Infrared Small-Target Detection Using Multiscale Local Average Gray Difference Measure
Abstract
:1. Introduction
2. Methodology
2.1. Local Average Gray Difference Measure
2.2. Multiscale LAGDM Map
| Algorithm 1: Multiscale LAGDM Map |
| Input: Given Image. Output: 1. Define the scale set of the central patch: l 2. for l = l1: lmax do 3. for i = 1: rows do 4. for j = 1: cols do 5. Compute LAGDM (i, j, l) according to Equation (3) 6. end for 7. end for |
| Algorithm 2: Fast Calculation Process of LAGDM Map |
| Input: Given Image Output: 1. Compute the Gaussian matrix , 3. |
2.3. LAGDM-Based Small-Target Detection
3. Experiments
3.1. Evaluation Metrics
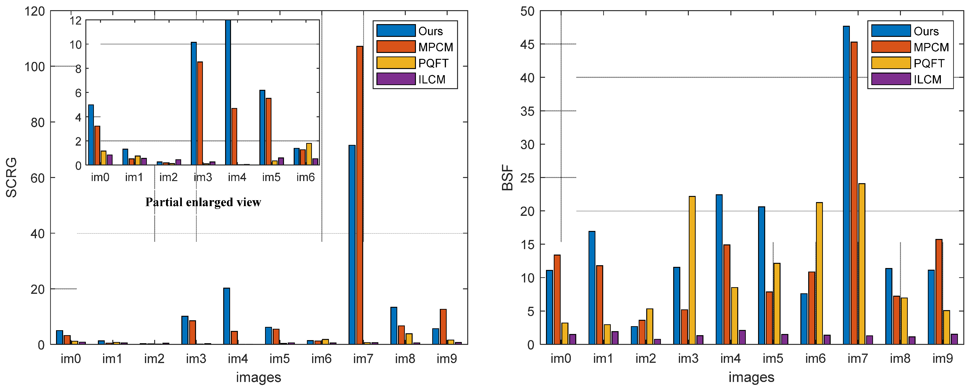
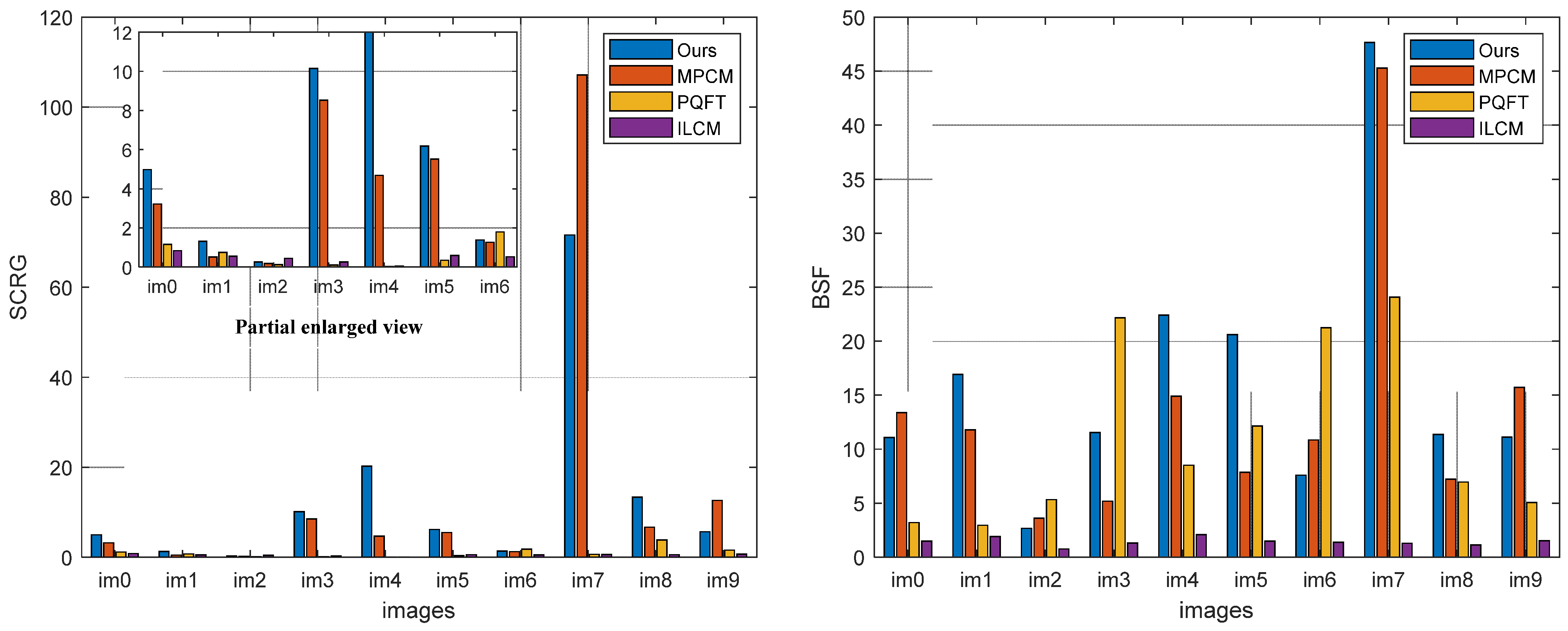
3.2. Enhancement Performance
3.3. Detection Performance
3.4. Computational Complexity
4. Conclusions
Author Contributions
Funding
Conflicts of Interest
References
- Bi, Y.G.; Bai, X.Z.; Jin, T.; Guo, S. Multiple Feature Analysis for Infrared Small Target Detection. IEEE Geosci. Remote Sens. Lett. 2017, 14, 1333–1337. [Google Scholar] [CrossRef]
- Zhang, B.H.; Zhu, J.; Lu, X.; Gu, Y.; Li, J.; Liu, X.; Zhang, M. An infrared dim target detection algorithm based on density peak search and region consistency. Opt. Quantum Electron. 2021, 53, 396. [Google Scholar] [CrossRef]
- Gao, J.Y.; Guo, Y.L.; Lin, Z.P.; An, W.; Li, J. Robust Infrared Small Target Detection Using Multiscale Gray and Variance Difference Measures. IEEE J. Sel. Top. Appl. Earth Obs. Remote Sens. 2018, 11, 5039–5052. [Google Scholar] [CrossRef]
- McIntosh, B.; Venkataramanan, S.; Mahalanobis, A. Infrared Target Detection in Cluttered Environments by Maximization of a Target to Clutter Ratio (TCR) Metric Using a Convolutional Neural Network. IEEE Trans. Aerosp. Electron. Syst. 2021, 57, 485–496. [Google Scholar] [CrossRef]
- Deng, H.; Sun, X.P.; Zhou, X. A Multiscale Fuzzy Metric for De-tecting Small Infrared Targets Against Chaotic Cloudy/Sea-Sky Back-grounds. IEEE Trans. Cybern. 2019, 49, 1694–1707. [Google Scholar] [CrossRef]
- Li, Y.; Song, Y.; Zhao, Y.; Zhao, S.; Li, X.; Li, L.; Tang, S. An infrared target detection algorithm based on lateral inhibition and singular value decomposition. J. Infrared Millim. Terahertz Waves 2017, 85, 238–245. [Google Scholar] [CrossRef]
- Kim, S.; Yang, Y.Y.; Lee, J.; Park, Y. Small Target Detection Utilizing Robust Methods of the Human Visual System for IRST. J. Infrared Millim. Terahertz Waves 2009, 30, 994–1011. [Google Scholar] [CrossRef]
- Wang, X.; Lv, G.F.; Xu, L.Z. Infrared dim target detection based on visual attention. Infrared Phys. Technol. 2012, 55, 513–521. [Google Scholar] [CrossRef]
- Bai, X.Z.; Zhou, F.G. Analysis of new top-hat transformation and the application for infrared dim small target detection. Pattern Recogn. 2010, 43, 2145–2156. [Google Scholar] [CrossRef]
- Deshpande, S.D.; Meng, H.E.; Ronda, V.; Chan, P. Max-Mean and Max-Median Filters for Detection of Small-Targets. In Proceedings of the SPIE—The International Society for Optical Engineering, Denver, CO, USA, 18–23 July 1999; Volume 3809. [Google Scholar]
- Qi, S.X.; Ma, J.; Li, H.; Zhang, S.P.; Tian, J.W. Infrared small target enhancement via phase spectrum of Quaternion Fourier Transform. Infrared Phys. Technol. 2014, 62, 50–58. [Google Scholar] [CrossRef]
- Chen, C.L.P.; Li, H.; Wei, Y.T.; Xia, T.; Tang, Y.Y. A Local Contrast Method for Small Infrared Target Detection. IEEE Trans. Geosci. Remote Sens. 2014, 52, 574–581. [Google Scholar] [CrossRef]
- Han, J.H.; Ma, Y.; Zhou, B.; Fan, F.; Liang, K.; Fang, Y. A Robust Infrared Small Target Detection Algorithm Based on Human Visual System. IEEE Geosci. Remote Sens. Lett. 2014, 11, 2168–2172. [Google Scholar] [CrossRef]
- Wei, Y.T.; You, X.G.; Li, H. Multiscale patch-based contrast measure for small infrared target detection. Pattern Recogn. 2016, 58, 216–226. [Google Scholar] [CrossRef]
- Deng, H.; Sun, X.P.; Liu, M.L.; Ye, C.H.; Zhou, X. Small Infrared Target Detection Based on Weighted Local Difference Measure. IEEE Trans. Geosci. Remote Sens. 2016, 54, 4204–4214. [Google Scholar] [CrossRef]
- Han, J.H.; Liang, K.; Zhou, B.; Zhu, X.Y.; Zhao, J.; Zhao, L.L. Infrared Small Target Detection Utilizing the Multiscale Relative Local Contrast Measure. IEEE Geosci. Remote Sens. Lett. 2018, 15, 612–616. [Google Scholar] [CrossRef]
- Xia, C.Q.; Li, X.R.; Zhao, L.Y.; Shu, R. Infrared Small Target Detec-tion Based on Multiscale Local Contrast Measure Using Local Energy Factor. IEEE Geosci. Remote Sens. Lett. 2020, 17, 157–161. [Google Scholar] [CrossRef]
- Deng, H.; Sun, X.P.; Liu, M.L.; Ye, C.H.; Zhou, X. Infrared Small-Target Detection Using Multiscale Gray Difference Weighted Image Entropy. IEEE Trans. Aerosp. Electron. Syst. 2016, 52, 60–72. [Google Scholar] [CrossRef]
- Aghaziyarati, S.; Moradi, S.; Talebi, H. Small infrared target detection using absolute average difference weighted by cumulative directional derivatives. Infrared Phys. Technol. 2019, 101, 78–87. [Google Scholar] [CrossRef]
- Gao, C.Q.; Wang, L.; Xiao, Y.X.; Zhao, Q.; Meng, D.Y. Infrared small-dim target detection based on Markov random field guided noise modeling. Pattern Recogn. 2018, 76, 463–475. [Google Scholar] [CrossRef]
- Davis, J.; Goadrich, M. The relationship between Precision-Recall and ROC curves. In Proceedings of the 23rd international conference on Machine learning, Pittsburgh, PA, USA, 25–29 June 2006. [Google Scholar] [CrossRef] [Green Version]
- Han, J.H.; Moradi, S.; Faramarzi, I.; Liu, C.Y.; Zhang, H.H.; Zhao, Q. A Local Contrast Method for Infrared Small-Target Detection Utilizing a Tri-Layer Window. IEEE Geosci. Remote Sens. Lett. 2020, 17, 1822–1826. [Google Scholar] [CrossRef]
- Moradi, S.; Moallem, P.; Sabahi, M.F. Fast and robust small infrared target detection using absolute directional mean difference algorithm. Signal Process. 2020, 177, 107727. [Google Scholar] [CrossRef]









| Image Size | 256 × 256 | 256 × 320 | 368 × 267 | 640 × 512 | |
|---|---|---|---|---|---|
| l | 3 × 3 | 9.605 | 10.740 | 41.900 | 12.804 |
| 5 × 5 | 17.470 | 20.450 | 94.667 | 23.274 | |
| 7 × 7 | 24.836 | 32.244 | 157.748 | 41.641 | |
| 9 × 9 | 40.135 | 49.737 | 230.289 | 61.626 | |
Publisher’s Note: MDPI stays neutral with regard to jurisdictional claims in published maps and institutional affiliations. |
© 2022 by the authors. Licensee MDPI, Basel, Switzerland. This article is an open access article distributed under the terms and conditions of the Creative Commons Attribution (CC BY) license (https://creativecommons.org/licenses/by/4.0/).
Share and Cite
Xie, F.; Dong, M.; Wang, X.; Yan, J. Infrared Small-Target Detection Using Multiscale Local Average Gray Difference Measure. Electronics 2022, 11, 1547. https://doi.org/10.3390/electronics11101547
Xie F, Dong M, Wang X, Yan J. Infrared Small-Target Detection Using Multiscale Local Average Gray Difference Measure. Electronics. 2022; 11(10):1547. https://doi.org/10.3390/electronics11101547
Chicago/Turabian StyleXie, Feng, Minzhou Dong, Xiaotian Wang, and Jie Yan. 2022. "Infrared Small-Target Detection Using Multiscale Local Average Gray Difference Measure" Electronics 11, no. 10: 1547. https://doi.org/10.3390/electronics11101547
APA StyleXie, F., Dong, M., Wang, X., & Yan, J. (2022). Infrared Small-Target Detection Using Multiscale Local Average Gray Difference Measure. Electronics, 11(10), 1547. https://doi.org/10.3390/electronics11101547
