Abstract
With the continuous development of information and communication technology, “software-defined vehicle” has become the trend of the times. The intelligent connected vehicle (ICV) is becoming a new direction for the development of the automotive industry. Nevertheless, the absence of cooperative innovation in the ICV sector, the dispersal of industrial chain resources, and the absence of enduring and consistent cooperation pose significant obstacles to value co-creation. Therefore, this paper constructs a value co-creation evolutionary game model of the innovation ecosystem of the ICV industry with the automotive enterprise, an intelligent automotive solution provider and the government as players, and applies prospect theory to optimize the tripartite evolutionary game. The payment matrix is established, the expected revenue is analyzed for each player’s strategies, and the replication dynamic equation and evolutionary stability strategy are analyzed. Finally, the theoretical research is validated through numerical simulation. The aim is to promote value co-creation by analyzing the co-evolution mechanism of various stakeholder strategies in the ICV innovation ecosystem. The results show the following: (1) The best evolutionary stability strategy is the positive cross-border cooperation between the automotive enterprise and the intelligent automotive solution provider, while the government gradually does not provide subsidies. (2) The government’s subsidy support should be controlled within an appropriate range. If the subsidy is too great, the marginal effect of incentives will gradually weaken. (3) The players’ willingness to integrate across borders can be enhanced by a higher level of trust and resource complementarity between the automotive enterprise and intelligent automotive solution provider. Also, liquidated damages and opportunity loss can effectively prevent the occurrence of negative integration behaviors. (4) The greater the risk attitude coefficient and risk aversion coefficient of the automotive enterprise and intelligent automotive solution provider, the more conducive they are to the occurrence of positive integration behavior.
1. Introduction
The current era is witnessing a new wave of scientific and technological revolution that is driving the rapid integration of various sectors such as automobile manufacturing, communication, and the internet. As a future industry, intelligent connected vehicles (ICVs) are emerging as a pivotal direction for the evolution of the automotive industry [1]. ICVs not only propel the transformation and modernization of the traditional automotive sector but also provide a broad platform for the application and development of emerging digital technologies. The convergence of internet technology with automotive manufacturing is giving rise to what is now known as automotive “intelligent manufacturing”, marking a significant shift in the industry landscape [2]. In order to visually present the major innovative players in the field of ICVs, the IncoPat database of ICV technology patent application data from 1989 to 2023 is selected. As depicted in Figure 1, the dominant entities in the number of patent applications for ICVs are mostly internet enterprises like Baidu, Huawei, and Tencent, rather than traditional automotive manufacturing enterprises. This shift underscores the fact that the growth of the ICV sector is no longer solely dependent on the capabilities of automotive manufacturers. The scope of innovation in this field has grown to include internet enterprises, universities, and scientific research organizations. In general, there exists a cross-border symbiotic relationship between internet enterprises and the automotive industry. For instance, Baidu and Geely Auto collaborate to create ICVs by utilizing advanced technologies like artificial intelligence, automatic driving, and a Baidu map based on the Apollo platform. This partnership combines their respective strengths, resulting in expanded potential markets for Baidu in the automotive industry and facilitating Geely Auto’s transition towards intelligent transformation [3]. This cross-border collaborative innovation is the key to the development of ICVs.
Figure 1.
The ranking of ICV patent applications.
As a rapidly developing future industry, the sharp increase in the total number of patent applications of the ICV industry reflects the activeness of technological innovation and the importance of technological research and development. However, as shown in Figure 2, although the total number of patent applications is large, the number of joint applications is relatively low, which may imply the lack of intra-industry cooperation and collaborative innovation. In the process of cross-border cooperation between internet enterprises and automotive enterprises, there are some problems, such as the scattered distribution of industrial chain resources, lack of long-term stable cooperation and low efficiency of industrial collaborative research and development [4]. Building a scientific and effective industrial innovation ecosystem will significantly promote the solution of these problems [5,6]. On the one hand, the construction of an innovation ecosystem can promote participants to strengthen cooperation and create synergies by integrating complementary innovation resources, so as to obtain excess returns beyond the ability of a single participant, thus realizing the co-creation of value [7]. On the other hand, the innovation ecosystem also emphasizes that the innovation subject should pay attention to and adapt to the external environment and grow together with the external environment [8,9]. Currently, the innovation ecosystem has been widely regarded as the essential basis for fostering technological innovation. The establishment of an innovation ecosystem is crucial for the advancement and growth of the ICV industry, particularly in fostering innovation and promoting a more profound symbiotic interaction among stakeholders [10]. By cultivating an environment that encourages collaboration, resource integration, and adaptive responses to external dynamics, the ICV industry can harness its collective potential to drive transformative innovation and sustainable growth.
Figure 2.
Comparison of the number of joint applications.
As a subsystem of the automotive industry innovation ecosystem, the ICV industry innovation ecosystem is nirvana in the new energy vehicle (NEV) industry ecosystem, and its technology and products are subversive to the original industrial system. The objective is to achieve the integration of resources and collaborative cooperation by deeply integrating and empowering the manufacturing industry and digital intelligence technology [11,12]. This requires continuous interaction and co-evolution among the subjects in the system to adapt to the dynamic market and technological environment, ultimately leading to the creation of shared value [13]. In this context, it is necessary to accelerate the release of the technical and economic social value of high risk and high value-added strategic emerging industries and accelerate the formation of more dynamic emerging technology industries. As one of the most representative strategic emerging industries, how to choose the strategy of each innovation subject and how to realize value co-creation in the innovation ecosystem of the ICV industry need to be solved urgently.
The ICV industry innovation ecosystem is marked by its interactive and dynamic nature, where resources are continually exchanged [14]. Evolutionary game theory, which merges traditional game theory with dynamic analysis accounting for limited rationality [15], provides a valuable framework for understanding the strategic behaviors of participants within such dynamic interaction systems. Therefore, from the evolutionary game perspective, this research study proposes the following main problems to achieve the aforementioned objectives:
1. What are the key participating enterprises driving the innovation and collaboration in ICVs, and how can the core players in the innovation ecosystem be established? What should the evolutionary mechanism of scientific ICVs be like?
2. From the perspective of the innovation ecosystem, how can governments and core enterprises identify and implement coordination mechanisms among policy and operation parameters to accelerate the realization of cross-industry joint innovation in ICVs?
3. How to apply prospect theory to overcome the uncertainties in the development process of the intelligent connected vehicle industry, thereby increasing the enthusiasm for innovation among various stakeholders and improving innovation efficiency.
The rest of this paper is structured as follows: In Section 2, a comprehensive literature review is conducted, covering three parts: the ICV industry, innovation ecosystem and evolutionary game. Section 3 expounds upon the structure, main stakeholders, model assumptions and income matrix of the ICV innovation ecosystem. Section 4 analyzes the evolution process and ESS of the tripartite game. In Section 5, the ESS results and the mechanism affecting the strategy parameters are simulated and discussed. Finally, Section 6 summarizes the contribution of this study and outlines its limitations.
2. Related Literature
2.1. Research on the ICV Industry
The field of ICVs is a burgeoning area of technology that integrates traditional automobile applications with information communication, road traffic and other related domains. It acts as a significant venue for a fresh wave of scientific and technological advancements and industrial change, resulting in the emergence of a digital, intelligent, and connected ecological system [16]. It is not only the commanding point of the current automotive product form and technology but also provides an important strategic opportunity for the transformation and upgrading of the automotive industry, which will have a profound impact on the future automotive industry value chain. Consequently, nations throughout the world are expediting the establishment of the ICV industry and devising corresponding strategies for its advancement. The industrialization process of ICVs will be aggressively promoted through a range of comprehensive measures, including technology research and development, demonstration operation, standard formulation, and policy support.
At the same time, there is an increasing number of research studies on ICVs. In terms of the industrial development environment, existing research focuses on the construction of policy impact [17], technical standards and the intelligent transportation environment [18]; the R&D and application of key technologies in the industry are mainly concentrated in vehicle accessories and control and regulation systems [19], vehicle motion planning and control problems [20], and ICV data resource processing [21]; and in terms of industrial management, scholars mainly focus on how to improve the safety of ICVs [22,23] and provide a comprehensive examination of the effectiveness of ICVs and intelligent transportation systems [24,25]. In terms of the industrial development model, the academic community generally agrees that the in-depth cross-industry collaborative innovation of internet enterprises and automotive manufacturers is crucial [26]. This cooperation model strengthens the positive interaction between industries and optimizes the allocation of resources, which will greatly promote the innovation diffusion of intelligent networking technology and the transmission of services, so as to better promote the industrialization and large-scale development of ICVs [1]. In summary, most of the existing research focuses on the current situation, development trend and technology application of the ICV industry and mostly analyzes the industrial development from a macro and static perspective. The analysis of the micro and dynamic driving mechanism of the ICV industry cooperation model is still insufficient.
2.2. Innovation Ecosystem-Related Research
Derived from the metaphor of a biological “natural ecosystem”, the concept of the business ecosystem was originally introduced by Moore [27]. It refers to an economic community comprising interdependent organizations or interactive individuals, used to depict cooperative groups in business. The term “innovation ecosystem” was explicitly coined by the US President’s Advisory Council on Science and Technology (PCAST) in early 2004. Subsequently, Ander [28] further elucidated the concept of an innovation ecosystem, defining it as “an organization made up of multiple complementary partners collaborating and coordinating to accomplish innovation tasks”, sparking discussions in academia and among industry practitioners.
The shift from a business ecosystem to an innovation ecosystem primarily revolves around a transition in the perception of value. While the former emphasizes acquiring value, the latter places a stronger emphasis on creating value [29]. The existing literature has delved into the components and functions of innovation ecosystems, as well as the fundamental structure and establishment of the framework [29,30]. Within the innovation ecosystem, the engagement of each innovation entity in collaborative innovation for value co-creation is contingent upon various influencing factors. Scholars have examined these factors from diverse standpoints. For instance, He et al. [31] highlighted how the diversity, quality, and novelty of complementary technologies in ecosystems contribute to disruptive innovation. Wang et al. [32] explored the configuration of radical innovation within the innovation ecosystem, focusing on concepts such as complementarity, relationships, and knowledge characteristics. Li et al. [33] used the QCA method to analyze the mechanism of green regional development driven by the digital innovation ecosystem, with the results showing that green regional development requires multi-factor, multi-agent and multi-environment interactions.
The innovation ecosystem of strategic emerging industries is characterized by a dynamic and comprehensive nature, and subjects within the system facilitate the expeditious advancement of strategic emerging industries by means of extensive collaboration and efficient allocation [10]. Some scholars have analyzed the development of the NEV industry from the perspective of the innovation ecosystem. For example, Liu et al. [34] used fsQCA and NCA to analyze the samples of 62 listed enterprises of new energy vehicles from 2011 to 2020, and the research results show that key technological breakthroughs of NEVs need to be made through the interaction of various elements of the innovation ecosystem. Hu et al. [35] proposed an analytical framework of “policy-behavior-result” to analyze the evolution path of the NEV industry innovation ecosystem. Zhao et al. [36] explored the formation mechanism of the comprehensive advantages of the innovation ecosystem of the NEV industry and found that its evolution process can be divided into three stages: the energy storage period, empowerment period and expansion period. While there is an increasing number of studies on the NEV innovation ecosystem, studies on the ICV ecosystem remain relatively limited. Only He Jianhong [10] took into account the main symbiotic relationship and development process in the ICV innovation ecosystem. The ICV innovation ecosystem is based on the NEV innovation ecosystem. Research on its innovation ecosystem is not only related to the development of the industry itself but also leads the future direction of the entire automotive industry. Therefore, research on the ICV innovation ecosystem needs to be strengthened.
2.3. Evolutionary Game-Related Research
Evolutionary game theory is a sophisticated framework that merges traditional game theory with dynamic analysis, emphasizing the notion of bounded rationality. Unlike the static equilibrium analysis of conventional game theory, this approach delves into the ongoing adjustment process of the primary strategy [15,37]. Within the innovation ecosystem, stakeholders make strategic decisions that are not fixed but rather adaptable to the strategies of others and changes in the external environment. This adaptability can be effectively studied using an evolutionary game theory model. Moreover, evolutionary game theory sheds light on the delicate balance between cooperation and competition within the ecosystem, influencing its stability and progress. Currently, few scholars have utilized evolutionary game theory in exploring innovation ecosystems.
Hao et al. [38] constructed a tripartite evolutionary game model of the government, enterprises and university research institutions to explore the impact of the mechanisms of income allocation and cost-sharing, participation willingness, subsidy policy and other factors on the recycled resource industry innovation ecosystem. Zhao et al. [39] analyzed how to use the coevolution mechanisms of various stakeholder strategies in the green building technology innovation ecosystem to promote its strategic innovation based on evolutionary game theory. Shi et al. [40] developed a tripartite evolutionary game model that involved enterprises, governments and financial institutions as the main body, aiming to investigate the value co-creation and evolution mechanism of a low-carbon technological innovation ecosystem. Yuan et al. [41] revealed the mechanism of collaborative innovation behavior among different players in the enterprise innovation ecosystem, providing beneficial references for its sustainable development.
In summary, research on the innovation ecosystem is relatively developed, which provides a solid theoretical foundation for enhancing the effectiveness of collaborative innovation among all participants in the innovation ecosystem. However, there is a lack of discussion concerning the basic structure of the ICV innovation ecosystem, the evolution of stakeholder relations and their strategic decisions, as well as the influencing factors and mechanism of action. The ICV industry is characterized by a high level of complexity, dynamism, and multidimensionality. Evolutionary game theory can be applied to solve complex system problems and imitate the evolutionary relationship and process of numerous factors involved in value co-creation. Therefore, in order to make up for the shortcomings of existing research, this paper uses evolutionary game theory to analyze the dynamic evolution mechanism of the strategic choice of each subject in the innovation ecosystem of the ICV industry in order to provide useful suggestions for the efficient development of the ICV industry and then reveal the evolution law of the main body of strategic emerging industries with high risk and high added value.
Therefore, this paper has the following innovations: (1) the basic structure and stakeholders of the ICV industrial innovation ecosystem are considered and analyzed; (2) we construct a tripartite evolutionary game model of automotive enterprises, ICV solution providers and governments and analyze the micro-dynamic driving mechanism of policy factors, cost factors and behavioral characteristic factors on the ICV industrial cooperation mode.
3. Model Assumptions and Construction
3.1. Structure of the ICV Innovation Ecosystem
According to the structuralist approach of Adner [42] and the different roles of innovation subjects in the ecosystem, the basic structure of the ICV innovation ecosystem is deconstructed into three parts, the external environment, auxiliary innovation subject and core innovation subject, as shown in Figure 3. The external environment includes the policy environment, infrastructure environment, market environment, scientific environment and economic environment, which provides solid external support for innovation activities within the ecosystem. The auxiliary innovation subject includes the government, financial institutions, research institutions, customers and so on. The research institutions are dedicated to the study of cutting-edge technologies. The requirements and opinions of customers play a significant guiding role in industrial development. The financial institutions supply the capital required for industrial development. The favorable external environment for industrial development is created by governments, which is crucial in policymaking and industrial support. In addition, automotive enterprises are in charge of creating, marketing and maintaining intelligent connected vehicles. The ICV solution providers are in charge of giving technological support for digital intelligence and are what propel intelligent networked automobile technology forward. It is evident that the automotive enterprises, ICV solution providers and governments occupy central positions in the ICV innovation ecosystem. Their integration serves as the cornerstone for co-creating industry value, thereby maximizing the value of the ecosystem. They receive support from a variety of sources from other subjects, such as customers, investment finance institutions, university research organizations, and so on. In view of the particularity of the development process of the ICV industry, basic issues such as industrial architecture, technical standards and policy environment are often more critical, and the decision making regarding these issues is usually dominated by relevant enterprises and governments. In addition, considering the length of the paper, including other auxiliary innovation subjects such as customers, research institutions in the model will increase the complexity of the analysis. Therefore, in order to simplify the model and focus on the most direct stakeholders, this paper chooses automotive enterprises, ICV solution providers and governments as game players for analysis.
Figure 3.
Structure of the ICV innovation ecosystem.
3.2. Model Assumptions
Assumption 1.
Three players. The three players are automotive enterprises, ICV solution providers and governments, all of them exhibiting bound rationality and engaging in an iterative game to search for the optimal strategy (see Figure 4 for detail).
Figure 4.
Stakeholder relationships.
Assumption 2.
Behavior strategies. The strategy set for the ICV solution provider and automotive enterprise is {Positive integration, Negative integration}. Positive integration refers to the two sides actively sharing resources, achieving complementarity and an improvement in technology, jointly investing in R&D and the exploration of the ICV market. Negative integration refers to the forced adaptation of both sides to market changes, rather than out of a shared will to promote the development of the ICV industry. In this scenario, the partner is conservative about investing the necessary resources, there may be speculation or a breach of contract, and they will lose market opportunities due to a lack of deep cooperation. The probability of the ICV solution provider choosing positive integration is , with the probability of negative integration being . The automotive enterprise chooses positive integration with a probability of and negative integration with . The government will choose the strategy of “Subsidy” or “Non-subsidy”, choose subsidy with probability, and choose non-subsidy probability as , .
Assumption 3.
Cost and revenue. The cost of government participation is denoted as , encompassing expenses related to manpower, material resources, and time needed for policy formulation and advocacy. The original revenue of the ICV solution provider and automotive enterprise is denoted as and . The R&D cost of both players during positive cross-border integration is and . The excess revenue will be produced when both players actively integrate across boundaries, and the quantity of revenue produced is determined by the degree of resource complementarity and mutual confidence between them [43]. The synergy effect of cross-border integration is mainly reflected in the realization of resource sharing, technology sharing and complementary advantages through cooperation. The R&D cost investment directly reflects the degree of investment and determination of enterprises to cooperate, which is also the key to whether the synergy effect can be played. The degree of resource complementarity and mutual confidence together form the synergy coefficient , which acts as an amplifier that translates R&D cost input into excess revenue, so respective excess revenue is . The ICV solution provider will consider the dangers associated with technical resource leaks , including potentially disclosed patent resources. Furthermore, in the long term, stable connections can be built through positive cross-border integration, and potential revenue and can be gained for both players.
Assumption 4.
Loss. If one player fails to meet their obligations in the collaboration between the ICV solution provider and automotive enterprise, they will be responsible for covering the costs of their default. The ICV solution provider chooses to default to obtain “free rider” revenue , but this can result in opportunity costs , such as reputational harm and decreased chances to engage in future projects. The automotive enterprise may obtain “free rider” revenue through contract breaches, but this could make other enterprises take the lead in entering the ICV market, gaining competitive advantage, which will eventually lead to a decline in the market share of the enterprise, resulting in potential loss .
Assumption 5.
Service support. When the government implements the subsidy strategy, it will provide various services like constructing new infrastructure, public service platforms, and testing intelligent connected traffic test zones to promote active cross-border integration. This will incur costs ; the service support received by the ICV solution provider is , and the service support received by the automotive enterprise is , where denotes the coefficient of government service support, and . The government will receive positive social effects by promoting cross-border integration and sustainable development in the ICV industry, thus attracting more stakeholders. If the government opts for a non-subsidy strategy, it may impact enterprises’ R&D investment and innovation motivation, potentially leading to negative integration behaviors and adverse social consequences .
The model symbols and definitions are shown in Table 1.
Table 1.
Model symbols and definitions.
3.3. Model Construction
The tripartite evolutionary game payoff matrix can be obtained based on the above assumptions, as shown in Table 2.
Table 2.
Payoff matrix for tripartite players.
4. Evolutionary Game Analysis
4.1. Stability Analysis of ICV Solution Provider Strategy
The anticipated return of the ICV solution provider implementing the positive integration strategy is
The anticipated return of the negative integration strategy is
The average expected return is
The replicated dynamic equation of the ICV solution provider is
We aim to solve the first partial derivative of with respect to .
According to the stability theorem of differential equations, if and , the ICV solution provider’s strategy is stable. Let . When , the calculation can be conducted separately as follows: .
Currently, the strategy options for the ICV solution provider are as follows: (I) , , . Since the partial derivative is always 0, this means that the stability strategy cannot be determined at any value of . (II) , , . The strategy of represents the evolutionary stability strategy (ESS), while the ICV solution provider will choose the negative integration strategy. (III) , , . The ICV solution provider is currently adopting the strategy of positive integration. The specific details can be seen in Figure 5 below.
Figure 5.
Dynamic phase diagram of ICV solution provider replication.
Through the phase diagram in Figure 5, it can be seen that volume represents probability of negative integration of the ICV solution provider, and the probability of positive integration is volume . We can calculate that
4.2. Stability Analysis of Automotive Enterprise Strategy
The calculation of the replication dynamic equation for an automotive enterprise can be performed using a similar methodology.
We solve the first partial derivative of with respect to .
Similarly, only when and , the automotive enterprise’s strategy is considered stable. Let . When , the following calculation can be carried out separately: .
The three current automotive enterprise’s strategy options are as follows: (I) , , . It is difficult for the automotive enterprise to determine a stabilization strategy at this time. (II) , , . The strategy of represents the evolutionary stability strategy (ESS), while the automotive enterprise opts for the negative integration strategy. (III) , , . The automotive enterprise is currently adopting the strategy of positive integration, as depicted in Figure 6.
Figure 6.
Dynamic phase diagram of automotive enterprise replication.
The phase diagram in Figure 6 reveals that volume signifies the probability of negative integration, while volume represents the probability of positive integration. The calculation for these volumes is as follows:
4.3. Stability Analysis of Government Strategy
The replicated dynamic equation of the government is
We solve the first partial derivative of with respect to .
Similarly, if and , the government’s strategy is considered stable. Let . When , the following calculation can be conducted separately: .
The strategy selections of the government are as follows: (I) , , . The government is unable to determine the stability strategy at any value of . (II) , , . The strategy of represents the evolutionary stability strategy (ESS), while the government chooses the “subsidy” strategy. (III) , , . The government is currently adopting the strategy of positive integration. The particulars are displayed in Figure 7 below.
Figure 7.
Dynamic phase diagram of government’s replication.
According to the phase diagram depicted in Figure 7, it is evident that the “subsidy” probability of governments corresponds to volume , and “non-subsidy” probability can be attributed to volume .
where .
The three dynamic equations , , and can be utilized to establish a tripartite dimensional evolutionary dynamic system.
4.4. Improved Tripartite Evolutionary Game Analysis
In the above analysis, the behavior choice of the participants is analyzed from the perspective of bounded rationality. However, as a strategic emerging industry, the cross-border integration and innovation of ICVs will face many uncertain factors, such as the uncertainty of objective environmental conditions, the value co-creation effect, excess revenue, potential revenue, spillover risk loss, and opportunity loss, which will lead to the deviation between the perceived income and the expected income of decision makers in the actual decision-making process. Prospect theory provides a more comprehensive explanation for decision makers’ inclination towards value perception when faced with uncertain returns and elucidates the divergence in decision-making behavior influenced by subjective judgment. It is particularly well suited for examining and resolving complex decision-making situations that include several rational decision makers with bounded rationality [44]. The process of developing and manufacturing ICVs involves collaboration among various stakeholders, each with their own distinct interests, risk preferences, and limited availability of information. Prospect theory facilitates a comprehensive understanding and prediction of the potential actions of other players, enabling the pursuit of mutually beneficial collaboration. Therefore, this study presents the analysis paradigm of prospect theory as a means to enhance the existing model.
According to prospect theory, the perceived value of both sides is determined by the value function and the weight function [44] with the following equations:
Among them, represents the difference between the actual income obtained by decision maker and reference point . That is, ; is the subjective feeling value of the decision maker for the difference between actual income and reference point . The reference point is the reference used by the decision maker to judge the gains and losses. For the convenience of analysis, let [45].
The value function can be expressed as follows:
reflects results relative to the reference point of income; represents the relative losses; and represents the decision maker’s risk attitude coefficients: the larger their values, the more inclined the decision maker is to take risks. For the risk aversion factor, () indicates that the decision maker has greater sensitivity towards potential losses compared to gains. The larger its value, the more sensitive the decision maker is to losses.
The replication dynamic equation is further transformed based on prospect theory as follows:
The locally stable equilibrium point can be obtained by solving the equation , deriving the equilibrium points , , , , , , , , , , , , , and .
In multiple-group evolutionary games, the stable solution is a rigorous Nash equilibrium, which implies that the solution must be a pure strategy [46]. Therefore, within the evolutionary framework encompassing the ICV solution provider, automotive enterprise, and government, it is enough to examine the asymptotic stability of the eight points , , , , , , , and .
For the tripartite evolutionary game system, the Jacobi matrix can be expressed as follows:
To obtain the tripartite eigenvalues of the matrix associated with each equilibrium point, it is necessary to substitute each point into the Jacobi matrix, as seen in Table 3.
Table 3.
Stability analysis of equilibrium points.
The stability of the strategy combination of the game system can be judged according to Lyapunov’s first law:
(1) If all eigenvalues of the Jacobian matrix have negative real parts, the equilibrium point is an asymptotically stable point.
(2) If at least one of the eigenvalues of the Jacobian matrix has a positive real part, the equilibrium point is an unstable point.
(3) If the Jacobian matrix has a negative real part, except for the eigenvalue whose real part is zero, then the equilibrium point is in a critical state, and stability cannot be determined by the sign of the eigenvalue.
Corollary 1.
When , the evolutionary system has a stable point, , which means that the ICV solution provider and automotive enterprise choose the “negative integration” strategy, and the government chooses the “subsidy” strategy.
The inequality indicates that the intelligent vehicle solution providers face a situation where the costs associated with R&D investment and the risk of technology resource spillover outweigh the penalty cost and opportunity loss. Due to considerations of cost-effectiveness, they are more likely to choose the “negative integration” strategy. Similarly, the inequality implies that automotive enterprises will opt for the “negative integration” strategy when the R&D investment in positive cross-border integration exceeds the costs incurred by the violation of a contract and missed opportunities.
In this scenario, both parties may lose the capacity for innovation that arises from deep collaboration and the capability to adapt swiftly to market fluctuations. At this time, it is imperative for the government and relevant departments to introduce strategic policy interventions that promote active collaboration among enterprises. Through policy guidance and diverse subsidy mechanisms, a conducive environment can be fostered for the advancement of the ICV industry, facilitating its prompt and sustainable growth.
Corollary 2.
When , the evolutionary system has a stable point, , which means that the ICV solution provider and automotive enterprise choose the “positive integration” strategy, and the government chooses the “subsidy” strategy.
In examining the inequality , it becomes apparent that due to the greater perceived revenue of the positive societal impacts resulting from the government’s backing of the ICV industry, compared to the financial strain caused by the service support subsidy, the government tends toward going for the “subsidy” strategy. This is carried out with the intention of alleviating the cost burden on enterprises and fostering their motivation for research and development as well as production. On the basis of the above constraints, and must also be established. That is, in the context of a government-provided series of service support, the positive integration of intelligent vehicle solution providers and automotive enterprises across borders is an obvious trend. By implementing a subsidy policy, the government successfully creates a favorable ecology for industrial development, allowing enterprises to pursue their long-term aims in a more relaxed and favorable setting.
Corollary 3.
When , the evolutionary system has a stable point, , which means that the ICV solution provider and automotive enterprise choose the “positive integration” strategy, and the government chooses the “non-subsidy” strategy.
While subsidies are frequently employed as a policy instrument to foster the growth of emerging industries, if the financial burden resulting from government subsidies outweighs the good social impacts they may provide (), the government is inclined to opt for the “no subsidy” strategy. Through , it is evident that ICV solution providers will generate significantly higher total revenue when they choose the “positive integration” strategy compared to the “negative integration” strategy. Furthermore, indicates that the positive integration strategy of vehicle manufacturing enterprises delivers greater revenue, enabling them to gain a competitive advantage in the intense market competition. Consequently, both parties opt for the “positive integration” strategy.
Thus, the government chooses the “non-subsidy” strategy, which is more based on trust in the market mechanism and the affirmation of the industry’s independent development ability. Despite the lack of government-provided subsidies, ICV solution providers and automotive enterprises remain highly motivated to collaborate on research and the development of ICVs. This collaboration is driven by the commercial benefits and long-term potential that both parties recognize. The government’s role evolves to focus on fostering a competitive and innovation-oriented market environment rather than providing direct financial assistance. Figure 8 depicts the evolutionary progression of the ICV innovation ecosystem.
Figure 8.
The evolutionary progression of the ICV innovation ecosystem.
5. Simulation Analysis and Discussion
5.1. Background
In 2023, Changan Automobile and Huawei entered into an agreement to establish a firm specializing in research on and the development, design, manufacturing, and sales, among other areas, of automotive intelligent systems and solutions. Changan Automobile owns up to 40% of the company’s equity; that is to say, the investment ratio of the two parties is 6:4, assuming , .
Even though the technical knowledge and industry experience of ICV solution providers and automotive enterprises are highly complementary, there will unavoidably be a transitional phase during the first stages of cross-border collaboration, upon referring to research conducted by Sun et al., establishing sets and . Therefore, it is assumed that and .
During the initial phase of market introduction for current intelligent connected vehicles (ICVs), automotive enterprises maintain a pivotal role as the expected returns for both sides have not yet peaked. ICV solution providers encounter significant R&D costs and high value-added product characteristics, prompting them to occasionally compromise on some value-added features to foster the profit growth of automotive companies. This paper posits that both parties stand to gain potential benefits equally, aligning with the current market landscape and ensuring a balance of interests for each entity.
Since current ICVs are in the market introduction period, and the expected return of both sides has not yet reached its peak, automotive enterprises still occupy the core leading role in the market, and given the high R&D cost and high value-added characteristics of products faced by ICV solution providers, these providers are often willing to sacrifice some of the high value-added characteristics to facilitate the profit growth of the automotive enterprises. In view of this, this paper sets the potential benefits of both parties as equal to reflect the current state of the market and the equilibrium of the interests of each party, assuming and .
With respect to penalties, in accordance with the “Contract Law of the Peoples Republic of China”, parties are permitted to stipulate liquidated damages as penalties, as long as these damages do not surpass 30% of the actual damages resulting from a breach of contract. This provision underscores the importance of accountability in contractual agreements and serves as a safeguard against potential breaches. Particularly within the context of ICVs, characterized by substantial investments and inherent risks associated with cross-border collaborations, the adherence to these regulations becomes paramount; we assume that .
Next is the assumption about government subsidy. In 2023, the Shenzhen Bao’an District Development and Reform Bureau issued a notice aimed at bolstering the ICV industry in Bao’an District by addressing government subsidies. The notice specifically encourages key enterprises and research institutions to establish public service platforms catering to various ICV services such as testing, inspection, high-precision mapping, vehicle–circuit coordination, and scenario simulation. These platforms are set to receive supportive subsidies equivalent to 20% of the municipal subsidy, capped at a maximum of CNY 2 million, so that , , and .
With the reference to the study of Tversky et al.(1992), we set and , while in order to satisfy the constraints and simplify the calculations, we set , , , , , , .
5.2. Simulation Analysis of Strategies Under Influence of Initial State
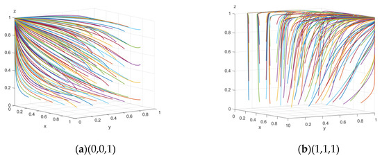
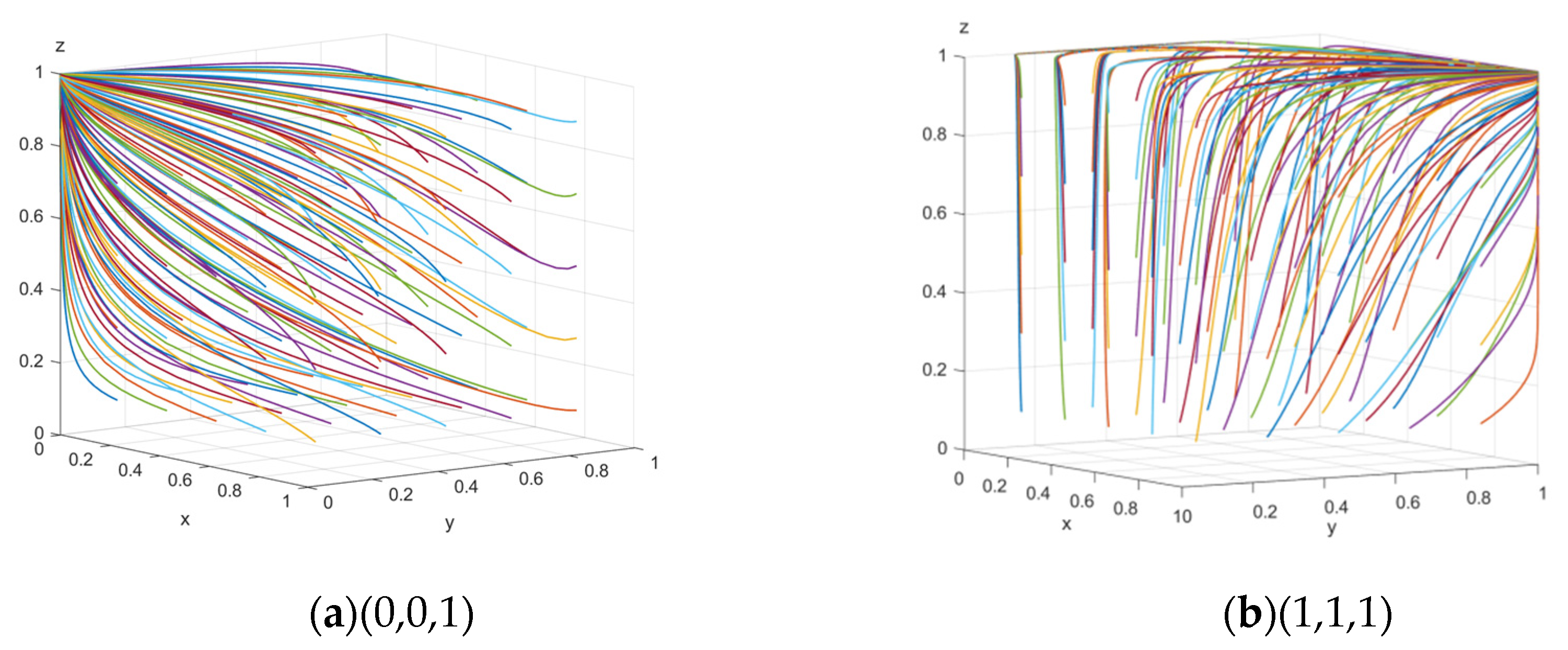
This paper uses Matlab R2022b to simulate the aforementioned data. The objective is to ascertain if the evolutionary tactics can achieve a state of stability over a period of time. By modifying the parameters of the evolutionary point, we may confirm the accuracy of the stability analysis of the evolutionary point. Figure 9 depicts the progression of 50 different initial strategies, and the outcomes align with the concept of an evolutionary stable point.

Figure 9.
Evolutionary results with 50 initial strategies.
5.3. Simulation Analysis of Strategies for Policy Incentive Factors
In the case of constant parameters and the change in government service support coefficient , the system evolution results are shown in Figure 10a. Figure 10b,c shows that with the increase in government support, ICV solution providers and automotive enterprises tend to adopt the “positive integration” strategy faster. In essence, government service support plays a catalytic role, but it is worth noting that with this increase, the marginal benefit of its incentive gradually weakens, especially in the process from 0.5 to 0.7, and the change in evolution speed is not obvious. It can be seen that the government’s subsidy support for strategic emerging industries should be controlled within the appropriate range, and the best support should be selected within financial affordability. In addition, Figure 10d demonstrates that when the government needs to provide greater service support to promote deep cooperation between ICV solution providers and automotive enterprises, it will hesitate to continue to implement the subsidy policy and may eventually choose to abandon the subsidy strategy.
Figure 10.
Influence of service support coefficient.
5.4. Simulation Analysis of Strategies for Cost and Revenue Factors
5.4.1. Evolutionary Impact of the Degree of Mutual Confidence
From Figure 11a, it can be seen that when other parameters are constant, the system converges to tripartite collaboration point when takes 0.4, 0.8. At the same time, when takes 1.2, 1.6, 2, the system converges to point , i.e., positive integration, positive integration, and non-subsidy. This may indicate the existence of a crucial value within (0.8, 1.2), which causes a change in the stabilization point of the tripartite synergistic system. When the degree of mutual confidence is insufficient to tackle the technological complexity and market uncertainty in the ICV industry, it may hinder the efficient advancement of cross-border collaboration. Currently, it is crucial for the government to step in and facilitate the creation of cooperative alliances between the two parties by implementing suitable subsidy programs. This would enable them to collaboratively tackle the difficulties at hand. When exceeds , the system stabilizes at the three-way collaboration point. Figure 11b,c demonstrate that when the degree of mutual confidence increases, the two parties are better equipped to mitigate risks and enhance collaboration efficiency, thus significantly facilitating the successful execution of the project. Furthermore, Figure 11d illustrates that once a strong foundation of trust is established between the two parties, the government can gradually remove subsidies and instead adopt a more market-oriented approach to regulation.
Figure 11.
Influence of degree of mutual confidence.
5.4.2. Evolutionary Impact of the Degree of Resource Complementarity
It is important to investigate the impact of variations in the degree of resource complementarity on the system’s development while keeping all other factors constant. As shown in Figure 12a, when the degree of resource complementarity takes 0.7, 0.9, the system is stable at . When decreases to 0.1, 0.3, 0.5, the system is stable at . The threshold for falls within the range of . ICV solution providers have distinct technological advantages and extensive development expertise in the domains of autonomous driving technology, data processing, and user experience optimization. Their technological accumulation surpasses that of automotive enterprises. However, they generally lack expertise in the fundamental technology and production methods of automotive manufacture. On the contrary, automotive enterprises have exceptional proficiency in vehicle manufacturing but possess limited expertise in software development. Regarding this, the creation of a collaborative mechanism between the two parties, utilizing their complementary “soft and hard” resources, will result in a synergistic effect where the whole is greater than the sum of its parts. This is crucial in advancing ICV technology and expediting its commercialization. Additionally, Figure 12d indicates another significant observation: in cases where the two parties hold a significant degree of resource complementarity, the government opts against offering subsidized service support. This could be due to the fact that a high degree of complementarity indicates that the market is capable of facilitating collaboration between the two parties, hence minimizing the necessity for government intervention.
Figure 12.
Influence of degree of resource complementarity.
5.4.3. Evolutionary Impact of Penalty Cost
As depicted in Figure 13a, when penalty cost , the system is stable at , and when , the system is stable at . This indicates that the system has critical value and , which influences the decision in the stabilization point of the tripartite synergistic system. As demonstrated in Figure 13b,c, it is highlighted that ICV solution providers and automotive enterprises may exhibit negative integration behaviors if penalty cost is set too low. This can lead to a lack of adherence to contract terms due to reduced consequences for breaching the agreement, potentially resulting in inefficiencies and breaches during cooperation. Conversely, setting penalty cost above a certain threshold, , can motivate both parties to actively address issues, enhance cross-border integration, and strengthen compliance. Additionally, Figure 13d demonstrates how governments can adjust policies based on default levels. When the penalty cost is relatively low, governments will provide service support to ensure the progress of cooperation between the two parties. On the contrary, when the penalty cost is high, governments will tend to cancel the service support.
Figure 13.
Influence of penalty cost.
5.4.4. Evolutionary Impact of Opportunity Loss
The simulation illustrated in Figure 14 depicts the impact of variations in opportunity loss on the integration strategies of ICV solution providers and automotive enterprises when all other parameters are held constant. Figure 14b,c show that the critical value for opportunity loss ranges from 2 to 3, whereas falls within the range of 1 to 2. When is less than the critical value, , and converge to (0, 0, 1), and as increases, the pace at which and converge slows; , and converge to (1, 1, 0) when is greater than the critical value. At this point, this increase accelerates the convergence of both and , with exhibiting a quicker convergence speed compared to . In order to make informed decisions, both parties must carefully evaluate market dynamics, competitors, their own capabilities, and other pertinent factors. It is crucial for them to assess and anticipate potential losses, and if these losses exceed a certain threshold, they should consider implementing a positive integration strategy to take advantage of market opportunities and mitigate losses. By taking a strategic approach and staying proactive, both parties can position themselves for success in the competitive automotive industry.
Figure 14.
Influence of opportunity loss.
5.4.5. Evolutionary Impact of “Free Rider” Revenue
When other parameters are unchanged, “free rider” revenue of ICV solution providers and automotive enterprises is varied to obtain its effect on the evolution of the system. Figure 15b,c demonstrate that there exists an influence threshold [(6, 4), (8, 6)] for ICV solution providers and automotive enterprises. When “free rider” revenue surpasses the threshold, both parties lean towards adopting a negative integration strategy; conversely, when “free rider” revenue falls below the threshold, they tend to favor a positive integration strategy. Figure 15d demonstrates that when the revenue generated by “free riders” decreases, the government chooses to withdraw its support for the corresponding service. The gains of cross-border cooperation in ICVs are highly uncertain. If the research and development process is hindered, ICV solution providers and automotive enterprises may consider abandoning the collaboration. If the “free rider” revenue outweighs the penalty cost, it would be reasonable for both parties to terminate the cooperation.

Figure 15.
Influence of “free rider” revenue.
5.5. Simulation Analysis of Strategies for Behavioral Characteristic Factors
5.5.1. Evolutionary Impact of Risk Attitude Coefficients
In the case where other parameters are unchanged, risk attitude coefficient is 0.7, 0.8, and 0.9, respectively, and the system evolution results are shown in Figure 16. The threshold of risk attitude coefficient is between . When it is lower than the threshold, both the ICV solution providers and automotive enterprises tend to adopt the “negative integration” strategy. Once the threshold is surpassed, both parties prefer to employ the strategy of “positive integration”. Thus, a higher risk attitude coefficient indicates a greater inclination for them to engage in risk-taking behavior, making it more likely for them to choose for the “positive integration” strategy. Furthermore, the impact of the risk attitude coefficient on government policy selection has a different pattern compared to its effect on enterprises. More precisely, if falls below a certain threshold, the government is inclined to implement the “subsidy” strategy to stimulate industrial growth and technological integration. Conversely, if the threshold is surpassed, the government may lean towards discontinuing “subsidies”, possibly due to confidence in the market’s capacity for self-regulation and risk tolerance.
Figure 16.
Influence of risk attitude coefficients.
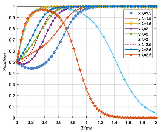
5.5.2. Evolutionary Impact of Risk Aversion Coefficient
Assuming all other parameters remain constant, the risk aversion coefficient is 1.5, 2, and 2.5 accordingly. The system evolution results can be observed in Figure 17. According to prospect theory, people exhibit a greater degree of sensitivity towards losses compared to benefits. Thus, regardless of whether it is an ICV solution provider or automotive enterprise, the higher the risk aversion coefficient, the more concerned they are about potential losses in terms of technology, market, product, and profit due to missed opportunities for cross-border cooperation. Consequently, they are more likely to choose the strategy of “positive integration”. As the risk aversion coefficient grows, the government adopts the “non-subsidy” strategy. This is because the government believes that market participants have paid enough attention to potential losses and can respond to and adjust these risks through their own decisions. Hence, the government may let the market regulate itself rather than providing subsidies to interfere with the normal operation of the market.
Figure 17.
Influence of risk aversion factor.
6. Conclusions and Policy Recommendations
6.1. Conclusions
Most of the previous studies focus on the current situation, development trend and technology application of the ICV industry and analyze the industrial development from the macro and static perspectives. The analysis of the micro dynamic driving mechanism of the ICV industrial cooperation mode is still insufficient. And few scholars have studied the basic structure of the ICV industrial innovation ecosystem, stakeholder relationship and the evolution of strategic decision making. Compared with previous articles, this paper innovatively constructs the ICV industrial innovation ecosystem, analyzing its basic structure and stakeholders. Three key players, the automotive enterprise, the ICV solution provider and the government, are extracted, and a tripartite evolutionary game model is constructed to analyze the micro-dynamic driving mechanism of policy factors, cost factors and behavioral characteristics on the ICV industrial cooperation mode. In addition, prospect theory is coupled with evolutionary game to better interpret the preference of decision makers for value perception under uncertain income and to describe the bias of decision behavior under the influence of subjective judgment. Through the above analysis, it is expected to provide useful suggestions for the efficient development of the ICV industry and then reveal the evolution law of the main body of high risk and high added-value strategic emerging industries. The results show the following:
(1) The stable evolution strategy of the government, ICV solution provider and automotive enterprise is that the ICV solution provider and automotive enterprise choose the “positive integration” strategy, while the government gradually reduces subsidies. This conclusion aligns with Corollary 2 and Corollary 3. In the early stage of the development of the ICV industry, the integration and collaborative growth between enterprises will accelerate the efficiency of technological innovation. However, from the perspective of a single enterprise, due to the uncertainty of emerging industries, enterprises are faced with high risks. At this time, necessary and appropriate government policy support is an important means to promote the development of the ICV industry. With the continuous development of the industry, the government’s subsidy support should be controlled within an appropriate range: if the subsidy is too high, the marginal effect of incentives will gradually weaken.
(2) Cost and revenue factors are key drivers of cross-border integration in the intelligent connected vehicle (ICV) industry. However, an increase in “free-rider” benefits for automotive enterprises and ICV solution providers can hinder positive integration. Enhancing trust and resource complementarity, on the other hand, helps improve integration efficiency and innovation efficiency. This conclusion is consistent with the conditions outlined in Corollary 1 and Corollary 2. Corollary 1 points out that when R&D costs and the risk of resource spillover exceed penalty costs and opportunity losses, enterprises tend to choose the “negative integration” strategy. Therefore, by increasing default costs (such as liquidated damages, opportunity losses, and reputational losses), the likelihood of enterprises opting for “negative integration” can be reduced. Meanwhile, Corollary 2 indicates that government subsidy policies can incentivize enterprises to choose the “positive integration” strategy by lowering their R&D costs.
(3) In the context of cross-border integration, automotive enterprises and ICV solution providers with higher risk tolerance are more likely to engage in effective collaboration. As the anticipated benefits of the intelligent connected vehicle (ICV) market increase, these enterprises exhibit reduced risk aversion and a stronger willingness to participate in cross-industry collaboration. This conclusion is consistent with Corollary 3. Corollary 3 states that when the fiscal burden of government subsidies exceeds their social benefits, the government tends to choose the “non-subsidy” strategy, while enterprises may still opt for the “positive integration” strategy. This suggests that as the market matures, collaboration among enterprises relies more on market mechanisms and commercial interests rather than direct government subsidies.
6.2. Policy Recommendations
(1) The government should fully learn from the valuable experience of China’s automobile electrification process and actively promote the development of intelligent and networked top-level planning at the national strategic level. In order to promote in-depth cooperation among enterprises, the government should support the establishment of industrial alliances and create efficient collaboration platforms to enhance the flow of information and ensure the sustainable development of the industry. At the same time, the government should join hands with enterprises to establish a risk-sharing mechanism, such as setting up a dedicated industry development fund to mitigate the risks faced by high-tech enterprises in cross-border cooperation. In addition, the government should continue to regularly monitor and evaluate the development of the ICV industry in order to optimize and adjust relevant policies in a timely manner to ensure that it is always forward-looking, adaptable and effective.
(2) Enterprises should prudently select partners, give priority to enterprises with highly complementary resources and capabilities for strategic cooperation, more effectively integrate the advantages of both sides, jointly promote intelligent network technology innovation, improve product competitiveness, security, reliability and user experience, and ensure that every technological innovation can be transformed into actual benefits for consumers so as to win the trust and favor of the market. In order to ensure the smooth progress of the cooperation, the two sides should jointly establish a set of fair, transparent and binding punishment mechanism for a breach of contract at the beginning of the cooperation, clearly specifying the rights and obligations of the two sides, as well as the responsibilities for a breach of contract, so as to regulate each other’s behavior and prevent potential moral hazards and to ensure the fairness and long-term nature of cross-border cooperation. In addition, enterprises should also normalize communication and coordination, constantly optimize the cooperation process, and ensure that the two sides can maintain efficient cooperation in resource sharing, risk sharing, market development and other aspects.
In today’s rapidly changing global economy, the isolated development of a single industry often faces challenges such as limited resources and insufficient innovation. Cross-industry collaboration, as an emerging strategic model, can effectively break down these barriers. By integrating resources, technologies, and expertise from different fields, cross-industry collaboration not only enhances the efficiency of industrial development but also stimulates new innovation momentum. In particular, the collaboration between automobile manufacturers and ICV solution providers can not only enhance their respective competitiveness but also create greater value for the entire industry chain. This synergistic effect allows all participants to achieve higher output in a shorter time, thereby increasing the industry’s value co-creation capability.
6.3. Limitations
This paper also has some limitations: Firstly, by concentrating on three main entities, the simplification of the ICV industry innovation ecosystem may not fully reflect the complexity of its network structure. Future research could expand the number of participants to offer a broader range of perspectives on the research questions. Additionally, the analysis of factors influencing value co-creation is limited by both space and the constraints of the payoff matrix, which restricts the depth of the exploration. Further studies could explore these complex factors in greater detail to provide a more nuanced analysis.
Author Contributions
J.T.: conceptualization, methodology, data curation, software, writing—original draft. Y.C.: validation, writing—review and editing, supervision, software. D.Z. and S.J.: writing—review and editing, validation. All authors have read and agreed to the published version of the manuscript.
Funding
This work was supported by the Humanities and Social Science Foundation of Ministry of Education of China (24YJA630033), the National Natural Science Foundation of China (72204001), the Education Department of Liaoning Province (20240232, 20240235), and the Economic and Social Development Fund of Liaoning Province (2025lsljdybkt-003).
Data Availability Statement
All data generated during this study are included in this article.
Conflicts of Interest
The authors declare no conflicts of interest.
References
- Kuang, X.; Zhao, F.; Hao, H.; Liu, Z. Intelligent connected vehicles: The industrial practices and impacts on automotive value-chains in China. Asia Pac. Bus. Rev. 2018, 24, 1–21. [Google Scholar] [CrossRef]
- Han, J.; Jiang, C.; Liu, R. Does intelligent transformation trigger technology innovation in China’s NEV enterprises? Energy 2023, 270, 126823. [Google Scholar] [CrossRef]
- Li, D.H.; Chen, Y.R.; Zhou, P.L. Paths of cross-boundary network governance in introducing disruptive technological innovation: The case of baidu apollo autonomous driving open platform. Manag. World 2021, 37, 130–159. [Google Scholar] [CrossRef]
- Choi, J.; Lee, J. Repairing the R&D market failure: Public R&D subsidy and the composition of private R&D. Res. Policy 2017, 46, 1465–1478. [Google Scholar] [CrossRef]
- Baldwin, C.Y.; Bogers, M.L.; Kapoor, R.; West, J. Focusing the ecosystem lens on innovation studies. Res. Policy 2024, 53, 104949. [Google Scholar] [CrossRef]
- Ma, Y.; Zhang, Q.; Yin, Q. Top management team faultlines, green technology innovation and firm financial per-formance. J. Environ. Manag. 2021, 285, 112095. [Google Scholar] [CrossRef]
- Jütting, M. Introducing the lifecycle perspective to innovation ecosystem design: The innovation ecosystem clock model. J. Clean. Prod. 2024, 483, 144262. [Google Scholar] [CrossRef]
- Marcon, A.; Ribeiro, J.L.D.; Olteanu, Y.; Fichter, K. How the interplay between innovation ecosystems and market contingency factors impacts startup innovation. Technol. Soc. 2024, 76, 102424. [Google Scholar] [CrossRef]
- Kai, D.A.; de Lima, E.P.; Benitez, G.B. A social cognitive perspective in innovation ecosystems: Understanding startups from ideation to consolidation in industry 4.0 era. Technol. Forecast. Soc. Change 2024, 209, 123592. [Google Scholar] [CrossRef]
- He, J.; Li, L.; Zhu, H.; Cai, D. Analysis of the evolution of agent symbiosis in the emerging technology innovation ecosystem. China Soft Sci. 2024, 1, 186–200. [Google Scholar]
- Bian, M.; Li, K. Strategic analysis on establishing an automobile power in China based on intelligent connected vehicles. Strateg. Study Chin. Acad. Eng. 2018, 20, 52–58. [Google Scholar] [CrossRef]
- Han, J.; Guo, J.-E.; Cai, X.; Lv, C.; Lev, B. An analysis on strategy evolution of research & development in cooperative innovation network of new energy vehicle within policy transition period. Omega 2022, 112, 102686. [Google Scholar] [CrossRef]
- Alqayed, Y.; Foroudi, P.; Kooli, K.; Foroudi, M.M.; Dennis, C. Enhancing value co-creation behaviour in digital peer-to-peer platforms: An integrated approach. Int. J. Hosp. Manag. 2022, 102, 103140. [Google Scholar] [CrossRef]
- Granstrand, O.; Holgersson, M. Innovation ecosystems: A conceptual review and a new definition. Technovation 2020, 90, 102098. [Google Scholar] [CrossRef]
- Mailath, G.J. Introduction: Symposium on evolutionary game theory. J. Econ. Theory 1992, 57, 259–277. [Google Scholar] [CrossRef]
- Zhu, G.; Peng, Y.; Shi, C.; Liu, S.; Liu, H. Research on the Driving Paths and Evolution of Digital Innovation in In-telligent Connected Vehicle Enterprises—A Configurational Analysis Based on Dynamic fsQCA. Sustainability 2024, 16, 10545. [Google Scholar] [CrossRef]
- Zhang, R.; Zhong, W.; Wang, N.; Sheng, R.; Wang, Y.; Zhou, Y. The innovation effect of intelligent connected vehicle policies in China. IEEE Access 2022, 10, 24738–24748. [Google Scholar] [CrossRef]
- Liu, Y.; Fang, X. Big wave of the intelligent connected vehicles. China Commun. 2016, 13, 27–41. [Google Scholar] [CrossRef]
- Li, K.; Chang, X.; Li, J.; Xu, Q.; Gao, B.; Pan, J. Cloud control system for intelligent and connected vehicles and its application. Automot. Eng. 2020, 42, 1595–1605. [Google Scholar] [CrossRef]
- Ward, E.; Evestedt, N.; Axehill, D.; Folkesson, J. Probabilistic model for interaction aware planning in merge scenarios. IEEE Trans. Intell. Veh. 2017, 2, 133–146. [Google Scholar] [CrossRef]
- Lai, X.; Lin, S.; Zou, J.; Li, M.; Huang, J.; Liu, Z.; Li, D.; Fu, H. Kansei engineering for the intelligent connected vehicle functions: An online and offline data mining approach. Adv. Eng. Inform. 2024, 61, 102467. [Google Scholar] [CrossRef]
- Lee, J.; Huang, H.; Wang, J.; Quddus, M. Road safety under the environment of intelligent connected vehicles. Accid. Anal. Prev. 2022, 170, 106645. [Google Scholar] [CrossRef] [PubMed]
- Zhang, Y.; Zhao, T.; Cheng, Z.; Du, C.; Chen, J.; Lu, Y.; Li, Q. Safety-aware vehicle-following driving optimization of intelligent and connected vehicle at signalized road intersection. Control Eng. Pract. 2024, 142, 105765. [Google Scholar] [CrossRef]
- Antonio, G.-P.; Maria-Dolores, C. Multi-agent deep reinforcement learning to manage connected autonomous vehicles at tomorrow’s intersections. IEEE Trans. Veh. Technol. 2022, 71, 7033–7043. [Google Scholar] [CrossRef]
- Wang, J.; Gong, S.; Peeta, S.; Lu, L. A real-time deployable model predictive control-based cooperative platooning approach for connected and autonomous vehicles. Transp. Res. Part B Methodol. 2019, 128, 271–301. [Google Scholar] [CrossRef]
- Zhao, D.; Li, Y.; Wang, J.; Tang, J. How to Promote Traditional Automobile Companies’ Intelligent-Connected Transformation under the New Dual-Credit Policy? A Tripartite Evolutionary Game Analysis Combined with Funding Time Delay. Systems 2024, 12, 319. [Google Scholar] [CrossRef]
- Rouse, D. The Death of Competition: Leadership and Strategy in the Age of Business Ecosystems. Booklist 1996, 92, 1228–1229. [Google Scholar]
- Adner, R. Match your innovation strategy to your innovation ecosystem. Harv. Bus. Rev. 2006, 84, 98–107. [Google Scholar] [PubMed]
- De Vasconcelos Gomes, L.A.; Facin, A.L.F.; Salerno, M.S.; Ikenami, R.K. Unpacking the innovation ecosystem construct: Evolution, gaps and trends. Technol. Forecast. Soc. Change 2018, 136, 30–48. [Google Scholar] [CrossRef]
- Zhang, R.-J.; Tai, H.-W.; Cao, Z.-X.; Cheng, K.-T.; Wei, C.-C. Innovation ecosystem based on low-carbon technology: Value co-creation mechanism and differential game analysis. Technol. Forecast. Soc. Change 2025, 210, 123852. [Google Scholar] [CrossRef]
- He, Y.; Lin, T.; Zhang, S. Does complementary technology within an ecosystem affect disruptive innovation? Evidence from Chinese electric vehicle listed firms. Technol. Soc. 2023, 74, 102330. [Google Scholar] [CrossRef]
- Wang, H.; Zheng, L.J.; Zhang, J.Z.; Kumar, A.; Srivastava, P.R. Unpacking complementarity in innovation eco-systems: A configurational analysis of knowledge transfer for achieving breakthrough innovation. Technol. Forecast. Soc. Change 2024, 198, 122974. [Google Scholar] [CrossRef]
- Li, L.; Zeng, Y.; Xia, D. How Does the Digital Innovation Ecosystem Enable Green Regional Development? A Dynamic QCA Study in China. Systems 2024, 12, 551. [Google Scholar] [CrossRef]
- Liu, Q.; Wen, X.; Peng, H.; Cao, Q. Key technology breakthrough in new energy vehicles: Configuration path evolution from innovative ecosystem perspective. J. Clean. Prod. 2023, 423, 138635. [Google Scholar] [CrossRef]
- Hu, D.F.; Feng, N.; Huang, Z.W.; Guo, J. Evolution of Innovation Ecosystem of New Energy Automobile Industry and Construction of Enterprise Competitive Advantage—Take JAC and BYD for Example. China. Soft. Sci. 2021, 11, 150–160. [Google Scholar]
- Zhao, T.; Wang, H.; Li, Y.; Deng, Q. Formation mechanism of the comprehensive advantage of emerging industry innovation ecosystem: A case study of new energy vehicle industry. Stud. Sci. Sci. 2023, 41, 2267–2278. [Google Scholar] [CrossRef]
- Smith, J.M.; Price, G.R. The Logic of Animal Conflict. Nature 1973, 246, 15–18. [Google Scholar] [CrossRef]
- Hao, X.; Liu, G.; Zhang, X.; Dong, L. The coevolution mechanism of stakeholder strategies in the recycled resources industry innovation ecosystem: The view of evolutionary game theory. Technol. Forecast. Soc. Change 2022, 179, 121627. [Google Scholar] [CrossRef]
- Zhao, R.; Peng, L.; Zhao, Y.; Feng, Y. Coevolution mechanisms of stakeholder strategies in the green building tech-nologies innovation ecosystem: An evolutionary game theory perspective. Environ. Impact Assess. Rev. 2024, 105, 107418. [Google Scholar] [CrossRef]
- Shi, T.; Han, F.; Chen, L.; Shi, J.; Xiao, H. Study on value Co-creation and evolution game of low-carbon technological innovation ecosystem. J. Clean. Prod. 2023, 414, 137720. [Google Scholar] [CrossRef]
- Yuan, N.; Li, M. Research on collaborative innovation behavior of enterprise innovation ecosystem under evolutionary game. Technol. Forecast. Soc. Change 2024, 206, 123508. [Google Scholar] [CrossRef]
- Adner, R. Ecosystem as structure: An actionable construct for strategy. J. Manag. 2017, 43, 39–58. [Google Scholar] [CrossRef]
- Sun, K.; Guo, W. Research on the stability of high-tech enterprise innovation alliance from the perspective of coop-eration. Chin. J. Manag. Sci. 2021, 29, 219–229. [Google Scholar] [CrossRef]
- Tversky, A.; Kahneman, D. Advances in prospect theory: Cumulative representation of uncertainty. J. Risk Uncertain. 1992, 5, 297–323. [Google Scholar] [CrossRef]
- Liu, X.; Yue, J.; Luo, L.; Liu, C.; Zhu, T. Evolutionary Analysis of Nuclear Wastewater Collaborative Governance Based on Prospect Theory. J. Clean. Prod. 2024, 465, 142856. [Google Scholar] [CrossRef]
- Selten, R.; Selten, R. A Note on Evolutionarily Stable Strategies in Asymmetric Animal Conflicts; Springer: Dordrecht, The Netherlands, 1988; pp. 67–75. [Google Scholar]
Disclaimer/Publisher’s Note: The statements, opinions and data contained in all publications are solely those of the individual author(s) and contributor(s) and not of MDPI and/or the editor(s). MDPI and/or the editor(s) disclaim responsibility for any injury to people or property resulting from any ideas, methods, instructions or products referred to in the content. |
© 2025 by the authors. Licensee MDPI, Basel, Switzerland. This article is an open access article distributed under the terms and conditions of the Creative Commons Attribution (CC BY) license (https://creativecommons.org/licenses/by/4.0/).


















