Bloom Filter-Based Parallel Architecture for Accelerating Equi-Join Operation on FPGA
Abstract
:1. Introduction
- A Bloom filter-based join strategy is proposed. Compared to Zhang’s work [11], the proposed strategy reduces the number of search operations, thus improving the join performance;
- A parallel join architecture composed of a Bloom filter and multiple binary trees is constructed. Compared to a sort-based join architecture, it avoids the complicated sort structure; compared to a hash join architecture, it improves the join performance with a chain list; compared with Zhang’s work [11], it reduces the average number of cycles to process a tuple;
- The theoretical analysis of the Bloom filter design is given and the performance improvement by adding this Bloom filter is experimentally illustrated.
2. Preliminaries
2.1. Equi-Join
2.2. Bloom Filter
3. Proposed Join Architecture
3.1. Binary Search Tree Model
3.2. Overall Architecture
- (1)
- A BF used to filter to reduce unnecessary searches.
- (2)
- Multiple backend processing channels to store in the format of the binary search tree, to search the binary tree and output join results.
- (3)
- A partition unit responsible for balancing the workload of backend channels.
3.3. The Working Principle of the Controller
- (1)
- Build phase
- (2)
- Probe phase
4. Analysis
4.1. The Average Number of Cycles to Process a Tuple
4.2. Throughput Improvement by BF
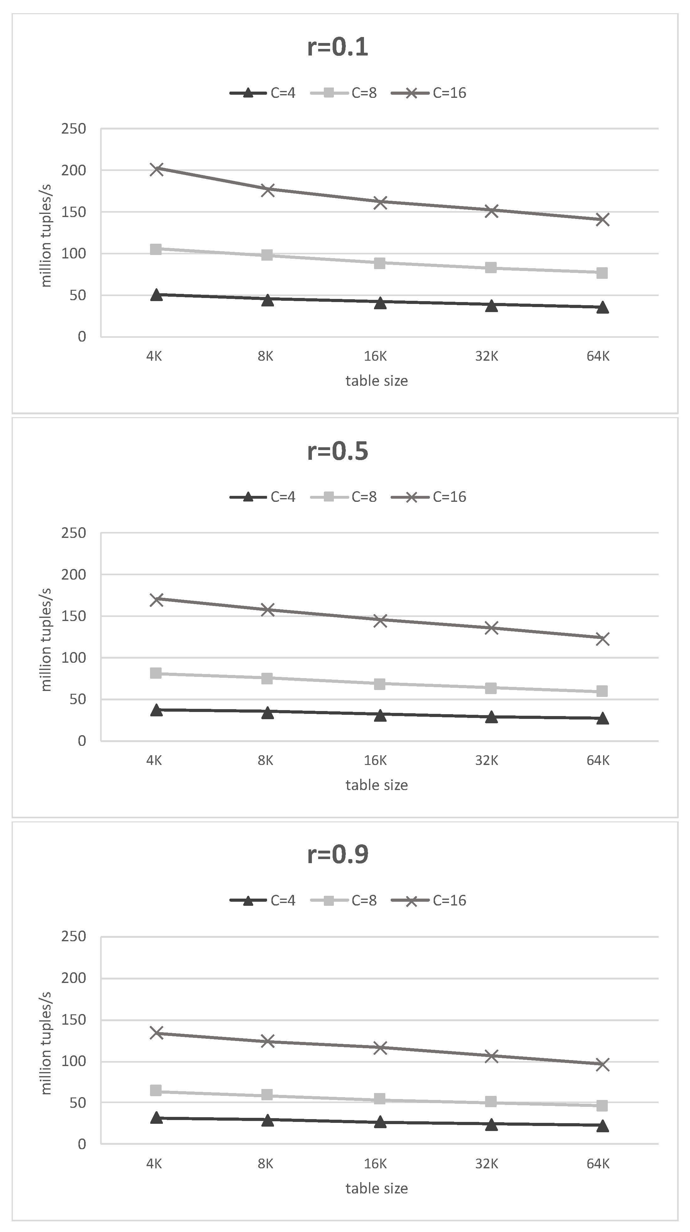
5. Evaluation
Experiment Setup
6. Conclusions
Author Contributions
Funding
Conflicts of Interest
References
- Shirazi, N.; Benyamin, D.; Luk, W.; Cheung, P.Y.K.; Guo, S. Quantitative Analysis of FPGA-Based Database Searching. J. VLSI Signal Process. Syst. 2001, 28, 85–96. [Google Scholar] [CrossRef]
- Kritikakis, C.; Chrysos, G.; Dollas, A.; Pnevmatikatos, D.N. An FPGA-Based High-Throughput Stream Join Architecture. In Proceedings of the 2016 26th International Conference on Field Programmable Logic and Applications (FPL), Lausanne, Switzerland, 29 August–2 September 2016; pp. 1–4. [Google Scholar] [CrossRef]
- Owaida, M.; Sidler, D.; Kara, K.; Alonso, G. Centaur: A Framework for Hybrid CPU-FPGA Databases. In Proceedings of the 2017 IEEE 25th Annual International Symposium on Field-Programmable Custom Computing Machines (FCCM), Napa, CA, USA, 30 April–2 May 2017; pp. 211–218. [Google Scholar] [CrossRef]
- Papaphilippou, P.; Pirk, H.; Luk, W. Accelerating the Merge Phase of Sort-Merge Join. In Proceedings of the 2019 29th International Conference on Field Programmable Logic and Applications (FPL), Barcelona, Spain, 8–12 September 2019; pp. 100–105. [Google Scholar] [CrossRef]
- Casper, J.; Olukotun, K. Hardware Acceleration of Database Operations. In Proceedings of the 2014 ACM/SIGDA International Symposium on Field-Programmable Gate Arrays (FPGA ’14); Association for Computing Machinery: New York, NY, USA, 2014; pp. 151–160. [Google Scholar] [CrossRef]
- Chen, R.; Prasanna, V.K. Accelerating Equi-Join on a CPU-FPGA Heterogeneous Platform. In Proceedings of the 2016 IEEE 24th Annual International Symposium on Field-Programmable Custom Computing Machines (FCCM), Washington, DC, USA, 1–3 May 2016; pp. 212–219. [Google Scholar] [CrossRef]
- Zhou, Z.; Yu, C.; Nutanong, S.; Cui, Y.; Fu, C.; Xue, C.J. A Hardware-Accelerated Solution for Hierarchical Index-Based Merge-Join. IEEE Trans. Knowl. Data Eng. 2019, 31, 91–104. [Google Scholar] [CrossRef]
- Werner, S.; Groppe, S.; Linnemann, V.; Pionteck, T. Hardware-Accelerated Join Processing in Large Semantic Web Databases with FPGAs. In Proceedings of the 2013 International Conference on High Performance Computing Simulation (HPCS), Helsinki, Finland, 1–5 July 2013; pp. 131–138. [Google Scholar] [CrossRef]
- Halstead, R.J.; Sukhwani, B.; Min, H.; Thoennes, M.; Dube, P.; Asaad, S.; Iyer, B. Accelerating Join Operation for Relational Databases with FPGAs. In Proceedings of the 2013 IEEE 21st Annual International Symposium on Field-Programmable Custom Computing Machines, Seattle, WA, USA, 28–30 April 2013; pp. 17–20. [Google Scholar] [CrossRef]
- Xue, M.T.; Xing, Q.J.; Feng, C.; Yu, F.; Ma, Z.G. FPGA-Accelerated Hash Join Operation for Relational Databases. IEEE Trans. Circuits Syst. II Express Briefs 2020, 67, 1919–1923. [Google Scholar] [CrossRef]
- Zhang, H.; Zhao, B.; Li, W.; Ma, Z.; Yu, F. Resource-Efficient Parallel Tree-Based Join Architecture on FPGA. IEEE Trans. Circuits Syst. II Express Briefs 2019, 66, 111–115. [Google Scholar] [CrossRef]
- Sedgewick, R.; Wayne, K. Algorithms; Addison-Wesley Professional: Boston, MA, USA, 2011. [Google Scholar]







| Method | Platform | Frequency (MHz) | LUTs | Registers | BRAMs (KB) | Power (W) | Throughput (million-tuples/s) | Ratio |
|---|---|---|---|---|---|---|---|---|
| [8], AHJ | Xilinx Virtex-6 | 200 | 1200 | - | 135 | 0.402 | 1.8 | 4.5 |
| [9] | Altera Stratix IV | 200 | 14,862 | 13,170 | 597 | 1.983 | 18 | 9.1 |
| [11], T = 4 | Xilinx Zynq | 349 | 1706 | 2238 | 162 | 0.847 | 14.9 | 17.6 |
| [11], T = 8 | Xilinx Zynq | 261 | 3744 | 4842 | 162 | 0.807 | 28.9 | 35.8 |
| [11], T = 16 | Xilinx Zynq | 261 | 7820 | 10,050 | 180 | 1.144 | 62.4 | 54.5 |
| [6] | Xilinx Zynq | 100 | 42,609 | 27,838 | 468 | 1.406 | 86 | 61.2 |
| [10] | Xilinx Zynq | 280 | 3098 | 2572 | 261 | 1.035 | 83.83 | 81.0 |
| This work, C = 4 | Xilinx Zynq | 238 | 1730 | 2180 | 189 | 0.673 | 33.6 | 49.9 |
| This work, C = 8 | Xilinx Zynq | 233 | 3593 | 4353 | 189 | 0.775 | 70.0 | 90.3 |
| This work, C = 16 | Xilinx Zynq | 228 | 6818 | 8354 | 189 | 0.959 | 145.8 | 152.0 |
Publisher’s Note: MDPI stays neutral with regard to jurisdictional claims in published maps and institutional affiliations. |
© 2021 by the authors. Licensee MDPI, Basel, Switzerland. This article is an open access article distributed under the terms and conditions of the Creative Commons Attribution (CC BY) license (https://creativecommons.org/licenses/by/4.0/).
Share and Cite
He, B.; Xue, M.; Liu, S.; Luo, W. Bloom Filter-Based Parallel Architecture for Accelerating Equi-Join Operation on FPGA. Electronics 2021, 10, 1778. https://doi.org/10.3390/electronics10151778
He B, Xue M, Liu S, Luo W. Bloom Filter-Based Parallel Architecture for Accelerating Equi-Join Operation on FPGA. Electronics. 2021; 10(15):1778. https://doi.org/10.3390/electronics10151778
Chicago/Turabian StyleHe, Binhao, Meiting Xue, Shubiao Liu, and Wei Luo. 2021. "Bloom Filter-Based Parallel Architecture for Accelerating Equi-Join Operation on FPGA" Electronics 10, no. 15: 1778. https://doi.org/10.3390/electronics10151778
APA StyleHe, B., Xue, M., Liu, S., & Luo, W. (2021). Bloom Filter-Based Parallel Architecture for Accelerating Equi-Join Operation on FPGA. Electronics, 10(15), 1778. https://doi.org/10.3390/electronics10151778

