Fractional Orthotriple Fuzzy Dombi Power Partitioned Muirhead Mean Operators and Their Application for Evaluating the Government Information Disclosure on Public Health Emergencies
Abstract
:1. Introduction
- The ability to take full advantage of the compatibility of Dombi operations, prioritize the variability of parameter operations, and flexibly aggregate fractional orthotriple fuzzy numbers (FOFNs);
- It can genuinely reflect the correlation between attributes and resolve the case where attributes fall into some regions. Properties that belong to the same division are related, but not those belonging to different divisions;
- It can eliminate the negative influence of absurd scores (singular values) of decision makers and play an overall balancing role, making the evaluation results more reasonable and accurate.
- Constructing an index system for information disclosure on public health emergencies and conducting comprehensive examination and evaluation. It is of great significance to improve the quality and effect of information disclosure on public health emergencies, and comprehensively enhance the emergency response and handling capacity of public health emergencies.
2. Preliminaries
2.1. FOFS and Their Operational Rules
- ;
- ;
- ;
- .
- ;
- ;
- .
- If , ;
- If , ;
- If .
2.2. The Dombi Operation
2.3. PA Operator
- ;
- ;
- , if .
2.4. MM Operator
- 1.
- When the parameter vector , the MM operator degenerates to the geometric mean (GM) operator:
- 2.
- When the parameter vector , the MM operator degenerates to the Arithmetic mean (AM) operator:
- 3.
- When the parameter vector , the MM operator degenerates to the BM operator:
- 4.
- If , the MM operator is degenerated to the Maclauric sysmmetric mean (MSM) operator:
2.5. PMM Operator
- 1.
- When the parameter vector , the PMM operator degenerates to the partitioned geometric mean (PGM) operator:
- 2.
- When the parameter vector , the PMM operator degenerates to the partitioned Arithmetic mean (PAM) operator:
- 3.
- When the parameter vector , the PMM operator degenerates to the partitioned Bonferroni mean (PBM) operator:
- 4.
- When , the PMM operator is degenerated to the partitioned Maclauric sysmmetric mean (PMSM) operator:
3. FOFS Dombi Power Muirhead Mean Operators
3.1. FOFS Dombi Execution
3.2. FOFS Dombi Power Partitioned Muirhead Mean Operators
- ;
- ;
- , if .
- 1.
- When the coefficient vector , the FOFDPPMM operator degenerates to the FOFDPPGM operator:
- 2.
- When the parameter vector , the FOFDPPMM operator degenerates to the FOFDPPAM operator:
- 3.
- When the parameter vector , the FOFDPPMM operator degenerates to the FOFDPPBM operator:
- 4.
- If , the FOFDPPMM operator degenerates to the FOFDPPMSM operator:
3.3. FOFS Dombi Weighted Power Partitioned Muirhead Mean Operators
- ;
- ;
- , if .
- 1.
- When the parameter vector , the FOFDWPPMM operator degenerates to the FOFDWPPGM operator:
- 2.
- When the parameter vector , the FOFDWPPMM operator degenerates to the FOFDWPPAM operator:
- 3.
- When the parameter vector , the FOFDWPPMM operator degenerates to the FOFDWPPBM operator:
- 4.
- If , the FOFDWPPMSM operator degenerates to the PMSM operator:
4. Construction of an Evaluation Index System for Government Information Disclosure on Public Health Incidents
5. A New MADM Model on Basis of CRITIC and FOFDWPPMM Operator
- 1.
- is the score function of FOFNs, and the inter-attribute correlation coefficient SFCC can be defined as
- 2.
- The standard deviation of the attribute is
- 3.
- Then, the attribute weights are as follows:
6. Example Analysis
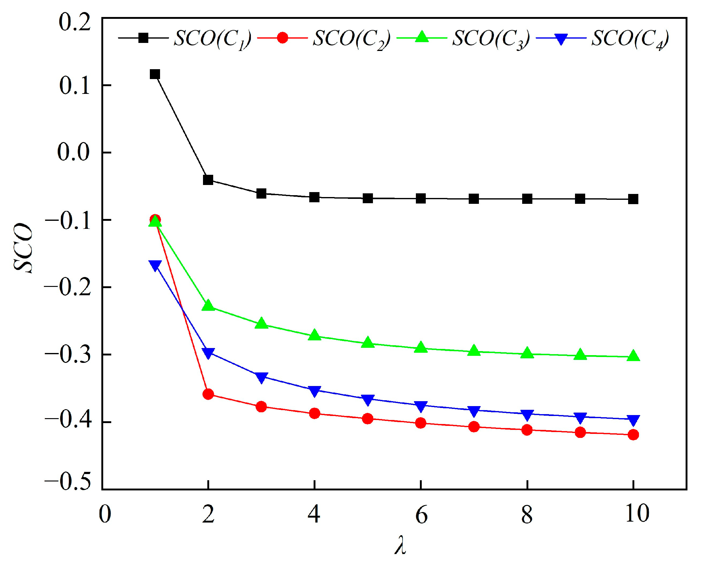
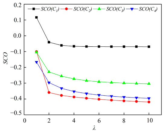
6.1. Evaluation Ranking
6.2. Figures, Tables, and Schemes
6.3. Contrast Analysis
- First of all, the reason why the results differ from those of the FOFDWA operator and the FOFDWG operator is that the FOFDWPPMM operator can decrease the negative impact of singular values on the evaluation outcomes but also can fully take into account the relationship between information-related properties and the division of relationships between properties internally. The proposed approach herein can minimize the distortion in the information aggregation process. Therefore, this paper’s proposed method has greater flexibility, greater practicality, and a wider usage scope.
- By comparing with the FOFDWPAM operator, the choice of an optimal solution is consistent with the FOFDWPPMM operator. Still, the sorting order of C2, C3, and C4 is different, because the FOFDWPAM operator only considers the division between different attributes, does not consider the relationship between the two attributes, and cannot remove the negative influence of singular value on the evaluation outcomes. Specifically, the FOFDWPMM operator is reduced to the FFDWPBM operator when . Therefore, when there is a more complicated relationship between different properties, this paper will be more general and applicable to a broader scope.
- Compared with the FOFDWPBM operator, although the FOFDWPBM operator considers the interrelationships between properties and the division of relationships within properties, the FOFDWPBM operator cannot remove the negative influence of singular values on the assessment outcomes. Therefore, the assessment outcome by the FOFDWPBM operator differs from the aggregation method herein.
6.4. Discussion
7. Conclusions
Author Contributions
Funding
Institutional Review Board Statement
Informed Consent Statement
Data Availability Statement
Conflicts of Interest
References
- Fresly, J. Modeling of Role of Public Leader, Open Government Information and Public Service Performance in Indonesia. J. Manag. Dev. 2017, 36, 1160–1169. [Google Scholar]
- Conradie, P.; Choenni, S. Exploring Process Barriers to Release Public Sector Information in Local Government. In Proceedings of the 6th International Conference on Theory and Practice of Electronic Governance, Albany, NY, USA, 22–25 October 2012. [Google Scholar]
- Shields, R. The Landlocked Island: Information Access and Communications Policy in Nepal. Telecommun. Policy 2009, 33, 207–214. [Google Scholar]
- Lee, G.; Kwak, Y.H. An Open Government Maturity Model for Social Media-Based Public Engagement. J. Manag. Dev. 2012, 29, 492–503. [Google Scholar] [CrossRef]
- Stark, A. Legislatures: Help or Hindrance in Achieving Successful Crisis Management? Policy Soc. 2011, 30, 115–127. [Google Scholar] [CrossRef]
- Zadeh, L.A. Fuzzy sets. Inf. Control. 1965, 8, 338C–353C. [Google Scholar] [CrossRef]
- Atanassov, K.T. Intuitionistic fuzzy sets. Fuzzy Sets Syst. 1986, 20, 87C–96C. [Google Scholar] [CrossRef]
- Yager, R.R. Pythagorean Membership Grades in Multicriteria Decision Making. IEEE Trans. Fuzzy Syst. 2014, 22, 958–965. [Google Scholar]
- Yager, R.R. Generalized Orthopair Fuzzy Sets. IEEE Trans. Fuzzy Syst. 2017, 25, 1222–1230. [Google Scholar] [CrossRef]
- Abosuliman, S.S.; Abdullah, S.; Qiyas, M. Three-Way Decisions Making Using Covering Based Fractional Orthotriple Fuzzy Rough Set Model. Mathematics 2020, 8, 1121. [Google Scholar] [CrossRef]
- Liu, P.; Wang, P. Multiple-Attribute Decision-Making Based on Archimedean Bonferroni Operators of q -Rung Orthopair Fuzzy Numbers. IEEE Trans. Fuzzy Syst. 2019, 27, 834–848. [Google Scholar] [CrossRef]
- Xu, Z.; Yager, R.R. Intuitionistic Fuzzy Bonferroni Means. IEEE Trans. Syst. Man Cybern. B 2011, 41, 568–578. [Google Scholar]
- Wei, G.; Gao, H.; Wei, Y. Some Q-Rung Orthopair Fuzzy Heronian Mean Operators in Multiple Attribute Decision Making. Int. J. Intell. Syst. 2018, 33, 1426–1458. [Google Scholar]
- Xu, W.; Shang, X.; Wang, J.; Li, W. A Novel Approach to Multi-Attribute Group Decision-Making Based on Interval-Valued Intuitionistic Fuzzy Power Muirhead Mean. Symmetry 2019, 11, 441. [Google Scholar] [CrossRef]
- Dutta, B.; Guha, D. Partitioned Bonferroni Mean Based on Linguistic 2-Tuple for Dealing with Multi-Attribute Group Decision Making. Appl. Soft Comput. 2015, 37, 166–179. [Google Scholar]
- Liu, P.; Liu, J.; Merigó, J.M. Partitioned Heronian Means Based on Linguistic Intuitionistic Fuzzy Numbers for Dealing with Multi-Attribute Group Decision Making. Appl. Soft Comput. 2018, 62, 395–422. [Google Scholar]
- Qin, Y.; Qi, Q.; Scott, P.J.; Jiang, X. Multi-Criteria Group Decision Making Based on Archimedean Power Partitioned Muirhead Mean Operators of q-Rung Orthopair Fuzzy Numbers. PLoS ONE 2019, 14, e0221759. [Google Scholar]
- He, P.; Yang, Z.; Hou, B. A Multi-Attribute Decision-Making Algorithm Using Q-Rung Orthopair Power Bonferroni Mean Operator and Its Application. Mathematics 2020, 8, 1240. [Google Scholar] [CrossRef]
- Li, B.; Yang, L. Power Improved Generalized Heronian Mean Operators Utilizing Hamacher Operations with Picture Fuzzy Information. Complexity 2021, 2021, 6261229. [Google Scholar]
- Punetha, T. Picture Fuzzy Power Muirhead Mean Operators and Their Application to Multi Attribute Decision Making. J. Ind. Manag. Optim. 2023, 19, 4321–4349. [Google Scholar]
- Dombi, J. A General Class of Fuzzy Operators, the Demorgan Class of Fuzzy Operators and Fuzziness Measures Induced by Fuzzy Operators. Fuzzy Set. Syst. 1982, 8, 149–163. [Google Scholar] [CrossRef]
- Jana, C.; Senapati, T.; Pal, M.; Yager, R.R. Picture Fuzzy Dombi Aggregation Operators: Application to MADM Process. Appl. Soft Comput. 2019, 74, 99–109. [Google Scholar] [CrossRef]
- Nguyen, H. Some New Operations on Atanassov’s Intuitionistic Fuzzy Sets in Decision-Making Problems. J. Intell. Fuzzy Syst. 2020, 38, 639–651. [Google Scholar] [CrossRef]
- Saha, A.; Garg, H.; Dutta, D. Probabilistic Linguistic Q- Rung Orthopair Fuzzy Generalized Dombi and Bonferroni Mean Operators for Group Decision-making with Unknown Weights of Experts. Int. J. Intell. Sys. 2021, 36, 7770–7804. [Google Scholar] [CrossRef]
- Khan, Q.; Liu, P.; Mahmood, T.; Smarandache, F.; Ullah, K. Some Interval Neutrosophic Dombi Power Bonferroni Mean Operators and Their Application in Multi–Attribute Decision–Making. Symmetry 2018, 10, 459. [Google Scholar] [CrossRef]
- Wu, L.; Wei, G.; Wu, J.; Wei, C. Some Interval-Valued Intuitionistic Fuzzy Dombi Heronian Mean Operators and Their Application for Evaluating the Ecological Value of Forest Ecological Tourism Demonstration Areas. Int. J. Environ. Res. Public Health 2020, 17, 829. [Google Scholar] [CrossRef] [PubMed]
- Liu, P.; Khan, Q.; Mahmood, T.; Smarandache, F.; Li, Y. Multiple Attribute Group Decision Making Based on 2-Tuple Linguistic Neutrosophic Dombi Power Heronian Mean Operators. IEEE Access 2019, 7, 100205–100230. [Google Scholar] [CrossRef]
- Qiyas, M.; Abdullah, S.; Khan, F.; Naeem, M. Banzhaf-Choquet-Copula-Based Aggregation Operators for Managing Fractional Orthotriple Fuzzy Information. Alex. Eng. J. 2022, 61, 4659–4677. [Google Scholar] [CrossRef]
- Muirhead, R.F. Some Methods Applicable to Identities and Inequalities of Symmetric Algebraic Functions of n Letters. P. Edinburgh Math. Soc. 1902, 21, 144–162. [Google Scholar] [CrossRef]
- Yager, R.R. The Power Average Operator. IEEE Trans. Syst. Man Cybern. A 2001, 31, 724–731. [Google Scholar] [CrossRef]
- Avcı, K.; Çakır, T.; Avşar, Z.; Üzel Taş, H. Examination of the Mass Media Process and Personal Factors Affecting the Assessment of Mass Media-Disseminated Health Information. Glob. Health Promot. 2015, 22, 20–30. [Google Scholar] [CrossRef]
- Hai-Ling, R.; Wei-Jun, W.U. The Consummation of Chinese Government Information Disclosure System. In Proceedings of the 7th International Conference on Public Administration, Chengdu, China, 18 October 2011. [Google Scholar]
- Wu, Y.; Xiao, H.; Yang, F. Government Information Disclosure and Citizen Coproduction during COVID-19 in China. Governance 2022, 35, 1005–1027. [Google Scholar] [CrossRef] [PubMed]
- Li, X.; Yang, X. System dynamics simulation and construction of local government information disclosure. J. Nonlinear Convex A. 2019, 20, 1089–1097. [Google Scholar]
- Xiu, X. Study of Government Information Construction Based on BPR. In Proceedings of the 2009 ISECS International Colloquium on Computing, Communication, Control, and Management, Sanya, China, 8–9 August 2009. [Google Scholar]
- Huang, L.; Li, O.Z.; Yi, Y. Government Disclosure in Influencing People’s Behaviors during a Public Health Emergency. Humanit. Soc. Sci. Commun. 2021, 8, 308. [Google Scholar] [CrossRef]
- Lee, S.H.; Haider, A. Identifying Relationships of Information Quality Dimensions. In Proceedings of the 2013 Technology Management in the IT-Driven Services, San Jose, CA, USA, 28 July—1 August 2013. [Google Scholar]
- Gao, X.; Yu, J. Public governance mechanism in the prevention and control of the COVID-19: Information, decision-making and execution. J. Chin. Gov. 2020, 5, 178–197. [Google Scholar] [CrossRef]
- Jin, W.; Shan, X.; Ma, K. Research on Information Visualization Design for Public Health Security Emergencies. In Proceedings of the Human-Computer Interaction. Design and User Experience Case Studies: Thematic Area, HCI 2021, Held as Part of the 23rd HCI International Conference, HCII 2021, Virtual Event, 24–29 July 2021. [Google Scholar]
- Li, K.; Zhou, C.; Luo, X.R.; Benitez, J.; Liao, Q. Impact of Information Timeliness and Richness on Public Engagement on Social Media during COVID-19 Pandemic: An Empirical Investigation Based on NLP and Machine Learning. Decis. Support Syst. 2022, 162, 113752. [Google Scholar] [CrossRef]
- Xue, J.; He, Y.; Liu, M.; Tang, Y.; Xu, H. Incentives for Corporate Environmental Information Disclosure in China: Public Media Pressure, Local Government Supervision and Interactive Effects. Sustainability 2021, 13, 10016. [Google Scholar] [CrossRef]
- Zhou, C.; Xiu, H.; Wang, Y.; Yu, X. Characterizing the Dissemination of Misinformation on Social Media in Health Emergencies: An Empirical Study Based on COVID-19. Inform. Process. Manag. 2021, 58, 102554. [Google Scholar] [CrossRef]
- Cui, K.; Zheng, X.; Zhang, Z.; Zeng, D. Analyzing Spatio-Temporal Patterns of Online Public Attentions in Emergency Events: A Case Study of 2009 H1N1 Influenza Outbreak in China. In Proceedings of the Smart Health: International Conference, Beijing, China, 10–11 July 2014. [Google Scholar]
- Zhang, X.; Zhou, Y.; Zhou, F.; Pratap, S. Internet Public Opinion Dissemination Mechanism of COVID-19: Evidence from the Shuanghuanglian Event. Data Technol. Appl. 2022, 56, 283–302. [Google Scholar] [CrossRef]
- Chen, Q. Research on Influencing Factors of Emotional Communication of Public Health Emergencies Based on Social Media. In Proceedings of the 4th International Academic Conference on Science, Technology, Innovation and Educational Development, Beijing, China, 13–14 October 2020. [Google Scholar]
- Wang, X.; Li, Y.; Li, J.; Liu, Y.; Qiu, C. A Rumor Reversal Model of Online Health Information during the COVID-19 Epidemic. Inform. Process. Manag. 2021, 58, 102731. [Google Scholar] [CrossRef]
- Lee, Y.-S.; Mun, H.S. COVID-19: Public Access to Information—Legal and Institutional Frameworks. Law Dev. Rev. 2020, 13, 535–542. [Google Scholar] [CrossRef]
- Diakoulaki, D.; Mavrotas, G.; Papayannakis, L. Determining Objective Weights in Multiple Criteria Problems: The Critic Method. Comput. Oper. Res. 1995, 22, 763–770. [Google Scholar] [CrossRef]
- Kukreja, V.; Jain, A.K.; Singh, A.; Kaushal, R.K.; Aggarwal, A. Analysing Moderators and Critical Factors That Affect Early Childhood Education with the Usage of Touchscreen Contrivances: A Hybrid Fuzzy AHP—Fuzzy TOPSIS Approach. Educ. Inf. Technol. 2023, 28, 5621–5650. [Google Scholar] [CrossRef]
- Fu, J.; Ye, J.; Xie, L. Group Decision-Making Model of Renal Cancer Surgery Options Using Entropy Fuzzy Element Aczel-Alsina Weighted Aggregation Operators under the Environment of Fuzzy Multi-Sets. Cmes-Comp. Model. Eng. 2022, 130, 1751–1769. [Google Scholar] [CrossRef]
- Sang, X.; Liu, X. Possibility Mean and Variation Coefficient Based Ranking Methods for Type-1 Fuzzy Numbers and Interval Type-2 Fuzzy Numbers. J. Intell. Fuzzy Syst. 2016, 30, 2157–2168. [Google Scholar] [CrossRef]
- Hesamian, G.; Akbari, M.G. Principal Component Analysis Based on Intuitionistic Fuzzy Random Variables. Comput. Appl. Math. 2019, 38, 158. [Google Scholar] [CrossRef]
- Hussain, Z.; Abbas, S.; Hussain, R.; Sharif, R. Belief and Plausibility Measures on Pythagorean Fuzzy Sets and Its Applications with BPI-VIKOR. J. Intell. Fuzzy Syst. 2022, 44, 729–743. [Google Scholar] [CrossRef]
- Akram, M.; Zahid, K.; Deveci, M. Multi-Criteria Group Decision-Making for Optimal Management of Water Supply with Fuzzy ELECTRE-Based Outranking Method. Appl. Soft Comput. 2023, 143, 110403. [Google Scholar] [CrossRef]
- Akram, M.; Sultan, M.; Alcantud, J.C.R.; Al-Shamiri, M.M.A. Extended Fuzzy N-Soft PROMETHEE Method and Its Application in Robot Butler Selection. Math. Biosci. Eng. 2023, 20, 1774–1800. [Google Scholar] [CrossRef]


| Evaluation index system for government information disclosure on public health emergencies | Information disclosure subject dimension (Government dimension A1) | Development of laws and regulations related to government information disclosure (B1) |
| The scope, time, and standards of government information disclosure (B2) | ||
| Government information technology construction level (B3) | ||
| Degree of information disclosure awareness among government officials (B4) | ||
| Information subject dimension (Information dimension A2) | Quality of information (B5) | |
| Number of messages (B6) | ||
| Timeliness of information (B7) | ||
| Information pathway dimension (Media dimension A3) | Media opinion-monitoring function (B8) | |
| Media information-processing level (B9) | ||
| Extent of media coverage of information tracking in real time (B10) | ||
| Professional ethical qualities of media personnel (B11) | ||
| Information-receiving subject dimension (Public dimension A4) | Awareness of public information disclosure (B12) | |
| Public awareness of the right to information, participation, and supervision (B13) | ||
| Public literacy and ability to access information (B14) |
| Criterion | Attribute | C1 | C2 | C3 | C4 |
|---|---|---|---|---|---|
| A1 | B1 | <0.5,0.2,0.4> | <0.3,0.2,0.5> | <0.2,0.2,0.6> | <0.5,0.2,0.3> |
| B2 | <0.4,0.4,0.3> | <0.2,0.4,0.6> | <0.1,0.3,0.5> | <0.6,0.5,0.5> | |
| B3 | <0.6,0.2,0.2> | <0.4,0.5,0.1> | <0.3,0.5,0.6> | <0.2,0.3,0.4> | |
| B4 | <0.5,0.4,0.1> | <0.3,0.6,0.4> | <0.5,0.4,0.4> | <0.4,0.6,0.6> | |
| A2 | B5 | <0.8,0.1,0.2> | <0.6,0.3,0.6> | <0.6,0.6,0.2> | <0.3,0.3, 0.4> |
| B6 | <0.4,0.2,0.3> | <0.2,0.4,0.5> | <0.4,0.2,0.3> | <0.5,0.2,0.6> | |
| B7 | <0.3,0.6,0.4> | <0.6,0.5,0.3> | <0.3,0.7,0.5> | <0.3,0.4,0.2> | |
| A3 | B8 | <0.5,0.4,0.2> | <0.7,0.2,0.4> | <0.3,0.5,0.6> | <0.4,0.2,0.4> |
| B9 | <0.4,0.2,0.3> | <0.2,0.5,0.5> | <0.2,0.6,0.4> | <0.6,0.2,0.6> | |
| B10 | <0.2,0.7,0.2> | <0.6,0.2,0.6> | <0.6,0.1,0.2> | <0.5,0.5,0.5> | |
| B11 | <0.8,0.2,0.5> | <0.2,0.2,0.8> | <0.5,0.5,0.1> | <0.2,0.2,0.2> | |
| A4 | B12 | <0.7,0.4,0.5> | <0.5,0.7,0.4> | <0.2,0.4,0.6> | <0.1,0.7, 0.6> |
| B13 | <0.5,0.3,0.1> | <0.4,0.5,0.6> | <0.1,0.2,0.2> | <0.3,0.3,0.7> | |
| B14 | <0.6,0.4,0.2> | <0.7,0.4,0.2> | <0.8,0.2,0.3> | <0.4,0.6,0.3> |
| Criterion | Criterion Weight | Attribute | CRITIC Weight |
|---|---|---|---|
| A1 | 0.2076 | B1 | 0.0521 |
| B2 | 0.0354 | ||
| B3 | 0.0624 | ||
| B4 | 0.0576 | ||
| A2 | 0.2004 | B5 | 0.0552 |
| B6 | 0.0402 | ||
| B7 | 0.1051 | ||
| A3 | 0.3668 | B8 | 0.0951 |
| B9 | 0.0545 | ||
| B10 | 0.1315 | ||
| B11 | 0.0857 | ||
| A4 | 0.2251 | B12 | 0.0689 |
| B13 | 0.0563 | ||
| B14 | 0.0999 |
| Coefficient Value | Ranking of Score Values | Ranking Outcome |
|---|---|---|
| λ = 1 | SCOC1 > SCOC2 > SCOC3 > SCOC4 | C1 > C2 > C3 > C4 |
| λ = 2 | SCOC1 > SCOC3 > SCOC4 > SCOC2 | C1 > C3 > C4 > C2 |
| λ = 3 | SCOC1 > SCOC3 > SCOC4 > SCOC2 | C1 > C3 > C4 > C2 |
| λ = 4 | SCOC1 > SCOC3 > SCOC4 > SCOC2 | C1 > C3 > C4 > C2 |
| λ = 5 | SCOC1 > SCOC3 > SCOC4 > SCOC2 | C1 > C3 > C4 > C2 |
| λ = 6 | SCOC1 > SCOC3 > SCOC4 > SCOC2 | C1 > C3 > C4 > C2 |
| λ = 7 | SCOC1 > SCOC3 > SCOC4 > SCOC2 | C1 > C3 > C4 > C2 |
| λ = 8 | SCOC1 > SCOC3 > SCOC4 > SCOC2 | C1 > C3 > C4 > C2 |
| λ = 9 | SCOC1 > SCOC3 > SCOC4 > SCOC2 | C1 > C3 > C4 > C2 |
| λ = 10 | SCOC1 > SCOC3 > SCOC4 > SCOC2 | C1 > C3 > C4 > C2 |
| Aggregation Approach | Ranking of Score Values | Ranking Outcome |
|---|---|---|
| FOFWGM | SCOC4 > SCOC2 > SCOC3 > SCOC1 | C4 > C2 > C3 > C1 |
| FOFWAM | SCOC1 > SCOC3 > SCOC2 > SCOC4 | C1 > C3 > C2 > C4 |
| FOFDWPGM | SCOC1> SCOC3> SCOC4> SCOC2 | C1 > C3 > C4 > C2 |
| FOFDWPAM | SCOC1> SCOC2> SCOC3> SCOC4 | C1 > C2 > C3 > C4 |
| FOFDWPBM | SCOC3> SCOC2> SCOC4> SCOC1 | C3 > C2 > C4 > C1 |
| FOFDWPPMM | SCOC1> SCOC3> SCOC4> SCOC2 | C1 > C3 > C4 > C2 |
| Aggregation Method | Whether to Consider the Interrelationship of Two Attributes | Whether to Consider the Interrelationship of Multiple Attributes | Whether to Consider the Internal Division of Attribute Interrelationships | Whether to Reduce the Negative Impact of Inappropriately High and Inappropriately Low Evaluations | Whether the Parameter Vector Increases the Flexibility of the Method |
|---|---|---|---|---|---|
| FOFWGM | NO | NO | NO | NO | NO |
| FOFWAM | NO | NO | NO | NO | NO |
| FOFDWPGM | NO | NO | YES | NO | YES |
| FOFDWPAM | NO | NO | YES | NO | YES |
| FOFDWPBM | YES | YES | YES | NO | YES |
| FOFDWPPMM | YES | YES | YES | YES | YES |
Disclaimer/Publisher’s Note: The statements, opinions and data contained in all publications are solely those of the individual author(s) and contributor(s) and not of MDPI and/or the editor(s). MDPI and/or the editor(s) disclaim responsibility for any injury to people or property resulting from any ideas, methods, instructions or products referred to in the content. |
© 2023 by the authors. Licensee MDPI, Basel, Switzerland. This article is an open access article distributed under the terms and conditions of the Creative Commons Attribution (CC BY) license (https://creativecommons.org/licenses/by/4.0/).
Share and Cite
Zang, Y.; Sun, Y.; Wen, Y.; Miao, J. Fractional Orthotriple Fuzzy Dombi Power Partitioned Muirhead Mean Operators and Their Application for Evaluating the Government Information Disclosure on Public Health Emergencies. Systems 2023, 11, 451. https://doi.org/10.3390/systems11090451
Zang Y, Sun Y, Wen Y, Miao J. Fractional Orthotriple Fuzzy Dombi Power Partitioned Muirhead Mean Operators and Their Application for Evaluating the Government Information Disclosure on Public Health Emergencies. Systems. 2023; 11(9):451. https://doi.org/10.3390/systems11090451
Chicago/Turabian StyleZang, Yuqi, Yue Sun, Yating Wen, and Junling Miao. 2023. "Fractional Orthotriple Fuzzy Dombi Power Partitioned Muirhead Mean Operators and Their Application for Evaluating the Government Information Disclosure on Public Health Emergencies" Systems 11, no. 9: 451. https://doi.org/10.3390/systems11090451
APA StyleZang, Y., Sun, Y., Wen, Y., & Miao, J. (2023). Fractional Orthotriple Fuzzy Dombi Power Partitioned Muirhead Mean Operators and Their Application for Evaluating the Government Information Disclosure on Public Health Emergencies. Systems, 11(9), 451. https://doi.org/10.3390/systems11090451

