Abstract
A theoretical study of the influence of word line and common source electrodes on the program operation in shrank SuperFlash memory is proposed. Numerical simulations demonstrate that the literature model defined for previous nodes is not always suitable, due to the continuous cell physical size reduction and to the consequent increment of capacitive coupling between the floating gate and adjacent electrodes. To get a deeper insight, an analytical model of the electric field in the region of source side injection is proposed. This model describes the impact of the cell physical and electrical parameters on the vertical and horizontal field components and highlights the strong dependence of the carrier injection on the technology node. Furthermore, the numerical and analytical models estimate the influence of the word line and common source electrodes on the time-to-program, the floating gate potential and the source side injection efficiency, taking into consideration, at the same time, their possible impact on the cell reliability.
1. Introduction
Electronic components are an important part of modern vehicles, and their role in the automotive industry is destined to grow with the gradual introduction of more and more sophisticated driver assistance systems (ADAS), setting the sight on full autonomous cars. For this reason, an increasing number of micro-controller units, together with embedded flash memory units (eFlash) are currently allocated in a vehicle [1]. In particular, eFlashes in automotive technology are usually employed for code storage and to collect the huge amount of data from the distributed on-board sensors. Due to their specific application, additional requirements are needed if compared with eFlashes in civil applications [2], i.e., high endurance, data retention and speed in program, erase and read operations [3]. Especially, fast programing is mandatory in order to face the continuous increment of memory density, thus the keeping rewriting cost as low as possible.
The embedded SuperFlash (ESF) memory was introduced in high-volume production in the 90s by SST® (ESF1) [4] as a stored charge-based memory technology alternative to the conventional floating gate (FG) one. ESF technology exhibits high injection efficiency, fast operations, over-erase immunity and improved reliability [5,6,7]. To achieve both short time-to-program (T2P) and high injection efficiency (η), ESF cells programing is based on the source side injection (SSI) mechanism [8,9,10].
According to the necessity of the progressive dimension and voltage down-scaling, in the subsequent generations of ESF memory (i.e., ESF2 and ESF3), the number of electrodes adjacent to the FG was increased in order to have a high capacitive coupling and a high FG potential (VFG). Hence, in ESF2 one additional electrode (source line) and in ESF3 two more electrodes (coupling gate and erase gate) were implemented [11]. ESF3 appeared with the 110 nm technology node and it is still the leading ESF technology family with the latest produced 28 nm node now on the market [4]. In ESF3, as in ESF1 and ESF2, the channel is shared between two electrodes, i.e., word line (WL) and FG, so that the SuperFlash cell structure can be approximated with the series of two transistors: FG-MOS and WL-MOS. The ESF3 cell is depicted in Figure 1a,b, where the erase gate and coupling gate electrodes are omitted for a clearer explanation of the cell working principle. The two transistors are in a source follower configuration and they are biased in saturation mode. In particular, VFG is much higher than the FG-MOS threshold voltage, whereas VWL is slightly above the WL-MOS threshold voltage. Hence, the channel portion of FG-MOS is in strong inversion (outlined in Figure 1a with the shadowed area beneath the FG), whereas the WL-MOS one is in weak inversion. The FG-MOS channel portion can be considered as a drain extension or a virtual drain [12,13]. Indeed, the WL-MOS load is represented by the series of FG channel resistance and FG drain resistance and, as they are both negligible, WL-MOS drain voltage can be considered equal to FG-MOS drain voltage (Figure 1c).
Figure 1.
(a) The SuperFlash cell structure, with the source side injection (SSI) mechanism sketched; (b) adopted frame of reference definition; (c) approximation with the series of two transistors: WL-MOS and FG-MOS.
The SSI mechanism is sketched in Figure 1a with the dashed arrow and takes place approximately in the region between XWL and XFG. Electrons are injected from the substrate to the closest FG corner, involving both the horizontal and the vertical components of the electric field [14,15,16]. The vertical component is fixed by VFG and is further enhanced thanks to the tip geometry of the FG; the horizontal component depends on the channel state, which in turn is influenced by the bias conditions applied on all the electrodes which overlook the channel, i.e., WL, bit line (BL), common source (CS) and FG itself. A way to quantify the SSI is by defining its efficiency (η) as the fraction of the channel current which ends up in the FG. It depends on the voltage waveform applied to the various electrodes and varies with the cell geometry. Being a main parameter in the program efficiency, η has been systematically and extensively studied in past ESF nodes [13,17,18].
In addition to η, also T2P and VFG are key parameters in the program efficiency, concurring to define the optimum program strategy. From a practical point of view, T2P defines the program speed and VFG the program window, while η is related to the power consumption, in the sense that a more efficient injection requires a lower channel current. Generally speaking, it is not possible to define a single ruling parameter in the program efficiency, as the relative importance of those three parameters should rather be referred to the specific application. For all these reasons, in this work, a theoretical study of the influence of WL and CS electrodes on η, T2P and VFG is proposed, focusing specifically on the ESF3 current node now on the market [4]. Indeed, because of technology scaling, the bias conditions of the electrodes adjacent to the FG have a greater influence on both channel formation and VFG than in past nodes. Therefore, the different role of electrodes as CS and WL in SSI should be discussed in order to gain a complete overview of the cell physics in the current node.
2. Methods
The SSI mechanism is investigated systematically by means of Synopsys Sentaurus technology computer-aided design (TCAD) simulations, varying the program conditions. All the numerical simulations have been performed fixing the values of the coupling gate voltage (VCG), bit line voltage (VBL) and erase gate voltage (VEG) reported in literature [19,20,21,22,23] for the latest technology node, listed in Table 1 and shown in Figure 2. In particular, the bias conditions are: VCG = HV (>10 V) [19,20,21,22]; word line and commons source voltages (VWL and VCS, respectively) have been varied, respectively, in the range 0.7–1.1 V and 4–4.6 V [20,21,23]; VEG = VCS in order to avoid charge migration between the two electrodes [23]; IBL is fixed at ~1 µA [20,24]. In all the simulations, a single 1 s-long pulse is applied on all the electrodes.
Table 1.
Bias conditions in ESF3 program operation [19,20,21,22,23].
Figure 2.
ESF3 cell representation with operating electrical conditions.
In the SSI mechanism both the horizontal (EH) and vertical (EV) electric field components are involved. In previous technology nodes, EH and EV during program operation were described, respectively, as [25]:
where Vth,WL is the threshold voltage of the WL transistor, Lgap is the distance between FG and WL (Figure 1a), tox,FG is the FG oxide thickness and is the overdrive voltage () associated to FG-MOS. Nevertheless, the geometric features’ scaling brings about additional effects, regarded as negligible in the past. For instance, as the electrodes spacing decreases the impact of WL and CS on FG increases, thus causing different electric field behavior compared to past nodes. Furthermore, progressive distances shrinking can also affect the electrostatic cell conditions as well as EH and EV. Consequently, systematically investigation of CS and WL influence on program operation will be carried out in the following section. In particular, in order to isolate CS (and WL) contribution, standard biasing conditions (Table 1) will be applied, with VCS and VWL fixed at their mid-ranges (4.3 V and 0.9 V, respectively) when not under direct examination.
3. Results
3.1. Role of the Common Source Electrode
Impact on the Electric Field: CS electrode exerts a significant influence on the electric field components involved in SSI mechanism, especially on EH. From Equation (1a), a linear EH dependency on VCS can indeed be observed. This holds in the current node as well, as demonstrated in Figure 3a where the simulated EH curve is drawn as a function of the coordinate x, in the portion delimited by WL and FG edges. As concerns EV, in past nodes it was successfully described by Equation (1b) and remained almost constant, being VOV,FG mainly determined by VCG and influenced only partially by the other adjacent electrodes. Nevertheless, in the current node, CS contribution in VFG cannot be neglected anymore, as verified in the simulated EV curve drawn in Figure 3b. Here, EV is depicted against the y-coordinate in x = XFG, from the Si/SiO2 interface toward the FG. By increasing VCS, a horizontal translation of the EV curve toward higher absolute values is found. This dependence is contained inside VFG as it holds:
where is the minimum value of VCS (i.e., 4 V) and is the variation of VCS from this value. Because the product is constant, a variation of VCS causes a linear increase of VFG and a parallel translation of the EV curve with the same sign.
Figure 3.
Technology computer-aided design (TCAD) simulations of the electric field with the common source (CS) voltage as a parameter. (a) The horizontal component is drawn against the x coordinate in y = 0, between the WL and the floating gate (FG) edges, the linearity being outlined in the inset. (b) The vertical component is drawn against the y coordinate in x = XFG, between the SiO2 interface and the FG edge, the dependence on VCS being zoomed in the inset.
In conclusion, as the VFG described by Equation (2) is proportional to the numerator of EV (Equation (1b)), it can be finally stated that the total electric field increases linearly with VCS.
Impact on the Floating Gate: The influence of VCS on the floating gate is studied calculating VFG, the FG current (IFG) and the FG stored charge (QFG) during a 1 s-long program pulse (applied on VCS, VWL, VCG, VEG and VBL) starting at t = 1 ns, with VWL pulse amplitude at its mid-range and VCG and VBL pulse amplitude at the nominal conditions mentioned in Table 1. Results are reported in Figure 4.
Figure 4.
TCAD simulations of the (a) FG potential, (b) FG current, (c) charge injected in the FG, as function of time during a 1 s long program pulse with the VCS pulse amplitude as a parameter. The linearity of the FG charge with VCS is highlighted in the inset of (c).
At the very beginning of the program pulse, VFG increases (Figure 4a). This is due to the capacitive coupling between FG and CS which, in turn, leads to an EV increment, as discussed previously. IFG behavior is displayed in Figure 4b. As the VCS increment induces an enlargement of EV and EH, the hot-electron-injected current increases as well. As expected, with the gradual addition of electrons into the FG, both IFG and VFG start to decrease. A change of the slope takes place when the charge accumulated in the FG limits further injection (in this case, around 10−5 s), as can also be seen in Figure 4c. The cell is programed more rapidly at higher VCS: indeed, IFG is higher, so that the required time for reaching the target QFG is shorter. The linear dependency of QFG at the end of the program pulse on VCS is depicted in the inset of Figure 4c. A similar result was obtained in [14], where the increment of VFG with VCS was experimentally measured in the 40 nm node.
3.2. Role of the Word Line Electrode
Impact on the Electric Field: As previously disclosed in the introduction, WL biasing has a great influence on the channel formation in both WL-MOS and FG-MOS portions. In particular, WL biasing controls the shrinkage of the channel in the Lgap area and, as the FG-MOS channel portion can be considered as a drain extension, drives the horizontal extension of the depletion region between FG-MOS and WL-MOS. From Equation (1a), the influence of WL on EH can be quantified. As in a standard MOS, the horizontal component of the electric field depends on the difference between VCS and VBL and from the overdrive voltage in the WL-MOS. TCAD simulations show that EH decreases with VWL as demonstrated in Figure 5, where the absolute value of EH is drawn by varying VWL.
Figure 5.
TCAD simulations of the horizontal component of the electric field plotted against the x coordinate in y = 0, between the WL and the FG edges, with the WL voltage as a parameter.
The vertical component EV, instead, depends on FG-MOS overdrive voltage, thus from VFG. This, in turn, can be influenced by VWL due to the capacitive coupling factor between WL and FG, growing with the scaling. Hence, VWL influences the numerators of both Equations (1a) and (1b). As a consequence, an increment of VFG with VWL is expected:
Equation (3) suggests that the FG potential dependency from VWL is linear and, as a consequence of the direct proportionality between EV and VFG (Equation (1b)), EV is expected to vary linearly with VWL as well. On the contrary, simulations show that Equation (3) EV does not follow the aforementioned dependency in the current node. In Figure 6a, the calculated curves of EV are plotted as a function of the coordinate y at x = XFG, with VWL as a parameter. As one can see, by increasing VWL, the EV curves do not shift in a parallel way, as in the case of VCS, and exhibits a spread at the Si/SiO2 interface. To explain intuitively this behavior, in Figure 6b the shape of the channel is depicted with colored area (it has been emphasized for the sake of clarity). A lateral overlap between WL-MOS and FG-MOS channels is present, so that increasing VWL the channel invades the area beneath the FG (dashed line in Figure 6b) and the amount of channel charge at x = XFG increases. To get deeper insight into the EV behavior in shrank nodes, an analytical model is proposed, which outlines the role of the cell electrical and physical parameters. To this aim, the following assumptions are made: (1) the channel depth from WL edge to the pinch-off point is linearly decreasing; (2) given a certain VWL, the vertical distribution of electrons in the channel depth g(y) decreases exponentially from the Si/SiO2 interface where it is g(0) = ns (being ns the electron density at the Si/SiO2 interface) to the channel depth (d) where g(d) = NA (being NA the substrate doping concentration); (3) VFG dependency on VWL is negligible due to the low capacitive coupling between WL and FG; (4) the influence of EH on the channel charge is negligible in XFG.
Figure 6.
(a) TCAD simulation of the electric field vertical component drawn against the y coordinate in x = XFG, between the SiO2 interface and the FG edge, with the WL voltage as a parameter. (b) The shape of the channel is depicted with colored area, while the dashed contour highlights that increasing VWL the channel invades the area beneath the FG. (c) TCAD simulation of the channel electron density in x = XFG represented by colors from blue to red, for two values of VWL.
Based on the mentioned assumptions, it holds:
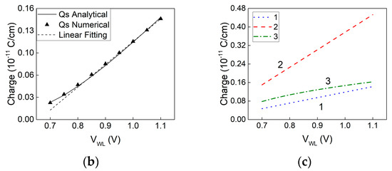
where is a fixed reference depth, not dependent on VWL It should be noted that ns increases with VWL. This is shown in Figure 6c where a zoom of the structure is sketched and the increasing electron density is represented with colors from blue to red. The overall effect is an increment of the absolute value of the charge present in x = XFG, which in turn enhances EV. The direct extraction of carrier concentration values from TCAD simulation allows quantifying both ns and dFG dependencies on VWL. Particularly, ns is attained by probing the electron concentration at Si/SiO2 interface in x = XFG and multiplying the result to the channel width. Instead, dFG is obtained by examining carrier concentration behavior as a function of y. Consequently, as shown in Figure 7a, it can be demonstrated that ns increases linearly with VWL, whereas dFG varies as the square root of VWL. Hence, by curve fitting the outcomes of TCAD simulations, it can be inferred that:
where α, β, k1 and k2 are constants and are quantitatively derived from best fits of ns and dFG as functions of VWL.

Figure 7.
Results from the analytical modeling as function of VWL: (a) surface electron density and channel depth in x = XFG with linear and square root best fits (R2 = 0.9987 and R2 = 0.9996, respectively); (b) channel charge per unit width in x = XFG; (c) weight of the three contributions of the total charge (Equation (6)).
Since the electric field is inversely proportional to the square of the distance between charges in the FG and the ones in the channel, only a small interval around x = XFG is taken into consideration when calculating EV. To obtain the amount of channel charge in x = XFG (QC), one has to integrate g(y) along y and the normalized electron concentration (Cn). The integration limits are, respectively, dFG (i.e., the channel depth at x = XFG) and the Si/SiO2 interface (y = 0) along y, and 1 (maximum concentration) and –ln(NA/ns) along Cn. The calculated integral is multiplied by the electron charge and the width of the structure (W), to give QC (expressed in C/cm). Therefore, as QC depends on ns and dFG, in turn it depends also on VWL. Relying on assumption (4) it holds:
The total charge QC coming from the analytical model is displayed in Figure 7b (continuous line) together with the numerical values extracted from charge mapping in TCAD simulations (symbols). It can be seen that the agreement between numerical and analytical modeling is excellent (R2 = 0.99887) and that the total charge variation is linear with VWL, apart from at low VWL values (as demonstrated by the linear fitting displayed in Figure 7b with a dashed line).
In Figure 7c the three charge terms in the square brackets of Equation (6) are compared. Term 1 () refers to the surface charge density and the channel depth at XFG, term 2 () refers only to the surface electron density, term 3 () refers to the channel depth and the substrate doping. This figure allows to understand the role of the cell physical and electrical parameters in determining EV, thus highlighting its strong dependence on the specific technology node.
In conclusion, as the SSI mechanism depends on both EV and EH, their numerical values extracted from simulations are reported in Table 2 in the studied VWL range. As can be noticed, the absolute value of EV is always greater than EH. Thus, although EH decreases while EV increases with VWL, it can be inferred that the injected charge QFG would be more influenced by EV. This will be verified below.
Table 2.
TCAD simulated EH and EV absolute values calculated in x = XFG and y = 0 as functions of VWL.
Impact on the Floating Gate. The influence of VWL on the floating gate is studied calculating VFG, IFG and QFG during a 1 s-long program pulse (applied on VCS, VWL, VCG, VEG, VBL) starting at t = 1 ns, with VCS = VEG pulse amplitude at their mid-range and VCG and VBL pulse amplitude at nominal conditions. As the capacitive coupling factor between FG and WL is smaller than the one between FG and CS, the starting vertical offset of the VFG is less evident than the one in the VCS case. This reduced offset should result in a smaller Ev shift. In fact, as commented in the previous section, VWL variation affects not only VFG but also the channel state, which leads to an augmented injection current. Actually, other authors measured experimentally an opposite evolution in time of VFG with VWL in the 55 nm technology node [17]. Indeed, in that paper, VFG at the end of the pulse reduced for values of VWL over the threshold (Vth,WL). In that node, as the SSI mechanism is influenced by the technology node, and being the distance between WL and FG (relatively) long, an increment of VWL led to a reduced EH component, while EV remained basically constant. On the contrary, in latest technology nodes, due to the shorter distance between WL and FG, the channel below WL can extend to x = XFG, again reducing EH, but increasing largely EV, as previously shown in Table 2. Looking at Figure 8, it can be noticed that with the gradual addition of electrons into the FG, both IFG and VFG start to decrease, changing slope around 10−5 s when the stored charge QFG limits further injection.
Figure 8.
TCAD simulations of the (a) FG potential, (b) FG current, (c) charge injected in the FG, as function of time during a 1 s long program pulse with the pulse amplitude as a parameter. The sub-linearity of the FG charge with VWL is highlighted in the inset of (c).
4. Discussion
In the previous sections, the impact of VCS and VWL on physical details underlying the SSI mechanism was studied. Hereafter, their macroscopic effects on the program operation will be analyzed, in terms of injection efficiency, FG potential and time-to-program.
The source side injection efficiency (η) is defined as the ratio between IFG and the current which flows in the channel (IBL): η = IFG/IBL. In Figure 9a, η is plotted as a function of both VCS and VWL. As one can see, η (slightly) decreases with VWL and consistently increases with VCS. The two opposite trends can be understood by studying separately IFG and IBL. Figure 9b,c shows that an increment of both VWL and VCS implies an increment of both IBL and IFG. However, in the VWL case, the rate of variation of IBL is faster than that of IFG (Figure 9b), so that by increasing VWL in its range, η degrades of about 10% (Figure 9a). On the contrary, in the VCS case, IBL and IFG increase with quite different rates with VCS (Figure 9c), so that, by increasing VCS in its range, η improves of about 50% (Figure 9a). In conclusion, it can be affirmed that, as η (slightly) degrades with VWL, it could be convenient to rather increase VCS, keeping VWL as low as possible.
Figure 9.
TCAD simulations of the overall impact of VCS and VWL on the main factors determining the injection efficiency: (a) η is drawn as a function of VCS (open symbols) and VWL (full symbols); (b) IFG (open triangles) and IBL (open squares) increase with VWL; (c) IFG and IBL increase with VCS.
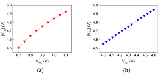
As already verified in the previous sections, the potential that the FG reaches after a given program time, depends on VWL and VCS. In Figure 10a the absolute value of VFG after a 1 s program pulse is depicted as a function of VWL. As expected, VFG presents a sub-linear behavior with VWL, due to the sub-linear QFG dependency on VWL (inset of Figure 8c). On the other hand, in Figure 10b, a linear dependence of VFG on VCS can be verified. The different trends of VFG with VWL and VCS can be physically explained by considering that different portions of the ESF3 cell are influenced by VWL and VCS. Indeed, VWL affects the channel features (depth and charge), but not the FG potential due to a negligible capacitive coupling. On the contrary, as the CS electrode is strongly coupled with the FG, a linear influence on the channel current IBL is obtained (see Figure 9c). In conclusion, it can be stated that the FG potential at the end of the program pulse increases with both VWL and VCS, albeit with different trends.
Figure 10.
TCAD simulations of the FG potential absolute value increases: (a) sub-linearly with VWL and (b) linearly with VCS.
Finally, the time to program (T2P) is defined as the time needed to reduce the read current down to the 10% with respect to the read current associated to the erased cell. This quantity is determined by the charge injection dynamics into the FG and it is strongly not linear. It was already verified that the final charge transferred to the FG depends linearly on VCS (Figure 4c), but it represented the state of the cell at the end of the program operation, not during the injection dynamics. The charge transfer occurs at a much higher rate in the very first instants so that, typically after a few microseconds, the 90% of the target charge is transferred [18]. In Figure 11, T2P is drawn as function of both VWL and VCS, in their respective operating ranges. As one can see, T2P decreases exponentially in both the cases, albeit with a higher rate with VCS. In conclusion, it can be affirmed that, working at high VWL and VCS values entails a reduction in the T2P. Furthermore, a greater dependency of T2P on VWL, respect to VCS, can be verified.
Figure 11.
TCAD simulations of time-to-program drawn as function of VWL (solid symbols) and VCS (open symbols), in their respective operating ranges. The two solid lines are exponential interpolations.
In Figure 12a,b, a summary of the three aforementioned working quantities (VFG, η and 1/T2P) dependency on VWL and VCS is reported. Concerning the VWL increment, its detrimental impact on η (Figure 9) was assessed on one hand, but, on the other hand, its positive influence on VFG and T2P (Figure 10 and Figure 11) was also. This can be verified in Figure 12a, where two VWL ranges are indicated: the best trade-off among all the three quantities lies at intermediate values of VWL (dashed circle); the best solution in terms of VFG and 1/T2P, regardless of η, rather requires higher VWL values (solid circle). For what concerns VCS, as all the three quantities (η, 1/T2P and VFG) contemporarily improve by increasing VCS, a unique range is reported in Figure 12b (solid circle).
Figure 12.
Summary of the three working quantities: VFG (open triangles), η (open circles) and 1/T2P (crosses) drawn as function of (a) VWL and (b) VCS.
In conclusion, to improve the overall program operation it can be more convenient to intervene on the common source electrode rather than on the word line one. However, if in a specific application η (and therefore the power consumption) is a minor priority respect to program speed and program window, VWL can be increased as well, alternatively or in addition to VCS.
As a final remark, possible drawbacks of increasing VWL and VCS in terms of reliability are studied. First of all, by increasing VCS, the total channel electric field ETOT at XFG increases as well, as shown in Figure 3b. Hence, an augmented lateral portion of the channel is involved in SSI, which in turn possibly leads to a widening of the interface traps amount in the injection area. The presence of these additional traps could cause an electrostatic shielding effect during program, as well as the activation of charge loss paths. Furthermore, the increment of VCS can provoke channel pinch-off close to the CS edge, thus further increasing EH (as depicted in Figure 13a), which in turn favors impact ionization and the possible creation of new traps at the Si/SiO2 interface.
Figure 13.
TCAD simulations of: (a) the horizontal component of the electric field (in absolute value) against the x coordinate in y = 0, at the CS edge with VCS as a parameter; (b) the vertical component of the electric field against the y coordinate in x = XWL, between the SiO2 interface and the WL electrode with VWL as a parameter.
Operating at high values of VWL can also have different drawbacks. First of all, due to the electric field increment in the oxide at x = XWL (shown Figure 13b), there exist a higher probability of trap creation in this portion of the channel, which may alter the injection efficiency. Second, Figure 5 showed that the VWL growth enhances also Ev at x = XFG. This results in a greater amount of charge stored in the FG, but, on the other hand, leads to a more stressed Si/SiO2 interface. Relying on the above considerations, it appears evident that, if the increment of both VWL and VCS brings undeniable benefits in terms of program speed and program window, it should be taken into account that they can possibly cause reliability degradation.
5. Conclusions
This work is focused on the program operation of ESF3 memory cells in the latest technology node currently on the market. TCAD numerical simulations of word line and common source electrodes influence on the SSI efficiency, the FG potential and the time-to-program were carried out using scaled cell geometry and voltages. Simulations showed that literature model proves to be suitable for common source voltage variations even in the current node. Conversely, the word line voltage effect on the electric field components was not properly represented by the mentioned model. Therefore, an analytical model of the electric field was proposed, which outlined the influence of the physical (and electrical) cell parameters on EV. Particularly, excellent agreement between analytical and numerical values was attained, thus demonstrating a leading EV impact on SSI mechanism, which actually determine the injection.
In addition, SSI efficiency η turned out to be (slightly) degraded by VWL increment while the FG potential and the time-to-program improved at high values of the word line and common source voltages.
As a consequence, in order to improve the overall program operation, it can be more convenient to intervene on the common source electrode. However, in specific applications where the power consumption is a minor priority respect to program speed and program window, the word line voltage can be increased alternatively or in addition to common source.
Finally, as opposed to the benefits in terms of performance, VCS and VWL increment can cause electrical stresses in the oxide layers of the cell, with an increased risk of trap creation.
In conclusion, this work allows for a deeper comprehension of the technology scaling effects on the ESF3 cell physics in program operation. The achieved results pave the way for the implementation of innovative program strategies aimed to improve both performances and reliability in the ESF3 memory.
Author Contributions
Conceptualization, I.M. and F.I.; methodology, I.M. and F.I.; validation, I.M. and F.I.; formal analysis, I.M. and F.I.; investigation, I.M.; writing—original draft preparation, I.M. and F.I.; writing—review and editing, I.M. and F.I.; supervision, F.I.; project administration, F.I. All authors have read and agreed to the published version of the manuscript.
Funding
This research received no external funding.
Data Availability Statement
No new data were created or analyzed in this study. Data sharing is not applicable to this article.
Conflicts of Interest
The authors declare no conflict of interest.
References
- Campbell, S.; O’Mahony, N.; Krpalcova, L.; Riordan, D.; Walsh, J.; Murphy, A.; Ryan, C. Sensor Technology in Autonomous Vehicles: A review. In Proceedings of the 2018 29th Irish Signals and Systems Conference (ISSC), Belfast, UK, 21–22 June 2018; pp. 1–4. [Google Scholar]
- Taito, Y.; Kono, T.; Nakano, M.; Saito, T.; Ito, T.; Noguchi, K. A 28 nm Embedded Split-Gate MONOS ( SG-MONOS ) Flash Macro for Automotive. IEEE J. Solid-State Circuits 2016, 51, 213–221. [Google Scholar]
- Kono, T. Embedded non-volatile memory system as an enabler of smarter world. In Proceedings of the 2017 International Symposium on VLSI Technology, Systems and Application (VLSI-TSA), Hsinchu, Taiwan, 24–27 April 2017; pp. 1–4. [Google Scholar]
- Available online: http://www.sst.com/technology/superflash-technology.aspx (accessed on 11 May 2020).
- Sung, H.; Lei, T.F.; Hsu, T.; Kao, Y.; Lin, Y.; Wang, C.S. Characterization for Split-Gate Flash Cell. IEEE Electron Device Lett. 2005, 26, 194–196. [Google Scholar] [CrossRef]
- Wu, T.; Chih, Y.; Chen, S.; Wang, W.; Chang, M.-C.; Shih, J.; Chin, H.; Wu, K. Characterization of split gate flash memory endurance degradation mechanism. In Proceedings of the 11th International Symposium on the Physical and Failure Analysis of Integrated Circuits. IPFA 2004 (IEEE Cat. No.04TH8743), Taiwan, 5–8 July 2004; pp. 115–117. [Google Scholar]
- Markov, V.S.; Korablev, K.G.; Kotov, A.G.; Liu, X.; Jia, Y.; Dang, T.N.; Levi, A.F.J. Charge-gain program disturb mechanism in split-gate flash memory cell. In Proceedings of the 2007 IEEE International Integrated Reliability Workshop Final Report, South Lake Tahoe, CA, USA, 15–18 October 2007; pp. 43–47. [Google Scholar]
- Montanari, D.; Van Houdt, J.; Wellekens, D.; Vanhorebeek, G.; Haspeslagh, L.; Deferm, L.; Groeseneken, G.; Maes, H. Multi-level charge storage in source-side injection flash EEPROM. In Proceedings of the Nonvolatile Memory Technology Conference, Albuquerque, NM, USA, 24–26 June 1996; pp. 80–83. [Google Scholar]
- Wang, K.-T.; Chao, T.-S.; Chiang, T.-Y.; Wu, W.-C.; Kuo, P.-Y.; Wu, Y.-H.; Lu, Y.-L.; Liao, C.-C.; Yang, W.-L.; Lee, C.-H.; et al. Physical Mechanism of High-Programming-Efficiency Dynamic-Threshold Source-Side Injection in Wrapped-Select-Gate SONOS for nor-Type Flash Memory. IEEE Electron Device Lett. 2009, 30, 1206–1208. [Google Scholar] [CrossRef]
- Shih, C.-H.; Liang, J.-T.; Wang, J.-S.; Chien, N.D. A source-side injection lucky electron model for schottky barrier metal-oxide-semiconductor devices. IEEE Electron Device Lett. 2011, 32, 1331–1333. [Google Scholar] [CrossRef]
- Hidaka, H. Split-Gate Floating Poly SuperFlash® Memory Technology, Design, and Reliability. In Embedded Flash Memory for Embedded Systems:Technology, Design for Sub-systems, and Innovations; Springer: Berlin/Heidelberg, Germany, 2017. [Google Scholar]
- Saha, K. Design considerations for sub-90-nm split-gate flash-memory cells. IEEE Trans. Electron Devices 2007, 54, 3049–3055. [Google Scholar] [CrossRef]
- Guan, H.; Lee, D.; Li, G. An analytical model for optimization of programming efficiency and uniformity of split gate source-side injection superflash memory. IEEE Trans. Electron Devices 2003, 50, 809–815. [Google Scholar] [CrossRef]
- Cho, C.Y.-S.; Chen, M.-J.; Chen, C.-F.; Tuntasood, P.; Fan, D.-T.; Liu, T.-Y. A novel self-aligned highly reliable sidewall split-gate flash memory. IEEE Trans. Electron Devices 2006, 53, 465–473. [Google Scholar]
- Ma, Y.; Pang, C.; Pathak, J.; Tsao, S.; Chang, C.; Yamauchi, Y.; Yoshimi, M. A novel high density contactless flash memory array using split-gate sources-side-injection cell for 5 V-only applications. In Proceedings of the 1994 VLSI Technology Symposium, Honolulu, HI, USA, 7–9 June 1994; pp. 49–50. [Google Scholar]
- Kamiya, M.; Kojima, Y.; Kato, Y.; Tanaka, K.; Hayashi, Y. EPROM cell with high gate injection efficiency. In Proceedings of the 1982 International Electron Devices Meeting, San Francisco, CA, USA, 13–15 December 1982; pp. 741–744. [Google Scholar]
- Yamauchi, Y.; Kamakura, Y.; Matsuoka, T. A Source-Side Injection Single-Poly Split-Gate Cell Technology for Embedded Flash Memory. In Proceedings of the 2013 International Conference on Solid State Devices and Materials, Hilton Fukuoka Sea Hawk, Fukuoka, Japan, 24–27 September 2013; pp. 110–111. [Google Scholar]
- Tkachev, Y.; Kotov, A. A detailed analysis of hot-electron programming efficiency in 40-nm split-gate flash memory cells. In Proceedings of the 2017 IEEE International Memory Workshop (IMW), Monterey, CA, USA, 14–17 May 2017; pp. 7–10. [Google Scholar]
- Shum, D.; Luo, L.Q.; Kong, Y.J.; Deng, F.X.; Qu, X.; Teo, Z.Q.; Liu, J.Q.; Zhang, F.; Cai, X.S.; Tan, K.M.; et al. 40nm Embedded self-Aligned split-gate flash technology for high-density Aautomotive microcontrollers. In Proceedings of the 2017 IEEE International Memory Workshop (IMW), Monterey, CA, USA, 14–17 May 2017; pp. 6–9. [Google Scholar]
- Jourba, S.; Bollon, N.; Decobert, C.; Festes, G.; Bertello, B.; Zhou, F.; Markov, V.; Tkachev, Y.; Kim, J.; Ghazav, P.; et al. Performance and Reliability of 4 Mb eFLASH Memory Array Featuring 28 nm Split-Gate Cell with HKMG Select Transistor. In Proceedings of the 2020 IEEE International Memory Workshop (IMW), Dresden, Germany, 17–20 May 2020; pp. 1–4. [Google Scholar]
- Richter, R.; Trentzsch, M.; Dunkel, S.; Muller, J.; Moll, P.; Bayha, B.; Mothes, K.; Henke, A.; Mazur, M.; Paul, J.; et al. A cost-efficient 28nm split-gate eFLASH memory featuring a HKMG hybrid bit cell and HV device. In Proceedings of the 2018 IEEE International Electron Devices Meeting (IEDM), San Francisco, CA, USA, 1–5 December 2018; pp. 1–4. [Google Scholar]
- Do, N.; Kim, J.; Lemke, S.; Tee, L.; Tkachev, Y.; Liu, X.; Ghazavi, P.; Zhou, F.; Villard, B.; Jourba, S.; et al. Scaling split-gate flash memory technology for advanced MCU and emerging applications. In Proceedings of the 2019 IEEE 11th International Memory Workshop (IMW), Monterey, CA, USA, 12–15 May 2019; pp. 1–4. [Google Scholar]
- Wu, C.-M.; Liu, S.-C. Split gate flash memory structure and method of making the split gate flash memory structure. U.S. Patent No. 9,614,048, 4 April 2017. [Google Scholar]
- Do, N.; Yang, J.; Sheng, Y.J.; Su, C.S.; Wu, M.T.; Ouyang, H.; Liang, H.; Hariharan, S.; Tadayoni, M.; Norman, J.; et al. Scaling of Split-Gate Flash Memory with 1.05V Select Transistor for 28 nm Embedded Flash Technology. In Proceedings of the 2018 IEEE International Memory Workshop (IMW), Kyoto, Japan, 13–16 May 2018; pp. 1–3. [Google Scholar]
- Yamauchi, Y.; Kamakura, Y.; Matsuoka, T.; Ueda, N. Source-side injection single-polysilicon split-gate flash memory. Jpn. J. Appl. Phys. 2014, 53, 34201. [Google Scholar] [CrossRef]
Publisher’s Note: MDPI stays neutral with regard to jurisdictional claims in published maps and institutional affiliations. |
© 2021 by the authors. Licensee MDPI, Basel, Switzerland. This article is an open access article distributed under the terms and conditions of the Creative Commons Attribution (CC BY) license (http://creativecommons.org/licenses/by/4.0/).