J.; Perrotti, D.E.; Gomez Paz Fort, A. Looking into the future ten years later: Big full containerships and their arrival to south American ports. J. Shipp. Trade 2021, 6, 2. [Google Scholar] [CrossRef]
  10. Prokopowicz, A.K.; Berg-Andreassen, J. An evaluation of current trends in container shipping industry, very large container ships (VLCSs), and port capacities to accommodate TTIP increased trade. Transp. Res. Procedia 2016, 14, 2910–2919. [Google Scholar] [CrossRef] [Green Version]
  11. Vladimir, N.; Ančić, I.; Šestan, A. Effect of ship size on EEDI requirements for large container ships. J. Mar. Sci. Technol. 2018, 23, 42–51. [Google Scholar] [CrossRef]
  12. Abdallahaijjou, L.B.; Raihani, A. Study on container ship energy consumption. Energy Sustain. VIII 2019, 237, 25. [Google Scholar]
  13. Cullinane, K.; Khanna, M. Economies of scale in large container ships. J. Transp. Econ. Policy 1999, 33, 185–207. [Google Scholar]
  14. Cullinane, K.; Khanna, M. Economies of scale in large containerships: Optimal size and geographical implications. J. Transp. Geogr. 2000, 8, 181–195. [Google Scholar] [CrossRef]
  15. Hsu, C.-I.; Hsieh, Y.-P. Shipping economic analysis for ultra large containership. J. East. Asia Soc. Transp. Stud. 2005, 6, 936–951. [Google Scholar]
  16. Merk, O.; Busquet, B.; Aronietis, R. The impact of mega-ships. In Proceedings of the International Transport Forum Statistical Meeting OECD, Paris, France, 1–2 April 2015. [Google Scholar]
  17. Mindykowski, J.; Tarasiuk, T.; Gnaciński, P. Review of Legal Aspects of Electrical Power Quality in Ship Systems in the Wake of the Novelisation and Implementation of IACS Rules and Requirement. Energies 2021, 14, 3151. [Google Scholar] [CrossRef]
  18. Chalfant, J.S.; Chryssostomidis, C. Analysis of various all-electric-ship electrical distribution system topologies. In Proceedings of the 2011 IEEE Electric Ship Technologies Symposium, Alexandria, VA, USA, 10–13 April 2011; pp. 72–77. [Google Scholar]
  19. Mindykowski, J. Case study—Based overview of some contemporary challenges to power quality in ship systems. Inventions 2016, 1, 12. [Google Scholar] [CrossRef] [Green Version]
  20. Sulligoi, G.; Vicenzutti, A.; Tironi, E.; Corti, M.; Lamedica, R.; Ruvio, A.; Lipardi, G.; Piva, L. Naval smart grid: Integrated power system for all electric naval vessels with control and reliability characteristics. In Proceedings of the 2014 AEIT Annual Conference-From Research to Industry: The Need for a More Effective Technology Transfer (AEIT), Trieste, Italy, 18–19 September 2014; pp. 1–6. [Google Scholar]
  21. Wenninger, M.; Tolgos, S. LNG Carrier Power, Total Fuel Flexibility & Maintainability with 51/60DF Electric Propulsion; Man Diesel: Augsburg, Germany, 2008. [Google Scholar]
  22. Yang, R.; Yuan, Y.; Ying, R.; Shen, B.; Long, T. A novel energy management strategy for a ship’s hybrid solar energy generation system using a particle swarm optimization algorithm. Energies 2020, 13, 1380. [Google Scholar] [CrossRef] [Green Version]
  23. Lan, H.; Wen, S.; Hong, Y.-Y.; David, C.Y.; Zhang, L. Optimal sizing of hybrid PV/diesel/battery in ship power system. Appl. Energy 2015, 158, 26–34. [Google Scholar] [CrossRef] [Green Version]
  24. Wen, S.; Lan, H.; Yu, D.C.; Fu, Q.; Hong, Y.-Y.; Yu, L.; Yang, R. Optimal sizing of hybrid energy storage sub-systems in PV/diesel ship power system using frequency analysis. Energy 2017, 140, 198–208. [Google Scholar] [CrossRef]
  25. Yuan, Y.; Wang, J.; Yan, X.; Li, Q.; Long, T. A design and experimental investigation of a large-scale solar energy/diesel generator powered hybrid ship. Energy 2018, 165, 965–978. [Google Scholar] [CrossRef]
  26. Ghenai, C.; Al-Ani, I.; Khalifeh, F.; Alamaari, T.; Hamid, A.K. Design of solar PV/fuel cell/diesel generator energy system for Dubai ferry. In Proceedings of the 2019 Advances in Science and Engineering Technology International Conferences (ASET), Jeju, Korea, 16–18 October 2019; pp. 1–5. [Google Scholar]
  27. Ibrahim, S.H.A.; Agab, E.; Shukri, M. Design and analysis of PV-Diesel hybri d power system case study Sudan, El Daein (East Darfur). Int. J. Eng. Res. Gen. Sci. 2020, 8, 56–65. [Google Scholar]
  28. Wu, B.; Maleki, A.; Pourfayaz, F.; Rosen, M.A. Optimal design of stand-alone reverse osmosis desalination driven by a photovoltaic and diesel generator hybrid system. Sol. Energy 2018, 163, 91–103. [Google Scholar] [CrossRef]
  29. Bukar, A.L.; Tan, C.W.; Lau, K.Y. Optimal sizing of an autonomous photovoltaic/wind/battery/diesel generator microgrid using grasshopper optimization algorithm. Sol. Energy 2019, 188, 685–696. [Google Scholar] [CrossRef]
  30. Aazami, R.; Heydari, O.; Tavoosi, J.; Shirkhani, M.; Mohammadzadeh, A.; Mosavi, A. Optimal Control of an Energy-Storage System in a Microgrid for Reducing Wind-Power Fluctuations. Sustainability 2022, 14, 6183. [Google Scholar] [CrossRef]
  31. Leem, J.; Park, J.-W.; Lee, H.-J. A Study of the Method for Calculating the Optimal Generator Capacity of a Ship Based on LNG Carrier Operation Data. Electronics 2021, 10, 258. [Google Scholar] [CrossRef]
  32. Jung, S.; Kim, D. Pareto-Efficient Capacity Planning for Residential Photovoltaic Generation and Energy Storage with Demand-Side Load Management. Energies 2017, 10, 426. [Google Scholar] [CrossRef] [Green Version]
  33. Deng, S.; Wu, Q.; Jing, Z.; Wu, L.; Wei, F.; Zhou, X. Optimal Capacity Configuration for Energy Hubs Considering Part-Load Characteristics of Generation Units. Energies 2017, 10, 1966. [Google Scholar] [CrossRef] [Green Version]
Figure 1. Power system of the target container ship.
Figure 1. Power system of the target container ship.
Electronics 11 01703 g001
Figure 2. Operation time in each mode.
Figure 2. Operation time in each mode.
Electronics 11 01703 g002
Figure 3. Electric load consumption and ship’s operation mode.
Figure 3. Electric load consumption and ship’s operation mode.
Electronics 11 01703 g003
Figure 4. Box plot of electric load consumption in each mode.
Figure 4. Box plot of electric load consumption in each mode.
Electronics 11 01703 g004
Figure 5. Generator load factor and efficiency during operation.
Figure 5. Generator load factor and efficiency during operation.
Electronics 11 01703 g005
Figure 6. Specification fuel oil consumption curve (SFOC).
Figure 6. Specification fuel oil consumption curve (SFOC).
Electronics 11 01703 g006
Figure 7. Efficiency change according to G C I b value.
Figure 7. Efficiency change according to G C I b value.
Electronics 11 01703 g007
Figure 8. SFOC according to G C I b value.
Figure 8. SFOC according to G C I b value.
Electronics 11 01703 g008
Figure 9. Simulation procedure.
Figure 9. Simulation procedure.
Electronics 11 01703 g009
Figure 10. Generator efficiency in each case.
Figure 10. Generator efficiency in each case.
Electronics 11 01703 g010
Table 1. Specifications of the target ship.
Table 1. Specifications of the target ship.
TypeContentsUnit
Type of shipContainer Ship-
Length365m
Width48m
Draft10.8m
Engine power79,106BHP
Number of generators4-
Capacity of generator3800kW
Number of generator cylinder8-
Speed23Knots
TEU13,154TEU
Number of bow thrusters2-
Capacity of bow thrusters2500kW
Table 2. Parameters of the heavy load algorithm.
Table 2. Parameters of the heavy load algorithm.
Number of Running GeneratorsLoad Factor Value (%)
180
285
390
4-
Table 3. Distribution of efficiency with G C I b changes.
Table 3. Distribution of efficiency with G C I b changes.
C a p a c i t y s (kW) C a p a c i t y s (kW) G C I b 0% (%)25% (%)50% (%)75% (%)Average (%)
25002500173.392.497.699.494.6
238126191.175.894.998.599.796.0
227327271.278.196.498.999.897.0
217428261.380.397.299.399.897.7
208329171.484.398.399.499.898.2
200030001.584.398.399.499.898.2
192330771.684.398.099.499.898.1
185231481.781.397.699.499.898.0
178632141.878.197.299.399.897.7
172432761.975.896.899.399.897.3
166733332.073.396.499.199.896.9
Table 4. Generator capacity by case.
Table 4. Generator capacity by case.
Case G C I s G C I b C a p a c i t y s (kW) C a p a c i t y b (kW) C a p a c i t y t o t a l (kW)
1113800380015,200
21.32600338011,960
31.4364012,480
41.5390013,000
51.6416013,520
61.7442014,040
Table 5. Generators’ fuel consumption in each case.
Table 5. Generators’ fuel consumption in each case.
Case“At Sea” (Tons)“Port In/Out” (Tons)“In Port” (Tons)Total (Tons)
12821.667427.0188512.82323761.509
22768.796419.7182491.93063680.445
32775.097419.8671492.17783687.142
42785.058420.4933492.45363698.005
52796.184421.8407492.74293710.768
62808.926423.4083493.02793725.363
Table 6. Generator efficiency in each case.
Table 6. Generator efficiency in each case.
CaseModeAverage25%50%75%MinimumMaximum
1At sea87.581.390.393.734.999.9
Port In/out65.256.263.872.028.999.6
In port87.581.389.595.449.6100
2At sea95.994.396.498.349.699.9
Port In/out82.574.583.490.342.599.8
In port95.593.796.898.968.1100.0
3At sea95.093.195.497.249.699.9
Port In/out82.474.583.490.342.599.8
In port95.292.495.998.368.1100.0
4At sea93.791.193.796.449.699.9
Port In/out82.374.583.489.642.599.8
In port94.591.895.498.368.1100.0
5At sea92.288.892.495.949.699.9
Port In/out82.174.583.489.642.599.8
In port93.389.693.798.068.1100.0
6At sea90.686.290.395.949.699.9
Port In/out82.074.582.488.842.599.8
In port92.087.192.497.668.1100.0
Table 7. Generator running hours in each case.
Table 7. Generator running hours in each case.
CaseRunning Hours of G e n s (Hours)Running Hours of G e n b (Hours)Total (Hours)
19788.69788.6
25960.54204.710,165.2
35432.84466.79899.5
451094626.89735.8
54829.24765.29594.4
64783.84787.39571.1
Table 8. Total cost in each case.
Table 8. Total cost in each case.
CaseFuel Cost (USD)Operation Cost of G e n s (USD)Replacement Cost of G e n s (USD)Operation Cost of G e n b (USD)Replacement Cost of G e n b (USD)Total Cost (USD)
13,761,5091860371,9671860371,9674,509,162
23,680,4451550309,9461421284,2384,277,600
33,687,1421413282,5061626325,1764,297,862
43,698,0051328265,6681804360,8904,327,696
53,710,7681256251,1181982396,4654,361,589
63,725,3631244248,7582116423,1974,400,678
Publisher’s Note: MDPI stays neutral with regard to jurisdictional claims in published maps and institutional affiliations.

Share and Cite

MDPI and ACS Style

Lee, J.-H.; Oh, J.-H.; Oh, J.-S. Application of Generator Capacity Design Technique Considering the Operational Characteristics of Container Ships. Electronics 2022, 11, 1703. https://doi.org/10.3390/electronics11111703

AMA Style

Lee J-H, Oh J-H, Oh J-S. Application of Generator Capacity Design Technique Considering the Operational Characteristics of Container Ships. Electronics. 2022; 11(11):1703. https://doi.org/10.3390/electronics11111703

Chicago/Turabian Style

Lee, Jong-Hak, Ji-Hyun Oh, and Jin-Seok Oh. 2022. "Application of Generator Capacity Design Technique Considering the Operational Characteristics of Container Ships" Electronics 11, no. 11: 1703. https://doi.org/10.3390/electronics11111703

APA Style

Lee, J.-H., Oh, J.-H., & Oh, J.-S. (2022). Application of Generator Capacity Design Technique Considering the Operational Characteristics of Container Ships. Electronics, 11(11), 1703. https://doi.org/10.3390/electronics11111703

Note that from the first issue of 2016, this journal uses article numbers instead of page numbers. See further details here.

Article Metrics

Back to TopTop