A 4 GHz Single-to-Differential Cross-Coupled Variable-Gain Transimpedance Amplifier for Optical Communication
Abstract
:1. Introduction
2. Input Stage of TIA Design
2.1. Design Features of the TIA Input Stage
2.2. Input Impedance and Transimpedance Gain
3. Mid-Stage of TIA Design
3.1. Design Features of the TIA Mid-Stage
3.2. Voltage Gain
4. Layout
5. Simulation and Measurement Results
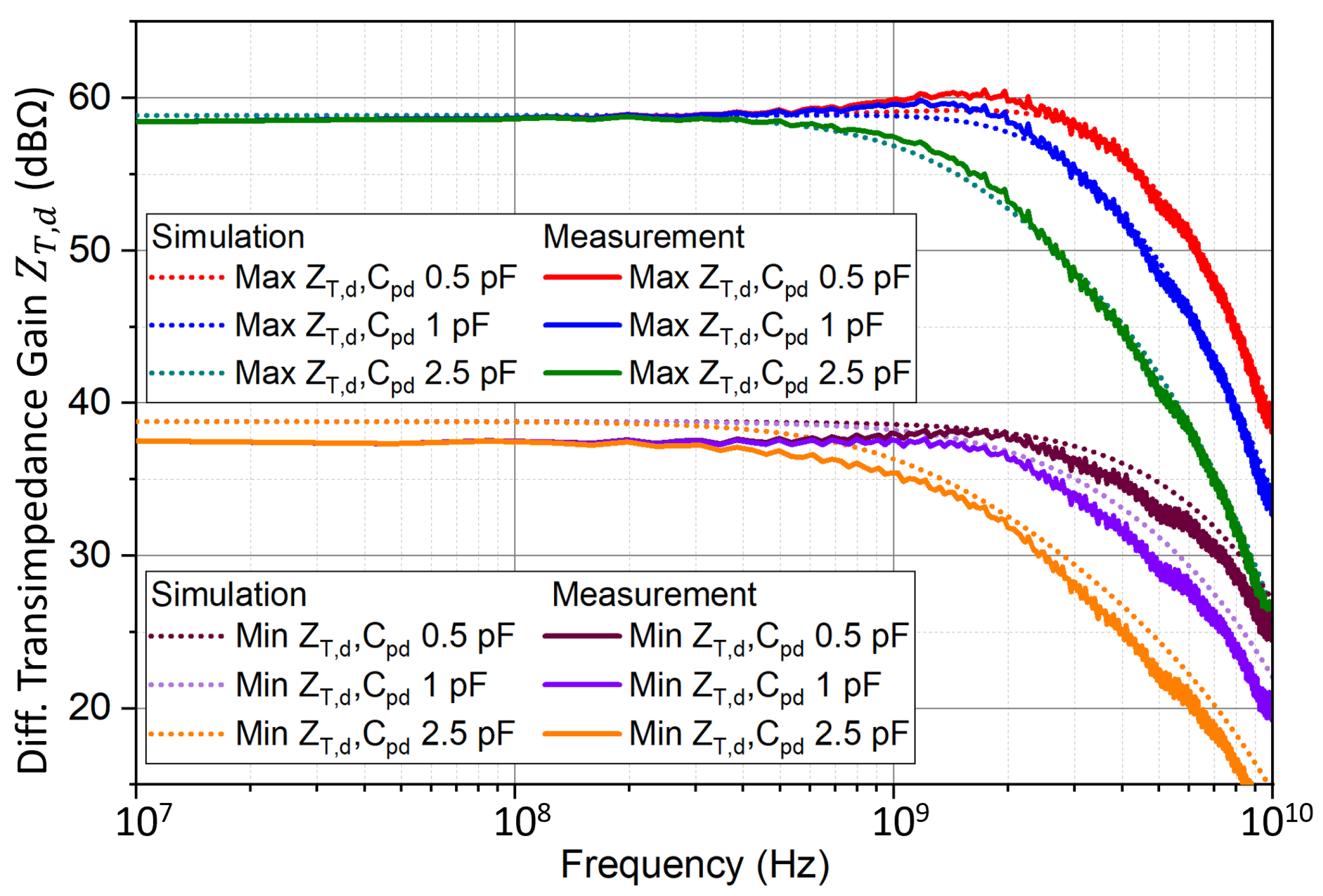
5.1. Transimpedance Gain and Bandwidth
5.2. IP1dB and Gain Compression
5.3. Noise and Dynamic Range
5.4. Eye Diagrams
5.5. Load Capacitance Invariability
6. Discussion and Comparison
7. Conclusions
Author Contributions
Funding
Acknowledgments
Conflicts of Interest
References
- Karunatilaka, D.; Zafar, F.; Kalavally, V.; Parthiban, R. LED Based Indoor Visible Light Communications: State of the Art. IEEE Commun. Surv. Tutorials 2015, 17, 1649–1678. [Google Scholar] [CrossRef]
- Zhang, Y.; Wang, L.; Wang, K.; Wong, K.S.; Wu, K. Recent Advances in the Hardware of Visible Light Communication. IEEE Access 2019, 7, 91093–91104. [Google Scholar] [CrossRef]
- Romanova, A.; Barzdenas, V. A Review of Modern CMOS Transimpedance Amplifiers for OTDR Applications. Electronics 2019, 8, 1073. [Google Scholar] [CrossRef] [Green Version]
- Säckinger, E. Analysis and Design of Transimpedance Amplifiers for Optical Receivers; Wiley: Hoboken, NJ, USA, 2017. [Google Scholar] [CrossRef]
- Razavi, B. Design of Integrated Circuits for Optical Communications; John Wiley & Sons, Inc.: Hoboken, NJ, USA, 2003. [Google Scholar]
- Lee, S.B.S.; Liu, H.; Yeo, K.S. An inductorless 6-GHz variable gain differential transimpedance amplifier in 0.18-μm SiGe BiCMOS. In Proceedings of the IEEE International Symposium on Circuits and Systems (ISCAS), Sapporo, Japan, 26–29 May 2019. [Google Scholar]
- Lee, S.B.S.; Liu, H.; Yu, X.; Chen, J.-M.; Yeo, K.S. An Inductorless 5-GHz Differential Dual Regulated Cross-Cascode Transimpedance Amplifier using 40 nm CMOS. In Proceedings of the 2019 IEEE 13th International Conference on ASIC (ASICON), Chongqing, China, 29 October–1 November 2019; pp. 1–4. [Google Scholar] [CrossRef]
- Lee, S.B.S.; Liu, H.; Yeo, K.S.; Yu, X.P. Design of differential variable-gain transimpedance amplifier in 0.18-µm SiGe BiCMOS. Electron. J. 2020, 9, 1058. [Google Scholar] [CrossRef]
- Park, S.M.; Yoo, H.-J. 1.25-Gb/s Regulated Cascode CMOS Transimpedance Amplifier for Gigabit Ethernet Applications. IEEE J. Solid-State Circuits 2004, 39, 112–121. [Google Scholar] [CrossRef] [Green Version]
- Costanzo, R.; Bowers, S.M. A Current Reuse Regulated Cascode CMOS Transimpedance Amplifier With 11-GHz Bandwidth. IEEE Microw. Wirel. Components Lett. 2018, 28, 816–818. [Google Scholar] [CrossRef]
- Chen, D.; Yeo, K.S.; Shi, X.; Do, M.A.; Boon, C.C.; Lim, W.M. Cross-Coupled Current Conveyor Based CMOS Transimpedance Amplifier for Broadband Data Transmission. IEEE Trans. Very Large Scale Integr. Syst. 2013, 21, 1516–1525. [Google Scholar] [CrossRef]
- Royo, G.; Sanchez-Azqueta, C.; Aldea, C.; Celma, S.; Gimeno, C. CMOS transimpedance amplifier with controllable gain for RF overlay. In Proceedings of the 12th Conference on Ph.D. Research in Microelectronics and Electronics (PRIME), Lisbon, Portugal, 27–30 June 2016; pp. 1–4. [Google Scholar] [CrossRef]
- Chen, R.Y.; Yang, Z.-Y. CMOS Transimpedance Amplifier for Gigabit-per-Second Optical Wireless Communications. IEEE Trans. Circuits Syst. II Express Briefs 2015, 63, 418–422. [Google Scholar] [CrossRef]
- Taghavi, M.H.; Belostotski, L.; Haslett, J.W.; Ahmadi, P. 10-Gb/s 0.13µm CMOS inductorless modified-RGC transimpedance amplifier. IEEE Trans. Circuits Syst. Regul. Pap. 2015, 62, 1971–1980. [Google Scholar] [CrossRef]
- Ngo, T.-H.; Kim, C.-H.; Kwon, Y.J.; Ko, J.S.; Kim, D.-B.; Park, H.-H. Wideband Receiver for a Three-Dimensional Ranging LADAR System. IEEE Trans. Circuits Syst. I Regul. Pap. 2012, 60, 448–456. [Google Scholar] [CrossRef]
- Royo, G.; Martinez-Perez, A.D.; Sanchez-Azqueta, C.; Aldea, C.; Celma, S. A Highly Linear Low-Noise Transimpedance Amplifier for Indoor Fiber-Wireless Remote Antenna Units. Electronics 2019, 8, 437. [Google Scholar] [CrossRef] [Green Version]











| Bias Settings for All DC Pads | ||||||
|---|---|---|---|---|---|---|
| Pad | DC (V) | Pad | DC (V) | Pad * | DC (V) | I (mA) |
| 1 | 1.6 | 0.7 | 1.4 | |||
| 0.85 | 1 | 0.9 | 2.9 # | |||
| 0.2 | 1 | 1 | 0.12 | |||
| Variable-gain and peaking DC biasings for different settings | ||||||
| TIA gain setting | (V) | (V) | (V) | (V) | ||
| 1 (highest gain) | 1 | 1 | 1 | 1 | ||
| 2 | 1.4 | 1.2 | 1 | 1 | ||
| 3 | 1.6 | 1.4 | 1 | 1 | ||
| 4 | 1.7 | 1.5 | 1 | 1.4 | ||
| 5 | 1.8 | 1.5 | 1.4 | 1.5 | ||
| 6 (lowest gain) | 1.9 | 1.5 | 1.7 | 1.6 | ||
| TIA Gain Setting | Sim | Sim BW (GHz) | Meas | Meas BW (GHz) | Sim IP1dB (dBm) | Meas IP1dB (dBm) |
|---|---|---|---|---|---|---|
| 1 (highest gain) | 58.9 | 4.17 | 58.7 | 4.15 | −25.25 | −26.75 |
| 2 | 58.6 | 3.96 | 57.5 | 4.35 | −25.75 | −27 |
| 3 | 53.1 | 5.38 | 52.4 | 5.07 | −24 | −23.25 |
| 4 | 48.5 | 5.63 | 48.0 | 4.77 | −18.75 | −18.25 |
| 5 | 44.1 | 5.00 | 43.7 | 4.35 | −14.25 | −14 |
| 6 (lowest gain) | 38.8 | 4.23 | 37.5 | 4.04 | −9.75 | −9.75 * |
| Parameter | [8] a | [13] | [15] b | [16] | This Work | |
|---|---|---|---|---|---|---|
| Technology | 0.18 µm CMOS | 0.18 µm CMOS | 0.13 µm CMOS | 65 nm CMOS | 40 nm CMOS | |
| (V) | 1.8 | 1.8 | 3 | 1.2 | 1.6 | |
| (pF) | 0.25 | 0.5 | 2 | 0.45 | 0.5 | |
| Max gain (dBΩ) | 60.6 | 62.8 | 69.3 | 78 | 76 | 58.7 |
| Gain range (dBΩ) | 36.1 | 35 | 13.5 | 30 | 16 | 21.2 |
| BW (GHz) | 6.42 | 5.22 | 1 | 0.64 | 0.3 | 4.15 |
| Power (mW) | 30.7 | 27.5 | 6 | 114 | 6 | 7.84 |
| Area (mm2) | 0.0085 | 0.0085 | 0.0075 | 0.587 | 0.015 | 0.001 |
| 10.3 c | 21.7 c | 9.33 | 5.6 | 2 c | 10.7 c | |
| FOM | 2022 | 2293 | 3282 | 2676 | 2271 | 4831 |
Publisher’s Note: MDPI stays neutral with regard to jurisdictional claims in published maps and institutional affiliations. |
© 2021 by the authors. Licensee MDPI, Basel, Switzerland. This article is an open access article distributed under the terms and conditions of the Creative Commons Attribution (CC BY) license (https://creativecommons.org/licenses/by/4.0/).
Share and Cite
Lee, S.B.S.; Yeo, K.S. A 4 GHz Single-to-Differential Cross-Coupled Variable-Gain Transimpedance Amplifier for Optical Communication. Electronics 2021, 10, 3042. https://doi.org/10.3390/electronics10233042
Lee SBS, Yeo KS. A 4 GHz Single-to-Differential Cross-Coupled Variable-Gain Transimpedance Amplifier for Optical Communication. Electronics. 2021; 10(23):3042. https://doi.org/10.3390/electronics10233042
Chicago/Turabian StyleLee, Samuel B. S., and Kiat Seng Yeo. 2021. "A 4 GHz Single-to-Differential Cross-Coupled Variable-Gain Transimpedance Amplifier for Optical Communication" Electronics 10, no. 23: 3042. https://doi.org/10.3390/electronics10233042
APA StyleLee, S. B. S., & Yeo, K. S. (2021). A 4 GHz Single-to-Differential Cross-Coupled Variable-Gain Transimpedance Amplifier for Optical Communication. Electronics, 10(23), 3042. https://doi.org/10.3390/electronics10233042

