Marine-Derived COS-diDA for Sensitive Skin Treatment: Synthesis, Traits, and Anti-Inflammatory Effects
Abstract
1. Introduction
2. Materials and Methods
2.1. Chemicals and Reagents
2.2. Instruments and Equipment
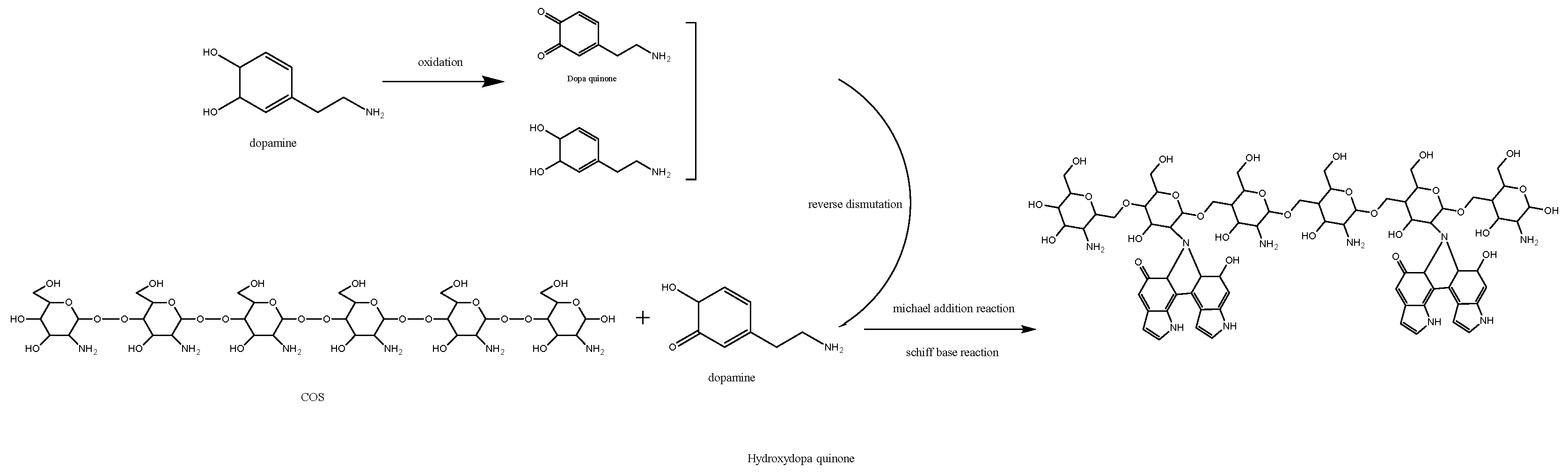
2.3. COS-diDA Preparation Process
2.4. Ultraviolet Absorbable Spectrum (UV-Vis Spectra)
2.5. Fourier Transform Attenuated Total Reflectance Infrared Spectroscopy (ATR-FTIR)
2.6. Scanning Electron Microscope (SEM)
2.7. Establishment of the HaCaT Cellular Capsaicin (CAP) Model
2.8. Effect of COS-diDA on CAP-Stimulated HaCaT Cell Proliferation Using a Cell Counting Kit-8 Assay
2.9. Detection of TRPV1 Expression by ELISA
2.10. IL-1α, IL-6, and IL-8 Activity Assays
2.11. Statistical Analysis
3. Results and Discussion
3.1. Characterization of COS-diDA Properties
3.1.1. Synthetic Analysis of COS-diDA
3.1.2. COS-diDA Ultraviolet Absorption
3.1.3. COS-diDA Infrared Spectral Analysis
3.1.4. COS-diDA High-Resolution Mass Spectrometry Analysis
3.1.5. Microstructure of COS-diDA
3.2. COS-diDA Influences Inflammatory Factors in HaCaT Cells
3.2.1. Effect of COS-diDA on the Proliferation and Activity of HaCaT Cells
3.2.2. Determination of CAP Concentration
3.2.3. Effect of COS-diDA on CAP-Induced Growth Inhibition of HaCaT Cells
3.2.4. Inhibitory Effect of COS-diDA on TRPV1 Protein in CAP-Activated HaCaT Cells
3.2.5. Effect of COS-diDA on the Level of Interleukin Secretion by CAP-Induced HaCaT Cells
4. Conclusions
Author Contributions
Funding
Institutional Review Board Statement
Informed Consent Statement
Data Availability Statement
Conflicts of Interest
References
- Kim, S.; Rajapakse, N. Enzymatic production and biological activities of chitosan oligosaccharides (COS): A review. Carbohydr. Polym. 2005, 62, 357–368. [Google Scholar] [CrossRef]
- Harish Prashanth, K.V.; Tharanathan, R.N. Chitin/chitosan: Modifications and their unlimited application potential—An overview. Trends Food Sci. Technol. 2007, 18, 117–131. [Google Scholar] [CrossRef]
- Li, B.; Elango, J.; Wu, W. Recent Advancement of Molecular Structure and Biomaterial Function of Chitosan from Marine Organisms for Pharmaceutical and Nutraceutical Application. Appl. Sci. 2020, 10, 4719. [Google Scholar] [CrossRef]
- Zhou, S.; Bei, Z.; Wei, J.; Yan, X.; Wen, H.; Cao, Y.; Li, H. Mussel-inspired injectable chitosan hydrogel modified with catechol for cell adhesion and cartilage defect repair. J. Mater. Chem. B 2022, 10, 1019–1030. [Google Scholar] [CrossRef]
- Guyot, C.; Adoungotchodo, A.; Taillades, W.; Cerruti, M.; Lerouge, S. A catechol-chitosan-based adhesive and injectable hydrogel resistant to oxidation and compatible with cell therapy. J. Mater. Chem. B 2021, 9, 8406–8416. [Google Scholar] [CrossRef]
- Riaz Rajoka, M.S.; Zhao, L.; Mehwish, H.M.; Wu, Y.; Mahmood, S. Chitosan and its derivatives: Synthesis, biotechnological applications, and future challenges. Appl. Microbiol. Biotechnol. 2019, 103, 1557–1571. [Google Scholar] [CrossRef] [PubMed]
- Sharda, D.; Ghosh, S.; Kaur, P.; Basu, B.; Choudhury, D. Chitosan-insulin nano-formulations as critical modulators of inflammatory cytokines and Nrf-2 pathway to accelerate burn wound healing. Discov. Nano 2023, 18, 154. [Google Scholar] [CrossRef]
- Kimura, M. Fluorescence Histochemical Study on Serotonin and Catecholamine in Some Plants. Jpn. J. Pharmacol. 1968, 18, 162–168. [Google Scholar] [CrossRef] [PubMed]
- Kulma, A.; Szopa, J. Catecholamines are active compounds in plants. Plant Sci. 2007, 172, 433. [Google Scholar] [CrossRef]
- Han, E.J.; Kim, S.Y.; Han, H.J.; Kim, H.S.; Kim, K.N.; Fernando, I.P.S.; Madusanka, D.M.D.; Dias, M.K.H.M.; Cheong, S.H.; Park, S.R. UVB protective effects of Sargassum horneri through the regulation of Nrf2 mediated antioxidant mechanism. Sci. Rep. 2021, 11, 9963. [Google Scholar] [CrossRef]
- Kim, H.S.; Sanjeewa, K.K.; Fernando, I.P.; Ryu, B.; Yang, H.W.; Ahn, G.; Kang, M.C.; Heo, S.J.; Je, J.G.; Jeon, Y.J. A comparative study of Sargassum horneri Korea and China strains collected along the coast of Jeju Island South Korea: Its components and bioactive properties. Algae 2018, 33, 341–349. [Google Scholar] [CrossRef]
- Manful, M.E.; Ahmed, L.; Barry-Ryan, C. Cosmetic Formulations from Natural Sources: Safety Considerations and Legislative Frameworks in the European Union. Cosmetics 2024, 11, 72. [Google Scholar] [CrossRef]
- Chandra, R.; Iqbal, H.M.N.; Vishal, G.; Lee, H.-S.; Nagra, S. Algal biorefinery: A sustainable approach to valorize algal-based biomass towards multiple product recovery. Bioresour. Technol. 2019, 278, 346–359. [Google Scholar] [CrossRef]
- Saraswati; Giriwono, P.E.; Iskandriati, D.; Tan, C.P.; Andarwulan, N. Sargassum Seaweed as a Source of Anti-Inflammatory Substances and the Potential Insight of the Tropical Species: A Review. Mar. Drugs 2019, 17, 590. [Google Scholar] [CrossRef] [PubMed]
- Liu, L.; Heinrich, M.; Myers, S.; Dworjanyn, S.A. Towards a better understanding of medicinal uses of the brown seaweed Sargassum in Traditional Chinese Medicine: A phytochemical and pharmacological review. J. Ethnopharmacol. 2012, 142, 591–619. [Google Scholar] [CrossRef] [PubMed]
- Srinivasan, K. Biological Activities of Red Pepper (Capsicum annuum) and Its Pungent Principle Capsaicin: A Review. Crit. Rev. Food Sci. Nutr. 2016, 56, 1488–1500. [Google Scholar] [CrossRef] [PubMed]
- Yang, F.; Zheng, J. Understand spiciness: Mechanism of TRPV1 channel activation by capsaicin. Protein Cell 2017, 8, 169–177. [Google Scholar] [CrossRef] [PubMed]
- Munjuluri, S.; Wilkerson, D.A.; Sooch, G.; Chen, X.; White, F.A.; Obukhov, A.G. Capsaicin and TRPV1 Channels in the Cardiovascular System: The Role of Inflammation. Cells 2021, 11, 18. [Google Scholar] [CrossRef]
- Iftinca, M.; Defaye, M.; Altier, C. TRPV1-Targeted Drugs in Development for Human Pain Conditions. Drugs 2021, 81, 7–27. [Google Scholar] [PubMed]
- Huang, Z.; Lv, X.; Sun, G.; Mao, X.; Lu, W.; Liu, Y.; Li, J.; Du, G.; Liu, L. Chitin deacetylase: From molecular structure to practical applications. Syst. Microbiol. Biomanufacturing 2022, 2, 271–284. [Google Scholar] [CrossRef]
- Weihrauch, T.; Gray, N.; Wiebe, D.; Schmelz, M.; Limberg, M.M.; Raap, U. TRPV1 Channel in Human Eosinophils: Functional Expression and Inflammatory Modulation. Int. J. Mol. Sci. 2024, 25, 1922. [Google Scholar] [CrossRef]
- Wang, Y.; Du, D.M. Recent advances in organocatalytic asymmetric oxa-Michael addition triggered cascade reactions. Org. Chem. Front. 2020, 7, 3266–3283. [Google Scholar] [CrossRef]
- Kadu, N.S.; Masand, V.H. A Capstone Review on Synthetic Methods and Applications of Schiffs Bases. Int. J. Res. Appl. Sci. Eng. Technol. 2022, 10, 352–359. [Google Scholar] [CrossRef]
- Sparks, B.J.; Hoff, E.F.T.; Hayes, L.P.; Patton, D.L. Mussel-Inspired Thiol-Ene Polymer Networks: Influencing Network Properties and Adhesion with Catechol Functionality. Chem. Mater. 2012, 24, 3633–3642. [Google Scholar] [CrossRef]
- Ryu, J.H.; Lee, Y.; Kong, W.H.; Kim, T.G.; Park, T.G.; Lee, H. Catechol-functionalized chitosan/pluronic hydrogels for tissue adhesives and hemostatic materials. Biomacromolecules 2011, 12, 2653–2659. [Google Scholar] [CrossRef]
- Lagutschenkov, A.; Langer, J.; Berden, G.; Oomens, J.; Dopfer, O. Infrared spectra of protonated neurotransmitters: Dopamine. Phys. Chem. Chem. Phys. 2011, 13, 2815–2823. [Google Scholar] [CrossRef] [PubMed]
- Guo, Q.; Xiao, X.; Li, C.; Kang, J.; Liu, G.; Goff, H.D.; Wang, C. Catechin-grafted arabinoxylan conjugate: Preparation, structural characterization and property investigation. Int. J. Biol. Macromol. 2021, 182, 796–805. [Google Scholar] [CrossRef] [PubMed]
- Sulzberger, M.; Worthmann, A.C.; Holtzmann, U.; Buck, B.; Jung, K.A.; Schoelermann, A.M.; Rippke, F.; Stäb, F.; Wenck, H.; Neufang, G. Effective treatment for sensitive skin: 4-t-butylcyclohexanol licochalcone, A. J. Eur. Acad. Dermatol. Venereol. 2016, 30, 9–17. [Google Scholar] [CrossRef] [PubMed]
- Lequin, R.M. Enzyme immunoassay (EIA)/enzyme-linked immunosorbent assay (ELISA). Clin. Chem. 2005, 51, 2415–2418. [Google Scholar] [CrossRef] [PubMed]
- Heinrich, P.C.; Behrmann, I.; Haan, S.; Hermanns, H.M.; Müller-Newen, G.; Schaper, F. Principles of interleukin (IL)-6-type cytokine signalling and its regulation. Biochem. J. 2003, 374 Pt 1, 1–20. [Google Scholar] [CrossRef] [PubMed]
- Andrade, C. The P Value and Statistical Significance: Misunderstandings, Explanations, Challenges, and Alternatives. Indian J. Psychol. Med. 2019, 41, 210–215. [Google Scholar] [CrossRef] [PubMed]
- Liu, Y.; Ai, K.; Lu, L. Polydopamine and Its Derivative Materials: Synthesis and Promising Applications in Energy, Environmental, and Biomedical Fields. Chem. Rev. 2014, 114, 5057–5115. [Google Scholar] [CrossRef]
- Ren, J.; Yang, H.; Wu, Y.; Liu, S.; Ni, K.; Ran, X.; Zhou, X.; Gao, W.; Du, G.; Yang, L. Dynamic reversible adhesives based on crosslinking network via Schiff base and Michael addition. RSC Adv. 2022, 12, 15241–15250. [Google Scholar] [CrossRef]
- Verma, G.; Mishra, M. Development and optimization of UV-Vis spectroscopy-a review. World J. Pharm. Res. 2018, 7, 1170–1180. [Google Scholar]
- Sutjianto, J.G.; Yoo, S.H.; Westerman, C.R.; Jackson, T.N.; Wilker, J.J.; Gomez, E.D. Blends of Conjugated and Adhesive Polymers for Sticky Organic Thin-Film Transistors. Adv. Electron. Mater. 2023, 9, 2300422. [Google Scholar] [CrossRef]
- Qu, T.; Nan, G.; Ouyang, Y.; Bieketuerxun, B.; Yan, X.; Qi, Y.; Zhang, Y. Structure–Property Relationship, Glass Transition, and Crystallization Behaviors of Conjugated Polymers. Polymers 2023, 15, 4268. [Google Scholar] [CrossRef]
- Zhou, L.D.; Lu, Y.N.; Liu, Q.; Shi, X.M.; Tian, J. Modulation of TRPV1 function by Citrus reticulata (tangerine) fruit extract for the treatment of sensitive skin. J. Cosmet. Dermatol. 2023, 22, 1369–1376. [Google Scholar] [CrossRef]
- Pecze, L.; Szabó, K.; Széll, M.; Jósvay, K.; Kaszás, K.; Kúsz, E.; Letoha, T.; Prorok, J.; Koncz, I.; Tóth, A.; et al. Human Keratinocytes Are Vanilloid Resistant. PLoS ONE 2008, 3, e3419. [Google Scholar] [CrossRef]
- Nadezhdin, K.D.; Neuberger, A.; Nikolaev, Y.A.; Murphy, L.A.; Gracheva, E.O.; Bagriantsev, S.N.; Sobolevsky, A.I. Extracellular cap domain is an essential component of the TRPV1 gating mechanism. Nat. Commun. 2021, 12, 2154. [Google Scholar] [CrossRef] [PubMed]
- Tominaga, M.; Tominaga, T. Structure and function of TRPV1. Pflügers Archiv. 2005, 451, 143–150. [Google Scholar] [CrossRef] [PubMed]
- Srour, J.; Bengel, J.; Linden, T.; Jovanovic, Z.; Roggenkamp, D.; Reinholz, M.; Rothenberger, C.; Neufang, G.; Wollenberg, A. Efficacy of a skin care cream with TRPV1 inhibitor 4-t-butylcyclohexanol in the topical therapy of perioral dermatitis. J. Cosmet. Dermatol. 2020, 19, 1409–1414. [Google Scholar] [CrossRef]
- Del Giudice, M.; Gangestad, S.W. Rethinking IL-6 and CRP: Why they are more than inflammatory biomarkers, and why it matters. Brain Behav. Immun. 2018, 70, 61–75. [Google Scholar] [CrossRef] [PubMed]
- Chen, B.; Zhang, Q.; Zhong, X.; Zhang, X.; Liu, X.; Wang, H.; Yang, F.; Zhang, J.; Huang, J.; Wong, Y.-K.; et al. Dopamine modification of glycolytic enzymes impairs glycolysis: Possible implications for Parkinson’s disease. Cell Commun. Signal. 2024, 22, 75. [Google Scholar] [CrossRef]
- Xu, M.; Zhang, Z.; Zhang, P. Beyond traditional methods: Unveiling the skin whitening properties of Rhein-Embedded PROTACs. Bioorganic Med. Chem. 2023, 96, 117537. [Google Scholar] [CrossRef] [PubMed]











| CAP Concentration (μg/mL) | Cell Viability (X ± S) | 
|---|---|
| 0 | 100.01 ± 15.33 | 
| 50 | 84.53 ± 10.93 * | 
| 100 | 65.21 ± 6.70 **** | 
| 150 | 44.96 ± 7.69 **** | 
| 200 | 21.81 ± 6.46 **** | 
| 250 | 3.13 ± 3.66 **** | 
| Disclaimer/Publisher’s Note: The statements, opinions and data contained in all publications are solely those of the individual author(s) and contributor(s) and not of MDPI and/or the editor(s). MDPI and/or the editor(s) disclaim responsibility for any injury to people or property resulting from any ideas, methods, instructions or products referred to in the content. | 
© 2025 by the authors. Licensee MDPI, Basel, Switzerland. This article is an open access article distributed under the terms and conditions of the Creative Commons Attribution (CC BY) license (https://creativecommons.org/licenses/by/4.0/).
Share and Cite
Su, Y.; Hou, J.; Zheng, Y.; Zhang, S.; Liu, L.; Wu, W.; Bao, C. Marine-Derived COS-diDA for Sensitive Skin Treatment: Synthesis, Traits, and Anti-Inflammatory Effects. Cosmetics 2025, 12, 35. https://doi.org/10.3390/cosmetics12020035
Su Y, Hou J, Zheng Y, Zhang S, Liu L, Wu W, Bao C. Marine-Derived COS-diDA for Sensitive Skin Treatment: Synthesis, Traits, and Anti-Inflammatory Effects. Cosmetics. 2025; 12(2):35. https://doi.org/10.3390/cosmetics12020035
Chicago/Turabian StyleSu, Yue, Jinhua Hou, Yuanxi Zheng, Shanshan Zhang, Lixin Liu, Wenhui Wu, and Chunling Bao. 2025. "Marine-Derived COS-diDA for Sensitive Skin Treatment: Synthesis, Traits, and Anti-Inflammatory Effects" Cosmetics 12, no. 2: 35. https://doi.org/10.3390/cosmetics12020035
APA StyleSu, Y., Hou, J., Zheng, Y., Zhang, S., Liu, L., Wu, W., & Bao, C. (2025). Marine-Derived COS-diDA for Sensitive Skin Treatment: Synthesis, Traits, and Anti-Inflammatory Effects. Cosmetics, 12(2), 35. https://doi.org/10.3390/cosmetics12020035
 
        



 
       