A 0.3 V Rail-to-Rail Ultra-Low-Power OTA with Improved Bandwidth and Slew Rate
Abstract
1. Introduction
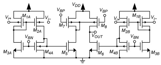
2. Proposed Topology
3. Circuit Analysis
3.1. Differential Gain Frequency Response
3.2. Common-Mode Gain
3.3. Noise Analysis
3.4. Large-Signal Analysis
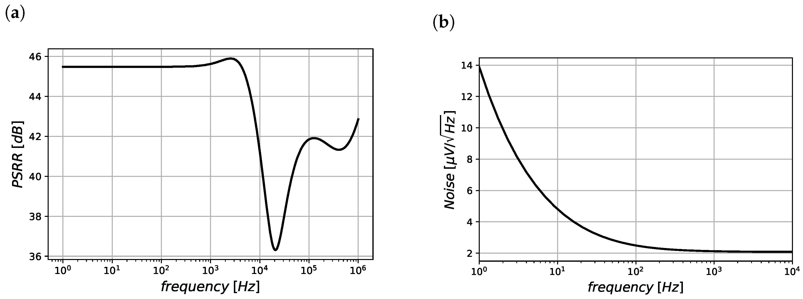
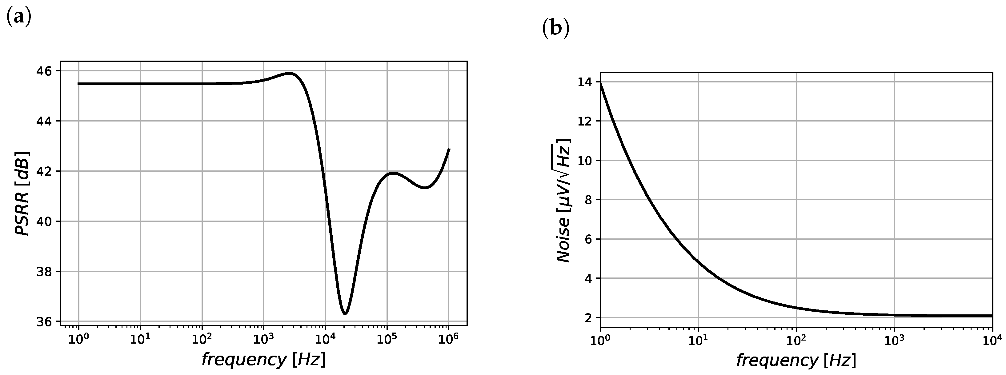
4. Amplifier Design and Simulation Results
4.1. Sizing
4.2. Circuit Simulations
4.3. Robustness to Mismatch and PVT Variations
4.4. Results and Comparison with the Literature
5. Conclusions
Author Contributions
Funding
Conflicts of Interest
Abbreviations
| BD | Body-Driven |
| CMFB | Common-Mode Feedback |
| CMRR | Common-Mode Rejection Ratio |
| GD | Gate-Driven |
| FOM | Figure of Merit |
| ICMR | Input Common-Mode Range |
| IoT | Internet of Things |
| OTA | Operational Transconductance Amplifier |
| PSRR | Power Supply Rejection Ratio |
| PTAT | Proportional to Absolute Temperature |
| PVT | Process, Supply Voltage, and Temperature |
| THD | Total Harmonic Distortion |
| ULV | Ultra-Low Voltage |
| ULP | Ultra-Low Power |
References
- Alioto, M. Enabling the Internet of Things—from Integrated Circuits to Integrated Systems; Springer: Berlin/Heidelberg, Germany, 2017. [Google Scholar]
- Toledo, P.; Rubino, R.; Musolino, F.; Crovetti, P. Re-Thinking Analog Integrated Circuits in Digital Terms: A New Design Concept for the IoT Era. IEEE Trans. Circuits Syst. II Express Briefs 2021, 68, 816–822. [Google Scholar]
- Aiello, O.; Crovetti, P.; Alioto, M. Ultra-Low Power and Minimal Design Effort Interfaces for the Internet of Things: Invited paper. In Proceedings of the 2019 IEEE International Circuits and Systems Symposium (ICSyS), Kuantan, Malaysia, 18–19 September 2019; pp. 1–4. [Google Scholar]
- Harpe, P.; Gao, H.; Dommele, R.V.; Cantatore, E.; van Roermund, A.H.M. A 0.20 mm2 3 nW Signal Acquisition IC for Miniature Sensor Nodes in 65 nm CMOS. IEEE J. Solid State Circuits 2016, 51, 240–248. [Google Scholar] [CrossRef]
- Avoli, M.; Centurelli, F.; Monsurrò, P.; Scotti, G.; Trifiletti, A. Low power DDA-based instrumentation amplifier for neural recording applications in 65 nm CMOS. AEU Int. J. Electron. Commun. 2018, 92, 30–35. [Google Scholar] [CrossRef]
- Lee, J.; Johnson, M.; Kipke, D. A Tunable Biquad Switched-Capacitor Amplifier-Filter for Neural Recording. Biomed. Circuits Syst. IEEE Trans. 2010, 4, 295–300. [Google Scholar] [CrossRef] [PubMed]
- Della Sala, R.; Monsurrò, P.; Scotti, G.; Trifiletti, A. Area-Efficient Low-Power Bandpass Gm-C Filter for Epileptic Seizure Detection in 130 nm CMOS. In Proceedings of the 2019 26th IEEE International Conference on Electronics, Circuits and Systems (ICECS), Genoa, Italy, 27–29 November 2019; pp. 298–301. [Google Scholar]
- Liu, Z.; Tan, Y.; Li, H.; Jiang, H.; Liu, J.; Liao, H. A 0.5-V 3.69-nW Complementary Source-Follower-C Based Low-Pass Filter for Wearable Biomedical Applications. IEEE Trans. Circuits Syst. I Regul. Pap. 2020, 67, 4370–4381. [Google Scholar] [CrossRef]
- Grasso, A.D.; Pennisi, S. Ultra-Low Power Amplifiers for IoT Nodes. In Proceedings of the 2018 25th IEEE International Conference on Electronics, Circuits and Systems (ICECS), Bordeaux, France, 9–12 December 2018; pp. 497–500. [Google Scholar]
- Stockstad, T.; Yoshizawa, H. A 0.9-V 0.5-/spl mu/A rail-to-rail CMOS operational amplifier. IEEE J. Solid State Circuits 2002, 37, 286–292. [Google Scholar] [CrossRef]
- Ferreira, L.H.C.; Pimenta, T.C.; Moreno, R.L. An Ultra-Low-Voltage Ultra-Low-Power CMOS Miller OTA With Rail-to-Rail Input/Output Swing. IEEE Trans. Circuits Syst. II Express Briefs 2007, 54, 843–847. [Google Scholar] [CrossRef]
- Yang, Y.; Li, Y.; Zhu, Z. A 0.8 V bulk-driven rail-to-rail operational amplifier. J. Circuits Syst. 2009, 29, 439–443. [Google Scholar]
- Raikos, G.; Vlassis, S. 0.8 V bulk-driven operational amplifier. Analog. Integr. Circuits Signal Process. 2010, 63, 425–432. [Google Scholar] [CrossRef]
- Pan, S.; Chuang, C.; Yang, C.; Lai, Y. A novel OTA with dual bulk-driven input stage. In Proceedings of the 2009 IEEE International Symposium on Circuits and Systems, Taiwan, China, 24–27 May 2009; pp. 2721–2724. [Google Scholar]
- Centurelli, F.; Monsurrò, P.; Parisi, G.; Tommasino, P.; Trifiletti, A. A Topology of Fully Differential Class-AB Symmetrical OTA With Improved CMRR. IEEE Trans. Circuits Syst. II Express Briefs 2018, 65, 1504–1508. [Google Scholar] [CrossRef]
- Ng, K.A.; Xu, Y.P. A Low-Power, High CMRR Neural Amplifier System Employing CMOS Inverter-Based OTAs With CMFB Through Supply Rails. IEEE J. Solid State Circuits 2016, 51, 724–737. [Google Scholar]
- Castaño, F.; Torelli, G.; Pérez-Aloe, R.; Carrillo, J.M. Low-voltage rail-to-rail bulk-driven CMFB network with improved gain and bandwidth. In Proceedings of the 2010 17th IEEE International Conference on Electronics, Circuits and Systems, Athens, Greece, 12–15 December 2010; pp. 207–210. [Google Scholar]
- Kumngern, M.; Khateb, F.; Kulej, T. 0.5 V bulk-driven CMOS fully differential current feedback operational amplifier. IET Circuits Devices Syst. 2019, 13, 314–320. [Google Scholar] [CrossRef]
- Centurelli, F.; Monsurrò, P.; Trifiletti, A. Comparative performance analysis and complementary triode based CMFB circuits for fully differential class AB symmetrical OTAs with low power consumption. Int. J. Circuit Theory Appl. 2016, 44, 1039–1054. [Google Scholar] [CrossRef]
- Grasso, A.D.; Marano, D.; Palumbo, G.; Pennisi, S. Design Methodology of Subthreshold Three-Stage CMOS OTAs Suitable for Ultra-Low-Power Low-Area and High Driving Capability. IEEE Trans. Circuits Syst. I Regul. Pap. 2015, 62, 1453–1462. [Google Scholar] [CrossRef]
- Zuo, L.; Islam, S.K. Low-Voltage Bulk-Driven Operational Amplifier With Improved Transconductance. IEEE Trans. Circuits Syst. I Regul. Pap. 2013, 60, 2084–2091. [Google Scholar] [CrossRef]
- Cabrera-Bernal, E.; Pennisi, S.; Grasso, A.D.; Torralba, A.; Carvajal, R.G. 0.7-V Three-Stage Class-AB CMOS Operational Transconductance Amplifier. IEEE Trans. Circuits Syst. I Regul. Pap. 2016, 63, 1807–1815. [Google Scholar] [CrossRef]
- Cellucci, D.; Centurelli, F.; Di Stefano, V.; Monsurrò, P.; Pennisi, S.; Scotti, G.; Trifiletti, A. 0.6-V CMOS cascode OTA with complementary gate-driven gain-boosting and forward body bias. Int. J. Circuit Theory Appl. 2020, 48, 15–27. [Google Scholar] [CrossRef]
- Khade, A.S.; Musale, S.; Suryawanshi, R.; Vyas, V. A DTMOS-based power efficient recycling folded cascode operational transconductance amplifier. Analog. Integr. Circuits Signal Process. 2021, 107, 227–238. [Google Scholar] [CrossRef]
- Manfredini, G.; Catania, A.; Benvenuti, L.; Cicalini, M.; Piotto, M.; Bruschi, P. Ultra-Low-Voltage Inverter-Based Amplifier with Novel Common-Mode Stabilization Loop. Electronics 2020, 9, 1019. [Google Scholar] [CrossRef]
- Baghtash, H.F. A 0.4 V, body-driven, fully differential, tail-less OTA based on current push-pull. Microelectron. J. 2020, 99, 104768. [Google Scholar] [CrossRef]
- Richelli, A.; Colalongo, L.; Kovacs-Vajna, Z.; Calvetti, G.; Ferrari, D.; Finanzini, M.; Pinetti, S.; Prevosti, E.; Savoldelli, J.; Scarlassara, S. A Survey of Low Voltage and Low Power Amplifier Topologies. J. Low Power Electron. Appl. 2018, 8, 22. [Google Scholar] [CrossRef]
- Centurelli, F.; Della Sala, R.; Scotti, G.; Trifiletti, A. A 0.3 V, Rail-to-Rail, Ultralow-Power, Non-Tailed, Body-Driven, Sub-Threshold Amplifier. Appl. Sci. 2021, 11, 2528. [Google Scholar] [CrossRef]
- Rodovalho, L.H.; Aiello, O.; Rodrigues, C.R. Ultra-Low-Voltage Inverter-Based Operational Transconductance Amplifiers with Voltage Gain Enhancement by Improved Composite Transistors. Electronics 2020, 9, 1410. [Google Scholar] [CrossRef]
- Veldandi, H.; Shaik, R.A. A 0.3-v pseudo-differential bulk-input ota for low-frequency applications. Circuits Syst. Signal Process. 2018, 37, 5199–5221. [Google Scholar] [CrossRef]
- Lv, L.; Zhou, X.; Qiao, Z.; Li, Q. Inverter-Based Subthreshold Amplifier Techniques and Their Application in 0.3-V ΣΔ-Modulator. IEEE J. -Solid-State Circuits 2019, 54, 1436–1445. [Google Scholar] [CrossRef]
- Colletta, G.D.; Ferreira, L.H.; Pimenta, T.C. A 0.25-V 22-nS symmetrical bulk-driven OTA for low-frequency G_m G m-C applications in 130-nm digital CMOS process. Analog. Integr. Circuits Signal Process. 2014, 81, 377–383. [Google Scholar] [CrossRef]
- Miguel, J.M.A.; Lopez-Martin, A.J.; Acosta, L.; Ramirez-Angulo, J.; Carvajal, R.G. Using Floating Gate and Quasi-Floating Gate Techniques for Rail-to-Rail Tunable CMOS Transconductor Design. IEEE Trans. Circuits Syst. I Regul. Pap. 2011, 58, 1604–1614. [Google Scholar] [CrossRef]
- Ferreira, L.; Sonkusale, S. A 60-dB gain OTA operating at 0.25-V power supply in 130-nm digital CMOS process. Circuits Syst. I Regul. Pap. IEEE Trans. 2014, 61, 1609–1617. [Google Scholar] [CrossRef]
- Kulej, T.; Khateb, F. A 0.3-V 98-dB Rail-to-Rail OTA in 0.18 μm CMOS. IEEE Access 2020, 8, 27459–27467. [Google Scholar] [CrossRef]
- Toledo, P.; Crovetti, P.; Aiello, O.; Alioto, M. Fully Digital Rail-to-Rail OTA With Sub-1000-μm2 Area, 250-mV Minimum Supply, and nW Power at 150-pF Load in 180 nm. IEEE Solid State Circuits Lett. 2020, 3, 474–477. [Google Scholar] [CrossRef]
- Toledo, P.; Crovetti, P.; Klimach, H.; Bampi, S. A 300 mV-Supply, 2 nW-Power, 80 pF-Load CMOS Digital-Based OTA for IoT Interfaces. In Proceedings of the 2019 26th IEEE International Conference on Electronics, Circuits and Systems (ICECS), Genoa, Italy, 27–29 November 2019; pp. 170–173. [Google Scholar]
- Kulej, T.; Khateb, F. Design and implementation of sub 0.5-V OTAs in 0.18-μm CMOS. Int. J. Circuit Theory Appl. 2018, 46, 1129–1143. [Google Scholar] [CrossRef]
- Kulej, T.; Khateb, F. A Compact 0.3-V Class AB Bulk-Driven OTA. IEEE Trans. Very Large Scale Integr. (VLSI) Syst. 2019, 28, 224–232. [Google Scholar] [CrossRef]
- Jérôme, F.K.; Evariste, W.T.; Bernard, E.Z.; Crespo, M.L.; Cicuttin, A.; Reaz, M.B.I.; Bhuiyan, M.A.S. An 8.72 µW Low-Noise and Wide Bandwidth FEE Design for High-Throughput Pixel-Strip (PS) Sensors. Sensors 2021, 21, 1760. [Google Scholar] [CrossRef]
- Mishra, R.B.; El-Atab, N.; Hussain, A.M.; Hussain, M.M. Recent Progress on Flexible Capacitive Pressure Sensors: From Design and Materials to Applications. Adv. Mater. Technol. 2021, 2001023. [Google Scholar] [CrossRef]
- Hajiaghajani, A.; Tseng, P. Microelectronics-Free, Augmented Telemetry from Body-Worn Passive Wireless Sensors. Adv. Mater. Technol. 2021, 2001127. [Google Scholar] [CrossRef]
- Gao, Y.; Soman, V.V.; Lombardi, J.P.; Rajbhandari, P.P.; Dhakal, T.P.; Wilson, D.G.; Poliks, M.D.; Ghose, K.; Turner, J.N.; Jin, Z. Heart Monitor Using Flexible Capacitive ECG Electrodes. IEEE Trans. Instrum. Meas. 2020, 69, 4314–4323. [Google Scholar] [CrossRef]
- Deo, N.; Sharan, T.; Dubey, T. Subthreshold biased enhanced bulk-driven double recycling current mirror OTA. Analog. Integr. Circuits Signal Process. 2020, 105, 229–242. [Google Scholar] [CrossRef]
- Abdelfattah, O.; Roberts, G.W.; Shih, I.; Shih, Y. An Ultra-Low-Voltage CMOS Process-Insensitive Self-Biased OTA with Rail-to-Rail Input Range. IEEE Trans. Circuits Syst. I Regul. Pap. 2015, 62, 2380–2390. [Google Scholar] [CrossRef]
- Magnelli, L.; Amoroso, F.A.; Crupi, F.; Cappuccino, G.; Iannaccone, G. Design of a 75-nW, 0.5-V subthreshold complementary metal–oxide–semiconductor operational amplifier. Int. J. Circuit Theory Appl. 2014, 42, 967–977. [Google Scholar] [CrossRef]








| W [m] | L [m] | [nA] | [nS] | [nS] | [nS] | |
|---|---|---|---|---|---|---|
| 15 | 2 | 13 | 396.3 | 65.38 | 2.13 | |
| 1.5 | 9.3 | 13 | 335.4 | 58.61 | 4.13 | |
| 12 | 9.3 | 95 | 2462 | 430.3 | 25.90 | |
| 120 | 2 | 95 | 2903 | 35.29 | 15.67 |
| Output | Offset [mV] | Pd [nW] | [V/ms] | [V/ms] | [V/ms] | Gain (1 Hz) [dB] | m [deg] | GBW [kHz] | CMRR [dB] |
|---|---|---|---|---|---|---|---|---|---|
| Mean | 0.072 | 73.3 | 10.82 | 32.32 | 21.57 | 42.93 | 52.12 | 18.6 | 51.77 |
| Std Dev | 4.614 | 7.16 | 1 | 0.189 | 0.488 | 3.597 | 3.156 | 2.187 | 5.64 |
| - [mV] | 270.0 | 276.0 | 282.0 | 288.0 | 294.0 | 300.0 | 306.0 | 312.0 | 318.0 | 324.0 | 330.0 |
| Pd [nW] | 49.41 | 53.40 | 57.77 | 62.50 | 67.60 | 73.09 | 79.00 | 85.32 | 92.04 | 99.11 | 106.4 |
| 19.10 | 21.44 | 23.90 | 26.54 | 29.37 | 32.37 | 35.48 | 38.69 | 41.92 | 45.17 | 48.28 | |
| 9.404 | 10.13 | 10.73 | 11.11 | 11.16 | 10.83 | 10.21 | 9.472 | 8.727 | 8.031 | 7.411 | |
| m [deg] | 71.30 | 65.64 | 61.04 | 57.57 | 54.63 | 51.93 | 49.38 | 46.99 | 44.80 | 43.86 | 42.32 |
| DC Gain (dB) | 40.32 | 39.82 | 39.61 | 39.85 | 40.29 | 40.80 | 41.36 | 41.97 | 42.71 | 43.68 | 45.14 |
| GBW [kHz] | 8.908 | 10.73 | 12.96 | 15.02 | 16.87 | 18.65 | 20.41 | 22.16 | 23.82 | 25.27 | 26.29 |
| CMRR (dB) | 47.75 | 51.10 | 57.58 | 65.01 | 68.67 | 67.49 | 64.54 | 61.42 | 58.46 | 55.76 | 53.62 |
| Offset [mV] | 3.834 | 2.049 | 1.090 | 0.62 | 0.36 | 0.17 | 0.006 | −0.17 | −0.38 | −0.67 | −1.094 |
| Noise [] | 2.310 | 2.184 | 2.130 | 2.120 | 2.120 | 2.123 | 2.128 | 2.133 | 2.140 | 2.151 | 2.172 |
| Temperature [°C] | −10.00 | 0.000 | 10.00 | 20.00 | 30.00 | 40.00 | 50.00 | 60.00 | 70.00 | 80.00 | 90.00 | 100.0 | 110.0 |
| Offset [mV] | 10.67 | 4.459 | 1.314 | 0.45 | 0.057 | −0.472 | −1.896 | −5.711 | −12.00 | −19.81 | −28.76 | −38.95 | −50.75 |
| Pd [nW] | 36.98 | 43.88 | 53.05 | 64.17 | 77.19 | 91.88 | 106.7 | 117.7 | 123.8 | 127.3 | 130.0 | 132.6 | 136.2 |
| DC Gain [dB] | 41.03 | 43.13 | 41.71 | 40.97 | 40.76 | 40.97 | 43.14 | 57.92 | 43.00 | 35.33 | 30.75 | 27.28 | 24.68 |
| GBW [kHz] | 6.640 | 8.192 | 12.04 | 16.17 | 19.65 | 22.46 | 22.76 | 20.62 | 18.93 | 17.56 | 16.22 | 14.83 | 13.39 |
| m | 81.84 | 74.83 | 63.13 | 55.88 | 50.38 | 46.00 | 43.98 | 45.80 | 48.02 | 49.34 | 50.51 | 51.98 | 54.16 |
| CMRR [dB] | 51.68 | 51.08 | 58.23 | 70.93 | 64.75 | 55.80 | 49.28 | 58.52 | 40.79 | 31.49 | 25.99 | 22.21 | 19.99 |
| [V/ms] | 10.50 | 11.78 | 12.27 | 11.78 | 10.32 | 8.551 | 6.996 | 5.802 | 5.001 | 4.525 | 4.211 | 3.960 | 3.735 |
| [V/ms] | 22.62 | 26.41 | 29.03 | 31.08 | 32.90 | 34.27 | 35.11 | 35.55 | 35.64 | 35.50 | 35.10 | 34.46 | 33.54 |
| [V/ms] | 16.56 | 19.10 | 20.65 | 21.43 | 21.61 | 21.41 | 21.05 | 20.68 | 20.32 | 20.01 | 19.66 | 19.21 | 18.64 |
| Noise [ V/] | 2.367 | 2.197 | 2.042 | 2.079 | 2.143 | 2.214 | 2.348 | 2.717 | 3.095 | 3.362 | 3.563 | 3.726 | 3.860 |
| This Work | [28] | [39] | [29] | [36] | [35] | [44] | [31] | [30] | [38] | [45] | [32] | [46] | [34] | |
|---|---|---|---|---|---|---|---|---|---|---|---|---|---|---|
| Year | 2021 | 2021 | 2020 | 2020 | 2020 | 2020 | 2020 | 2019 | 2018 | 2018 | 2015 | 2014 | 2014 | 2014 |
| Technology [m] | 0.13 | 0.13 | 0.18 | 180 | 0.18 | 0.18 | 0.18 | 0.13 | 0.065 | 0.18 | 0.065 | 0.13 | 0.18 | 0.13 |
| 0.3 | 0.3 | 0.3 | 0.3 | 0.3 | 0.3 | 0.5 | 0.3 | 0.3 | 0.3 | 0.35 | 0.25 | 0.5 | 0.25 | |
| 0.86 | 0.86 | 0.6 | 0.6 | 0.6 | 0.6 | 1.19 | 0.86 | - | 0.6 | 1.16 | 1.16 | 1.29 | 1.16 | |
| [dB] | 40.80 | 64.6 | 64.7 | 39 | 30 | 98.1 | 69.5 | 49.8 | 60 | 65.8 | 43 | - | 70 | 60 |
| 40 | 50 | 30 | 10 | 150 | 30 | 15 | 2 | 5 | 20 | 3 | 20 | 30 | 15 | |
| [kHz] | 18.65 | 3.58 | 2.96 | 0.9 | 0.25 | 3.1 | 36 | 9100 | 70 | 2.78 | 3600 | - | 18 | 1.88 |
| 51.93 | 53.76 | 52 | 90 | 90 | 54 | 65 | 76 | 53 | 61 | 56 | - | 55 | 52.5 | |
| 10.83 | 1.7 | 1.9 | - | 0.068 | 14 | 9.7 | - | 25 | 6.44 | 5600 | - | 3 | 0.64 | |
| 32.37 | 0.15 | 6.4 | - | 0.101 | 4.2 | 9.7 | - | 25 | 7.8 | 5600 | - | 3 | 0.77 | |
| 21.60 | 0.93 | 4.15 | - | 0.085 | 9.1 | 9.7 | 3.8 | 25 | 7.12 | 5600 | 94.60 | 3 | 0.71 | |
| 1.4 | 0.84 | 1 | 1 | 2 | 0.49 | 0.27 | - | - | 1 | - | 0.53 | - | 0.2 | |
| % of input swing | 80 | 100 | 85 | 23 | 90 | 83.33 | 80 | - | - | 93.33 | - | 40 | - | 60 |
| [dB] | 67.49 | 61 | 110 | 30 | 41 | 60 | 90 | - | 126 | 72 | 46 | - | - | - |
| [dB] | 45 | 26/28D | 56 | 33 | 30 | 61 | 81/99D | - | 90/91D | 62 | 35 | - | - | - |
| 2.12 | 2.69 | 1.6 | 0.81 | - | 1.8 | 0.91 | 0.035 | 2.82 | 1.85 | 0.93 | 7.07 | 0.31 | 3.3 | |
| @freq | 1000 | 100 | - | 1000 | - | - | 1000 | 100,000 | 1000 | 36 | - | 200 | 1000 | 100 |
| [nW] | 73 | 11.4 | 12.6 | 0.6 | 2.4 | 13 | 60 | 1800 | 51 | 15.4 | 17,000 | 10 | 75 | 18 |
| BD | BD | BD | GD | DIGITAL | BD | BD | GD | BD | BD | BD | BD | GD | BD | |
| 3061 | 4711 | 2114 | 4500 | 4680 | 2148 | 4500 | 3033 | 2058 | 1083 | 223 | - | 3600 | 392 | |
| 3057 | 1224 | 2964 | - | 1590 | 6300 | 1213 | 1400 | 735 | 2790 | 346 | - | 680 | 146 | |
| 10,200 | 15,702 | 7047 | 15,000 | 15,600 | 7154 | 9000 | 10,111 | 6862 | 3610 | 635 | - | 7200 | 1568 | |
| 11,820 | 4079 | 9880 | - | 5300 | 21,000 | 2425 | 4666 | 2450 | 9247 | 988 | - | 1200 | 587 | |
| 1589 | 197 | 1357 | - | 1275 | 1890 | 1212 | - | 735 | 2509 | 345.8 | - | 600 | 146 | |
| 5926 | 658 | 4524 | - | 4250 | 6300 | 2425 | - | 2450 | 8364 | 988 | - | 1200 | 583 | |
| [mm] | 0.0036 | 0.0064 | 0.0085 | 0.00047 | 0.000982 | 0.0098 | 0.0034 | - | 0.003 | 0.0082 | 0.0050 | 0.053 | 0.057 | 0.083 |
Publisher’s Note: MDPI stays neutral with regard to jurisdictional claims in published maps and institutional affiliations. |
© 2021 by the authors. Licensee MDPI, Basel, Switzerland. This article is an open access article distributed under the terms and conditions of the Creative Commons Attribution (CC BY) license (https://creativecommons.org/licenses/by/4.0/).
Share and Cite
Centurelli, F.; Della Sala, R.; Monsurrò, P.; Scotti, G.; Trifiletti, A. A 0.3 V Rail-to-Rail Ultra-Low-Power OTA with Improved Bandwidth and Slew Rate. J. Low Power Electron. Appl. 2021, 11, 19. https://doi.org/10.3390/jlpea11020019
Centurelli F, Della Sala R, Monsurrò P, Scotti G, Trifiletti A. A 0.3 V Rail-to-Rail Ultra-Low-Power OTA with Improved Bandwidth and Slew Rate. Journal of Low Power Electronics and Applications. 2021; 11(2):19. https://doi.org/10.3390/jlpea11020019
Chicago/Turabian StyleCenturelli, Francesco, Riccardo Della Sala, Pietro Monsurrò, Giuseppe Scotti, and Alessandro Trifiletti. 2021. "A 0.3 V Rail-to-Rail Ultra-Low-Power OTA with Improved Bandwidth and Slew Rate" Journal of Low Power Electronics and Applications 11, no. 2: 19. https://doi.org/10.3390/jlpea11020019
APA StyleCenturelli, F., Della Sala, R., Monsurrò, P., Scotti, G., & Trifiletti, A. (2021). A 0.3 V Rail-to-Rail Ultra-Low-Power OTA with Improved Bandwidth and Slew Rate. Journal of Low Power Electronics and Applications, 11(2), 19. https://doi.org/10.3390/jlpea11020019

