A Cross-Mode Universal Digital Pre-Distortion Technology for Low-Sidelobe Active Antenna Arrays in 5G and Satellite Communications
Abstract
:1. Introduction
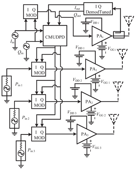
2. Principle of the CMUDPD Technique
3. Simulation Validation
- Step 1: Drive the PAs to one of the different operation modes while working at the 1 dB compression point.
- Step 2: Select an operation mode i in the low-sidelobe active antenna array, as shown in Figure 2, to obtain the output signal for pre-distortion.
- Step 3: According to the output signal obtained in step 2, model the PAs in the array in MATLAB. Collect the coefficient of CMUDPD using MPM, and the obtain pre-distorted input signal.
- Step 4: Load the pre-distorted signal into the CMUDPD block of ADS. Then change the PA’s operating mode according to Table 2. After the CMUDPD, obtain the linearized outputs of PAs.
- Step 5: Plot the normalized power spectral density (PSD) and calculate EVM and ACPR.
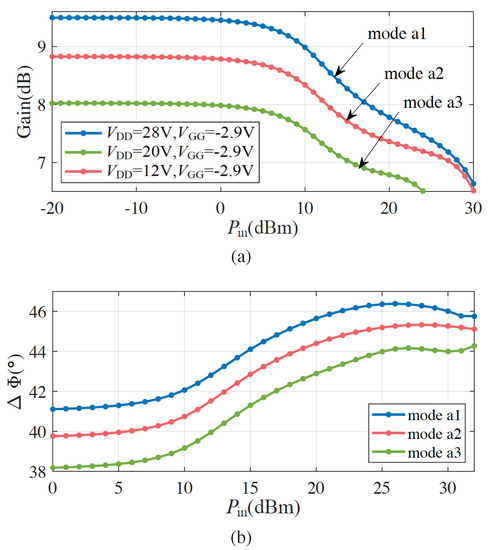
3.1. Group A: CMUDPD of PAs Operating in Class AB
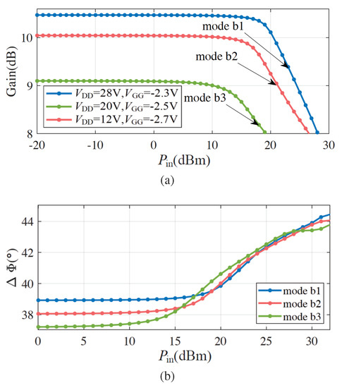
3.2. Group B: CMUDPD of PAs Operating in Class A
3.3. Comparison between Group A and Group B
4. Experimental Validation and Discussion
4.1. Experimental Setup and Results Analysis
- Generate the input signal and record the output signal under different operation modes. Load an LTE signal with a bandwidth of 10 MHz, , from the computer to the signal generator. Excite the PA using the modulated signal and record the output, , from the signal analyzer to the computer.
- Calculate the pre-distorted signal by MPM. When testing Group A, generate the pre-distorted signal, , by the MPM with a memory depth of 7 and an order of 5 using the recorded and . When testing Group B, generate the pre-distorted signal, , by the MPM with a memory depth of 7 and an order of 3 using the recorded and .
- Load the pre-distorted signal from the computer into the signal generator and excite the PA using under different modes. Record the corresponding pre-distorted output signals and calculate PSD, EVM, and ACPR.
4.2. Wide Band Validation
4.3. The Drain Current Deviations Tolerance Capability of CMUDPD
5. Conclusions
Author Contributions
Funding
Conflicts of Interest
References
- Cao, T.; Liu, Y.; Chen, W.; Yang, C.; Zhou, J. Analytical Design Solution for Optimal Matching of Hybrid Continuous Mode Power Amplifiers Suitable for a High-Efficiency Envelope Tracking Operation. Electronics 2019, 8, 621. [Google Scholar] [CrossRef] [Green Version]
- Larsson, E.G.; Edfors, O.; Tufvesson, F.; Marzetta, T.L. Massive MIMO for next generation wireless systems. IEEE Commun. Mag. 2014, 52, 186–195. [Google Scholar] [CrossRef] [Green Version]
- Inmarsat Massive MIMO for Next Generation Wireless Systems. Available online: https://arxiv.org/pdf/1304.6690.pdf (accessed on 23 January 2014).
- Araniti, G.; Bisio, I.; De Sanctis, M.; Orsino, A.; Cosmas, J. Multimedia content delivery for emerging 5G-satellite networks. IEEE Trans. Broadcast. 2016, 62, 10–23. [Google Scholar] [CrossRef]
- Lazzarin, G.; Pupolin, S.; Sarti, A. Nonlinearity compensation in digital radio systems. IEEE Trans. Commun. 1994, 42, 988–999. [Google Scholar] [CrossRef]
- Mousavi, P.; Fakharzadeh, M.; Safavi-Naeini, S. 1K element antenna system for mobile direct broadcasting satellite reception. IEEE Trans. Broadcast. 2010, 56, 340–349. [Google Scholar] [CrossRef]
- Habu, S.; Li, C.; Yamao, Y. Spectrum-folding scalar-feedback architecture for wideband DPD with simple feedback circuit. In Proceedings of the 47th European Microwave Conference (EuMC), Nuremberg, Germany, 10–12 October 2017; pp. 1054–1057. [Google Scholar]
- Qiao, W.; Li, G.; Zhang, Y.; Li, H.; Liu, F. A band-limited digital pre-distortion method for hybrid MIMO transmitters. In Proceedings of the International Conference on Microwave and Millimeter Wave Technology (ICMMT), Guangzhou, China, 19–22 May 2019; pp. 1–3. [Google Scholar]
- Ibarra, M.; Panduro, M.A.; Andrade, A.G. Differential evolution multi-objective for optimization of isoflux antenna arrays. IETE Tech. Rev. 2016, 33, 1–10. [Google Scholar] [CrossRef]
- Khan, B.; Tervo, N.; Pärssinen, A.; Juntti, M. Average linearization of phased array transmitters under random amplitude and phase variations. In Proceedings of the 16th International Symposium on Wireless Communication Systems (ISWCS), Oulu, Finland, 27–30 August 2019; pp. 553–557. [Google Scholar]
- Hammi, O.; Ghannouchi, F.M. Power alignment of digital predistorters for power amplifiers linearity optimization. IEEE Trans. Broadcast. 2009, 55, 109–114. [Google Scholar] [CrossRef]
- Liu, X.; Zhang, Q.; Chen, W.; Feng, H.; Chen, L.; Ghannouchi, F.M.; Feng, Z. Beam-oriented digital pre-distortion for 5G massive MIMO hybrid beamforming transmitters. IEEE Trans. Microw. Theory Tech. 2018, 66, 3419–3432. [Google Scholar] [CrossRef]
- Chen, W.; Lv, G.; Liu, X.; Feng, Z. Energy-efficient doherty power amplifier mmic and beamforming-oriented digital pre-distortion for 5G massive MIMO application. In Proceedings of the 2017 IEEE Asia Pacific Microwave Conference (APMC), Kuala Lumpur, Malaysia, 13–16 November 2017; pp. 391–394. [Google Scholar]
- Tehrani, A.S.; Eriksson, T.; Fager, C. Modeling of long term memory effects in RF power amplifiers with dynamic parameters. In Proceedings of the IEEE/MTT-S International Microwave Symposium Digest, Montreal, QC, Canada, 17–22 June 2012; pp. 1–3. [Google Scholar]
- Afsardoost, S.; Eriksson, T.; Fager, C. Digital pre-distortion using a vector-switched model. IEEE Trans. Microw. Theory Tech. 2012, 60, 1166–1174. [Google Scholar] [CrossRef]
- Guo, Y.; Yu, C.; Zhu, A. Power adaptive digital pre-distortion for wideband RF power amplifiers with dynamic power transmission. IEEE Trans. Microw. Theory Tech. 2015, 63, 3595–3607. [Google Scholar] [CrossRef] [Green Version]
- Chaplin, A.F. Analysis and synthesis of antenna arrays. NASA STI/Recon Tech. Rep. A 1987, 88, 48703. [Google Scholar]
- Niroo-Jazi, M.; Al-Saedi, H.; Gigoyan, S.; Safavi-Naeini, S. Design and analysis of reconfigurable reflectarray antennas for Ka-band satellite communications on the move. In Proceedings of the 17th International Symposium on Antenna Technology and Applied Electromagnetics (ANTEM), Montreal, QC, Canada, 10–13 July 2016; pp. 1–2. [Google Scholar]
- Panduro, M.A.; Reyna, A.; Camacho, J. Design of scannable linear arrays with amplitude and phase optimisation for maximum side lobe level reduction. Int. J. Electron. 2009, 94, 323–329. [Google Scholar] [CrossRef]
- Tervo, N.; Aikio, J.; Tuovinen, T.; Rahkonen, T.; Parssinen, A. Digital pre-distortion of amplitude varying phased array utilising over-the-air combining. In Proceedings of the IEEE MTT-S International Microwave Symposium (IMS), Honolulu, HI, USA, 4–9 June 2017; pp. 1165–1168. [Google Scholar]
- Tervo, N.; Leinonen, M.E.; Aikio, J.; Rahkonen, T.; Parssinen, A. Analyzing the effects of PA variations on the performance of phased array digital pre-distortion. In Proceedings of the IEEE 29th Annual International Symposium on Personal, Indoor and Mobile Radio Communications (PIMRC), Bologna, Italy, 9–12 September 2018; pp. 215–219. [Google Scholar]
- Moradi, A.; Mohajeri, F. Side lobe level reduction and gain enhancement of a pyramidal horn antenna in the presence of metasurfaces. IET Microw. Antennas Propag. 2018, 12, 295–301. [Google Scholar] [CrossRef]
- Yu, C.; Guan, L.; Zhu, E.; Zhu, A. Band-limited volterra series-based dig ital pre-distortion for wideband RF power amplifiers. IEEE Trans. Microw. Theory Tech. 2012, 60, 4198–4208. [Google Scholar] [CrossRef] [Green Version]
- Choi, S.; Jeong, E. Digital pre-distortion based on combined feedback in MIMO transmitters. IEEE Commun. Lett. 2012, 16, 1572–1575. [Google Scholar] [CrossRef]
- Lee, S.; Kim, M.; Sirl, Y.; Jeong, E.; Hong, S.; Kim, S.; Lee, Y.H. Digital pre-distortion for power amplifiers in hybrid MIMO systems with antenna subarrays. In Proceedings of the IEEE 81st Vehicular Technology Conference (VTC Spring), Glasgow, UK, 11–14 May 2015; pp. 1–5. [Google Scholar]
- Liu, L.; Chen, W.; Ma, L.; Sun, H. Single-PA-feedback digital pre-distortion for beamforming MIMO transmitter. In Proceedings of the IEEE International Conference on Microwave and Millimeter Wave Technology (ICMMT), Beijing, China, 5–8 June 2016; pp. 573–575. [Google Scholar]
- Abdelaziz, M.; Anttila, L.; Brihuega, A.; Tufvesson, F.; Valkama, M. Digital pre-distortion for hybrid MIMO transmitters. IEEE J. Sel. Top. Signal Process 2018, 12, 445–454. [Google Scholar] [CrossRef] [Green Version]
- Luo, Q.; Zhu, X.; Yu, C.; Hong, W. Single-receiver over-the-air digital pre-distortion for massive MIMO transmitters with antenna crosstalk. IEEE Trans. Microw. Theory Tech. 2020, 68, 301–315. [Google Scholar] [CrossRef]
- Li, Y.; Huang, Y.; Shen, M. Modeling and linearization of active phased arrays with non-uniform power distribution. In Proceedings of the 27th Telecommunications Forum (TELFOR), Belgrade, Serbia, 26–27 November 2019; pp. 1–4. [Google Scholar]
- Alicano, C.R.; Covarrubias, D.H.; Brizuela, C.A.; Panduro, M.A. Differential evolution algorithm applied to sidelobe level reduction on a planar array. Int. J. Electron. Commun. 2007, 61, 286–290. [Google Scholar] [CrossRef]
- Reyna, A.; Panduro, M.A.; Covarrubias, D.H.; Mendez, A. Design of steerable concentric rings array for low side lobe level. Sci. Iran. 2012, 19, 727–732. [Google Scholar] [CrossRef] [Green Version]
- Cucini, A.; Albani, M.; Maci, S. Truncated floquet wave full-wave analysis of large phased arrays of open-ended waveguides with a nonuniform amplitude excitation. IEEE Trans. Antennas Propag. 2003, 51, 1386–1394. [Google Scholar] [CrossRef]
- Chen, F.; Chen, J.; Chu, Q.; Lancaster, M.J. X-band waveguide filtering antenna array with nonuniform feed structure. IEEE Trans. Microw. Theory Tech. 2017, 65, 4843–4850. [Google Scholar] [CrossRef]
- Buttazzoni, G.; Babich, F.; Vatta, F.; Comisso, M. Geometrical synthesis of sparse antenna arrays using compressive sensing for 5G IoT applications. Sensors 2020, 20, 350. [Google Scholar] [CrossRef] [Green Version]
- Panduro, M.A.; Mendez, A.L.; Dominguez, R.; Romero, G. Design of non-uniform circular antenna arrays for side lobe reduction using the method of genetic algorithms. Int. J. Electron. Commun. 2006, 60, 713–717. [Google Scholar] [CrossRef]
- Zhu, A.; Pedro, J.C.; Brazil, T.J. Dynamic deviation reduction-based volterra behavioral modeling of RF power amplifiers. IEEE Trans. Microw. Theory Tech. 2006, 54, 4323–4332. [Google Scholar] [CrossRef]
- Matsubara, H.; Ishihara, K.; Miyadai, N.; Nojima, T. Hybrid pre-distortion to compensate third- and fifth-order intermodulation of a 2 GHz power amplifier using cuber pre-distortion and second harmonics injection. IET Microw. Antennas Propag. 2008, 2, 813–822. [Google Scholar] [CrossRef]
- Soleiman, E.; Germain Pham, D.; Jabbour, C.; Desgreys, P.; Kamarei, M. Memory aware physically enhanced polynomial model for PAs. IET Microw. Antennas Propag. 2019, 13, 833–841. [Google Scholar] [CrossRef]
- CGH40006, 6 W, GaN HEMT by Cree for General Purpose (CGH40006p) (Wireless Devices) Transistor. Available online: https://www.mouser.com/d/s/2/90/gh40006p-876367.pdf (accessed on 14 May 2015).
- Nunes, L.C.; Cabral, P.M.; Pedro, J.C. AM/AM and AM/PM distortion generation mechanisms in Si LDMOS and GaN HEMT based RF power amplifiers. IEEE Trans. Microw. Theory Tech. 2014, 62, 799–809. [Google Scholar] [CrossRef]
- Std-T, Arib Evolved Universal Terrestrial Radio Access (E-UTRA); User Equipment (UE) Radio Transmission and Reception (Release 10). Available online: https://www.arib.or.jp/english/html/overview/doc/STD-T104v3_10/4_Cross_Reference/3GPP_SPEC_Cross_ReferenceT104V310_Rel10.pdf (accessed on 30 September 2015).
- Gilmore, R. Practical rf circuit design for modern wireless systems v.ii. IEEE Electr. Insul. Mag. 2004, 20, 54. [Google Scholar]
- Gilmore, R. Satellite Communications Antenna Concepts and Engineering; Springer: New York, NY, USA, 2013. [Google Scholar]
- Reyna, A.; Panduro, M.A.; del Rio-Bocio, C.; Méndez, A.L. Design of different planar geometries of antenna arrays for isoflux radiation in GEO satellites. Telecommun. Syst. 2017, 65, 269–279. [Google Scholar] [CrossRef]

















| Method | Array Types | Feedback Path Number | DPD Unit Number | Synthesis of PAs Outputs | Variable Parameters Considered |
|---|---|---|---|---|---|
| One-to-one DPD [5] | Uniform | N | N | Not required | − |
| Average DPD [10] | Uniform | 1 | 1 | Required | |
| BO-DPD [12] | Uniform | 1 < n < N | 1 | Required | |
| Adaptive DPD [24] | Uniform | 1 | 1 | Required | − |
| Array DPD [20] | Low-sidelobe | 1 | 1 | Required | |
| Proposed CMUDPD | Low-sidelobe | 1 | 1 | Not required | , , |
| Mode i | Drain Eff. (%) | (dB) | |||
|---|---|---|---|---|---|
| mode a1 | 13.6 dBm | 28 V | −2.9 V | 14.54/20.23 | −54.84 |
| mode a2 | 14.0 dBm | 20 V | −2.9 V | 17.81/30.50 | −53.82 |
| mode a3 | 15.3 dBm | 12 V | −2.9 V | 34.15/38.13 | −52.40 |
| mode b1 | 23.3 dBm | 28 V | −2.3 V | 42.48/43.11 | −50.76 |
| mode b2 | 21.0 dBm | 20 V | −2.5 V | 27.45/29.64 | −47.63 |
| mode b3 | 18.2 dBm | 12 V | −2.7 V | 18.04/22.98 | −45.45 |
| Group A | EVM Simu./Expt. | ACPR (dB) Simu./Expt. | Group B | EVM Simu./Expt. | ACPR (dB) Simu./Expt. |
|---|---|---|---|---|---|
| mode a1 W/O DPD | 5.20%/5.90% | −35.86/−38.52 | mode b1 W/O DPD | 6.79%/8.23% | −32.90/−32.32 |
| mode a2 W/O DPD | 5.21%/6.04% | −35.99/−38.53 | mode b2 W/O DPD | 5.93%/8.34% | −34.15/−32.02 |
| mode a3 W/O DPD | 5.31%/7.18% | −36.07/−38.23 | mode b3 W/O DPD | 5.57%/8.21% | −34.97/−32.01 |
| mode a1 W CMUDPD1 | 0.54%/0.78% | −49.13/−49.21 | mode b1 W CMUDPD1 | 0.76%/0.93% | −47.28/−48.85 |
| mode a2 W CMUDPD1 | 0.64%/0.90% | −49.12/−49.38 | mode b2 W CMUDPD1 | 1.54%/1.00% | −45.59/−48.91 |
| mode a3 W CMUDPD1 | 1.21%/1.04% | −46.58/−48.75 | mode b3 W CMUDPD1 | 2.14%/1.28% | −43.67/−43.95 |
| mode a1 W CMUDPD2 | 0.51%/0.59% | −49.13 /−49.27 | mode b1 W CMUDPD2 | 1.47%/0.98% | −45.91/−48.95 |
| mode a2 W CMUDPD2 | 0.50%/0.66% | −49.44/−48.86 | mode b2 W CMUDPD2 | 0.60%/0.87% | −48.08/−49.02 |
| mode a3 W CMUDPD2 | 0.74%/0.96% | −48.21/−49.27 | mode b3 W CMUDPD2 | 0.87%/1.26% | −47.05/−49.06 |
| mode a1 W CMUDPD3 | 1.18%/1.23% | −46.42/−47.26 | mode b1 W CMUDPD3 | 1.94%/3.01% | −43.39/−43.07 |
| mode a2 W CMUDPD3 | 0.64%/0.74% | −49.84/−45.52 | mode b2 W CMUDPD3 | 0.86%/0.89% | −47.56/−49.14 |
| mode a3 W CMUDPD3 | 0.82%/0.87% | −49.74/−49.26 | mode b3 W CMUDPD3 | 0.52%/0.66% | −48.54/−49.18 |
Publisher’s Note: MDPI stays neutral with regard to jurisdictional claims in published maps and institutional affiliations. |
© 2021 by the authors. Licensee MDPI, Basel, Switzerland. This article is an open access article distributed under the terms and conditions of the Creative Commons Attribution (CC BY) license (https://creativecommons.org/licenses/by/4.0/).
Share and Cite
Li, Y.; Huang, Y.; Nielsen, M.H.; Jalili, F.; Wei, W.; Ren, J.; Yin, Y.; Shen, M.; Pedersen, G.F. A Cross-Mode Universal Digital Pre-Distortion Technology for Low-Sidelobe Active Antenna Arrays in 5G and Satellite Communications. Electronics 2021, 10, 2031. https://doi.org/10.3390/electronics10162031
Li Y, Huang Y, Nielsen MH, Jalili F, Wei W, Ren J, Yin Y, Shen M, Pedersen GF. A Cross-Mode Universal Digital Pre-Distortion Technology for Low-Sidelobe Active Antenna Arrays in 5G and Satellite Communications. Electronics. 2021; 10(16):2031. https://doi.org/10.3390/electronics10162031
Chicago/Turabian StyleLi, Yunfeng, Yonghui Huang, Martin Hedegaard Nielsen, Feridoon Jalili, Wei Wei, Jian Ren, Yingzeng Yin, Ming Shen, and Gert Frølund Pedersen. 2021. "A Cross-Mode Universal Digital Pre-Distortion Technology for Low-Sidelobe Active Antenna Arrays in 5G and Satellite Communications" Electronics 10, no. 16: 2031. https://doi.org/10.3390/electronics10162031
APA StyleLi, Y., Huang, Y., Nielsen, M. H., Jalili, F., Wei, W., Ren, J., Yin, Y., Shen, M., & Pedersen, G. F. (2021). A Cross-Mode Universal Digital Pre-Distortion Technology for Low-Sidelobe Active Antenna Arrays in 5G and Satellite Communications. Electronics, 10(16), 2031. https://doi.org/10.3390/electronics10162031

