The Therapeutic Effects of Dodecaborate Containing Boronophenylalanine for Boron Neutron Capture Therapy in a Rat Brain Tumor Model
Abstract
Simple Summary
Abstract
1. Introduction
2. Materials and Methods
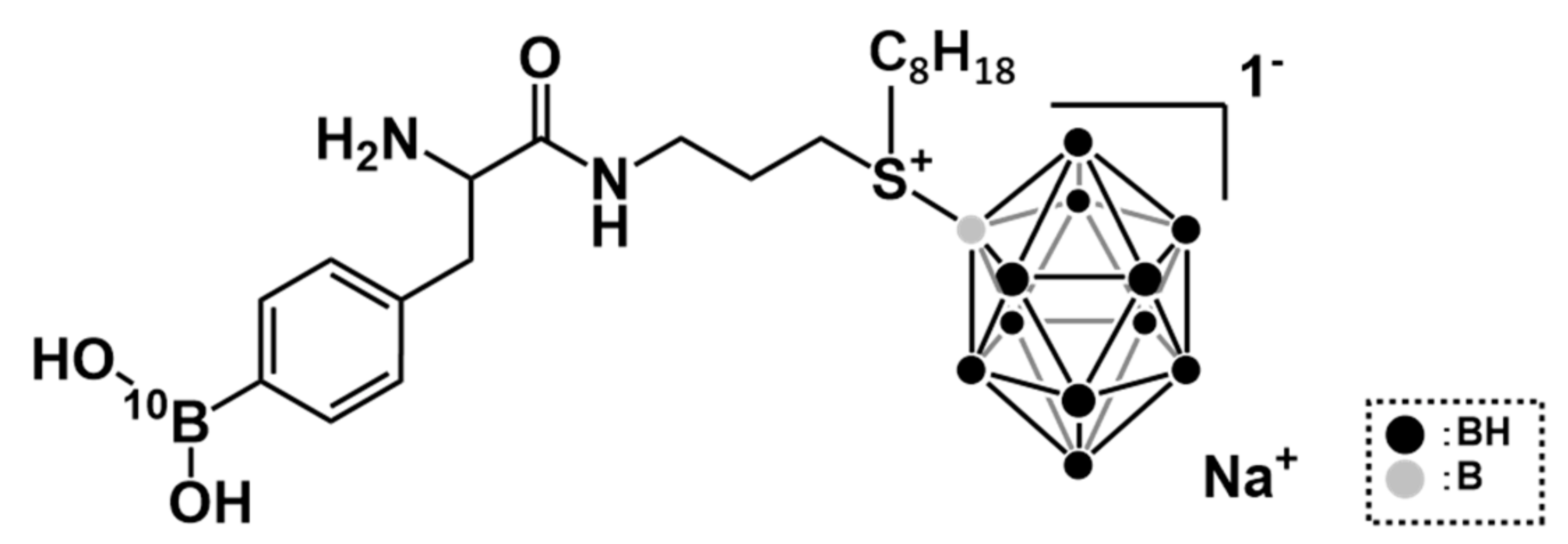
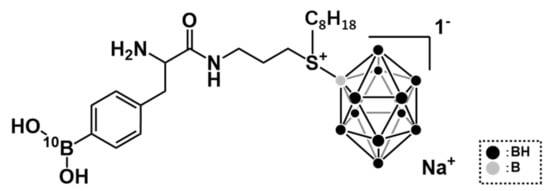
2.1. Boron Compounds
2.2. Cell Culture
2.3. The F98 Rat Glioma Model
2.4. Cellular Uptake of Boron in F98 Glioma Cells
2.5. The Cellular Distribution of Boron Compounds in F98 Glioma Cells
2.6. Neutron Irradiation in the In Vitro Study
- ▪
- Group 1: boron-free medium (irradiated group).
- ▪
- Group 2: medium containing 10 µg B/mL of BPA for 2.5 h (BPA for 2.5 h group).
- ▪
- Group 3: medium containing 10 µg B/mL of BADB for 2.5 h (BADB for 2.5 h group).
- ▪
- Group 4: medium containing 10 µg B/mL of BADB for 24 h (BADB for 24 h group).
- ▪
- Group 5: medium containing 10 µg B/mL of BPA for 2.5 h after incubating in a medium containing 10 µg B/mL of BADB for 24 h (BADB for 24 h and BPA for 2.5 h group).
2.7. Biodistribution of Boron in F98 Rat Brain Tumor Model
2.8. Survival Analysis of In Vivo Neutron Irradiation Study
- ▪
- Group 1: untreated control group.
- ▪
- Group 2: neutron irradiation only.
- ▪
- Group 3: BADB-only group.
- ▪
- Group 4: neutron irradiation following BPA administered by i.v. injection (BPA BNCT group).
- ▪
- Group 5: neutron irradiation following BADB administered by CED (BADB BNCT group).
- ▪
- Group 6: neutron irradiation following the combination of BADB administered by CED and BPA administered by i.v. injection (combination of BADB and BPA BNCT group).
2.9. The Estimation of Physical Dose and Biologically Photon-Equivalent Dose
2.10. Statistical Analysis
3. Results
3.1. Cellular Uptake of Boron in F98 Glioma Cells
3.2. The Cellular Distribution of Boron Compounds in F98 Glioma Cells
3.3. Neutron Irradiation in the In Vitro Study (Colony-Forming Assay)
3.4. Uptake of Boron in F98 Glioma-Bearing Rats
3.5. Survival Analysis of the In Vivo Neutron Irradiation Study
4. Discussion
5. Conclusions
6. Patents
Author Contributions
Funding
Conflicts of Interest
Appendix A

References
- Kageji, T.; Nagahiro, S.; Mizobuchi, Y.; Matsuzaki, K.; Nakagawa, Y.; Kumada, H. Boron neutron capture therapy (BNCT) for newly-diagnosed glioblastoma: Comparison of clinical results obtained with BNCT and conventional treatment. J. Med. Invest. 2014, 61, 254–263. [Google Scholar] [CrossRef][Green Version]
- Kawabata, S.; Miyatake, S.; Kuroiwa, T.; Yokoyama, K.; Doi, A.; Iida, K.; Miyata, S.; Nonoguchi, N.; Michiue, H.; Takahashi, M.; et al. Boron neutron capture therapy for newly diagnosed glioblastoma. J. Radiat. Res. 2009, 50, 51–60. [Google Scholar] [CrossRef] [PubMed]
- Miyatake, S.; Kawabata, S.; Yokoyama, K.; Kuroiwa, T.; Michiue, H.; Sakurai, Y.; Kumada, H.; Suzuki, M.; Maruhashi, A.; Kirihata, M.; et al. Survival benefit of Boron neutron capture therapy for recurrent malignant gliomas. J. Neurooncol. 2009, 91, 199–206. [Google Scholar] [CrossRef] [PubMed]
- Kawabata, S.; Hiramatsu, R.; Kuroiwa, T.; Ono, K.; Miyatake, S. Boron neutron capture therapy for recurrent high-grade meningiomas. J. Neurosurg. 2013, 119, 837–844. [Google Scholar] [CrossRef]
- Mishima, Y.; Ichihashi, M.; Hatta, S.; Honda, C.; Yamamura, K.; Nakagawa, T. New thermal neutron capture therapy for malignant melanoma: Melanogenesis-seeking 10B molecule-melanoma cell interaction from in vitro to first clinical trial. Pigment. Cell Res. 1989, 2, 226–234. [Google Scholar] [CrossRef]
- Kankaanranta, L.; Seppälä, T.; Koivunoro, H.; Saarilahti, K.; Atula, T.; Collan, J.; Salli, E.; Kortesniemi, M.; Uusi-Simola, J.; Välimäki, P.; et al. Boron neutron capture therapy in the treatment of locally recurred head-and-neck cancer: Final analysis of a phase I/II trial. Int. J. Radiat. Oncol. Biol. Phys. 2012, 82, e67–e75. [Google Scholar] [CrossRef]
- Barth, R.F.; Vicente, M.G.; Harling, O.K.; Kiger, W.S., 3rd; Riley, K.J.; Binns, P.J.; Wagner, F.M.; Suzuki, M.; Aihara, T.; Kato, I.; et al. Current status of boron neutron capture therapy of high grade gliomas and recurrent head and neck cancer. Radiat. Oncol. 2012, 7, 146. [Google Scholar] [CrossRef]
- Kabalka, G.W.; Yao, M.L. The synthesis and use of boronated amino acids for boron neutron capture therapy. Anticancer Agents Med. Chem. 2006, 6, 111–125. [Google Scholar] [CrossRef]
- Soloway, A.H.; Tjarks, W.; Barnum, B.A.; Rong, F.G.; Barth, R.F.; Codogni, I.M.; Wilson, J.G. The Chemistry of Neutron Capture Therapy. Chem. Rev. 1998, 98, 1515–1562. [Google Scholar] [CrossRef]
- Srivastava, R.R.; Singhaus, R.R.; Kabalka, G.W. Synthesis of 1-Amino-3-[2-(1,7-dicarba-closo-dodecaboran(12)-1-yl)ethyl]cyclobutanecarboxylic Acid: A Potential BNCT Agent. J. Org. Chem. 1997, 62, 4476–4478. [Google Scholar] [CrossRef]
- Varadarajan, A.; Hawthorne, M.F. Novel carboranyl amino acids and peptides: Reagents for antibody modification and subsequent neutron-capture studies. Bioconjug Chem. 1991, 2, 242–253. [Google Scholar] [CrossRef]
- Kawabata, S.; Miyatake, S.; Kajimoto, Y.; Kuroda, Y.; Kuroiwa, T.; Imahori, Y.; Kirihata, M.; Sakurai, Y.; Kobayashi, T.; Ono, K. The early successful treatment of glioblastoma patients with modified boron neutron capture therapy. Report of two cases. J. Neurooncol. 2003, 65, 159–165. [Google Scholar] [CrossRef]
- Barth, R.F.; Mi, P.; Yang, W. Boron delivery agents for neutron capture therapy of cancer. Cancer Commun. 2018, 38, 35. [Google Scholar] [CrossRef]
- Coderre, J.A.; Button, T.M.; Micca, P.L.; Fisher, C.D.; Nawrocky, M.M.; Liu, H.B. Neutron capture therapy of the 9L rat gliosarcoma using the p-boronophenylalanine-fructose complex. Int. J. Radiat. Oncol. Biol. Phys. 1994, 30, 643–652. [Google Scholar] [CrossRef]
- Barth, R.F.; Kaur, B. Rat brain tumor models in experimental neuro-oncology: The C6, 9L, T9, RG2, F98, BT4C, RT-2 and CNS-1 gliomas. J. Neurooncol. 2009, 94, 299–312. [Google Scholar] [CrossRef]
- Futamura, G.; Kawabata, S.; Nonoguchi, N.; Hiramatsu, R.; Toho, T.; Tanaka, H.; Masunaga, S.I.; Hattori, Y.; Kirihata, M.; Ono, K.; et al. Evaluation of a novel sodium borocaptate-containing unnatural amino acid as a boron delivery agent for neutron capture therapy of the F98 rat glioma. Radiat. Oncol. 2017, 12, 26. [Google Scholar] [CrossRef]
- Kanemitsu, T.; Kawabata, S.; Fukumura, M.; Futamura, G.; Hiramatsu, R.; Nonoguchi, N.; Nakagawa, F.; Takata, T.; Tanaka, H.; Suzuki, M.; et al. Folate receptor-targeted novel boron compound for boron neutron capture therapy on F98 glioma-bearing rats. Radiat. Environ. Biophys. 2019, 58, 59–67. [Google Scholar] [CrossRef]
- Hattori, Y.; Ishimura, M.; Ohta, Y.; Takenaka, H.; Watanabe, T.; Tanaka, H.; Ono, K.; Kirihata, M. Detection of boronic acid derivatives in cells using a fluorescent sensor. Org. Biomol. Chem. 2015, 13, 6927–6930. [Google Scholar] [CrossRef]
- Rossini, A.E.; Dagrosa, M.A.; Portu, A.; Saint Martin, G.; Thorp, S.; Casal, M.; Navarro, A.; Juvenal, G.J.; Pisarev, M.A. Assessment of biological effectiveness of boron neutron capture therapy in primary and metastatic melanoma cell lines. Int. J. Radiat. Biol. 2015, 91, 81–89. [Google Scholar] [CrossRef]
- Mehta, A.M.; Sonabend, A.M.; Bruce, J.N. Convection-Enhanced Delivery. Neurotherapeutics 2017, 14, 358–371. [Google Scholar] [CrossRef]
- Kawabata, S.; Yang, W.; Barth, R.F.; Wu, G.; Huo, T.; Binns, P.J.; Riley, K.J.; Ongayi, O.; Gottumukkala, V.; Vicente, M.G. Convection enhanced delivery of carboranylporphyrins for neutron capture therapy of brain tumors. J. Neurooncol. 2011, 103, 175–185. [Google Scholar] [CrossRef][Green Version]
- Hughes, H.G.; Brown, F.B.; Bull, J.S.; Goorley, J.T.; Little, R.C.; Liu, L.C.; Mashnik, S.G.; Prael, R.E.; Selcow, E.C.; Sierk, A.J.; et al. MCNP5 for proton radiography. Radiat. Prot. Dosim. 2005, 116, 109–112. [Google Scholar] [CrossRef]
- Suzuki, M.; Kato, I.; Aihara, T.; Hiratsuka, J.; Yoshimura, K.; Niimi, M.; Kimura, Y.; Ariyoshi, Y.; Haginomori, S.; Sakurai, Y.; et al. Boron neutron capture therapy outcomes for advanced or recurrent head and neck cancer. J. Radiat. Res. 2014, 55, 146–153. [Google Scholar] [CrossRef] [PubMed]
- Morris, G.M.; Coderre, J.A.; Hopewell, J.W.; Micca, P.L.; Nawrocky, M.M.; Liu, H.B.; Bywaters, A. Response of the central nervous system to boron neutron capture irradiation: Evaluation using rat spinal cord model. Radiother. Oncol. 1994, 32, 249–255. [Google Scholar] [CrossRef]
- Wittig, A.; Sauerwein, W.A.; Coderre, J.A. Mechanisms of transport of p-borono-phenylalanine through the cell membrane in vitro. Radiat. Res. 2000, 153, 173–180. [Google Scholar] [CrossRef]
- Chandra, S.; Kabalka, G.W.; Lorey, D.R., 2nd; Smith, D.R.; Coderre, J.A. Imaging of fluorine and boron from fluorinated boronophenylalanine in the same cell at organelle resolution by correlative ion microscopy and confocal laser scanning microscopy. Clin. Cancer Res. 2002, 8, 2675–2683. [Google Scholar]
- Wittig, A.; Arlinghaus, H.F.; Kriegeskotte, C.; Moss, R.L.; Appelman, K.; Schmid, K.W.; Sauerwein, W.A. Laser postionization secondary neutral mass spectrometry in tissue: A powerful tool for elemental and molecular imaging in the development of targeted drugs. Mol. Cancer Ther. 2008, 7, 1763–1771. [Google Scholar] [CrossRef][Green Version]
- Kou, L.; Bhutia, Y.D.; Yao, Q.; He, Z.; Sun, J.; Ganapathy, V. Transporter-Guided Delivery of Nanoparticles to Improve Drug Permeation across Cellular Barriers and Drug Exposure to Selective Cell Types. Front. Pharmacol. 2018, 9, 27. [Google Scholar] [CrossRef]
- Wada, Y.; Hirose, K.; Harada, T.; Sato, M.; Watanabe, T.; Anbai, A.; Hashimoto, M.; Takai, Y. Impact of oxygen status on 10B-BPA uptake into human glioblastoma cells, referring to significance in boron neutron capture therapy. J. Radiat. Res. 2018, 59, 122–128. [Google Scholar] [CrossRef]
- Watanabe, T.; Tanaka, H.; Fukutani, S.; Suzuki, M.; Hiraoka, M.; Ono, K. L-Phenylalanine preloading reduces the (10)B(n, α)(7)Li dose to the normal brain by inhibiting the uptake of boronophenylalanine in boron neutron capture therapy for brain tumours. Cancer Lett. 2016, 370, 27–32. [Google Scholar] [CrossRef]
- Matsuura, M.; Ohshima, M.; Hiruta, Y.; Nishimura, T.; Nagase, K.; Kanazawa, H. LAT1-Targeting Thermoresponsive Fluorescent Polymer Probes for Cancer Cell Imaging. Int. J. Mol. Sci. 2018, 19, 1646. [Google Scholar] [CrossRef] [PubMed]
- Koganei, H.; Ueno, M.; Tachikawa, S.; Tasaki, L.; Ban, H.S.; Suzuki, M.; Shiraishi, K.; Kawano, K.; Yokoyama, M.; Maitani, Y.; et al. Development of high boron content liposomes and their promising antitumor effect for neutron capture therapy of cancers. Bioconjug Chem. 2013, 24, 124–132. [Google Scholar] [CrossRef] [PubMed]
- Kueffer, P.J.; Maitz, C.A.; Khan, A.A.; Schuster, S.A.; Shlyakhtina, N.I.; Jalisatgi, S.S.; Brockman, J.D.; Nigg, D.W.; Hawthorne, M.F. Boron neutron capture therapy demonstrated in mice bearing EMT6 tumors following selective delivery of boron by rationally designed liposomes. Proc. Natl. Acad. Sci. USA 2013, 110, 6512–6517. [Google Scholar] [CrossRef] [PubMed]
- Maruyama, K.; Ishida, O.; Kasaoka, S.; Takizawa, T.; Utoguchi, N.; Shinohara, A.; Chiba, M.; Kobayashi, H.; Eriguchi, M.; Yanagie, H. Intracellular targeting of sodium mercaptoundecahydrododecaborate (BSH) to solid tumors by transferrin-PEG liposomes, for boron neutron-capture therapy (BNCT). J. Control. Release 2004, 98, 195–207. [Google Scholar] [CrossRef]
- Miyata, S.; Kawabata, S.; Hiramatsu, R.; Doi, A.; Ikeda, N.; Yamashita, T.; Kuroiwa, T.; Kasaoka, S.; Maruyama, K.; Miyatake, S. Computed tomography imaging of transferrin targeting liposomes encapsulating both boron and iodine contrast agents by convection-enhanced delivery to F98 rat glioma for boron neutron capture therapy. Neurosurgery 2011, 68, 1380–1387. [Google Scholar] [CrossRef]
- Yanagië, H.; Tomita, T.; Kobayashi, H.; Fujii, Y.; Nonaka, Y.; Saegusa, Y.; Hasumi, K.; Eriguchi, M.; Kobayashi, T.; Ono, K. Inhibition of human pancreatic cancer growth in nude mice by boron neutron capture therapy. Br. J. Cancer 1997, 75, 660–665. [Google Scholar] [CrossRef]
- Mi, P.; Yanagie, H.; Dewi, N.; Yen, H.C.; Liu, X.; Suzuki, M.; Sakurai, Y.; Ono, K.; Takahashi, H.; Cabral, H.; et al. Block copolymer-boron cluster conjugate for effective boron neutron capture therapy of solid tumors. J. Control. Release 2017, 254, 1–9. [Google Scholar] [CrossRef]
- Sumitani, S.; Oishi, M.; Yaguchi, T.; Murotani, H.; Horiguchi, Y.; Suzuki, M.; Ono, K.; Yanagie, H.; Nagasaki, Y. Pharmacokinetics of core-polymerized, boron-conjugated micelles designed for boron neutron capture therapy for cancer. Biomaterials 2012, 33, 3568–3577. [Google Scholar] [CrossRef]
- Michiue, H.; Sakurai, Y.; Kondo, N.; Kitamatsu, M.; Bin, F.; Nakajima, K.; Hirota, Y.; Kawabata, S.; Nishiki, T.; Ohmori, I.; et al. The acceleration of boron neutron capture therapy using multi-linked mercaptoundecahydrododecaborate (BSH) fused cell-penetrating peptide. Biomaterials 2014, 35, 3396–3405. [Google Scholar] [CrossRef]
- Matsumura, Y.; Maeda, H. A new concept for macromolecular therapeutics in cancer chemotherapy: Mechanism of tumoritropic accumulation of proteins and the antitumor agent smancs. Cancer Res. 1986, 46, 6387–6392. [Google Scholar]
- Ishii, S.; Sato, S.; Asami, H.; Hasegawa, T.; Kohno, J.Y.; Nakamura, H. Design of S-S bond containing maleimide-conjugated closo-dodecaborate (SSMID): Identification of unique modification sites on albumin and investigation of intracellular uptake. Org. Biomol. Chem. 2019, 17, 5496–5499. [Google Scholar] [CrossRef]





| Boron Compound | Route | Dose a (mg B/kg) | Time b (h) | nc | Boron Concentration ± SD (µg B/g) | Ratios d | |||
|---|---|---|---|---|---|---|---|---|---|
| Tumor | Brain | Blood | T/Br | T/Bl | |||||
| BADB (1000 µg B/mL) | CED (200 µL/24 h) | 1.2 | 2 | 5 | 32.8 ± 16.7 | 1.0 ± 0.8 | 0.5 ± 0.2 | 32.8 | 65.6 |
| 6 | 5 | 45.8 ± 16.5 | 1.3 ± 0.7 | 0.4 ± 0.1 | 35.2 | 114.5 | |||
| 24 | 3 | 25.1 ± 26.6 | 0.2 ± 0.1 | 0.2 ± 0.0 | 125.5 | 125.5 | |||
| BPA (1000 µg B/mL) | i.v. | 12 | 2 | 4 | 17.8 ± 1.4 | 4.3 ± 0.9 | 8.7 ± 3.0 | 4.1 | 2.0 |
| 6 | 4 | 13.4 ± 2.1 | 3.7 ± 0.6 | 6.1 ± 1.4 | 3.6 | 2.2 | |||
| Group | Physical Dose a (Gy) | Photon-Equivalent Dose d (Gy-Eq) | |||||
|---|---|---|---|---|---|---|---|
| Brain | Tumor b | Brain | Tumor b | ||||
| Mean c | Mean c | ||||||
| (Mean − SD) | (Mean + SD) | (Mean − SD) | (Mean + SD) | CBE | |||
| Irradiated | 1.0 | 1.0 | 1.7 | 1.7 | |||
| BPA | 1.8 | 3.4 (3.2−3.7) | 2.9 * | 6.7 (6.3−7.1) | 2.02 | ||
| BADB | 1.4 | 2.5 (2.0−3.1) | (1.9) ** | 4.5 (3.5−5.5) | 1.75 | ||
| 9.1 (6.5−11.8) | 4.66 | ||||||
| Group | na | Survival Time | %ILS b | ||
|---|---|---|---|---|---|
| Mean ± SD | Median | Range | Median | ||
| Control | 6 | 26.5 ± 1.0 | 26.5 | 25−28 | |
| Irradiated | 5 | 28.2 ± 1.8 | 28 | 26−30 | |
| BADB controls | 5 | 27.8 ± 0.8 | 28 | 27−29 | 5.7% |
| i.v. BPA | 6 | 34.3 ± 1.4 | 34 | 33−36 | 28.3% |
| BADB | 8 | 31.6 ± 2.1 | 31 * | 29−35 | 17.0% |
| BADB and i.v. BPA | 7 | 38.0 ± 1.4 | 38 ** | 36−40 | 43.4% |
Publisher’s Note: MDPI stays neutral with regard to jurisdictional claims in published maps and institutional affiliations. |
© 2020 by the authors. Licensee MDPI, Basel, Switzerland. This article is an open access article distributed under the terms and conditions of the Creative Commons Attribution (CC BY) license (http://creativecommons.org/licenses/by/4.0/).
Share and Cite
Fukuo, Y.; Hattori, Y.; Kawabata, S.; Kashiwagi, H.; Kanemitsu, T.; Takeuchi, K.; Futamura, G.; Hiramatsu, R.; Watanabe, T.; Hu, N.; et al. The Therapeutic Effects of Dodecaborate Containing Boronophenylalanine for Boron Neutron Capture Therapy in a Rat Brain Tumor Model. Biology 2020, 9, 437. https://doi.org/10.3390/biology9120437
Fukuo Y, Hattori Y, Kawabata S, Kashiwagi H, Kanemitsu T, Takeuchi K, Futamura G, Hiramatsu R, Watanabe T, Hu N, et al. The Therapeutic Effects of Dodecaborate Containing Boronophenylalanine for Boron Neutron Capture Therapy in a Rat Brain Tumor Model. Biology. 2020; 9(12):437. https://doi.org/10.3390/biology9120437
Chicago/Turabian StyleFukuo, Yusuke, Yoshihide Hattori, Shinji Kawabata, Hideki Kashiwagi, Takuya Kanemitsu, Koji Takeuchi, Gen Futamura, Ryo Hiramatsu, Tsubasa Watanabe, Naonori Hu, and et al. 2020. "The Therapeutic Effects of Dodecaborate Containing Boronophenylalanine for Boron Neutron Capture Therapy in a Rat Brain Tumor Model" Biology 9, no. 12: 437. https://doi.org/10.3390/biology9120437
APA StyleFukuo, Y., Hattori, Y., Kawabata, S., Kashiwagi, H., Kanemitsu, T., Takeuchi, K., Futamura, G., Hiramatsu, R., Watanabe, T., Hu, N., Takata, T., Tanaka, H., Suzuki, M., Miyatake, S.-I., Kirihata, M., & Wanibuchi, M. (2020). The Therapeutic Effects of Dodecaborate Containing Boronophenylalanine for Boron Neutron Capture Therapy in a Rat Brain Tumor Model. Biology, 9(12), 437. https://doi.org/10.3390/biology9120437

