On the Performance of UAV-Aided Content Caching in Small-Cell Networks with Joint Transmission
Abstract
1. Introduction
- The cache hit probability is derived, from which a significant enhancement can be observed compared with the tranditional small-cell networks with ST, contributed by the good SINR from the JT among SBSs and the good propagation environment of UAVs. It is notable that a very low density of UAVs could bring a significant improvement, which makes this scheme more practical.
- The content transmission rate is also derived, where the different resource allocated to users served by JT and single transmission (ST) is considered. An adjustable parameter based on SNR is introduced to control the radius of ST, which shows a tradeoff between cache hit probability and content transmission rate. Moreover, the optimal caching strategy is investigated in the scenario where each user is served by K SBSs. The content’s optimal caching probability is obtained through an approximated closed-form of the cache hit probability, which is proportional to the -th root of the request probability.
- A high density of UAVs will in fact degrade the cache hit probability, due to the severe interference caused by UAVs’ good transmission conditions. On the other hand, considering the limited radio resource used by low-density UAVs, caching the top popular files may lead to an over-loaded situation.
2. System Model
2.1. Network Model
2.2. Channel Model
2.3. Caching Model
3. The Proposed Service Scheme
3.1. SBS Joint Transmission Scheme
3.2. UAV Serving Scheme
- : After the flying with the maximum time T, the horizontal distance between the UAV and the user is , which is still larger than D.
- : Within the time T, the UAV reaches the predetermined distance D. Hence, .
- : Since the horizontal distance is less than D, the UAV directly transmits data to the user without extra flying. Hence, .
4. Analysis on Cached Small-Cells with Joint Transmissions
4.1. SINR from K SBSs with JT Scheme
4.2. Cache Hit Probability Achieved from Cached SBSs
4.3. Transmission Rate Achieved from Cached SBSs
4.3.1. Average Number of Users Associated with an SBS
4.3.2. Transmission Rate from SBSs
5. Analysis on Cached UAVs
5.1. SINR from UAV
5.2. Cache Hit Probability Achieved Using Cached UAVs
5.3. Transmission Rate Achieved Using Cached UAV
6. Performance of UAV-Aided Small-Cell Caching Networks and Optimization
6.1. Caching Performance Achieved
6.1.1. Average Cache Hit Probability
6.1.2. Ergodic Transmission Rate
6.2. Discussion on Optimal Caching Strategy
6.2.1. Optimal Caching Strategy in SBSs
6.2.2. Optimal Caching Strategy in UAVs
7. Simulation Results
7.1. Performance Improvement of UAV-Aided
7.2. Performance of SBS Caching with JT Scheme
- The average cache hit probability increases with the growth of in all the scenarios. As increases, more users will be served by JT, which results in a stronger received signal power and hence an enhancement of caching performance, .
- Interestingly, from the figure, increasing the density of SBSs does not bring any performance improvement but degrades the cache hit probability in many scenarios, which is counterintuitive. The reason behind this phenomenon lies in the ST range determined by the adjustable parameter . As the SBS density grows, the probability of users located inside the range and using ST increase, as shown in Equation (12). Hence, from the perspective of the cache hit probability, the lower averaged SINR performance due to fewer users served by JT leads to the degradation of .
- Moreover, we can see that the impacts of the adjustable parameter and the SBS density are more obvious with a larger Zipf exponent. As we have known, a larger exponent means a more unevenly distributed file request probability. With the default caching strategy, , the more uneven one yields a more skewed cache hit probability due to the larger weight of several popular files. On the other hand, this disparity of weights will enlarge the performance impact brought by other factors.
- Firstly, from the figure, we can see that although the average cache hit probability decreases as the SBS density grows, the average transmission rate increases with the increase in . The main reason lies in the more spectrum resources per area, although the SINR performance of users not served by JT degrades due to the growth of aggregate interference. The fewer users served by one SBS, the more bandwidth offered for each user.
- Secondly, both the cache hit probability and the transmission rate with the adjustable parameter dB are better than that with dB. With a smaller ST range set by 30 dB, more users can enjoy the JT operation, which results in the improvement of SINR. Note that the more users served by JT, the more cost in backhaul and signaling due to the operation complexity of JT.
- Thirdly, to balance the performance of the user’s cache hit probability and transmission rate achieved, the density of SBSs has to be carefully chosen. If the SBS density is extremely high, a careful adjustment of is another way to avoid the decline of the cache hit probability.
- Generally speaking, all the curves share a similar trend: the increase in comes after a slight decrease regime. As grows, the ST range declines. In this process, the users located at the cell edge are served by JT at the beginning, then the users at a medium distance, and last, the users near the cell center join in as well. Note that the users served by JT will receive more spectrum resources than ST users. Compared with cell-center users, the cell-edge users have worse SINR performance due to long-serving distance. Therefore, the more spectrum resource of the network allocated to these poor-SINR users, the worse overall rate of the network, although the performance of these users is enhanced and the fairness is improved. This is the reason for the decreasing regime of average transmission rate.
- More importantly, we can see from the figure that the enhancement of the average transmission rate brought by the growth of adjustable parameter is not notable, especially in the scenarios with low user density or SBS density. However, it should be noted that the growth of leads to more users served by a JT scheme with a higher operational expense.
- A larger user density leads to a smaller piece of resource allocated to each user, and results in a lower average transmission rate for the typical user. Meanwhile, a larger SBS density means more spectrum resources per area can be used, and hence a better performance of the network.
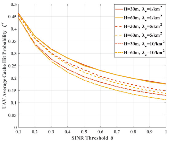
7.3. Performance Analysis of UAV Caching
- Firstly, with the increase in the UAVs’ density, the average cache hit probability generally decreases. The reason is the good propagation environment of UAVs. That is, when the UAVs become denser, the aggregated interference grows even faster than the signal power due to the slowly decaying interference caused by the good propagation environment. Similar results have also been reported in [26].
- Secondly, from the figure, it can be observed that the smaller value of D, the better cache hit probability. Apparently, it contributes to a shorter average transmission distance, which enhances the received signal power and hence the caching hit probability.
- Thirdly, a larger maximum flight distance of UAVs, , yields a better caching performance of UAVs. However, it is notable that the increase of this value means a longer waiting time for users.
- In contrast to the average cache hit probability, the average transmission rate benefits from the increasing UAV density. The denser the UAVs deployed, the more radio resources offered. Furthermore, a higher transmission rate can hence be achieved, similar to the conclusions for small-cells.
- The baseline caching PMF has the worst rate performance compared with the strategies choosing popular files. Obviously, this tells us that the caching strategy should be optimized in order to achieve a good performance.
- Most importantly, from the figure, comparing the transmission rate achieved by caching the most popular file, the second popular file and the third popular file, we found that caching the most popular file performs worst, whose average transmission rate is much smaller than the other two. The reason behind this is that the low-density UAVs offer very limited radio resources, and hence it is hard to support many users. Note that a more popular file attracts more users.
- According to the previous analysis, UAVs caching the most popular files will greatly improve the cache hit probability, but from this figure, the transmission rate will degrade severely. Therefore, the cache scheme of UAVs should be carefully chosen in order to provide a sufficient transmission rate to users. Caching the most popular one might not be a good choice, especially for the low-density UAVs.
7.4. Caching Performance with Optimized Caching Strategies
- Compared with the other two caching strategies, our proposed optimal caching strategies for SBSs and UAVs can improve the average cache hit probability. Furthermore, this improvement is more obvious in the scenarios where a larger SINR threshold is required.
- In the medium-SINR region, the performance gains in SBSs, , achieved by the proposed optimal caching PMF, i.e., Equation (29), is near and compared to the linear caching strategy and the strategy in [24], respectively. The gains on the UAV part, , achieved by Equation (32), is around and compared to the linear caching strategy and the strategy in [24], respectively. As a result, the overall gain in terms of approaches and , compared with the two benchmark caching strategies.
- In the high-SINR region, the performance gains of achieved by the proposed optimal caching PMF, i.e., Equation (29), is near and compared to the linear caching strategy and the strategy in [24], respectively. The gains of , achieved by Equation (32), is approximately equal to the medium SNR region. As a result, the overall gain in terms of approaches and , compared with the two benchmark caching strategies.
8. Conclusions
Author Contributions
Funding
Conflicts of Interest
References
- Chen, Y.; Ding, M.; Li, J.; Lin, Z.; Mao, G.; Hanzo, L. Probabilistic Small-Cell Caching: Performance Analysis and Optimization. IEEE Trans. Veh. Technol. 2017, 66, 4341–4354. [Google Scholar] [CrossRef]
- Ding, M.; Liu, H. Multi-Point Cooperative Communication Systems: Theory and Applications; SJTU: Shanghai, China; Springer: Berlin/Heidelberg, Germany, 2013. [Google Scholar] [CrossRef]
- Ao, W.C.; Psounis, K. Fast Content Delivery via Distributed Caching and Small Cell Cooperation. IEEE Trans. Mob. Comput. 2018, 17, 1048–1061. [Google Scholar] [CrossRef]
- Chen, Z.; Lee, J.; Quek, T.Q.S.; Kountouris, M. Cooperative Caching and Transmission Design in Cluster-Centric Small Cell Networks. IEEE Trans. Wirel. Commun. 2017, 16, 3401–3415. [Google Scholar] [CrossRef]
- Zhou, F.; Fan, L.; Wang, N.; Luo, G.; Tang, J.; Chen, W. A Cache-Aided Communication Scheme for Downlink Coordinated Multipoint Transmission. IEEE Access 2018, 6, 1416–1427. [Google Scholar] [CrossRef]
- Lin, P.; Song, Q.; Jamalipour, A. Multidimensional Cooperative Caching in CoMP-Integrated Ultra-Dense Cellular Networks. IEEE Trans. Wirel. Commun. 2020, 19, 1977–1989. [Google Scholar] [CrossRef]
- Han, W.; Liu, A.; Lau, V.K.N. Dual-Mode User-Centric Open-Loop Cooperative Caching for Backhaul-Limited Small-Cell Wireless Networks. IEEE Trans. Wirel. Commun. 2019, 18, 532–545. [Google Scholar] [CrossRef]
- Wang, L.; Wong, K.; Jin, S.; Zheng, G.; Heath, R.W. A New Look at Physical Layer Security, Caching, and Wireless Energy Harvesting for Heterogeneous Ultra-Dense Networks. IEEE Commun. Mag. 2018, 56, 49–55. [Google Scholar] [CrossRef]
- Cao, X.; Yang, P.; Alzenad, M.; Xi, X.; Wu, D.; Yanikomeroglu, H. Airborne Communication Networks: A Survey. IEEE J. Sel. Areas Commun. 2018, 36, 1907–1926. [Google Scholar] [CrossRef]
- Zhao, N.; Yu, F.R.; Fan, L.; Chen, Y.; Tang, J.; Nallanathan, A.; Leung, V.C.M. Caching Unmanned Aerial Vehicle-Enabled Small-Cell Networks: Employing Energy-Efficient Methods That Store and Retrieve Popular Content. IEEE Veh. Technol. Mag. 2019, 14, 71–79. [Google Scholar] [CrossRef]
- Chen, M.; Mozaffari, M.; Saad, W.; Yin, C.; Debbah, M.; Hong, C.S. Caching in the Sky: Proactive Deployment of Cache-Enabled Unmanned Aerial Vehicles for Optimized Quality-of-Experience. IEEE J. Sel. Areas Commun. 2017, 35, 1046–1061. [Google Scholar] [CrossRef]
- Wei, M.; Chen, Y.; Zhang, B.; Hu, J.; Zheng, H. The Improvement of Caching Performance by Employing MIMO on UAVs. In Proceedings of the 2020 Cross Strait Radio Science Wireless Technology Conference (CSRSWTC), Fuzhou, China, 13–16 December 2020; pp. 1–3. [Google Scholar] [CrossRef]
- Khoshkholgh, M.G.; Navaie, K.; Yanikomeroglu, H.; Leung, V.C.M.; Shin, K.G. Randomized Caching in Cooperative UAV-Enabled Fog-RAN. In Proceedings of the 2019 IEEE Wireless Communications and Networking Conference (WCNC), Marrakesh, Morocco, 15–18 April 2019; pp. 1–6. [Google Scholar] [CrossRef]
- Dinh, P.; Nguyen, T.M.; Assi, C.; Ajib, W. Joint Beamforming and Location Optimization for Cooperative Content-Aware UAVs. In Proceedings of the 2019 IEEE Wireless Communications and Networking Conference (WCNC), Marrakesh, Morocco, 15–18 April 2019; pp. 1–7. [Google Scholar] [CrossRef]
- Zhou, F.; Wang, N.; Luo, G.; Fan, L.; Chen, W. Edge Caching in Multi-UAV-Enabled Radio Access Networks: 3D Modeling and Spectral Efficiency Optimization. IEEE Trans. Signal Inf. Process. Netw. 2020, 6, 329–341. [Google Scholar] [CrossRef]
- Lin, X.; Xia, J.; Wang, Z. Probabilistic caching placement in UAV-assisted heterogeneous wireless networks. Phys. Commun. 2019, 33, 54–61. [Google Scholar] [CrossRef]
- Lyu, J.; Zeng, Y.; Zhang, R. UAV-Aided Offloading for Cellular Hotspot. IEEE Trans. Wirel. Commun. 2018, 17, 3988–4001. [Google Scholar] [CrossRef]
- Ji, L.; Chen, J.; Feng, Z. Spectrum allocation and performance analysis for backhauling of UAV assisted cellular network. China Commun. 2019, 16, 83–92. [Google Scholar] [CrossRef]
- Ali, M.A.; Jamalipour, A. UAV-Aided Cellular Operation by User Offloading. IEEE Internet Things J. 2020. [Google Scholar] [CrossRef]
- Ji, J.; Zhu, K.; Niyato, D.; Wang, R. Joint Cache Placement, Flight Trajectory, and Transmission Power Optimization for Multi-UAV Assisted Wireless Networks. IEEE Trans. Wirel. Commun. 2020, 19, 5389–5403. [Google Scholar] [CrossRef]
- Fan, C.; Zhang, T.; Zeng, Z. Coverage and Rate Analysis of Cache-Enabled Vertical Heterogeneous Networks. IEEE Access 2019, 7, 153519–153532. [Google Scholar] [CrossRef]
- Lakiotakis, E.; Sermpezis, P.; Dimitropoulos, X. Joint Optimization of UAV Placement and Caching under Battery Constraints in UAV-Aided Small-Cell Networks. In Proceedings of the ACM SIGCOMM 2019 Workshop on Mobile AirGround Edge Computing, Systems, Networks, and Applications, Beijing, China, 19–23 August 2019; pp. 8–14. [Google Scholar] [CrossRef]
- Wu, H.; Tao, X.; Zhang, N.; Shen, X. Cooperative UAV Cluster-Assisted Terrestrial Cellular Networks for Ubiquitous Coverage. IEEE J. Sel. Areas Commun. 2018, 36, 2045–2058. [Google Scholar] [CrossRef]
- Khuwaja, A.A.; Zhu, Y.; Zheng, G.; Chen, Y.; Liu, W. Performance Analysis of Hybrid UAV Networks for Probabilistic Content Caching. IEEE Syst. J. 2020, 1–12. [Google Scholar] [CrossRef]
- Zhang, Y.; Cai, Y.; Zhang, J. Downlink Coverage Performance Analysis of UAV Assisted Terrestrial Cellular Networks. In Proceedings of the 2019 IEEE 19th International Conference on Communication Technology (ICCT), Xi’an, China, 16–19 October 2019; pp. 551–555. [Google Scholar] [CrossRef]
- Meng, Z.; Chen, Y.; Ding, M.; López-Pérez, D. A New Look at UAV Channel Modeling: A Long Tail of LoS Probability. In Proceedings of the 2019 IEEE 30th Annual International Symposium on Personal, Indoor and Mobile Radio Communications (PIMRC), Istanbul, Turkey, 8–11 September 2019; pp. 1–6. [Google Scholar] [CrossRef]
- Fotouhi, A.; Ding, M.; Hassan, M. Service on Demand: Drone Base Stations Cruising in the Cellular Network. In Proceedings of the 2017 IEEE Globecom Workshops (GC Wkshps), Singapore, 4–8 December 2017; pp. 1–6. [Google Scholar] [CrossRef]
- 3GPP. Further Advancements for E-UTRA Physical Layer Aspects. TR 36.814 (V9.0.0). 2010. Available online: http://www.doc88.com/p-7952437319214.html (accessed on 1 April 2021).
- Shi, L.; Li, Z.; Bi, X.; Liao, L.; Xu, J. Full-Duplex Multi-Hop Wireless Networks Optimization with Successive Interference Cancellation. Sensors 2018, 18, 4301. [Google Scholar] [CrossRef] [PubMed]
- Chen, Y.; Ding, M.; López-Pérez, D. Performance of Ultra-Dense Networks With a Generalized Multipath Fading. IEEE Wirel. Commun. Lett. 2019, 8, 1419–1422. [Google Scholar] [CrossRef]
- Gradshteyn, I.; Ryzhik, I. Table of Integrals, Series and Products; Academic Press: Cambridge, MA, USA, 2007. [Google Scholar] [CrossRef]
- Chen, Y.; Ding, M.; López-Pérez, D.; Lin, Z.; Mao, G. A Space-Time Analysis of LTE and Wi-Fi Inter-Working. IEEE J. Sel. Areas Commun. 2016, 34, 2981–2998. [Google Scholar] [CrossRef]
- Wen, W.; Cui, Y.; Zheng, F.; Jin, S.; Jiang, Y. Random Caching Based Cooperative Transmission in Heterogeneous Wireless Networks. IEEE Trans. Commun. 2018, 66, 2809–2825. [Google Scholar] [CrossRef]
- Kim, S.A.; An, D.G.; Ryu, H.; Kim, J. Efficient SNR estimation in OFDM system. In Proceedings of the 2011 IEEE Radio and Wireless Symposium, Phoenix, AZ, USA, 16–19 January 2011; pp. 182–185. [Google Scholar] [CrossRef]










| Notation | Description |
|---|---|
| set of SBSs, UAVs and users | |
| density of SBSs, UAVs and users | |
| H | UAV height |
| transmission power of SBSs and UAVs | |
| path loss exponent of SBSs and UAVs | |
| request probability of the f-th file | |
| caching probability of the f-th file in SBSs and UAVs | |
| set of SBSs and UAVs caching the f-th file | |
| set of users requesting the f-th file | |
| the parameter for adjusting the range of JT | |
| D | the UAV flight horizontal distance for hovering |
| T | user’s maximum waiting time |
| V | the flying speed of UAVs |
| the users within this distance will be served by ST | |
| the minimum SINR requirement for data decoding | |
| received SINR from SBSs and UAVs in Slice-f | |
| cache hit probability achieved from SBSs and UAVs in Slice-f | |
| the number of users in an SBS cell and a UAV cell in Slice-f | |
| available bandwidth in an SBS and a UAV | |
| the average transmission rate achieved from SBSs and UAVs in Slice-f | |
| the average cache hit probability in this network | |
| R | the average transmission rate in this network |
Publisher’s Note: MDPI stays neutral with regard to jurisdictional claims in published maps and institutional affiliations. |
© 2021 by the authors. Licensee MDPI, Basel, Switzerland. This article is an open access article distributed under the terms and conditions of the Creative Commons Attribution (CC BY) license (https://creativecommons.org/licenses/by/4.0/).
Share and Cite
Wei, M.; Chen, Y.; Ding, M. On the Performance of UAV-Aided Content Caching in Small-Cell Networks with Joint Transmission. Electronics 2021, 10, 1040. https://doi.org/10.3390/electronics10091040
Wei M, Chen Y, Ding M. On the Performance of UAV-Aided Content Caching in Small-Cell Networks with Joint Transmission. Electronics. 2021; 10(9):1040. https://doi.org/10.3390/electronics10091040
Chicago/Turabian StyleWei, Menghan, Youjia Chen, and Ming Ding. 2021. "On the Performance of UAV-Aided Content Caching in Small-Cell Networks with Joint Transmission" Electronics 10, no. 9: 1040. https://doi.org/10.3390/electronics10091040
APA StyleWei, M., Chen, Y., & Ding, M. (2021). On the Performance of UAV-Aided Content Caching in Small-Cell Networks with Joint Transmission. Electronics, 10(9), 1040. https://doi.org/10.3390/electronics10091040

