Abstract
Many charge controlled models of memristor have been proposed for various applications. First, the original linear dopant drift model suffers discontinuities close to the memristor layer boundaries. Then, the nonlinear dopant drift model improves the memristor behavior near these boundaries but lacks physical meaning and fails for some initial conditions. Finally, we present a new model to correct these defects. We compare these three models in specific situations: (1) when a sine input voltage is applied to the memristor, (2) when a constant voltage is applied to it, and (3) how a memristor transfers charges in a circuit point of view involving resistance-capacitance network. In the later case, we show that our model allows for study of the memristor behavior with phase portraits for any initial conditions and without boundary limitations.
1. Introduction
Resistor, capacitor, and inductor are the three familiar basic passive circuit elements. The memory resistor (or memristor) was proclaimed to be the fourth basic passive circuit element which is defined by the constitutive relationship between magnetic flux and electric charge q []. Depending on the mode of excitation, memristor could be flux-controlled: or charge-controlled: , where the functions and , respectively, characterize the memductance and memristance of the device. The first two-terminals solid state memristor was discovered in 2008, and the illustration of its well known signatures is given []. This discovery gave birth to widely reported memristor technologies and applications, having the potential to revolutionize electronic industries in neuroscience, nanotechnology, artificial intelligence, and so on [,].
Figure 1 shows the schematic of titanium-oxide (TiO) memristor [], consisting of a bilayer of TiO, that is, doped-undoped layers. One of the layers is doped with oxygen vacancies, allowing for conduction, while the other layer is a pure TiO; thus, the setup exhibits two resistance limit states due to the expansion and the contraction of the doped layer. The mathematical description of TiO memristor is originally expressed by the port and the state equations, respectively, as:
where w and D are geometric parameters denoting the widths of doped and total layers of TiO, respectively, is the dopant mobility, and and are the two resistance limits characterized by the doped and undoped regions, respectively, while is the difference between and . Using the normalized width, that is, representing the normalized state variable of the device, Equations (1) and (2) become:
where is the charge scaling factor given by the technology parameters [,], thus representing the amount of charge required to move the boundary between the doped and the undoped regions from to , and vice-versa.

Figure 1.
Schematic of TiO memristor.
Memristor becomes an important concept in Physics and electronics for design and control of quantum memristor devices [,] which exhibit superconducting characteristics based on Josephson junction with quasiparticle tunneling. Following the discovery of TiO memristor, another sprouted field of interest is the memristor modeling in SPICE useful for circuit simulations [,,,,,]. This is particularly important due to the fact that memristor is a new circuit element; hence, its modeling allows for easy simulation of memristor-based applications in SPICE or any other circuit simulator. Using off the shelf components, memristor is implemented experimentally [,], and a chaotic behavior with respect to the characteristic of its pinched hysteresis loop is investigated. However, the choice of a memristor model is very important []. In fact, some models are developed for specific applications such as logic design and chaotic circuits [,,], while others are universal [,] useful for simulating many memristor-based applications. The comparison of some selected models of memristor is presented in Reference []. Each model has its own advantages, as well as disadvantages, thus suggesting some models to be better than the others.
Some intriguing features of memristor include memory capability for storage of information, nano-scalability suitable for the modern-day nano-technology, and connection flexibility because it can form series-parallel connections, thus being able to form stack of memory cells for high density storage applications, nonlinearity, low power consumption, and its ability to replace multiple transistors in a circuit; thus, it will ensure better performances and the most reliable systems.
These features, among many others, gave birth to a wide variety of reported memristor-based applications, proposed by adopting numerous models of memristor. Some of these applications include the implementation of chaotic circuits, field programmable gate array and programmable analogue logic circuits [,,,], high density memory applications, storage and processing of big data owing to memristor long retention and fast switching time [,,,] (e.g., Non-volatile random-access memory, Resistive random-access memory, etc.), cellular nonlinear or neural networks [,,] useful for learning systems, neuromorphic systems, and bio-electronics (or bio-inspired) systems [,,,,] because memristor offers fault tolerance and connection flexibility enabling massive parallel computation, edge detection, image recognition, and processing [,]. Furthermore, more interesting features of a memristor are the dynamics conductance resembling the chemical synapse and very effective high density connectivity [,], suggesting memristor to be reliable as electronic model of synapses. Recently, many implemented memristor-based synapses are reported by adopting various neumorphic computing architectures [,,,,,] showing good result in synaptic plasticity with memristors which is promising for achieving unsupervised learning in spiking neural networks.
Cellular nonlinear networks consist of elementary cells with each cell connected to its neighbors cells via coupling elements. Using memristor bridge circuit, a model of memristor-based cellular nonlinear network is analyzed, including study of its stability and fault tolerance []. The connection flexibility of a memristor and its compatibility with complementary metal oxide semiconductor neurons, is also essential for using memristor as synapse to achieve high connection density needed for massive computing [,]. Following this context, different hardware of memristor implementation is proposed []. The synchronization phenomena of memristor coupling two neuron cells is also investigated theoretically and numerically [,,].
We introduce the application of memristor in two-dimensional cellular nonlinear or neural networks using memristors in the coupling mode, essentially for signal processing and electronic prosthesis. Memristors are used in place of the series resistances of the conventional network []. To explore the quantitative and qualitative behavior of memristor in the network, this text focuses on the system of two cells coupled together by a memristor. Then, follow by the details interaction of the memristor within the cells with respect to the charge flowing from one cell to the other one. In recent studies [,], the system was described analytically but here emphasize on its circuit point of view giving the dynamics and the steady state response. The circuit responses are compared using three different models of memristor, including a new one which happens to be suitable in the study of our system dynamics owing to its continuity for any flowing charge through the memristor.
2. Memristor Modeling
Depending on the nature of the ionic transport, the description of TiO memristor is completed in 2 ways, namely: linear and nonlinear dopant drift models. The difference between these models stands in the dynamics of the boundary between the doped and undoped TiO material toward the extreme edges, that is, and , corresponding to the dopant width and .
Equation (4) characterizes the linear dopant drift model and is integrated to give:
where represents the limit between the doped and the undoped regions at time , and is the initial charge at the same time , that is, the charge having already flowed through the memristor in its previous history. Here, it can be seen that, from the first use of the memristor, as no charge has already flowed through it, corresponds to , giving . Be aware that it is only true for x belonging to , that is, for in . This first model leads then to transform Equation (3) by , with as a charge-controlled memristance. However, this definition must be completed when is less than 0 or more than , leading to:
In the nonlinear model, a dimensionless function , called window function, is introduced to the right-hand side of the state Equation (4) to ensure the operating region in the interval [0, 1]; thus:
There are many suggested window functions, but their choice has a significant effect in the memristor modeling []. Considering three different window functions proposed, respectively, by Strukov et al., Joglekar et al., and Prodromakis et al. [,,], each can be used for nonlinear dopant drift modeling:
and
where p is a positive integer acting as a control parameter. Figure 2 shows the comparison of the functions in Equations (8)–(10). Note that, for , Equation (9) becomes , i.e., Joglekar’s function is four times the Strukov’s function given by Equation (8), while, for , Prodromakis’s function in Equation (10) is exactly the same as Strukov’s function in Equation (8). The basic noticeable difference between these functions is the scaleability, where is the value of when . There is no control parameter p in Strukov’s function; hence, it always gives , whereas Joglekar’s function always gives . However, for Prodromakis’s function, varies with the variations of p; for example, Figure 2 gives , , and for , 10, and 20, respectively.

Figure 2.
Comparison of the three window functions by Strukov et al., Joglekar et al., and Prodromakis et al. When , Prodromakis’s function gives the same than Strukov’s, but, when p increases, in Prodromakis’s increases until .
From the circuit point of view and using a sine input voltage source: , where is the voltage amplitude, and f is the input frequency. Figure 3 shows the comparison of the three window functions for the same initial conditions and input source. The SPICE model of memristor [] is used for the circuit simulation. The abbreviations P, J and S correspond, respectively, to Prodromakis, Joglekar, and Strukov. The control parameter is used for Joglekar’s function, while is used for Prodromakis window function so that is the same for both functions, except the one by Strukov. Thus, it allows for easy comparison. Figure 3a1–a4,b1–b4,c1–c4 are for input voltage 1 V, 1.2 V, and 1.5 V, respectively, showing that the dynamics of the memristance and the state variable increases differently as the input voltage increases. The current i, i, and i are, respectively, according to Prodromakis, Joglekar, and Strukov models. Figure 3c1–c4 shows the hard switching case, that is, when the memristor is subjected to a substantial amount of input voltage. It is clear that the choice of a window function for a memristor modeling is very important because each function responds dynamically different.

Figure 3.
Comparing the effect of a window function from the circuit point of view: Strukov (S), Jolekar (J), and Prodromakis (P). V(t) is a sine input voltage with frequency f = 1 Hz and different amplitudes, i(t) is the current, and x and M(x) are the state variable and the memristance, respectively. The results are obtained for three cases of voltage amplitude as: (a1–a4) = 1 V, (b1–b4) = 1.2 V, and (c1–c4) = 1.5 V.
3. Linear and Nonlinear Models Comparison
Figure 4 shows the comparison of linear and nonlinear models on the memristance transition with respect to the flowing charge. For the linear drift model, the memristance transits linearly, whereas, in the nonlinear drift model, it transits nonlinearly and in a cubic fashion. For unity control parameter, that is, , the nonlinearity is more pronounced; however, with the increase in p, the nonlinear model approaches the linear model.

Figure 4.
Memristance versus charge for linear and nonlinear drift models (Joglekar). It shows that as p increases, the nonlinear drift model tends to the linear model. Window function gives nonlinear model. Window function, in addition to nonlinearity, also increases the dynamics of the charge (or mobile carrier thereby affected by the value of , because ). Therefore, for a fixed device dimension (i.e., D) and doping, only is affected by the window function; hence, . This is due to the fact that window function ensures zero drift of the mobile carrier at the boundaries, thus significantly reducing their mobility and increasing .
Figure 5 compares the responses of the linear and the nonlinear models using Joglekar’s window function and for the same values of parameters. The comparison aims to observe the dynamics of state variable x, the corresponding memristance, and the current-voltage graph, by using a periodic input voltage source for three different values of the input voltage amplitudes 0.7 V, 1 V, and 1.2 V, shown, respectively, by Figure 5a1–a4,b1–b4,c1–c4.

Figure 5.
Comparison of the linear and nonlinear dopant drift models showing for each case, the nature of the flowing currents, the I-V characteristics, the memristance, and the corresponding state variable transition, respectively, where V(t) is a sine input voltage with different amplitudes and f = 1 Hz, and i and i are the flowing currents for linear and nonlinear drift model, respectively; similarly, x, M, x, and M are the state variables and the memristances for the linear and nonlinear models, respectively. (a1–a4) = 0.7 V, (b1–b4) = 1 V, and (c1–c4) = 1.2 V.
It is observed that, for a small input voltage, for example, 0.7 V, given by Figure 5a1–a4, the behaviors of the linear and nonlinear models are virtually the same, as can be seen from the corresponding I-V characteristics (Figure 5a2). This is due to the fact that the boundary between the doped and the undoped regions operates not close to the layer limit 0 or D, which means that a small voltage causes a small displacement of the state variable x and, hence, a small transition of the memristance. Except for a very small shift in Figure 5a3,a4 where the memristance (M) and state variable (x) in the case of the linear model tend to transit faster than the one by the nonlinear model (M) and (x), both models respond in the same way when the input voltage is small.
Figure 5b1–b4 show the case where the input voltage is increased to 1 V; hence, the state variable displaces farther and the difference between linear and nonlinear models begins to be noticeable. Figure 5c1–c4 show the case when the input voltage is increased to 1.2 V; in fact, the difference between the linear and nonlinear models becomes apparent. Figure 5c1 shows a shift difference in the current transients for linear (i) and nonlinear (i) models when the voltage is high and it becomes apparent in the corresponding Figure 5c2. Figure 5c3,c4 show that the memristance transition and the displacement of the state variable (M and x, respectively) in the case of the linear model are higher than the ones for the nonlinear model (M and x, respectively) when the input voltage is high.
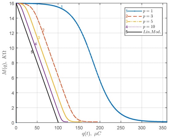
For the same initial conditions, Figure 6 shows the nonlinear models comparison of the memristance transition from its highest resistance state ( = 16 K) to the lowest one ( = 100 ), and vice-versa, with respect to the flowing charge . It shows that the amount of charge required for each model to fully transit from to , and vice-versa, depends on the model under consideration. Hence, this is very important in deciding which model to use for any application. For Joglekar’s function and for , = 350 C. For Prodromakis’s function, = 150 C, but, here, , so that can scale up to 1 for both models, except for Strukov’s one because it has no p. This allows for accurate comparison of the results. For Strukov’s function, = 1.3 mC, and the detailed comparison of these models is illustrated in Table 1. It is to be noted that the amount of charge required to fully drive memristor from to , and vice-versa, depends strongly on the initial memristance and the value of p (in cases of Joglekar and Prodromakis functions). Furthermore, Figure 7 shows the corresponding transient results of the memristance and the flowing charge for each model. When the flowing charge increases, the memristance transits toward , and, when the charge decreases, the memristance transits toward .

Figure 6.
Nonlinear models comparison of the full memristance transition between = 16 K and = 100 with respect to the quantity of the flowing charge . It shows the amount of charge needed for each model to fully transit from to . Note that and for Joglekar and Prodromakis, respectively, allowing to have for both models. (a) Prodromakis, (b) Joglekar, and (c) Strukov.

Table 1.
Comparison of the three nonlinear dopant drift models.

Figure 7.
The corresponding transient results of Figure 6, memristance and the charge for Prodromakis (P), Joglekar (J), and Strukov (S).
Knowing that , with the initial charge already flowed through the memristor and the initial boundary between doped and undoped regions, from Equation (7), the state variable is a function of the flowing charge, such that . From the port Equation (3) and considering the function by Strukov et al. in Equation (8): ; thus:
and the expression of the memristance is expressed as:
There are two problems related to this model. First, there is no physical reason to add in the right-side member of Equation (7), only a mathematical reason to avoid to go outside of . Secondly, is present and cannot be put to be equal to 0, as is not possible in Equation (12), also due to mathematical integration of , because the lower boundary cannot be set to 0. This problem means that we cannot use this model for the first use of the memristor, when it is virgin, without any charge already flowed in the memristor. For a small value of p, similar calculation can be obtained using Joglekar function. But when p is large, then the equation can only be solved numerically.
Given the memristor relationships (3) and (4): and , then , where is the input voltage applied to the memristor. Therefore, using a constant input voltage V and the linear model, the relationship can be expressed as:
Solving Equation (13) and keeping only the relevant physical solution, we get, respectively, the normalized boundary between the doped and the undoped regions and the memristance versus time:
and
Now, using the nonlinear model with, for example, Strukov’s window function, that is, Equation (8) with instead of Equation (4), we get:
that is, the same mathematical limitations when or 1, and when becomes close to the boundaries 0 or 1. Therefore, the nonlinear model seems to be not adapted, even in the simplest case of a constant voltage excitation through the memristor.
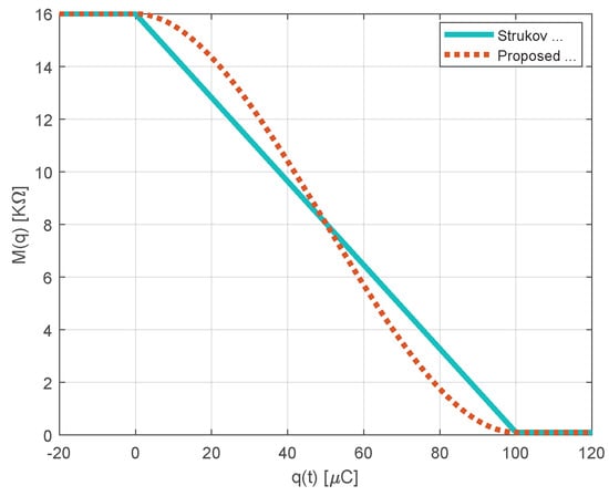
The solid curve in Figure 8 shows the memristance evolution with respect to the flowed charge according to Equation (6), and it has discontinuities at and , as can be seen clearly by the formed angulation. This causes a hinderance on the study of our system dynamics presented in Section 4. We propose then a new memristor model allowing to perform the analytical study of the system dynamics []:

Similarly, the memristance transition according to (15) is shown by the dashed curve in Figure 8, and it solves the problem of discontinuities at and . Furthermore, Figure 9 shows the circuit response of the new model. Recall that , which can be integrated for any given initial conditions ( and ), where is the magnetic flux. Using the sine input voltage source and varying the voltage amplitude in three steps, the results show the -q curve, the I-V characteristics, the memristance, and the state variable transients. The -q curve of a memristor is always a monotically increasing function showing the graphical response of its magnetic flux versus charge q, and vice-versa. Considering the input voltage as 0.75 V, 1 V, and 1.2 V, shown, respectively, by Figure 9a1–a3,b1–b2,c1–c3. Figure 9c2 shows the hard switching case, i.e., the scenario occuring when a substantial amount of input voltage is applied to the memristor [].

Figure 9.
Circuit response of the proposed model (15). Values of parameters used: = 100 , = 16 K, = 100 C, and sine input voltage for three amplitudes and same frequency f = 1 Hz. It shows for each case, the -q curve, the I-V characteristic, the memristance, and state variable transition, respectively. (a1–a3) = 0.75 V, (b1–b3) = 1.0 V, and (c1–c3) = 1.2 V.
4. System Description
Figure 10a shows the schematic of the proposed memristor-based 2D cellular nonlinear network, using memristors in the coupling mode. The network is to be used for signal processing and biomedical applications, for example, electronic prosthesis, due to the reliable conductance modulation of memristor, which resembles chemical synapse. Each cell constitutes one nonlinear linear resistor in parallel with one linear capacitor. The resistance-capacitance RC network characterizes the passive electrical properties of neurons. Figure 10b shows the system of two charged RC cells, namely: Cell-1 and Cell-2 coupled together by a memristor. This allows for study, both quantitatively and qualitatively, of the interaction of the memristor within the cells. Cell-1, whose elements are marked with the subscript number 1, acts as the source of information to Cell-2, labeled with subscript 2, through the memristor. The direction of the flowing current indicates the direction of the flowing charge from Cell-1 to Cell-2 via memristor, until the system is saturated.

Figure 10.
Proposed memristor-based network. (a) Two-dimensional cellular nonlinear network using memristive coupling. (b) System of two charged RC cells coupled by a memristor.
First, Figure 11 compares the responses of the system using the nonlinear models by Strukov, Joglekar, and Prodromakis, respectively. It shows that the dynamics and the steady response of the system depend on the model under consideration. For the same initial conditions, Figure 11a shows the time evolution of the charge flowing through the memristor according to the models by Strukov, Joglekar, and Prodromakis. Meanwhile, Figure 11b shows the corresponding memristance transition. The results are obtained for = 2 V, = 0 V, = = 100 K, = = 1 F, = 19 C, and = 100 C. and are the initial conditions of Cell-1 and Cell-2, respectively. The results show different transitions of the memristance. The system stabilizes at a time where and the current flowing through the memristor is zero. Thus, the flowing charge and the corresponding memristance remain constant, as can be seen by the flattening of the curves. Using the new model, a similar procedure is followed, and the result is shown in Figure 12. Table 2 shows the values of the main parameters. The initial conditions , , and are our adjustable parameters. It is from Table 2 that every other subsequent parameter are calculated.

Figure 11.
Memristor models comparison in the response of the two cells system, Strukov (S), Joglekar (J), and Prodromakis (P). It clearly shows that each model differs from one another in the system dynamics and the steady state response. = 2 V, = 0 V, = = 100 K, = = 1 F, = 16 K, = 100 , and = 100 C. (a) Flowing charge through the memristor, from master to the slave; (b) the memristance transition.

Figure 12.
Response of the two cells system using the new model of the memristor showing the flowing charge and the corresponding memristance transition. = 2 V, = 0 V, = = 100 K, = = 1 F, = 16 K, = 100 , and = 100 C.

Table 2.
Values of parameters used.
Secondly, the charge flowing from Cell-1 to Cell-2 through the memristor can be observed analytically. The following gives the analytical description of the system. Closing at time the switches and , Kirchhoff’s laws give the following system of equations:
and . By simple algebraic rearrangement of Equations (16)–(18) and considering Cell-1 and Cell-2 been identical such that the time contstant , then, from Equation (16) and Equations (17), respectively:
Adding these two equations and using from (18), it becomes:
where .
Equation (19) can be solved in 2 ways. First, the equation can be integrated directly and then solved simultaneously with (18) in order to find explicit expressions of and as functions of the charge flowing through the memristor. Secondly, the equation can be reformulated and then substituted in (18) directly, which allows study of the dynamics of the charge evolution in the phase plane.
Furthermore, using the expression of in Equation (6), the expression of ð is obtained from Equation (21) as:
and Equation (22) becomes:
where . Let , then and . Using the the new variable , then Equation (23) becomes:
where , is a second degree polynomial, and and are the roots of given by the characteristic equation:
Rewriting Equation (24) in terms of as:
and are constants due to the partial fraction decomposition and are determined, respectively, as:
and
For example, Figure 13 shows the system evolution according to the outlined analytical solution. The considered values of parameters are = 16 K, = 100 , = 100 C, = = 100 K, = = 1 F, and s. and are calculated accordingly. Using an initial charge = 30 C with = 1 V, = 0 V, and and are calculated from the characteristic Equation (24). Knowing and , and can be easily determined. Recall that the cells are considered to be identical with , substituting (17) into (16); thus:
where is a constant fixed by the initial conditions. Equations (20) and (28) are solved simultaneously to give the expressions of and in terms of the flowing charge through the memristor:
where . Figure 13a shows that the charge flowing from Cell-1 to Cell-2 through the memristor increases until , and that is when the voltage across the memristor is zero, i.e., . At this time, the flowing current is zero, and the combined evolution of and stabilizes to zero. When , Cell-1 and Cell-2 are stabilized. This scenario is to be further explored in phase portraits analysis as follows.

Figure 13.
Illustration of the analytical solution showing the time evolution of (a) charge q(t), (b) voltage and . = = 100 K, = = 1 F, = 1 V and = 0 V, = 16 K, = 100 , = 30 C, and = 100 C.
The second method of solving Equation (19) entails studying the system in the phase plane allowing us to visualize the evolution of the charge for different initial conditions of the system. Equation (19) is reformulated as:
Equation (31) is a second order nonlinear differential equation characterizing the dynamics of the charge flowing from Cell-1 to Cell-2 through memristor. Indeed, Equation (31) is similar to the one in Reference [] where one approach for its phase plane analysis is presented in Reference [], including the case where and . However, in the following and depending on the initial conditions, we highlight some others possible analytical interpretations. One thing that requires attention though, is the expression of given by Equation (6), whose first derivative with respect to charge must be continuous according to (31). However, Equation (6) does not clearly respect this requirement as can be seen by the angular manifestation of the solid curve at and ; see Figure 8. The proposed new model of respects this continuity requirement as shown by the dashes curve in Figure 8. One intriguing thing of the new model is that it is continuous and requires no window function.
Using the normalized form: as the normalized charge and as the normalized time, then with as the normalized current and as the normalized memristance, the equivalent normalized form of Equation (31) becomes:
with
Therefore, we rewrite Equation (32) as:
which is simplified to give:
where: , , and is a conservative quantity similar to the Hamiltonian in mechanics depending on initial conditions. Taking into account these initial conditions of the system , , , and , then is obtained from (18) and (33), as:
With , Equation (35) becomes:
where: and are third and fourth degree polynomials in terms of X, and is the time corresponding to the initial state .
In addition to the study of the phase portraits for the system (34), it is important to look for the existence of real roots of and singularity points of the system. The equilibrium points of the system are met when and , corresponding to , i.e., the voltage across the memristor becomes . The equilibrium points of the system (34), in focusing on Equation (37), are directly deduced as is enough to have and . Then, every point is possibly an equilibrium point. Similarly, the singularity points of the system (34) are where the derivative is undefined, which is obtained directly from (34) as:
Equation (37) is to be solved analytically depending on the given values for , , and h. Therefore, for and depending on two particular values of h, namely and , the four possible analytical solutions of (37) are outlined in Appendix A.
For example, Figure 14 shows the phase portraits using Equation (A4). The trajectories are obtained for different initial conditions, and the arrows show the direction of the flowing charge from one cell to the other one through the memristor. Note that, for 1), , respectively. The considered values of the parameters are = 16 K, = 100 , = 100 C, = = 1 F, and = = 100 K, which gives , , and s. The initial memristance is given by the parameter or the equivalent normalized form . For any given initial memristance , and , is obtained from Equation (36), and the value of h is determined according to the expression of . Furthermore, the coefficients in Equation (A4) are obtained accordingly. Note that Figure 10b is a bidirectional communication between Cell-1 and Cell-2 via memristor. = 1 V and = 0 V implies that Cell-1 is the master and it is shown by the trajectories with rightward arrows, while = 0 V and = 1 V implies Cell-2 is the master, and is shown by the leftward arrows. The direction of the current flowing through the memristor depends on which cell is acting as the master as determined by the initial conditions of the system. Similarly, all the arrows are pointing to the steady state giving by the line , corresponding to the time evolution when .

Figure 14.
Phase portraits showing the charge evolution under different initial conditions of .
5. Discussion
Memristor modeling is an important aspect of memristor-based networks. Both linear and nonlinear models are widely used to simulate memristor-based applications. The characteristics of the three commonly used nonlinear dopant drift models are analyzed and tabulated. From the circuit point of view, the linear and the nonlinear models respond indifferently when the input voltage is very small; however, their responses differ greatly as the applied input increases. We showed that the amount of charge required to fully transit memristance from its high resistance state to the lower one, and vice-versa, differs for each model, because each function offers different dynamics in maintaining its state variable to operate within the desired interval. The comparison results take into account the different transitions of the state variable, the memristance and the current-voltage characteristics. Hence, the choice of a window function is paramount in the memristor modeling as each window function accounts for different system behavior. It is also important to note that the differences in these models have practical implication, for example, in the synaptic weight when using memristor as synaptic function, which can greatly influence the plasticity and its learning, because the conductance responds differently according to the quantity of the flowing charge for each model. Secondly, different chaotic behaviors can be observed owing to the different imposed nonlinear dynamics.
Memristor-based 2D nonlinear networks is introduced, for signal processing and electronic prosthesis. The setup is analyzed by considering a system of two cells which enables us to study the quantitative and qualitative behavior of memristor in the network. We compared the nature of the charge transfer from one cell to the other one using the outlined models of memristor. The results are obtained under the same initial conditions. For each model, we observed different transitions of the charge and the corresponding memristance. The dynamics and the steady state response of the system are affected by the memristor model under consideration.
Using 2 RC cells coupled by memristor, the evolution of the voltage and for Cell-1 and Cell-2, respectively, is obtained analytically as a function of the flowing charge q through the memristor. and evolve separately until , that is, when the cells are saturated, hence the voltage across the memristor being zero, that is, , and the flowing charge is constant. Due to the resistive nature of the cells, the combined evolution of and eventually decays to zero. We described the system dynamics characterizing the charge transfer between the two RC-cells through a memristor. The equation is solved analytically using the new model due to its desirable continuity. Depending on the value of h, four possible solutions of Equation (37) are presented in Appendix A. The system evolution is observed in the phase plane for any initial condition. The phase portraits show the evolution trajectories from one cell to the other one via memristor under different initial conditions. The arrows pointing from left to right is when Cell-1 is the master, whereas the arrows pointing from right to left is when Cell-2 is the master. The lack of symmetry emphasizes the asymmetry nature of a memristor. Note that, when Cell-2 becomes the master, some of the signs (i.e., + and −) in the system of Equations (16)–(18) change, and it affects the subsequent derivation. But the whole process is the same.
Author Contributions
A.I. performed the SPICE simulation and prepared and wrote the manuscript. The study was supervised by S.B., A.S.T.N., and J.-M.B. All authors read and agreed to the published version of the manuscript.
Funding
This research received no external funding.
Conflicts of Interest
The authors declare no conflict of interest.
Abbreviations
The following abbreviations are used in this manuscript:
MDPI | Multidisciplinary Digital Publishing Institute |
DOAJ | Directory of open access journals |
CNN | Cellular Nonlinear Network |
Appendix A. Outlined Solutions of (37)
References
- Chua, L. Memristor-the missing circuit element. IEEE Trans. Circuit Theory 1971, 18, 507–519. [Google Scholar] [CrossRef]
- Strukov, D.B.; Snider, G.S.; Stewart, D.R.; Williams, R.S. The missing memristor found. Nature 2008, 453, 80–83. [Google Scholar] [CrossRef] [PubMed]
- Mazumder, P.; Kang, S.M.; Waser, R. Memristors: Devices, models, and applications. Proc. IEEE 2012, 100, 1911–1919. [Google Scholar] [CrossRef]
- Kozma, R.; Pino, R.E.; Pazienza, G.E. (Eds.) Advances in Neuromorphic Memristor Science and Applications; Springer Science Business Media: New York, NY, USA, 2012; Volume 4. [Google Scholar]
- Joglekar, Y.N.; Wolf, S.J. The elusive memristor: Properties of basic electrical circuits. Eur. J. Phys. 2009, 30, 661. [Google Scholar] [CrossRef] [Green Version]
- Biolek, Z.; Biolek, D.; Biolková, V. Computation of the area of memristor pinched hysteresis loop. IEEE Trans. Circuits Syst. II Express Briefs 2012, 59, 607–611. [Google Scholar] [CrossRef]
- Salmilehto, J.; Deppe, F.; Di Ventra, M.; Sanz, M.; Solano, E. Quantum memristors with superconducting circuits. Sci. Rep. 2017, 7, 1–6. [Google Scholar]
- Carbone, A.; Gilli, M.; Mazzetti, P.; Ponta, L. Array of Josephson junctions with a nonsinusoidal current-phase relation as a model of the resistive transition of unconventional superconductors. J. Appl. Phys. 2010, 108, 123916. [Google Scholar] [CrossRef] [Green Version]
- Biolek, Z.; Biolek, D.; Biolkova, V. SPICE Model of Memristor with Nonlinear Dopant Drift. Radioengineering 2009, 18, 210–214. [Google Scholar]
- Biolek, D.; Biolek, Z.; Biolkova, V. SPICE modeling of memristive, memcapacitative and meminductive systems. In Proceedings of the 2009 European Conference on Circuit Theory and Design, Antalya, Turkey, 23–27 August 2009; pp. 249–252. [Google Scholar]
- Benderli, S.; Wey, T.A. On SPICE macromodelling of TiO2 memristors. Electron. Lett. 2009, 45, 377–379. [Google Scholar] [CrossRef]
- Rak, A.; Cserey, G. Macromodeling of the memristor in SPICE. IEEE Trans. Comput. Aided Des. Integr. Circuits Syst. 2010, 29, 632–636. [Google Scholar] [CrossRef]
- Kvatinsky, S.; Friedman, E.G.; Kolodny, A.; Weiser, U.C. TEAM: Threshold adaptive memristor model. IEEE Trans. Circuits Syst. I Regul. Pap. 2012, 60, 211–221. [Google Scholar] [CrossRef]
- Sun, J.; Yao, L.; Zhang, X.; Wang, Y.; Cui, G. Generalised mathematical model of memristor. IET Circuits Devices Syst. 2016, 10, 244–249. [Google Scholar] [CrossRef]
- Bodo, B.; Fouda, J.A.E.; Mvogo, A.; Tagne, S. Experimental hysteresis in memristor based Duffing oscillator. Chaos Solitons Fractals 2018, 115, 190–195. [Google Scholar] [CrossRef]
- Biolek, D.; Biolkova, V.I.; Kolka, Z.; Biolek, Z. Passive fully floating emulator of memristive device for laboratory experiments. Adv. Electr. Comput. Eng. 2015, 1, 112–116. [Google Scholar]
- Slipko, V.A.; Pershin, Y.V. Importance of the window function choice for the predictive modelling of memristors. IEEE Trans. Circuits Syst. II Express Briefs 2019, 68, 2167–2171. [Google Scholar] [CrossRef] [Green Version]
- Wang, X.; Xu, B.; Chen, L. Efficient memristor model implementation for simulation and application. IEEE Trans. Comput. Aided Des. Integr. Circuits Syst. 2017, 36, 1226–1230. [Google Scholar] [CrossRef]
- Vista, J.; Ranjan, A. A simple floating MOS-memristor for high-frequency applications. IEEE Trans. Very Large Scale Integr. (VLSI) Syst. 2019, 27, 1186–1195. [Google Scholar] [CrossRef]
- Muthuswamy, B. Implementing memristor based chaotic circuits. Int. J. Bifurc. Chaos 2010, 20, 1335–1350. [Google Scholar] [CrossRef]
- Kim, H.; Sah, M.P.; Yang, C.; Cho, S.; Chua, L.O. Memristor emulator for memristor circuit applications. IEEE Trans. Circuits Syst. I Regul. Pap. 2012, 59, 2422–2431. [Google Scholar]
- Sánchez-López, C.; Mendoza-Lopez, J.; Carrasco-Aguilar, M.A.; Muñiz-Montero, C. A floating analog memristor emulator circuit. IEEE Trans. Circuits Syst. II Express Briefs 2014, 61, 309–313. [Google Scholar]
- Ascoli, A.; Corinto, F.; Senger, V.; Tetzlaff, R. Memristor model comparison. IEEE Circuits Syst. Mag. 2013, 13, 89–105. [Google Scholar] [CrossRef]
- Xu, Y.-M.; Wang, L.-D.; Duan, S.-K. A memristor-based chaotic system and its field programmable gate array implementation. Acta Phys. Sin. 2016, 65, 120503. [Google Scholar]
- Borghetti, J.; Snider, G.S.; Kuekes, P.J.; Yang, J.J.; Stewart, D.R.; Williams, R.S. ‘Memristive’ switches enable ‘stateful’ logic operations via material implication. Nature 2010, 464, 873–876. [Google Scholar] [CrossRef] [PubMed]
- Pershin, Y.V.; Di Ventra, M. Practical approach to programmable analog circuits with memristors. IEEE Trans. Circuits Syst. I Regul. Pap. 2010, 57, 1857–1864. [Google Scholar] [CrossRef] [Green Version]
- Shin, S.; Kim, K.; Kang, S.M. Memristor applications for programmable analog ICs. IEEE Trans. Nanotechnol. 2010, 10, 266–274. [Google Scholar] [CrossRef]
- Hu, S.G.; Wu, S.Y.; Jia, W.W.; Yu, Q.; Deng, L.J.; Fu, Y.Q.; Liu, Y.; Chen, T.P. Review of nanostructured resistive switching memristor and its applications. Nanosci. Nanotechnol. Lett. 2014, 6, 729–757. [Google Scholar] [CrossRef]
- Pal, S.; Gupta, V.; Ki, W.H.; Islam, A. Design and development of memristor-based RRAM. IET Circuits Devices Syst. 2019, 13, 548–557. [Google Scholar] [CrossRef]
- Duan, S.; Hu, X.; Wang, L.; Li, C.; Mazumder, P. Memristor-based RRAM with applications. Sci. China Inf. Sci. 2012, 55, 1446–1460. [Google Scholar] [CrossRef]
- Hamdioui, S.; Xie, L.; Du Nguyen, H.A.; Taouil, M.; Bertels, K.; Corporaal, H.; Jiao, H.; Catthoor, F.; Wouters, D.; Eike, L.; et al. Memristor based computation-in-memory architecture for data-intensive applications. In Proceedings of the 2015 Design, Automation Test in Europe Conference Exhibition (DATE), Grenoble, France, 9–13 March 2015; pp. 1718–1725. [Google Scholar]
- Thomas, A. Memristor-based neural networks. J. Phys. Appl. Phys. 2013, 46, 093001. [Google Scholar] [CrossRef] [Green Version]
- Adhikari, S.P.; Yang, C.; Kim, H.; Chua, L.O. Memristor bridge synapse-based neural network and its learning. IEEE Trans. Neural Networks Learn. Syst. 2012, 23, 1426–1435. [Google Scholar] [CrossRef]
- Duan, S.; Hu, X.; Dong, Z.; Wang, L.; Mazumder, P. Memristor-based cellular nonlinear/neural network: Design, analysis, and applications. IEEE Trans. Neural Networks Learn. Syst. 2014, 26, 1202–1213. [Google Scholar] [CrossRef]
- Snider, G.S. Spike-timing-dependent learning in memristive nanodevices. In Proceedings of the 2008 IEEE International Symposium on Nanoscale Architectures, Anaheim, CA, USA, 12–13 June 2008; pp. 85–92. [Google Scholar]
- Linares-Barranco, B.; Serrano-Gotarredona, T. Memristance can explain spike-time-dependent-plasticity in neural synapses. In Nature Precedings; Nature Publishing Group: Berlin, Germany, 2009. [Google Scholar]
- Jo, S.H.; Chang, T.; Ebong, I.; Bhadviya, B.B.; Mazumder, P.; Lu, W. Nanoscale memristor device as synapse in neuromorphic systems. Nano Lett. 2010, 10, 1297–1301. [Google Scholar] [CrossRef] [PubMed]
- Chu, M.; Kim, B.; Park, S.; Hwang, H.; Jeon, M.; Lee, B.H.; Lee, B.G. Neuromorphic hardware system for visual pattern recognition with memristor array and CMOS neuron. IEEE Trans. Ind. Electron. 2014, 62, 2410–2419. [Google Scholar] [CrossRef]
- Yakopcic, C.; Hasan, R.; Taha, T.M. Flexible memristor based neuromorphic system for implementing multi-layer neural network algorithms. Int. J. Parallel Emergent Distrib. Syst. 2018, 33, 408–429. [Google Scholar] [CrossRef]
- Hutchinson, J.; Koch, C.; Luo, J.; Mead, C. Computing motion using analog and binary resistive networks. Computer 1988, 21, 52–63. [Google Scholar] [CrossRef] [Green Version]
- Prodromakis, T.; Toumazou, C. A review on memristive devices and applications. In Proceedings of the 2010 17th IEEE International Conference on Electronics, Circuits and Systems, Athens, Greece, 12–15 December 2010; pp. 934–937. [Google Scholar]
- Lecerf, G.; Tomas, J.; Boyn, S.; Girod, S.; Mangalore, A.; Grollier, J.; Saïghi, S. Silicon neuron dedicated to memristive spiking neural networks. In Proceedings of the 2014 IEEE International Symposium on Circuits and Systems (ISCAS), Melbourne, VIC, Australia, 1–5 June 2014; pp. 1568–1571. [Google Scholar]
- Saïghi, S.; Mayr, C.G.; Serrano-Gotarredona, T.; Schmidt, H.; Lecerf, G.; Tomas, J.; Grollier, J.; Boyn, S.; Vincent, A.F.; Querlioz, D.; et al. Plasticity in memristive devices for spiking neural networks. Front. Neurosci. 2015, 9, 51. [Google Scholar] [CrossRef]
- Boyn, S.; Grollier, J.; Lecerf, G.; Xu, B.; Locatelli, N.; Fusil, S.; Girod, S.; Carrétéro, C.; Garcia, K.; Xavier, S.; et al. Learning through ferroelectric domain dynamics in solid-state synapses. Nat. Commun. 2017, 8, 1–7. [Google Scholar] [CrossRef] [PubMed]
- Prezioso, M.; Bayat, F.M.; Hoskins, B.; Likharev, K.; Strukov, D. Self-adaptive spike-time-dependent plasticity of metal-oxide memristors. Sci. Rep. 2016, 6, 1–6. [Google Scholar] [CrossRef]
- Li, Y.; Zhong, Y.; Zhang, J.; Xu, L.; Wang, Q.; Sun, H.; Tong, H.; Cheng, X.; Miao, X. Activity-dependent synaptic plasticity of a chalcogenide electronic synapse for neuromorphic systems. Sci. Rep. 2014, 4, 1–7. [Google Scholar] [CrossRef] [Green Version]
- Wang, C.; He, W.; Tong, Y.; Zhao, R. Investigation and manipulation of different analog behaviors of memristor as electronic synapse for neuromorphic applications. Sci. Rep. 2016, 6, 1–9. [Google Scholar] [CrossRef]
- Bilotta, E.; Pantano, P.; Vena, S. Speeding up cellular neural network processing ability by embodying memristors. IEEE Trans. Neural Netw. Learn. Syst. 2016, 28, 1228–1232. [Google Scholar] [CrossRef]
- Rahimi Azghadi, M.; Chen, Y.C.; Eshraghian, J.K.; Chen, J.; Lin, C.Y.; Amirsoleimani, A.; Mehonic, A.; Kenyon, A.J.; Fowler, B.; Lee, J.C. Complementary Metal-Oxide Semiconductor and Memristive Hardware for Neuromorphic Computing. Adv. Intell. Syst. 2020, 2, 1900189. [Google Scholar] [CrossRef] [Green Version]
- Xu, F.; Zhang, J.; Fang, T.; Huang, S.; Wang, M. Synchronous dynamics in neural system coupled with memristive synapse. Nonlinear Dyn. 2018, 92, 1395–1402. [Google Scholar] [CrossRef]
- Bao, B.; Yang, Q.; Zhu, D.; Zhang, Y.; Xu, Q.; Chen, M. Initial-induced coexisting and synchronous firing activities in memristor synapse-coupled Morris–Lecar bi-neuron network. Nonlinear Dyn. 2020, 99, 2339–2354. [Google Scholar] [CrossRef]
- Ascoli, A.; Lanza, V.; Corinto, F.; Tetzlaff, R. Synchronization conditions in simple memristor neural networks. J. Frankl. Inst. 2015, 352, 3196–3220. [Google Scholar] [CrossRef]
- Comte, J.C.; Marquié, P.; Bilbault, J.M. Contour detection based on nonlinear discrete diffusion in a cellular nonlinear network. Int. J. Bifurc. Chaos 2001, 11, 179–183. [Google Scholar] [CrossRef]
- Isah, A.; Nguetcho, A.T.; Binczak, S.; Bilbault, J.M. Dynamics of a charge-controlled memristor in master–slave coupling. Electron. Lett. 2019, 56, 211–213. [Google Scholar] [CrossRef]
- Isah, A.; Nguetcho, A.S.T.; Binczak, S.; Bilbault, J.M. Memristor dynamics involved in cells communication for a 2D non-linear network. IET Signal Process. 2020, 14, 427–434. [Google Scholar] [CrossRef]
- Prodromakis, T.; Peh, B.P.; Papavassiliou, C.; Toumazou, C. A versatile memristor model with nonlinear dopant kinetics. IEEE Trans. Electron Devices 2011, 58, 3099–3105. [Google Scholar] [CrossRef]
Publisher’s Note: MDPI stays neutral with regard to jurisdictional claims in published maps and institutional affiliations. |
© 2021 by the authors. Licensee MDPI, Basel, Switzerland. This article is an open access article distributed under the terms and conditions of the Creative Commons Attribution (CC BY) license (https://creativecommons.org/licenses/by/4.0/).