Integrating Carbon Tax and Subsidies: An Evolutionary Game Theory-Based Shore Power Promotional Strategy Analysis
Abstract
1. Introduction
- (1)
- By developing an evolutionary game model that integrates subsidy and carbon tax policies and coupling it with a system dynamics framework, this study investigates dynamic decision-making processes in shore power systems to identify critical factors and optimization pathways.
- (2)
- This study presents an examination of a dynamic reward–penalty mechanism, analyzing the impact of six distinct reward–penalty strategies on prompting shore power utilization. The results elucidate the optimal strategies for advancing shore power development, taking into account the involvement of multiple stakeholders, thereby offering a scientific foundation for policy formulation in the context of shore power advancement.
2. Literature Review
2.1. Shore Power Development and Benefits
2.2. Prompting the Adoption of Shore Power
2.3. Carbon Taxation as a Potential Policy Supplement
3. Problem Description and Research Methodology
3.1. Problem Description
3.2. Game Model
3.2.1. Assumptions and Parameters
- (1)
- At the onset of the game, the likelihood of governments selecting the “to promote” strategy is denoted by , while the probability of choosing the “not to promote” strategy is represented by . Similarly, the probabilities of port authorities opting for “to construct” and “not to construct” strategies are and , respectively. Likewise, the probabilities of ship operators selecting the “to use” and “not to use” strategies are and . These probabilities are constrained within the range , , and .
- (2)
- The government’s fundamental benefit is represented as . An expenditure related to the policy implementation of occurs when the government adopts the strategy of “promotion”. The successful utilization of shore power results in an additional benefit of for the government. In contrast, when the government opts for the strategy of “not to promote”, the effective utilization of shore power results in a diminished additional benefit of , with > reflecting the typically greater benefits of government incentive policies. Should the government prove ineffective in promoting shore power, it results in a diminution of social and environmental benefits and consequently incurs a loss denoted as . Throughout the policy implementation phase, the government provides financial assistance to port authorities engaged in the development of shore power infrastructure. These subsidies, designated as and , pertain to the support of infrastructure construction projects and the coverage of operation and maintenance expenditures for shore power facilities, respectively. Moreover, the financial subsidy for shipping enterprises, identified as , pertains to the compensation for the differential in electricity pricing associated with shore power.
- (3)
- For port authorities, the foundational advantage of opting not to establish shore power is denoted as . Selecting the strategic course to “construct” entails incurring the expenditures related to the implementation of shore power, represented by , in addition to the expenses associated with the operation and maintenance of shore power facilities, depicted as . The adoption of shore power by ship operators confers a benefit to the port authorities, identified as . Furthermore, the port authorities receive financial support from the government in the form of a construction subsidy, , and an operational subsidy, . Conversely, if the port authorities elect the strategy “not to construct”, the local government will implement a carbon tax, T.
- (4)
- The fundamental benefits afforded to ship operators are . Upon selecting the strategy “to use”, ship operators incur ship modification costs denoted as . They also face expenses associated with utilizing shore power, represented by . Additionally, ship operators benefit from government-provided subsidies on shore power electricity pricing, noted as . Given that the majority of vessels docking at the port are registered outside the local jurisdiction, it poses a challenge to accurately assess the subsidy associated with the modification of ship reception equipment within the government’s revenue framework. Consequently, this paper considers the subsidy for the modification of ship reception equipment, , as an exogenous variable, appearing exclusively in the revenue function of ship operators. In instances where ship operators opt for the strategy “not to use”, the expense incurred for utilizing auxiliary engine power generation is denoted as , and the local government imposes a carbon tax, .
3.2.2. Model Solution
3.3. System Dynamics Model Construction
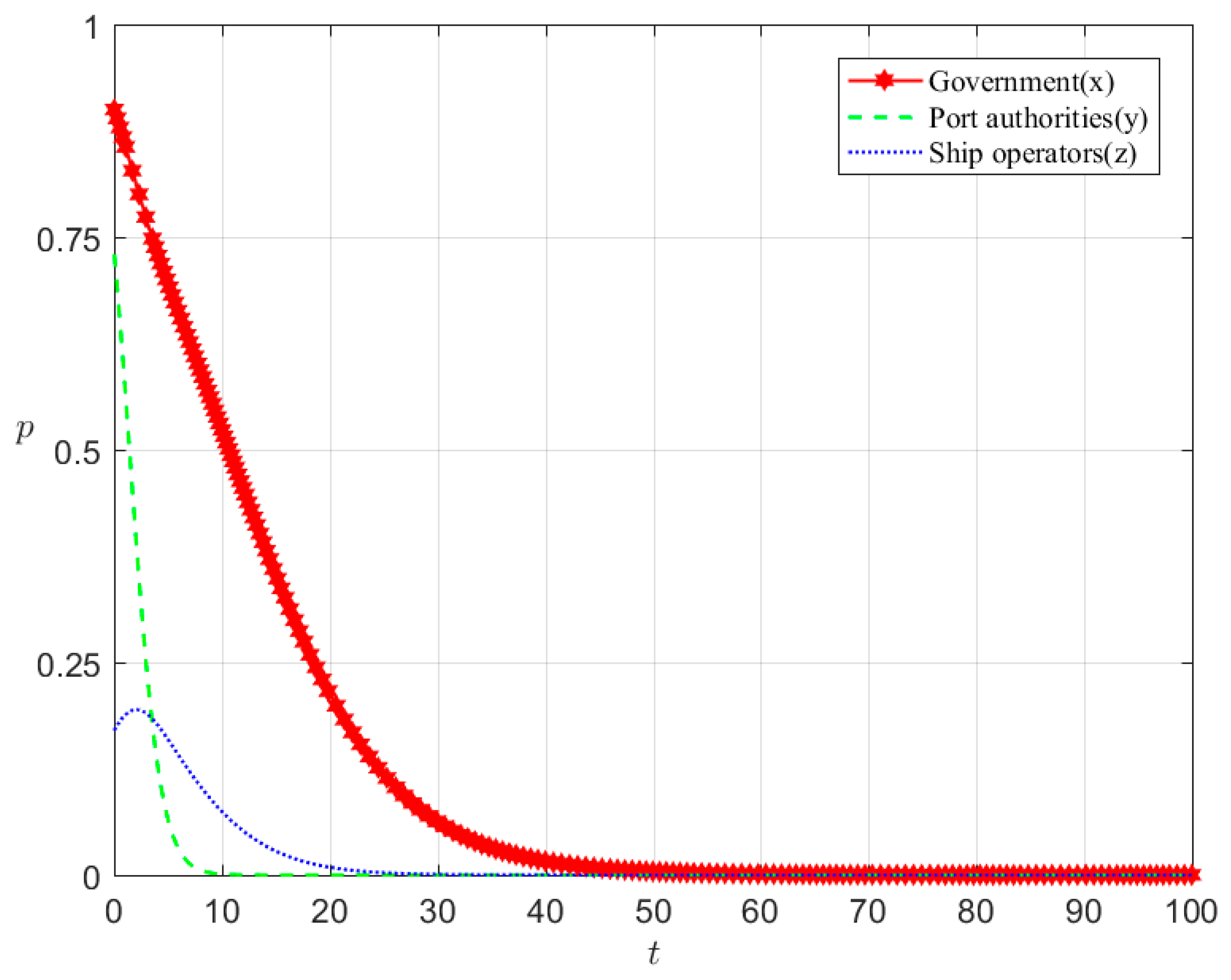
4. Model Simulation Analysis
4.1. Data Source
4.2. Static and Singular Policy Approach
4.2.1. Subsidy-Only Approach
4.2.2. Carbon Tax-Only Approach
4.3. Static and Dual Policy Approach
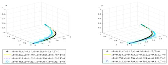
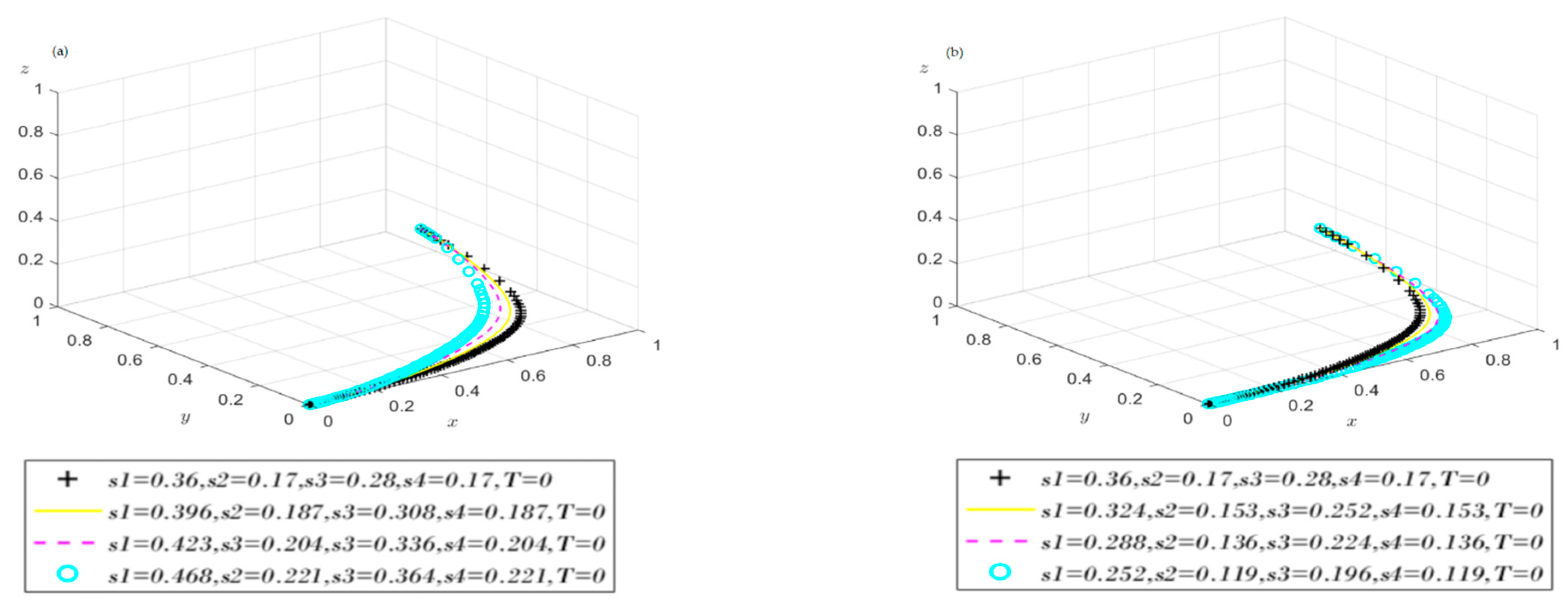
4.4. Dynamic and Dual Policy Approach
4.4.1. Static Subsidy and Dynamic Carbon Tax Policy
4.4.2. Dynamic Subsidy and Static Carbon Tax Approach
4.4.3. Dynamic Subsidy and Dynamic Carbon Tax Policy
5. Research Findings and Discussion
6. Conclusions
Author Contributions
Funding
Data Availability Statement
Conflicts of Interest
References
- EPA. Shore Power Technology Assessment at U.S. Ports. Available online: https://www.epa.gov/sites/default/files/2017-05/documents/420r17004-2017-update.pdf (accessed on 6 October 2024).
- Styhre, L.; Winnes, H.; Black, J.; Lee, J.; Le-Griffin, H. Greenhouse gas emissions from ships in ports—Case studies in four continents. Transp. Res. Part D Transp. Environ. 2017, 54, 212–224. [Google Scholar] [CrossRef]
- Williamsson, J.; Costa, N.; Santén, V.; Rogerson, S. Barriers and drivers to the implementation of onshore power supply—A literature review. Sustainability 2022, 14, 6072. [Google Scholar] [CrossRef]
- Innes, A.; Monios, J. Identifying the unique challenges of installing cold ironing at small and medium ports—The case of Aberdeen. Transp. Res. Part D Transp. Environ. 2018, 62, 298–313. [Google Scholar] [CrossRef]
- Kumar, J.; Kumpulainen, L.; Kauhaniemi, K. Technical design aspects of harbour area grid for shore to ship power: State of the art and future solutions. Int. J. Electr. Power Energy Syst. 2019, 104, 840–852. [Google Scholar] [CrossRef]
- Dai, L.; Hu, H.; Wang, Z. Is Shore Side Electricity greener? An environmental analysis and policy implications. Energy Policy 2020, 137, 111144. [Google Scholar] [CrossRef]
- Wu, L.; Wang, S. The shore power deployment problem for maritime transportation. Transp. Res. Part E Logist. Transp. Rev. 2020, 135, 101883. [Google Scholar] [CrossRef]
- Forum, I.T. Maritime Subsidies: Do They Provide Value for Money? OECD Publishing: Paris, France, 2019. [Google Scholar]
- Bullock, S.; Hoolohan, C.; Larkin, A. Accelerating shipping decarbonisation: A case study on UK shore power. Heliyon 2023, 9, e17475. [Google Scholar] [CrossRef]
- Li, X.; Kuang, H.; Hu, Y. Using system dynamics and game model to estimate optimal subsidy in shore power technology. IEEE Access 2020, 8, 116310–116320. [Google Scholar] [CrossRef]
- Marron, D.B.; Toder, E.J. Tax policy issues in designing a carbon tax. Am. Econ. Rev. 2014, 104, 563–568. [Google Scholar] [CrossRef]
- Bank, W. State and Trends of Carbon Pricing 2022; World Bank: Washington, DC, USA, 2022. [Google Scholar]
- Andersson, J.J. Carbon taxes and CO2 emissions: Sweden as a case study. Am. Econ. J. Econ. Policy 2019, 11, 1–30. [Google Scholar] [CrossRef]
- Metcalf, G.E.; Stock, J.H. The macroeconomic impact of Europe’s carbon taxes. Am. Econ. J. Macroecon. 2023, 15, 265–286. [Google Scholar] [CrossRef]
- Li, H.; Luo, N. Will improvements in transportation infrastructure help reduce urban carbon emissions?—Motor vehicles as transmission channels. Environ. Sci. Pollut. Res. 2022, 29, 38175–38185. [Google Scholar] [CrossRef]
- Tseng, P.-H.; Pilcher, N. A study of the potential of shore power for the port of Kaohsiung, Taiwan: To introduce or not to introduce? Res. Transp. Bus. Manag. 2015, 17, 83–91. [Google Scholar] [CrossRef]
- Gutierrez-Romero, J.E.; Esteve-Pérez, J.; Zamora, B. Implementing Onshore Power Supply from renewable energy sources for requirements of ships at berth. Appl. Energy 2019, 255, 113883. [Google Scholar] [CrossRef]
- Winkel, R.; Weddige, U.; Johnsen, D.; Hoen, V.; Papaefthimiou, S. Shore side electricity in Europe: Potential and environmental benefits. Energy Policy 2016, 88, 584–593. [Google Scholar] [CrossRef]
- Hall, W.J. Assessment of CO2 and priority pollutant reduction by installation of shoreside power. Resour. Conserv. Recycl. 2010, 54, 462–467. [Google Scholar] [CrossRef]
- Spengler, T.; Tovar, B. Potential of cold-ironing for the reduction of externalities from in-port shipping emissions: The state-owned Spanish port system case. J. Environ. Manag. 2021, 279, 111807. [Google Scholar] [CrossRef]
- Merkel, A.; Nyberg, E.; Ek, K.; Sjöstrand, H. Economics of shore power under different access pricing. Res. Transp. Econ. 2023, 101, 101330. [Google Scholar] [CrossRef]
- Ballini, F.; Bozzo, R. Air pollution from ships in ports: The socio-economic benefit of cold-ironing technology. Res. Transp. Bus. Manag. 2015, 17, 92–98. [Google Scholar] [CrossRef]
- Ashrafi, M.; Walker, T.R.; Magnan, G.M.; Adams, M.; Acciaro, M. A review of corporate sustainability drivers in maritime ports: A multi-stakeholder perspective. Marit. Policy Manag. 2020, 47, 1027–1044. [Google Scholar] [CrossRef]
- Yin, M.; Wang, Y.; Zhang, Q. Policy implementation barriers and economic analysis of shore power promotion in China. Transp. Res. Part D Transp. Environ. 2020, 87, 102506. [Google Scholar] [CrossRef]
- Yin, W.; Wu, S.; Zhao, X.; Shu, C.; Xiao, Y.; Ye, G.; Shi, W.; Feng, X. Shore power management for green shipping under international river transportation. Marit. Policy Manag. 2022, 49, 737–754. [Google Scholar] [CrossRef]
- Zhong, Z.; Jin, H.; Sun, Y.; Zhou, Y. Two incentive policies for green shore power system considering multiple objectives. Comput. Ind. Eng. 2024, 194, 110338. [Google Scholar] [CrossRef]
- Andor, M.; Voss, A. Optimal renewable-energy promotion: Capacity subsidies vs. generation subsidies. Resour. Energy Econ. 2016, 45, 144–158. [Google Scholar] [CrossRef]
- Chemama, J.; Cohen, M.C.; Lobel, R.; Perakis, G. Consumer subsidies with a strategic supplier: Commitment vs. flexibility. Manag. Sci. 2019, 65, 681–713. [Google Scholar] [CrossRef]
- Cohen, M.C.; Lobel, R.; Perakis, G. The impact of demand uncertainty on consumer subsidies for green technology adoption. Manag. Sci. 2016, 62, 1235–1258. [Google Scholar] [CrossRef]
- Huang, J.; Leng, M.; Liang, L.; Liu, J. Promoting electric automobiles: Supply chain analysis under a government’s subsidy incentive scheme. IIE Trans. 2013, 45, 826–844. [Google Scholar] [CrossRef]
- Jung, S.H.; Feng, T. Government subsidies for green technology development under uncertainty. Eur. J. Oper. Res. 2020, 286, 726–739. [Google Scholar] [CrossRef]
- Sheng, J.; Tang, L.; Yang, Z.; Yu, M.; Liu, X. Strategies of stakeholders’ selection of shore-to-ship power in China. Transp. Res. Part D Transp. Environ. 2023, 119, 103729. [Google Scholar] [CrossRef]
- Zhao, X.; Liu, L.; Di, Z.; Xu, L. Subsidy or punishment: An analysis of evolutionary game on implementing shore-side electricity. Reg. Stud. Mar. Sci. 2021, 48, 102010. [Google Scholar]
- Wang, S.; Qi, J.; Laporte, G. Optimal subsidy design for shore power usage in ship berthing operations. Nav. Res. Logist. 2022, 69, 566–580. [Google Scholar] [CrossRef]
- Wang, Y.; Ding, W.; Dai, L.; Hu, H.; Jing, D. How would government subsidize the port on shore side electricity usage improvement? J. Clean. Prod. 2021, 278, 123893. [Google Scholar] [CrossRef]
- Song, Z.; Tang, W.; Zhao, R.; Zhang, G. Implications of government subsidies on shipping companies’ shore power usage strategies in port. Transp. Res. Part E Logist. Transp. Rev. 2022, 165, 102840. [Google Scholar] [CrossRef]
- Chen, J.; Xiong, W.; Xu, L.; Di, Z. Evolutionary game analysis on supply side of the implement shore-to-ship electricity. Ocean Coast. Manag. 2021, 215, 105926. [Google Scholar] [CrossRef]
- Xu, L.; Di, Z.; Chen, J.; Shi, J.; Yang, C. Evolutionary game analysis on behavior strategies of multiple stakeholders in maritime shore power system. Ocean Coast. Manag. 2021, 202, 105508. [Google Scholar] [CrossRef]
- Wang, W.; Ferguson, M.E.; Hu, S.; Souza, G.C. Dynamic capacity investment with two competing technologies. Manuf. Serv. Oper. Manag. 2013, 15, 616–629. [Google Scholar] [CrossRef]
- Krass, D.; Nedorezov, T.; Ovchinnikov, A. Environmental taxes and the choice of green technology. Prod. Oper. Manag. 2013, 22, 1035–1055. [Google Scholar] [CrossRef]
- Drake, D.F.; Kleindorfer, P.R.; Van Wassenhove, L.N. Technology choice and capacity portfolios under emissions regulation. Prod. Oper. Manag. 2016, 25, 1006–1025. [Google Scholar] [CrossRef][Green Version]
- Andersen, M.S. Vikings and virtues: A decade of CO2 taxation. Clim. Policy 2004, 4, 13–24. [Google Scholar] [CrossRef]
- Martin, R.; De Preux, L.B.; Wagner, U.J. The impact of a carbon tax on manufacturing: Evidence from microdata. J. Public Econ. 2014, 117, 1–14. [Google Scholar] [CrossRef]
- Calderón, S.; Alvarez, A.C.; Loboguerrero, A.M.; Arango, S.; Calvin, K.; Kober, T.; Daenzer, K.; Fisher-Vanden, K. Achieving CO2 reductions in Colombia: Effects of carbon taxes and abatement targets. Energy Econ. 2016, 56, 575–586. [Google Scholar] [CrossRef]
- Ahmadi, Y.; Yamazaki, A.; Kabore, P. How do carbon taxes affect emissions? Plant-level evidence from manufacturing. Environ. Resour. Econ. 2022, 82, 285–325. [Google Scholar] [CrossRef]
- Mideksa, T.K. Pricing for a cooler planet: An empirical analysis of the effect of taxing carbon. J. Environ. Econ. Manag. 2024, 127, 103034. [Google Scholar] [CrossRef]
- Zhou, Y.; Fang, W.; Li, M.; Liu, W. Exploring the impacts of a low-carbon policy instrument: A case of carbon tax on transportation in China. Resour. Conserv. Recycl. 2018, 139, 307–314. [Google Scholar] [CrossRef]
- Wang, T.; Wang, X.; Meng, Q. Joint berth allocation and quay crane assignment under different carbon taxation policies. Transp. Res. Part B Methodol. 2018, 117, 18–36. [Google Scholar] [CrossRef]
- Zhen, L.; Wang, W.; Lin, S. Analytical comparison on two incentive policies for shore power equipped ships in berthing activities. Transp. Res. Part E Logist. Transp. Rev. 2022, 161, 102686. [Google Scholar] [CrossRef]
- Maestre-Andrés, S.; Drews, S.; Van den Bergh, J. Perceived fairness and public acceptability of carbon pricing: A review of the literature. Clim. Policy 2019, 19, 1186–1204. [Google Scholar] [CrossRef]
- Li, C.; Zhang, F.; Cao, C.; Liu, Y.; Qu, T. Organizational coordination in sustainable humanitarian supply chain: An evolutionary game approach. J. Clean. Prod. 2019, 219, 291–303. [Google Scholar] [CrossRef]
- Cheng, L.; Liu, G.; Huang, H.; Wang, X.; Chen, Y.; Zhang, J.; Meng, A.; Yang, R.; Yu, T. Equilibrium analysis of general N-population multi-strategy games for generation-side long-term bidding: An evolutionary game perspective. J. Clean. Prod. 2020, 276, 124123. [Google Scholar] [CrossRef]
- Friedman, D. Evolutionary games in economics. Econom. J. Econom. Soc. 1991, 59, 637–666. [Google Scholar] [CrossRef]
- Khalil, H. Nonlinear Systems, 3rd ed.; Springer: Berlin/Heidelberg, Germany, 2002. [Google Scholar]
- Shepherd, S. A review of system dynamics models applied in transportation. Transp. B Transp. Dyn. 2014, 2, 83–105. [Google Scholar] [CrossRef]
- Qu, P. To Build Good Shore Power Facilities at Ports is Essential, but Utilizing Them Effectively is Equally Important. Available online: http://paper.people.com.cn/zgnyb/html/2023-04/10/content_25976182.htm (accessed on 24 December 2024).
- Bureau, N.T. Ningbo Port Shore Power Subsidy Policy. Available online: https://www.ningbo.gov.cn/art/2023/5/10/art_1229095998_1773019.html (accessed on 13 October 2024).
- Commission, S.M.T. Yangtze River Economic Belt Ship Shore Power System Electric Facility Retrofit Implementation Plan. Available online: https://jtw.sh.gov.cn/cmsres/c4/c46985893535449982f484ff7b4f6138/0e3b95ba875147eb6d06b409074b6120.pdf (accessed on 13 October 2024).
- Li, L. Why Shore Power is Difficult to Implement on Ships. Available online: http://paper.people.com.cn/zgnyb/html/2019-01/14/content_1904217.htm (accessed on 15 December 2024).
- Cha, R. Shore Power at North Bund Officially Electrified: Green Port Reduces Emissions by 9,607 Tons Annually. Available online: https://www.shanghai.gov.cn/nw4411/20231124/026bcf65bbb84ad3a3865cbcffcda4b8.html (accessed on 24 December 2024).
- Shan, S.-n.; Zhang, Z.-c.; Ji, W.-y.; Wang, H. Analysis of collaborative urban public crisis governance in complex system: A multi-agent stochastic evolutionary game approach. Sustain. Cities Soc. 2023, 91, 104418. [Google Scholar] [CrossRef]
- Shan, S.-n.; Duan, X.; Ji, W.-y.; Zhang, T.-t.; Li, H. Evolutionary game analysis of stakeholder behavior strategies in ‘Not in My Backyard’ conflicts: Effect of the intervention by environmental Non-Governmental Organizations. Sustain. Prod. Consum. 2021, 28, 829–847. [Google Scholar] [CrossRef]
- Li, L. Green Shipping Requires the Promotion of Shore Power. Available online: https://news.bjx.com.cn/html/20180606/903638.shtml (accessed on 16 December 2024).
- GloMEEP. Shore Power. Available online: https://glomeep.imo.org/technology/shore-power (accessed on 27 December 2024).
- Zis, T.P. Prospects of cold ironing as an emissions reduction option. Transp. Res. Part A Policy Pract. 2019, 119, 82–95. [Google Scholar] [CrossRef]
- Köppl, A.; Schratzenstaller, M. Carbon taxation: A review of the empirical literature. J. Econ. Surv. 2023, 37, 1353–1388. [Google Scholar] [CrossRef]
- Wang, H.; Cai, L.; Zeng, W. Research on the evolutionary game of environmental pollution in system dynamics model. J. Exp. Theor. Artif. Intell. 2011, 23, 39–50. [Google Scholar] [CrossRef]















| Parameter | Definition |
|---|---|
| Government’s initial social benefits | |
| Benefits of government from the shore power use by ships | |
| Government’s benefits after ships using shore power in the case of without policy | |
| Port’s initial incomes | |
| Benefits of port form the shore power use by ships | |
| Shipping operators’ initial earnings | |
| Subsidies for shore power infrastructure construction projects | |
| Subsidies for the operation and maintenance costs of shore power facilities | |
| Subsidies for the electricity price difference of shore power | |
| Subsidies for the modifying of ship reception equipment | |
| Costs of government for promoting the shore power policy | |
| Losses incurred by the government due to unsuccessful promoting of shore power | |
| Costs of port for constructing shore power facilities | |
| Operation and maintenance costs of shore power facilities | |
| Costs of modifying power receiving equipment | |
| The cost of using fuel for ships | |
| The fees paid by ships for shore power | |
| Carbon tax |
| Port Authorities/Ship Operators | Use () | Not Use () |
|---|---|---|
| Construct () | ||
| Not construct () |
| Port Authorities/Ship Operators | Use () | Not Use () |
|---|---|---|
| Construct () | ||
| Not construct () |
| Equilibrium Points | |||
|---|---|---|---|
| (0, 0, 0) | |||
| (0, 0, 1) | |||
| (0, 1, 0) | |||
| (0, 1, 1) | |||
| (1, 0, 0) | |||
| (1, 1, 0) | |||
| (1, 0, 1) | |||
| (1, 1, 1) |
Disclaimer/Publisher’s Note: The statements, opinions and data contained in all publications are solely those of the individual author(s) and contributor(s) and not of MDPI and/or the editor(s). MDPI and/or the editor(s) disclaim responsibility for any injury to people or property resulting from any ideas, methods, instructions or products referred to in the content. |
© 2025 by the authors. Licensee MDPI, Basel, Switzerland. This article is an open access article distributed under the terms and conditions of the Creative Commons Attribution (CC BY) license (https://creativecommons.org/licenses/by/4.0/).
Share and Cite
Zhang, T.; Hong, C.; Kramberger, T.; Wang, Y. Integrating Carbon Tax and Subsidies: An Evolutionary Game Theory-Based Shore Power Promotional Strategy Analysis. Systems 2025, 13, 239. https://doi.org/10.3390/systems13040239
Zhang T, Hong C, Kramberger T, Wang Y. Integrating Carbon Tax and Subsidies: An Evolutionary Game Theory-Based Shore Power Promotional Strategy Analysis. Systems. 2025; 13(4):239. https://doi.org/10.3390/systems13040239
Chicago/Turabian StyleZhang, Tingwei, Cheng Hong, Tomaz Kramberger, and Yuhong Wang. 2025. "Integrating Carbon Tax and Subsidies: An Evolutionary Game Theory-Based Shore Power Promotional Strategy Analysis" Systems 13, no. 4: 239. https://doi.org/10.3390/systems13040239
APA StyleZhang, T., Hong, C., Kramberger, T., & Wang, Y. (2025). Integrating Carbon Tax and Subsidies: An Evolutionary Game Theory-Based Shore Power Promotional Strategy Analysis. Systems, 13(4), 239. https://doi.org/10.3390/systems13040239

