Assessment of Conducted Emission for Multiple Compact Fluorescent Lamps in Various Grid Topology
Abstract
:1. Introduction
2. Processing Highly Volatile Sinusoidal Components in EMI Receiver
3. Measurement Setup
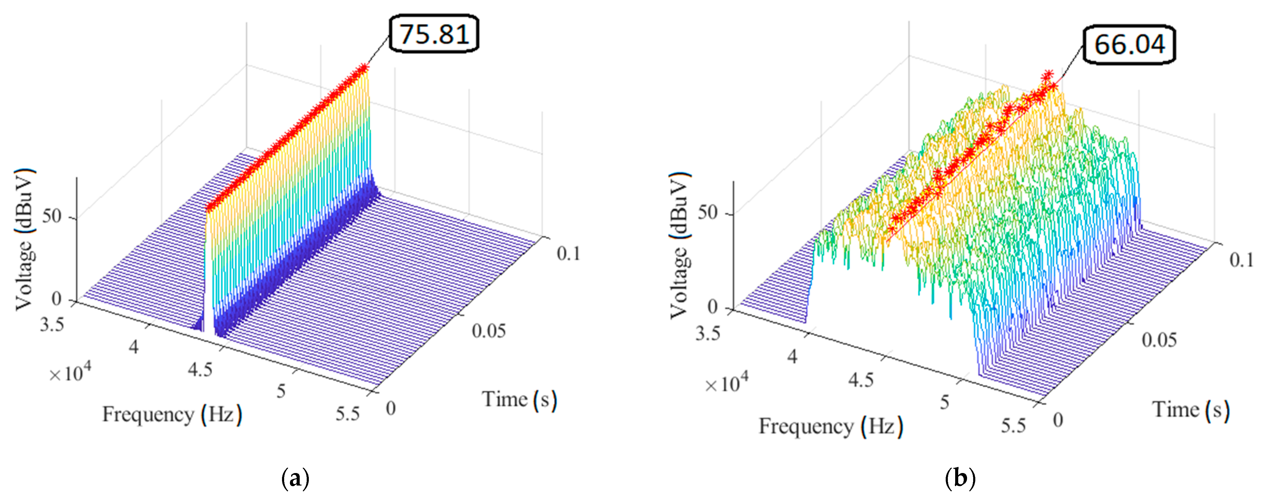
4. Experimental Results and Discussion
5. Conclusions
Author Contributions
Funding
Conflicts of Interest
References
- European Commission. Commission Regulation (EC) No 244/2009 Directive 2005/32/EC of the European Parliament and of the Council with regard to ecodesign requirements for non-directional household lamps. Off. J. Eur. Union 2009, 47, 3–16. [Google Scholar]
- European Commission. Commission Regulation (EC) No 245/2009 2005/32/EC with regard to ecodesign requirements for fluorescent lamps without integrated ballast, for high intensity discharge lamps, and for ballasts and luminaires able to operate such lamps, and repealing Directive 2000/55/EC of the European Parliament and of the Council. Off. J. Eur. Union 2009, 65, 17–44. [Google Scholar]
- IEA. Lighting; International Energy Agency: Paris, France, 2020. [Google Scholar]
- Watson, R.; Hawkes, T.R.A.; Simbolotti, G. Lighting; IEA Energy Technology Systems Analysis Programme (ETSAP): Paris, France, 2012. [Google Scholar]
- McGillicuddy, P.; De Grazio, D. Lighting Parameters for Building Information Modeling; Illuminating Engineering Society: New York, USA, 2019. [Google Scholar]
- Hajjah Nor Maizura binti Yusoff. Guidelines on Occupational Safety and Health for Lighting at Workplace; Department of Occupational Safety and Health Malaysia: Putrajaya, Malaysia, 2018. [Google Scholar]
- Yong, J.; Chen, L.; Nassif, A.B.; Xu, W. A Frequency-Domain Harmonic Model for Compact Fluorescent Lamps. IEEE Trans. Power Deliv. 2010, 25, 1182–1189. [Google Scholar] [CrossRef]
- Nassif, A.B.; Xu, W. Characterizing the Harmonic Attenuation Effect of Compact Fluorescent Lamps. IEEE Trans. Power Deliv. 2009, 24, 1748–1749. [Google Scholar] [CrossRef]
- Adebowale, E.; Shadare, M.S.; Musa, S.M. Electromagnetic compatibility issues in critical smart grid infrastructure. IEEE Electromagn. Compat. Mag. 2017, 6, 63–70. [Google Scholar]
- Smolenski, R.; Kempski, A.; Benysek, G. Aggregated Conducted EMI Generated by Group of Frequency Converter-Fed Drives. In Proceedings of the 2009 IEEE Compatibility and Power Electronics, Badajoz, Spain, 20–22 May 2009; pp. 381–385. [Google Scholar]
- Smolenski, R.; Lezynski, P.; Bojarski, J.; Drozdz, W.; Lok, C.L. Electromagnetic compatibility assessment in multiconverter power systems—Conducted interference issues. Meas. Elsevier 2020, 165, 108119. [Google Scholar] [CrossRef]
- European Commission. Commission Regulation (EC) Directive 2014/30/EU on the Harmonisation of the Laws of the Member States Relating to Electromagnetic Compatibility, The European Parliament and the Council. Off. J. Eur. Union 2014, 96, 79. [Google Scholar]
- Capponi, L.; Fernandez, I.; Roggo, D.; Arrinda, A.; Angulo, I.; De La Vega, D. Comparison of measurement methods of grid impedance for Narrow Band-PLC up to 500 kHz. In Proceedings of the 2018 IEEE 9th International Workshop on Applied Measurements for Power Systems (Amps), Aachen, Germany, 26–28 September 2018; pp. 82–87. [Google Scholar]
- Emleh, A.; de Beer, A.S.; Ferreira, H.C.; Vinck, A.J.H. The impact of the CFL lamps on the power-line communications channel. The Impact of the CFL Lamps on the Power-Line Communications Channel. In Proceedings of the 2013 17th IEEE International Symposium on Power Line Communications and Its Applications (ISPLC), Johannesburg, South Africa, 24–27 March 2013; pp. 225–229. [Google Scholar]
- Emleh, A.; De Beer, A.S.; Cheng, L.; Ferreira, H.; Vinck, A.H. An Overview of Colour LED & CFL Lighting Interference on the Low Voltage PLC Network. In Proceedings of the 2017 40th International Conference on Telecommunications and Signal Processing (Tsp), Barcelona, Spain, 5–7 July 2017; pp. 220–224. [Google Scholar]
- Castro, A.D.R.G.D.; Medina-Gracia, R.; Ronnberg, S.; Blanco, A.; Meyer, J. Differences in the performance between CFL and LED lamps under different voltage distortions. In Proceedings of the 2018 18th International Conference on Harmonics and Quality of Power (ICHQP), Ljubljana, Slovenia, 13–16 May 2018. [Google Scholar]
- Lok, C.L.; Waseem, E.S.; Wibisono, M.A.; Moonen, N.; Smolenski, R.; Lezynski, P. Characteristic of Conducted EMI in Compact Fluorescent Lamps Application Assessment based on CISPR-11. In Proceedings of the Asia-Pacific International Symposium on Electromagnetic Compatibility (APEMC), Bali, Indonesia, 27–30 September 2021. [Google Scholar]
- Ferreira, P.I.L.; Fontgalland, G.; Aragão, G.F.; Nascimento, A.R.Z.; Freire, R.C.S. Survey of Conducted EMI from Compact Fluorescent Lamps. Comput. Field Models Electromagn. Devices 2010, 34, 812–820. [Google Scholar]
- Smolenski, R.; Kempski, A.; Bojarski, J.; Lezynski, P. EMI generated by Power Electronic Interfaces in Smart Grids. In Proceedings of the International Symposium on Electromagnetic Compatibility—EMC EUROPE, Rome, Italy, 17–21 September 2012. [Google Scholar]
- Xie, D.G.; Hou, D.Y.; Fang, C.H.; Huang, M.L. On Simulation of Response Characteristic of EMI Test Receiver RF Front End. In Proceedings of the 2009 5th Asia-Pacific Conference on Environmental Electromagnetics, Piscataway, NJ, USA, 16–19 September 2009; pp. 164–167. [Google Scholar]
- Hormaier, K.; Zangl, H.; Zojer, H. An EMI Receiver Model to Evaluate Electromagnetic Emissions by Simulation. In Proceedings of the 2012 IEEE International Instrumentation and Measurement Technology Conference (I2MTC), Graz, Austria, 13–16 May 2012; pp. 2558–2562. [Google Scholar]
- Specification for Radio Disturbance and Immunity Measuring Apparatus and Methods—CISPR 16-1-1: Radio Disturbance and Immunity Measuring Apparatus—Measuring Apparatus; IEC: Geneva, Switzerland, 2015.
- Pop, F.; Munteanu, C.; Răcăşan, A.; Păcurar, C.; Pruşu, S.; Mihai, G. Evaluation of Conducted Disturbances from LED Lamps According to EN 55015. In Proceedings of the 2016 International Conference on Communications (COMM 2016), Kuala Lumpur, Malaysia, 23–27 May 2016; pp. 509–512. [Google Scholar]
- Aguilar, L.A.; Robledo-Sanchez, C.; Carrasco, M.A.; Otero, M.M. The principle of superposition for waves: The amplitude and phase modulation phenomena. Appl. Math. Inf. Sci. 2012, 6, 307–315. [Google Scholar]
- Li, C.; Zhang, L.; Dong, T.; Wang, T.; Chen, H. An EMI Receiver Model with Consideration of the Intermediate Frequency Filter. In Proceedings of the 2016 Asia-Pacific International Symposium on Electromagnetic Compatibility (APEMC), Shenzhen, China, 17–21 May 2016; pp. 233–236. [Google Scholar]
- Zhang, X.; Zhao, Z.; Guo, F.; Meng, J.; Li, W.; Hu, A. Frequency Spectrum Analysis Method for Short-time and Frequency Conversion Signals Based on Simulation EMI Receiver. In Proceedings of the 2010 Asia-Pacific International Symposium on Electromagnetic Compatibility & Technical Exhibition on Emc Rf/Microwave Measurements & Instrumentation, Beijing, China, 12–16 April 2010; pp. 1606–1609. [Google Scholar]
- Karaca, T.; Deutschmann, B.; Winkler, G. EMI-Receiver Simulation Model with Quasi-Peak Detector. In Proceedings of the 2015 IEEE International Symposium on Electromagnetic Compatibility (EMC), Dresden, Germany, 16–22 August 2015; pp. 891–896. [Google Scholar]
- Braun, S.; Frech, A.; Russer, P. CISPR Specification and Measurement Uncertainty of the Time-domain EMI Measurement System. In Proceedings of the 2008 IEEE International Symposium on Electromagnetic Compatibility, Detroit Michigan, MI, USA, 18–22 August 2008; pp. 415–418. [Google Scholar]
- Braun, S.; Donauer, T.; Russer, P. A Real-Time Time-Domain EMI Measurement System for Full-Compliance Measurements According to CISPR 16-1-1. IEEE Trans. Electromagn. Compat. 2008, 50, 259–267. [Google Scholar] [CrossRef]
- Sarah Rönnberg, A.L. A Simple Model For Interaction Between Equipment At A Frequency Of Some Tens Of KHz. In Proceedings of the International Conference on Electricity Distribution, Frankfurt, Germany, 6–9 June 2011. [Google Scholar]
- Lezynski, P.; Smolenski, R.; Loschi, H.; Thomas, D.; Moonen, N. A novel method for EMI evaluation in random modulated power electronic converters. Meas. Elsevier 2020, 151, 107098. [Google Scholar] [CrossRef]
- Yang, Y.R. Comparison of Push-Pull and Half-bridge Resonant Inverters for Cold Cathode Fluorescent Lamps. In Proceedings of the 2015 IEEE 11th International Conference on Power Electronics and Drive Systems (PEDS 2015), Piscataway, NJ, USA, 9–12 June 2015; pp. 696–702. [Google Scholar]
- Bayona, J.F.; Chamorro, H.R.; Sanchez, A.C.; Aguillon-Garcia, J.; Rubio, D.A. A High Efficiency Fluorescent Lamp Electronic Ballast Design. In Proceedings of the IEEE Cacidi 2016—IEEE Conference on Computer Sciences, Buenos Aires, Argentina, 30 November–2 December 2016. [Google Scholar]
- Keyer, C.; Buesink, F.; Leferink, F. Mains Power Synchronous Conducted Noise Measurement in the 2 to 150 kHz band. In Proceedings of the 2016 International Symposium on Electromagnetic Compatibility—EMC Europe, Wroclaw, Poland, 5–9 September 2016; pp. 865–869. [Google Scholar]











Publisher’s Note: MDPI stays neutral with regard to jurisdictional claims in published maps and institutional affiliations. |
© 2021 by the authors. Licensee MDPI, Basel, Switzerland. This article is an open access article distributed under the terms and conditions of the Creative Commons Attribution (CC BY) license (https://creativecommons.org/licenses/by/4.0/).
Share and Cite
Long, L.C.; Sayed, W.E.; Munesswaran, V.; Moonen, N.; Smolenski, R.; Lezynski, P. Assessment of Conducted Emission for Multiple Compact Fluorescent Lamps in Various Grid Topology. Electronics 2021, 10, 2258. https://doi.org/10.3390/electronics10182258
Long LC, Sayed WE, Munesswaran V, Moonen N, Smolenski R, Lezynski P. Assessment of Conducted Emission for Multiple Compact Fluorescent Lamps in Various Grid Topology. Electronics. 2021; 10(18):2258. https://doi.org/10.3390/electronics10182258
Chicago/Turabian StyleLong, Lok Choon, Waseem El Sayed, Venkatkumar Munesswaran, Niek Moonen, Robert Smolenski, and Piotr Lezynski. 2021. "Assessment of Conducted Emission for Multiple Compact Fluorescent Lamps in Various Grid Topology" Electronics 10, no. 18: 2258. https://doi.org/10.3390/electronics10182258
APA StyleLong, L. C., Sayed, W. E., Munesswaran, V., Moonen, N., Smolenski, R., & Lezynski, P. (2021). Assessment of Conducted Emission for Multiple Compact Fluorescent Lamps in Various Grid Topology. Electronics, 10(18), 2258. https://doi.org/10.3390/electronics10182258

