Abstract
This study investigates a control strategy for torque vectoring (TV) and active rear wheel steering (RWS) using feedforward and feedback control schemes for different circumstances. A comprehensive vehicle and combined slip tire model are used to determine the secondary effect and to generate desired yaw acceleration and side slip angle rate. A model-based feedforward controller is designed to improve handling but not to track an ideal response. A feedback controller based on close loop observation is used to ensure its cornering stability. The fusion of two controllers is used to stabilize a vehicle’s lateral motion. To increase lateral performance, an optimization-based control allocation distributes the wheel torques according to the remaining tire force potential. The simulation results show that a vehicle with the proposed controller exhibits more responsive lateral dynamic behavior and greater maximum lateral acceleration. The cornering safety is also demonstrated using a standard stability test. The driving performance and stability are improved simultaneously by the proposed control strategy and the optimal control allocation scheme.
1. Introduction
Various chassis control systems have been studied and developed to increase driving dynamics and safety. Growth in safety equipment and demand for space lead to an increase in modern vehicles’ weight. To improve performance and stability, many control systems have been implemented. Yaw motion control for safety, such as an electronic stability program (ESP), is generally a standard equipment item. Advanced control systems, such as torque vectoring, rear wheel steering and active suspension become popular and common because these types of control systems can improve driving performance for a vehicle.
Four-wheel steering (4WS) or active rear wheel steering (RWS) was introduced in the 1980s on commercial vehicles. Nowadays, the technology is often used in high performance or sports vehicles and is available as an optional extra on some passenger vehicles, such as Porsche 911. The advantages of RWS are reducing the turning radius at low velocity and increasing the stability at high velocity by using the additional steering angle at the rear axle.
All wheel drive (AWD) has been adopted for years to improve longitudinal acceleration performance [], but it is also possible to control a vehicle’s yaw motion by distributing the longitudinal tire forces on each wheel. During cornering, the tire lateral force approaches its peak value, but it is still possible to produce longitudinal force. Direct yaw moment control (DYC) or torque vectoring (TV) systems control a vehicle’s motion by intentionally distributing the wheel driving or braking torques to increase the cornering performance at the near-limit status []. In-wheel motor vehicles are used in sports or race cars to increase their efficiency and controllability. Each wheel produces either a driving or a braking torque independently, without the physical limitations of the traditional mechanical differential systems.
Rear wheel steering and torque vectoring both produce a yaw moment around the vertical axis of the vehicle. Many control methods, such as sliding mode control (SMC) [,] and linear quadratic regulator (LQR), are investigated, but the approaches of different researches are diverse. Chen [] used a combination of LQR, integral and feedforward control to eliminate the effect of steering input on side slip motion. Peters [] used an open-loop controller and a fine-tuned reference model to achieve precise and reproducible behavior under all circumstances, without the synthetic driving feeling from feedback controllers. Since TV or DYC controllers are usually model based, and vehicles’ parameters and road conditions often change significantly, there are some approaches to increasing system robustness. Kissai [] synthesized an controller to enhance the control robustness against the uncertainties in vehicle parameters. Warth [] designed a central feedforward control using an extended single-track model and the input-output linearization method, and made the reference generation adaptive by detecting the important parameters of tires. Hang [] proposed a polytopic model to make the vehicle model adapt along with the vehicle velocity and road friction coefficient, and developed a gain-scheduled robust controller to improve the vehicle’s stability in extreme conditions. Feedforward control is widely used for chassis control systems and requires tuning that takes a long time. The performance might be degraded by model uncertainties; by contrast it has the advantage of being easily tunable and of reproducible behavior, which is important for human drivers. Feedback control is more robust against model uncertainties; however, it relies on accurate estimation.
For multi-input systems, the most popular issue is control allocation (CA). There are many approaches to implement the optimal distribution. Mokhiamar [] proposed an optimum tire force distribution method to optimize the workload for each tire by using equality constraints to eliminate variables, and ensuring the objective function is not subjected to any constraints. Chen [] used a weighted pseudo-inverse to approach the desired longitudinal acceleration and desired yaw moment. Kissai [] studied the dynamics of actuators and used model predictive control allocation (MPCA) to predict the imminent saturation of actuators. Han [] proposed “equal distribution” to minimize power losses and increase energy efficiency. Xiao [] used a weighted least squares method to determine the optimal distribution to minimize control effort. There are many approaches to CA for over-actuated systems. Algebraic solvers require less computational effort; however, numerical methods are frequently used to deal with hard constraints such as actuators’ limitations.
This study proposes a combined control method to allow sporty driving behavior in normal condition and guarantees safety in severe situations. Driving feeling is crucial for the human driver. A reproducible linear dependency between the driver’s steering input and the lateral acceleration output is preferred for sporty driving sensation. To achieve this driving behavior, a model-based feedforward controller with a reference generator is proposed to improve lateral performance instead of tracking an ideal response. This kind of controller should take account of the secondary effect, which is proposed in [], to describe the interaction between longitudinal and lateral tie forces. The secondary effect is more complex for independent all-wheel drive vehicles because front and rear axles can both produce yaw torque. If a driver makes a mistake or road conditions deteriorate, the stability mode uses a feedback controller, intervenes in the vehicle’s motion to reduce its instability. The control allocation method maximizes the remaining friction potential in the tires and increases performance and safety.
This study is structured as follows. Section 2 presents the tire and vehicle model and the coordinate system for this study. Section 3 details the method to calculate the secondary effect and shows how the secondary effect affects the vehicle’s motion. Section 4 presents the control and allocation algorithm in detail. Section 4.2 and Section 4.3 detail the structures of the feedforward and feedback controllers and Section 4.4 expresses the concept of the controller allocation method. Section 5 presents the test procedures and simulation results. Section 6 draws conclusions about the control system and details future opportunities.
2. Modeling of Lateral Dynamics
This section presents a complex tire model, an advanced vehicle dynamics model with RWS and additional external yaw moment and a simplified single-track model. These are the basics for the following design of controllers.
The proposed controller uses commands from the driver, an advanced vehicle model with individual wheel loads, and a semi-empirical tire model based on the methods of Pacejka [] and Burhaumudin [] to generate the reference responses.
2.1. Tire Model
For this study, the secondary effect, which is caused by the interaction between longitudinal and lateral forces on the tire, is used for the feedforward controller. Basic models, such as linear tire models or the one used in [], are not sufficient to present the combined slip characteristic. The semi-empirical Magic Formula considers all of the relevant factors for this study.
The following simulations use different vertical loads on the tires due to load transfer, the longitudinal slip and the side slip angle under combined slip situation. Other factors, such as temperature and pressure, are assumed to be constant. The equations for the longitudinal and lateral force are:
The parameters that are used in Equations (1) and (2) are defined in Table 1.

Table 1.
Parameters for the magic formula.
Parameters B, C, D, E are a function of vertical load
, G is a function of longitudinal or lateral slip and
is related to the wheel camber angle, ply-steer or conicity. This is assumed to be zero for this study. These calculations result in the following equations:
The method to fit the tire model from experimental data is based on the CarSim tire tester procedure and a genetic algorithm. Using velocity, vertical load, and the road surface, the longitudinal slip ratio at different side slip angles and vertical loads are used to find the unknown parameters for longitudinal behavior.
The blue lines in Figure 1a,b are the experimental data and the red lines represent the GA fitting results. The combined slip characteristic is used for this study, which is essential for the subsequent research, as shown in Figure 1c,d.

Figure 1.
Pacejka tire model. (a) Fitting results, longitudinal force; (b) Fitting results, longitudinal force; and (c,d) Combined slip characteristic under 3800 N vertical load.
The transient behavior of a tire is described using the linear first-order lag element (-element) method []. The time constant is converted using the vehicle’s velocity and the relaxation length as:
where is the relaxation length, as specified in the CarSim tire model, is the time constant and is the steady state tire force. The defined relaxation length is 1/3 of the distance that the tire must roll before tire force is 95% of the steady-state value. Modeling the transient tire behavior allows the reference generator in the follow-up controller to account for additional dynamic effects on the driving behavior.
2.2. Vehicle Dynamics Model
The vehicle model for this study is defined in ISO coordinates. A definition of vehicle coordinates is shown in Figure 2. In the following equations, subscripts represent the four different wheels of the vehicle.

Figure 2.
Coordinates of the vehicle dynamics model.
In this study, the feedforward controller uses four in-wheel motor torque vectoring and active rear wheel steering. The secondary effect is calculated using the combined slip characteristic for each wheel, so the model must allow the calculation of each tire force. An advanced four-wheel vehicle model that includes body lateral and yaw motion is used for this study. A simple load transfer equation is used to calculate each wheel load, which is necessary to produce the longitudinal and lateral tire forces. The equations of motions for the vehicle model are:
where is body yaw rate, is body side slip angle, is longitudinal velocity, is lateral velocity, is yaw inertia of the vehicle, and are the summed lateral forces at the front and rear axles, and are, respectively, the distances between the front and rear axles to the center of gravity. is the yaw torque produced by torque vectoring, and is expressed as:
where and are the track width at the front and rear axles.
The calculation of wheel loads requires measured longitudinal and lateral acceleration. The equations for load transfer are:
where is the static load on each wheel, is the wheelbase of the vehicle, is the height of the center of gravity, and are the longitudinal and lateral acceleration and is the roll stiffness.
2.3. Simplified Single-Track Model
For the feedback controller, a linearized single-track model is used. In order to simplify calculations, this model uses the linear tire model to calculate the lateral force. The longitudinal velocity is assumed as a variable in the model. The equations of the bicycle model are:
where is the wheel steering angle and is the cornering stiffness.
Equations (6), (7), (13) and (14) are used to create a 2-DOF state based model. The inputs for the system are the rear wheel steering angle and the resulting yaw torque for the torque vectoring system. The front steering angle from the driver is expressed as a measurable disturbance for this study.
where
Using this model, the understeering coefficient can be expressed as:
3. Study of the Secondary Effect
The secondary effect is the result of the interaction between longitudinal and lateral tire forces. The first definition of secondary effect is given in []. The additional wheel torque due to the yaw torque request from the torque vectoring system results a reduction or an increase in the lateral force, which affects the lateral dynamics.
To determine the effect of the secondary effect, the Pacejka tire model and an advanced vehicle model are used. The method simulates two vehicle models under the same given states, such as velocity, steering wheel angle and throttle. One vehicle model uses an abstract input for the yaw torque request so the primary yaw torque is perfectly applied for this vehicle. The other vehicle model uses asymmetric wheel torque distribution to apply the command for torque vectoring so the secondary effect affects only this vehicle.
Using the two vehicle models, the combined slip characteristics of the tire and the difference in lateral dynamics are compared. The difference in the lateral forces shows how the secondary effect affects the vehicle’s motion. The definitions of the secondary effect are shown in the following equations:
The subscript represents the model that uses an abstract input yaw torque, subscript represents the model that uses true actuators to produce the yaw torque and is the secondary yaw torque due to the difference in the lateral forces for the two vehicles.
This study uses an electrical vehicle with independent all-wheel drive so the yaw torque command is applied on the vehicle through the front and rear axles. The control allocation strategy and analysis of the secondary effect is more complex.
Changes in the lateral forces during a left turn are shown in Figure 3. Each circle represents a change in the lateral forces at the front and rear axles due to different yaw torque requests and torque distributions. Both the front and rear axles can produce a yaw torque. If using only one axle to produce yaw torque request, the stress of the tires of the axle might be increased significantly. This causes a radical change in lateral forces and side slip. In a certain situation, such as certain velocity, lateral acceleration, and yaw torque request, there will exist a best torque distribution that minimizes the changes in the lateral forces.

Figure 3.
Changes in the lateral force for different yaw torque requests and distributions.
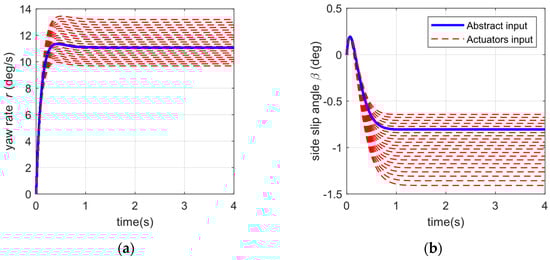
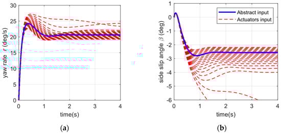
Figure 4 and Figure 5 show the step responses of yaw rate and the corresponding side slip angle during a left turn at 80 km/h for the same primary yaw torque request. Each dashed-line represents the different longitudinal distribution between the front and rear axles. Due to the different distribution of wheel torques, the deviations between vehicle models with the abstract inputs and with true-actuator inputs are different for the same primary yaw torque request. This shows the influence of the secondary effect. For high lateral acceleration, the secondary effect becomes more significant and can cause a spin if the lateral force at the rear axle is saturated.

Figure 4.
Secondary effects for different distributions for a left turn at 80 km/h and 30 deg steering wheel input. (a) Yaw rate responses; (b) Side slip angle responses.

Figure 5.
Secondary effects for different distributions for a left turn at 80 km/h and 60 deg steering wheel input. (a) Yaw rate responses; (b) Side slip angle responses.
These results show that the secondary effect, which is a result of the interaction between longitudinal and lateral tire forces, varies significantly with the primary yaw torque requests and the torque distributions. This effect should not be neglected for feedforward control because it can cause an unexpected extra slip that leads to loss of control during fierce driving. On the other hand, proper distribution of torque requests can minimize the stresses of the tires and keep the side slip response precise.
4. Controller Design
Figure 6 shows the block diagram of the overall system. The strategy uses handling mode to increase lateral performance and stability mode to stabilize the vehicle’s motion when losing control. The handling mode uses a feedforward controller that provides sporty and reproducible driving behavior and prevents a synthetic driving sensation, which is unacceptable for sports car drivers []. The stability mode uses a feedback controller to stabilize the vehicle’s motion when the vehicle loses control, which might be caused by a driver’s mistake. To make a smooth intervention of the stability mode, the stability criterion adjusts the weighting between two controllers according to the estimated understeering coefficient, then transits to stability mode when the vehicle experiences an undesired oversteer or understeer situation. The allocation scheme distributes the motor’s torque to each wheel. This is an optimization problem to prevent the saturation of tire forces.

Figure 6.
Block diagram of the overall control system.
4.1. Feedforward Controller (Handling Mode)
The handling mode allows driving behavior that is similar to a passive sports car, so the controlled vehicle must use the active controller to achieve a response that is similar to that of a fine-tuned vehicle that does not have any control system. The block diagram of the feedforward controller is shown in Figure 7.

Figure 7.
Block diagram of the feedforward controller.
This controller uses two vehicle models as explained in Section 2.2. The passive reference model (subscript 1) uses parameters such as the mass, the wheelbase, the trackwidth, the height of the center of gravity and the yaw inertia of an improved vehicle. This brings a more neutral and linear steering behavior than the second vehicle. The vehicle’s lateral dynamics are described as:
The original vehicle model’s (subscript 2) parameters are the same as those of the plant vehicle, for which the active controller is actually implemented. This model is extended using the yaw torque and the additional lateral force at the rear axle that is produced by the torque vectoring and the rear wheel steering system. The lateral dynamics are described using the following equations. The responses are neither measured nor estimated values so this method is similar to a state-of-the-art look-up table.
The objective is to achieve driving behavior that is comparable to the improved model. In an ideal scenario, this demand is expressed as:
Using these equations, the required additional lateral force at the rear axle and the yaw torque request for torque vectoring are solved. The secondary effect is calculated using the method in Section 3, followed by compensation for the primary yaw torque request. The control commands are expressed as:
4.2. Feedback Controller (Stability Mode)
Unlike the feedforward controller, this controller does not consider driving feeling. It concentrates on stability. The block diagram of the feedback controller is shown in Figure 8.

Figure 8.
Block diagram of feedback controller.
For this study, a Linear Quadratic Regulator (LQR), which uses the single-track model in Section 2.3, is designed. The objective function of the controller is expressed as Equation (29). The designed reference value for yaw rate is expressed in (30) with a 10 ms time constant []. The reference value of the side slip angle in this scenario is zero.
where Q and R are the weighting matrices for the state deviations and the input effort.
By solving the algebraic Riccati equation, the optimal control inputs minimizing the objective function are provided as:
where K is the optimal state feedback gain and P is the symmetric matrix solved from the algebraic Riccati equation.
4.3. Control Integration
The integration of the two controllers uses the current understeering coefficient, which is calculated using Equation (16) with parameters estimated from a Kalman filter. The threshold is designed to maintain neutral steering behavior using the definition in [], as expressed in Equation (34). Note that the threshold is tunable, depending on the limits of the design or driver preference.
In this region, the steering behavior is within an acceptable range so the vehicle’s motion is stable and responsive. In this scenario, the objective is to allow sporty driving behavior using the feedforward controller (handling mode). Outside this region, the vehicle may be unstable or unresponsive. At this moment, the feedback controller (stability mode) intervenes to stabilize the vehicle’s motion.
The combination of feedforward and feedback controllers uses the estimation of the understeering coefficient and this criterion to create an input vector that is merged using the inputs from two controllers. The weighting for the control inputs is defined in the following equation and shown in Figure 9.
where

Figure 9.
Weighting between the feedforward and feedback controllers.
4.4. Control Allocation
To properly distribute commands from the driver and the high-level controller, a control allocation is designed as a low-level controller. The rear wheel steering system is straightforward because there is only one control input: The rear wheel steering angle (shown in Figure 6). The torque vectoring system is more complicated because of its multi-input nature. Hence, the allocation scheme in this study only contains the torque vectoring by the four wheel torques as inputs.
The objective of the optimization problem is to prevent the saturation of the tires. The method is to award a higher penalty to the wheel for which the potential of tire force is lower, usually with a lower vertical load or a higher slip. The friction value for the most stressed tire represents the current required tire-road friction value. The friction value is defined as:
The optimization problem is solved by a QP-solver in Matlab/Simulink. The solver uses an Active Set Algorithm (ASA). This method is similar to the one in [], but for this study the weighted objective function is designed to increase performance. The quadratic objective function of the optimization problem is:
where is the control effectiveness matrix that describes the relationship between the command vector and the input vector and is the maximum limit for the inputs. The conversion of required longitudinal tire force to wheel torque command is multiplied by the static wheel radius .
The parameters for the optimization problem are:
The tuning term in the optimization problem is the positive definite weighting matrix , which is used to calculate the remaining potential for the tire force using the value of the vertical load and the combined slip . The remaining potential decreases as the vertical load decreases or the tire slip increases. Previous methods use the value in Equation (36) as the weight but this can cause improper distribution if the tire forces decrease due to saturation, especially during violent maneuvers. To prevent this inverse proportion between tire forces and workloads, this study substitutes combined slip for the resultant tire force, which is in the numerator of the friction value.
5. Results
The proposed controller is tested in a CarSim and Simulink environment. To evaluate the vehicle’s lateral dynamics, the following procedures are simulated:
- Frequency response of steering wheel sine wave input.
- Slow ramp input of steering wheel at constant speed.
- Sine with Dwell steering with a 5A amplitude.
- Double lane change (DLC).
The first three procedures are open-loop tests. Maneuvering the same steering wheel inputs in both the passive and controlled vehicles. The DLC procedure uses the built-in preview driver model with a 0.5 s preview time.
In this study, the steering wheel sine wave input, ramp input and DLC tests are designed to examine the improvement of handling performance. Thus, in these procedures, we do not apply extreme severe maneuvers to make the vehicle lose control. On the contrary, the objective of the Sine with Dwell test is to examine the quality of stability mode. The maneuver in this test will be fierce to cause an unstable situation and activate stability mode.
The plant model used in this study is one of the B-class Hatchback vehicles in CarSim. The improved vehicle, which is used as the reference model, has a mass and yaw inertia of 10% less to make the vehicle nimbler and more neutral. All procedures are tested on a flat road for which the road coefficient is 0.85.
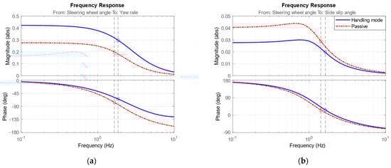
5.1. Frequency Responses
Figure 10 shows the frequency response plots for the yaw rate and side slip angle, from the steering wheel sine sweep maneuver. The amplitude of yaw rate increases and the amplitude of side slip angle decreases from low to high frequency. The increase in the phase margin for yaw motion represents an improvement in the vehicle’s agility, which is generally considered as a handling index by drivers. The bandwidths are increased for both systems so the responsiveness and stability are increased.

Figure 10.
Frequency response in steering sine sweep test: (a) Yaw rate response; (b) Side slip angle response.
5.2. Slow Ramp Steer Response
During the slow ramp steer procedure, the desired behavior is a linear and flat relationship between the lateral acceleration and the steering wheel input. For safety reasons, the side slip angle should decrease smoothly and not diverge at high lateral accelerations. Increasing the steering wheel angle when the lateral acceleration is saturated is an important signal for the driver, which indicates that the vehicle is reaching its limit. In order to improve lateral performance, this must occur as late as possible.
Figure 11a shows the relationship between lateral acceleration and steering wheel input. The linear region for a controlled vehicle is extended to generate higher lateral accelerations and the maximum lateral acceleration is increased. This is beneficial for sports or race cars because a driver has a larger linear operating region and there is less risk of losing control.

Figure 11.
Results in the steering ramp test: (a) Lateral acceleration vs. steering wheel angle input; (b) Lateral acceleration vs. side slip angle.
Figure 11b shows the relationship between lateral acceleration and side slip angle. Both the passive and the controlled vehicle transit to understeer at the maximum lateral acceleration but the controlled vehicle exhibits a smaller side slip angle for the same lateral acceleration. This is the most significant effect of the rear wheel steering system, because it produces additional lateral force at an axle.
5.3. Sine with Dwell
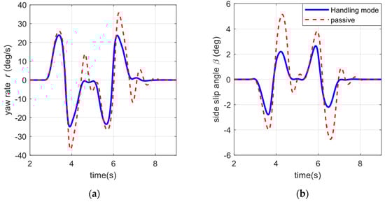
Sine with Dwell is a standard stability test that was formulated by the National Highway Traffic Safety Administration (NHTSA) []. The first step of this test involves maneuvering with a slow steering ramp input until the vehicle’s lateral acceleration reaches 0.3 g at 80 km/h. This defines the unit angle amplitude A of the steering wheel for the following tests. For this study, the stability test tests a situation that the feedforward controller (handling mode) cannot handle well due to violent maneuvering or model uncertainties. The steering amplitude of 5 A is used for this test and the feedback controller (stability mode) must intervene to stabilize its motion. The open-loop steering command is shown in Figure 12.

Figure 12.
Steering wheel input in the Sine with Dwell stability test.
Figure 13 shows the yaw rate and the side slip responses in the Sine with Dwell test. Due to the violent change in direction, the amplitude of yaw motion is increased. This effect is known as a Scandinavian flick, and is usually used in rally races but is difficult to handle for normal drivers. All vehicles become unstable after 2 s, but the passive vehicle loses control completely and the side slip angle becomes significant. The vehicle that uses handling mode has a smaller side slip angle but does not return to the zero-dynamic quickly after the steering wheel angle returns to zero. Combined control with additional stability mode maintains a lower side slip angle and returns to the zero-dynamic relatively quickly. The feedback controller produces some oscillations in the yaw motion at about 2 to 3 s, which produces a synthetic driving feeling. This is not beneficial to handling improvement scenarios.

Figure 13.
Results in Sine with Dwell stability test: (a) Yaw rate responses; (b) Side slip angle responses.
5.4. Double Lane Change
A double lane change (DLC) is a universally acknowledged handling test. For this study, the standard test ISO 3888-1 is implemented using the built-in preview driver model with a 0.5 s preview time. The driver model in CarSim represents an average driver and generates a steering action for trajectory tracking. This procedure is known as a moose test or elk test because a quick change in direction tests the responsiveness, stability and oscillation of the lateral dynamics. The track layout and vehicle’s trajectory of ISO 3888-1 are shown in Figure 14. The longitudinal distance and the lateral offset of the centerline are fixed and the width of cones in each section is varied depending on the vehicle’s width. Although the trajectories of both vehicles are similar, the lateral dynamic responses are different. This demonstrates the benefits of the proposed controller.

Figure 14.
Track layout and trajectories for ISO 3888-1.
The lateral distance error is not meaningful for the DLC test because drivers should plan the best route or racing line that allows the fastest passage in the real test. The lateral tracking error is affected by the driver model more than the chassis control system. Therefore, the DLC test should not be tested by virtual drivers only. A road test or driver in loop (DIL) environment is necessary to verify its performance.
Figure 15 shows the yaw rate and the side slip responses for the DLC test. For the target path in Figure 14, the curvatures are the same for the first two and last two corners, but the yaw rate response for the passive vehicle is larger for corners 2 and 4 due to the lack of responsiveness. The controlled vehicle has a similar magnitude of response for every corner and the side slip angle is decreased. Oscillations are also decreased when the controlled vehicle returns to a straight line after corners. It shows that the responsiveness and stability are improved simultaneously.

Figure 15.
Results for ISO 3888-1 at 80 km/h: (a) Yaw rate response; (b) Side slip angle response.
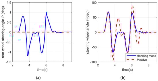
Figure 16 shows the steering angles at the rear axle and the driver’s input. The proposed control system provides a sporty driving sensation and makes a driver pass the track with smoother steering wheel input.

Figure 16.
Steering angle for ISO 3888-1 at 80 km/h: (a) Rear wheel steering angle; (b) Steering wheel angle.
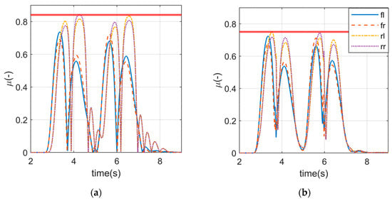
Figure 17 shows the tire workload for the passive and the controlled vehicle. The used friction value at the most stressed tire represents the current required tire-road friction coefficient and must be as small as possible. The red horizontal lines show that the controlled vehicle has a significantly lower required friction value because the allocation method balances each tire’s workload and prevents early saturation for a single wheel. Retaining more capacity for tire force means that the vehicle produces greater acceleration and allows more aggressive driving, or maintains the same dynamics on a road with a lower coefficient of friction, so the driving performance and safety are increased.

Figure 17.
Tire workloads for ISO 3888-1 at 80 km/h: (a) Passive; (b) Handling mode.
6. Conclusions
A combined controller for rear wheel steering and torque management is proposed. The feedforward controller uses a complex combined slip tire model and an advanced vehicle model to analyze the secondary effect. It uses a passive improved vehicle model to generate the reference responses. This allows sporty and reproducible driving behavior. The method by which the reference is generated is similar to a state-of-the-art look-up table and involves changing the parameters for the reference model. This also produces a nature transient behavior compared to steady state reference generation. The feedforward controller does not achieve ideal and synthetic driving behavior, so the driving sensation is natural for sports car drivers. A road test driver study or a driver-in-loop (DIL) environment should be implemented for verification.
To address model uncertainties, the feedback controller ensures safety. It detects unstable situations when there is risk of losing control. The stability criterion is a subject for future study because the strategy for stability control determines the balance between driving performance and safety.
Control allocation is complicated for an over-actuated system. The method for this study balances each tire’s workload and prevents saturation of the tires. The results show that the required tire-road friction is reduced by proper control allocation, so performance and stability are increased. The quality of the allocation is affected by the quality of the estimation and the actuator’s dynamics. These are the subjects for future study.
Author Contributions
Conceptualization, P.-C.C. and C.-K.C.; methodology, P.-C.C.; formal analysis, P.-C.C.; investigation, P.-C.C.; writing—original draft preparation, P.-C.C.; writing—review and editing, C.-K.C.; supervision, C.-K.C. All authors have read and agreed to the published version of the manuscript.
Funding
This work is supported by the Ministry of Science and Technology of Taiwan, ROC. Grant number MOST 110-2221-E-027-093.
Acknowledgments
The authors would like to thank Ping Huang for technical support.
Conflicts of Interest
The authors declare no conflict of interest.
References
- Piyabongkarn, D.; Rajamani, R.; Lew, J.Y.; Yu, H. On the use of torque-biasing devices for vehicle stability control. In Proceedings of the 2006 American Control Conference, Minneapolis, MN, USA, 14–16 June 2006. [Google Scholar]
- Shibahata, Y.; Shimada, K.; Tomari, T. Improvement of Vehicle Maneuverability by Direct Yaw Moment Control. Veh. Syst. Dyn. 1993, 22, 465–481. [Google Scholar] [CrossRef]
- Mokhiamar, O.; Abe, M. Simultaneous Optimal Distribution of Lateral and Longitudinal Tire Forces for the Model Following Control. J. Dyn. Syst. Meas. Control. 2004, 126, 753–763. [Google Scholar] [CrossRef]
- Shen, H.; Tan, Y.-S. Vehicle handling and stability control by the cooperative control of 4WS and DYC. Mod. Phys. Lett. B 2017, 31, 1740090. [Google Scholar] [CrossRef] [Green Version]
- Chen, B.-C.; Kuo, C.-C. Electronic stability control for electric vehicle with four in-wheel motors. Int. J. Automot. Technol. 2014, 15, 573–580. [Google Scholar] [CrossRef]
- Peters, Y.; Stadelmayer, M. Control allocation for all wheel drive sports cars with rear wheel steering. Automot. Engine Technol. 2019, 4, 111–123. [Google Scholar] [CrossRef]
- Kissai, M.; Monsuez, B.; Mouton, X.; Tapus, A. Optimization-Based Control Allocation for Driving/Braking Torque Vectoring in a Race Car. In Proceedings of the 2020 American Control Conference (ACC), Denvor, CO, USA, 1–3 July 2020. [Google Scholar]
- Warth, G.; Frey, M.; Gauterin, F. Design of a central feedforward control of torque vectoring and rear-wheel steering to beneficially use tyre information. Veh. Syst. Dyn. 2019, 58, 1789–1822. [Google Scholar] [CrossRef]
- Hang, P.; Xia, X.; Chen, X. Handling Stability Advancement With 4WS and DYC Coordinated Control: A Gain-Scheduled Robust Control Approach. IEEE Trans. Veh. Technol. 2021, 70, 3164–3174. [Google Scholar] [CrossRef]
- Kissai, M.; Monsuez, B.; Mouton, X.; Martinez, D.; Tapus, A. Model Predictive Control Allocation of Systems with Different Dynamics. In Proceedings of the 2019 IEEE Intelligent Transportation Systems Conference (ITSC), Auckland, New Zealand, 27–30 October 2019. [Google Scholar]
- Han, Z.; Xu, N.; Chen, H.; Huang, Y.; Zhao, B. Energy-efficient control of electric vehicles based on linear quadratic regulator and phase plane analysis. Appl. Energy 2018, 213, 639–657. [Google Scholar] [CrossRef]
- Xiao, F. Optimal torque distribution for four-wheel-motored electric vehicle stability enhancement. In Proceedings of the 2015 IEEE International Transportation Electrification Conference (ITEC), Chennai, India, 27–29 August 2015. [Google Scholar]
- Pacejka, H. Tire and Vehicle Dynamics; Elsevier: Amsterdam, The Netherlands, 2005. [Google Scholar]
- Burhaumudin, M.S.; Samin, P.M.; Jamaluddin, H.; Rahman, R.A.; Sulaiman, S. Modeling and validation of magic formula tire model. In Proceedings of the International Conference on the Automotive Industry, Mechanical and Materials Science (ICAMME 2012), Penang, Malaysia, 19 May 2012. [Google Scholar]
- Huang, Y.; Chen, Y. Estimation and analysis of vehicle lateral stability region with both front and rear wheel steering. In Proceedings of the Dynamic Systems and Control Conference, American Society of Mechanical Engineers, Tysons Corner, Virginia, 11–13 October 2017. [Google Scholar]
- Proposed FMVSS No. 126 Electronic Stability Control Systems; Office of Regulatory Analysis and Evaluation, National Center for Statistics and Analysis: Washington, DC, USA, 2007.
Publisher’s Note: MDPI stays neutral with regard to jurisdictional claims in published maps and institutional affiliations. |
© 2021 by the authors. Licensee MDPI, Basel, Switzerland. This article is an open access article distributed under the terms and conditions of the Creative Commons Attribution (CC BY) license (https://creativecommons.org/licenses/by/4.0/).