Shared Genomic Features Between Lung Adenocarcinoma and Type 2 Diabetes: A Bioinformatics Study
Simple Summary
Abstract
1. Introduction
2. Materials and Methods
2.1. Data Collection
2.2. Identification of DEGs
2.3. Immune Infiltration Analysis
2.4. Enrichment and Pathway Analysis
2.5. Construction of Protein–Protein Interaction (PPI) Network
2.6. Identification of Hub Genes
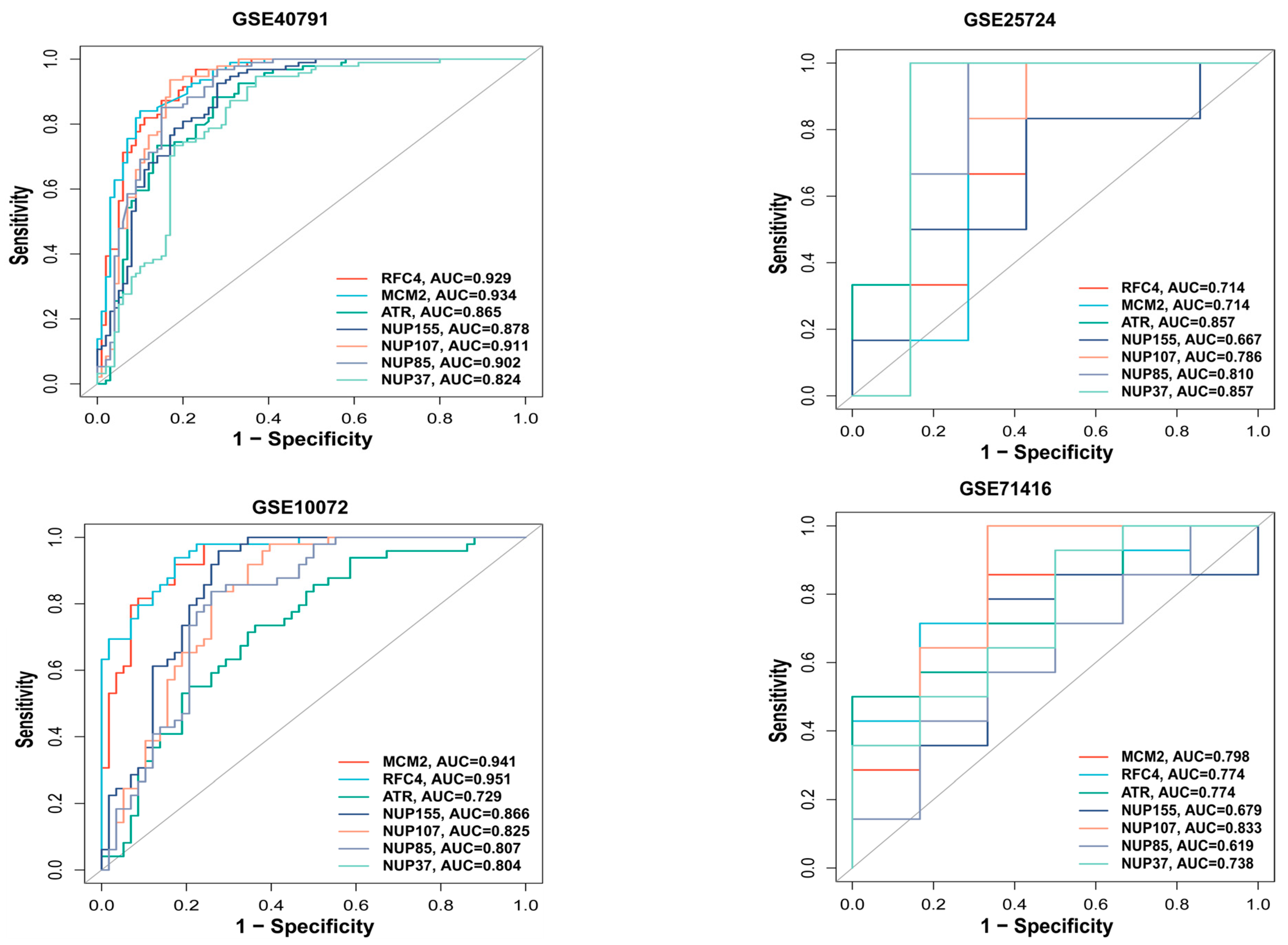
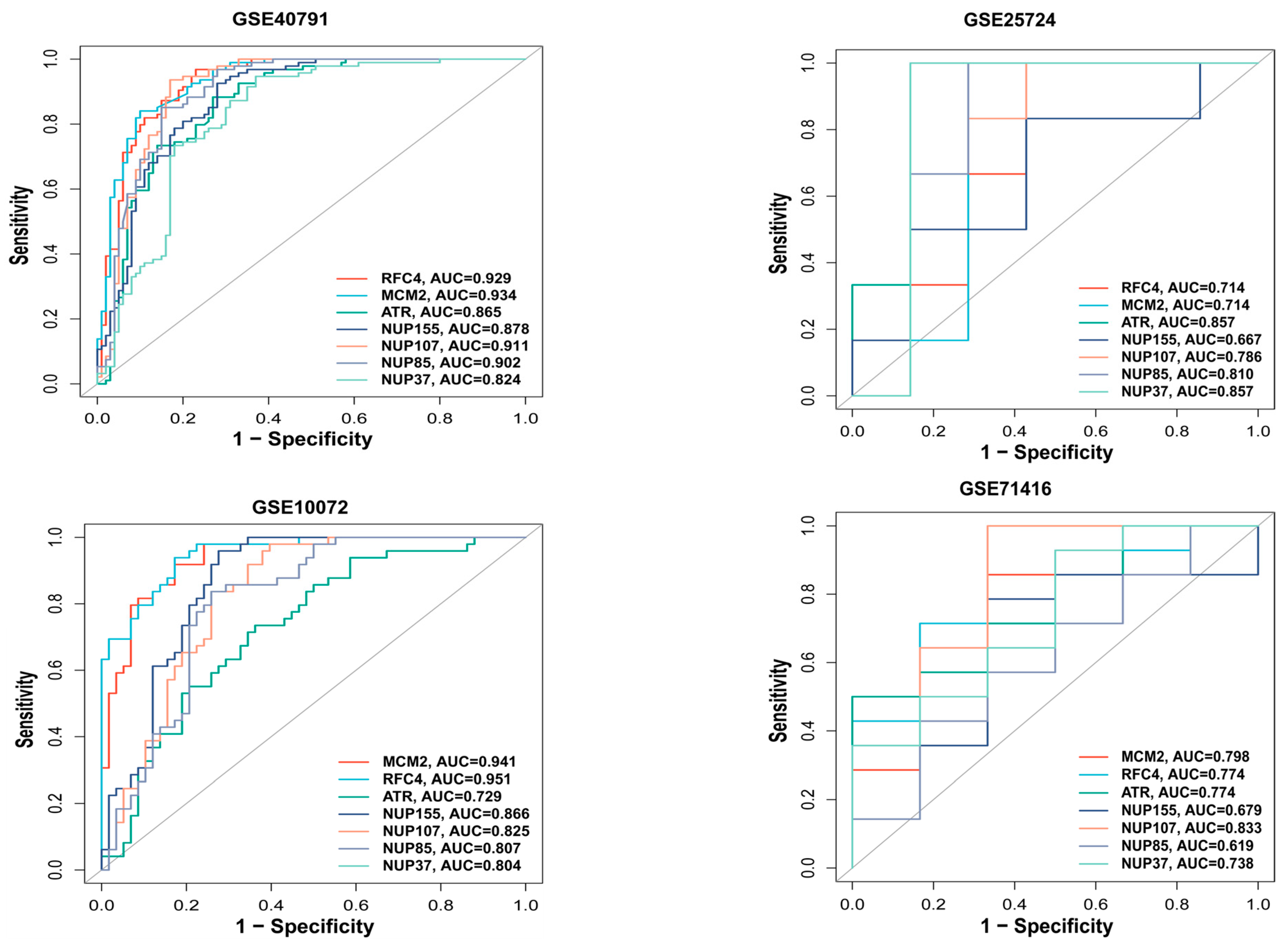
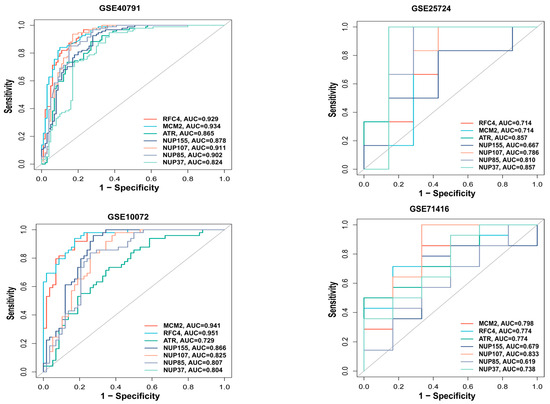
2.7. Receiver Operating Characteristic (ROC) Curve Analysis of Hub Genes
2.8. Prediction of miRNAs for the Central Hub Genes
2.9. Construction of Hub Gene-TF Regulatory Network
3. Results
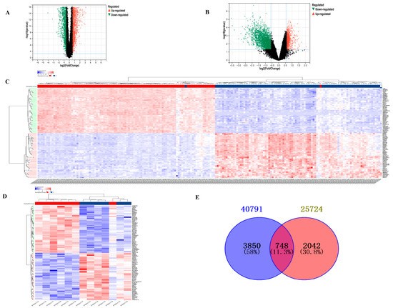
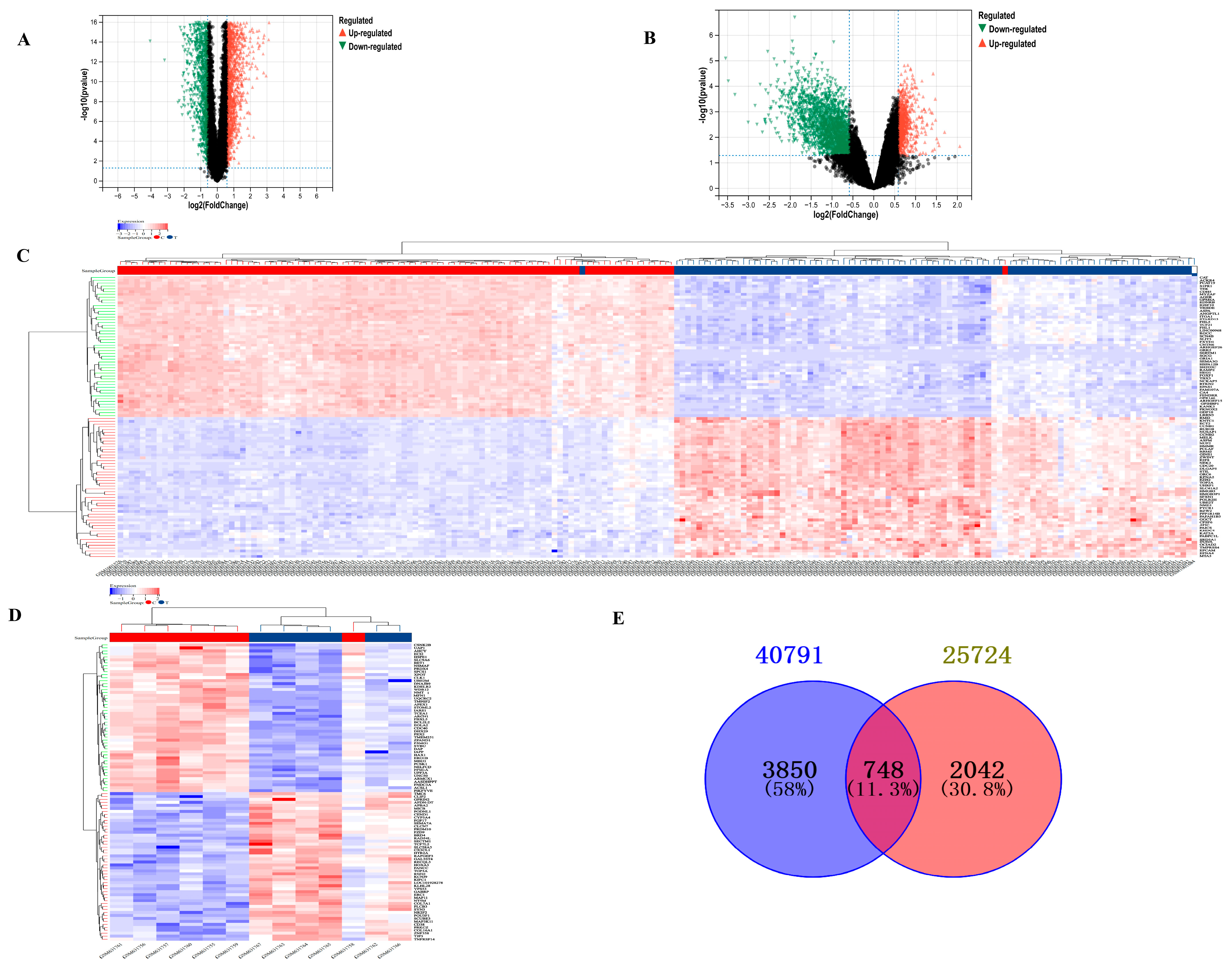
3.1. Identification of Common DEGs Between T2DM and LUAD
3.2. Immune Infiltration Analysis in LUAD and T2DM
3.3. Enrichment Analysis of Common DEGs
3.4. PPI Network
3.5. ROC Analysis of Hub Genes
3.6. Network of Central Hub Genes and miRNAs
3.7. KEGG Pathway Enrichment Analysis of hsa-mir147a, hsa-mir16-5p, and hsa-mir-1-3p
3.8. Construction of TF Regulatory Network
4. Discussion
5. Conclusions
Author Contributions
Funding
Institutional Review Board Statement
Informed Consent Statement
Data Availability Statement
Conflicts of Interest
References
- Kuhn, E.; Morbini, P.; Cancellieri, A.; Damiani, S.; Cavazza, A.; Comin, C.E. Adenocarcinoma classification: Patterns and prognosis. Pathologica 2018, 110, 5–11. [Google Scholar] [PubMed]
- Chen, P.; Quan, Z.; Song, X.; Gao, Z.; Yuan, K. MDFI is a novel biomarker for poor prognosis in LUAD. Front. Oncol. 2022, 12, 1005962. [Google Scholar] [CrossRef]
- Xu, Y.; Lv, D.; Yan, C.; Su, H.; Zhang, X.; Shi, Y.; Ying, K. METTL3 promotes lung adenocarcinoma tumor growth and inhibits ferroptosis by stabilizing SLC7A11 m6A modification. Cancer Cell Int. 2022, 22, 11. [Google Scholar] [CrossRef] [PubMed]
- Zhu, X.; Jiang, D.; Shen, J.; Niu, Z.; Hu, M.; Zeng, H.; Yang, Z.; Zhang, Z.; Zhao, C.; Cao, G. Analysis of the incidence and mortality of lung cancer in countries with different Human Development Index. Shanghai J. Prev. Med. 2023, 35, 305–313. [Google Scholar] [CrossRef]
- Cancer Genome Atlas Research Network. Comprehensive molecular profiling of lung adenocarcinoma. Nature 2014, 511, 543–550. [Google Scholar]
- Liang, Y.; Wang, H.; Chen, B.; Mao, Q.; Xia, W.; Zhang, T.; Song, X.; Zhang, Z.; Xu, L.; Dong, G.; et al. circDCUN1D4 suppresses tumor metastasis and glycolysis in lung adenocarcinoma by stabilizing TXNIP expression. Mol. Ther. Nucleic Acids 2020, 23, 355–368. [Google Scholar]
- Gibney, G.T.; Weiner, L.M.; Atkins, M.B. Predictive biomarkers for checkpoint inhibitor-based immunotherapy. Lancet Oncol. 2016, 17, s1470–s2045. [Google Scholar]
- Sapra, A.; Bhandari, P. Diabetes Mellitus; StatPearls Publishing: Treasure Island, FL, USA, 2023. [Google Scholar]
- Palumbo, C.; Nicolaci, N.; La Manna, A.A.; Branek, N.; Pissano, M.N. Asociación de diabetes insípida central y diabetes mellitus tipo 2 [Association between central diabetes insipidus and type 2 diabetes mellitus]. Medicina 2018, 78, 127–130. (In Spanish) [Google Scholar]
- Oh, A.J.; Javaheri, M.; Hosseini, H.; Prasad, P.S. Purtscher-like retinopathy in a 19-year-old with maturity-onset diabetes of the young: A case report. J. Med. Case Rep. 2023, 17, 255. [Google Scholar] [CrossRef]
- Stan, M.C.; Mireştean, C.C.; Stoica, D.; Popescu, F.C.; Bădulescu, F. Lung cancer and type 2 diabetes experience in Dolj County (southwest region of Romania)—A clinical, bioclinical and pathological study. Rom. J. Morphol. Embryol. 2023, 64, 411–417. [Google Scholar] [CrossRef]
- Chou, P.C.; Choi, H.H.; Huang, Y.; Fuentes-Mattei, E.; Velazquez-Torres, G.; Zhang, F.; Phan, L.; Lee, J.; Shi, Y.; Bankson, J.A.; et al. Impact of diabetes on promoting the growth of breast cancer. Cancer Commun. 2021, 41, 414–431. [Google Scholar] [CrossRef]
- Pizzato, M.; Turati, F.; Rosato, V.; La Vecchia, C. Exploring the link between diabetes and pancreatic cancer. Expert Rev. Anticancer Ther. 2019, 19, 681–687. [Google Scholar] [CrossRef] [PubMed]
- Yang, J.; Yang, C.; Shen, H.; Wu, W.; Tian, Z.; Xu, Q.; Cao, C.; Ye, S.; Ban, L.; Tong, X.; et al. Discovery and validation of PZP as a novel serum biomarker for screening lung adenocarcinoma in type 2 diabetes mellitus patients. Cancer Cell Int. 2021, 21, 162. [Google Scholar] [CrossRef]
- Lai, Z.; Wang, E.; Huang, Y. Analysis of the correlation between serum 25-hydroxyvitamin D3 levels and the occurrence of lung adenocarcinoma in type 2 diabetes. New World Diabetes 2022, 25, 35–38. [Google Scholar] [CrossRef]
- Guo, F.; Ma, H.; Lan, W.; Yao, L. Research progress on long non-coding RNA-transcript 1 associated with lung adenocarcinoma metastasis in diabetes and its complications. Int. J. Pharm. Res. 2020, 47, 798–803. [Google Scholar] [CrossRef]
- Russo, M.P.; Grande-Ratti, M.F.; Burgos, M.A.; Molaro, A.A.; Bonella, M.B. Prevalence of diabetes, epidemiological characteristics and vascular complications. Arch. Cardiol. Mex. 2023, 93, 30–36. (In English) [Google Scholar] [CrossRef]
- Sciacca, L.; Vigneri, R.; Tumminia, A.; Frasca, F.; Squatrito, S.; Frittitta, L.; Vigneri, P. Clinical and molecular mechanisms favoring cancer initiation and progression in diabetic patients. Nutr. Metab. Cardiovasc. Dis. 2013, 23, 808–815. [Google Scholar] [CrossRef]
- Wei, J.; Wu, Y.; Zhang, X.; Sun, J.; Li, J.; Li, J.; Yang, X.; Qiao, H. Type 2 diabetes is more closely associated with risk of colorectal cancer based on elevated DNA methylation levels of ADCY5. Oncol. Lett. 2022, 24, 206. [Google Scholar] [CrossRef]
- Ashley, L.; Robb, K.A.; O’Connor, D.B.; Platt, R.; Price, M.; Robinson, O.; Travis, E.; Lipscombe, L.; Ajjan, R.; Birch, R. Increased Breast and Colorectal Cancer Risk in Type 2 Diabetes: Awareness Among Adults With and Without Diabetes and Information Provision on Diabetes Websites. Ann. Behav. Med. 2023, 57, 386–398. [Google Scholar] [CrossRef]
- Zabuliene, L.; Kaceniene, A.; Steponaviciene, L.; Linkeviciute-Ulinskiene, D.; Stukas, R.; Arlauskas, R.; Vanseviciute-Petkeviciene, R.; Smailyte, G. Risk of Endometrial Cancer in Women with Diabetes: A Population-Based Retrospective Cohort Study. J. Clin. Med. 2021, 10, 3453. [Google Scholar] [CrossRef]
- Liu, G.M.; Zeng, H.D.; Zhang, C.Y.; Xu, J.W. Key genes associated with diabetes mellitus and hepatocellular carcinoma. Pathol. Res. Pract. 2019, 215, 152510. [Google Scholar] [CrossRef] [PubMed]
- Wu, J.; Tang, L.; Zheng, F.; Chen, X.; Li, L. A review of the last decade: Pancreatic cancer and type 2 diabetes. Arch. Physiol. Biochem. 2023, 130, 660–668. [Google Scholar] [CrossRef] [PubMed]
- Tao, T.; Li, J.; Hang, T.; Duan, P. Association of the key genes in the pathophysiology between the Type 2 diabetes and Lung cancer. Neuro Endocrinol. Lett. 2021, 42, 63–69. [Google Scholar] [PubMed]
- Sayyid, R.K.; Fleshner, N.E. Diabetes Mellitus Type 2: A Driving Force for Urological Complications. Trends Endocrinol. Metab. 2016, 27, 249–261. [Google Scholar] [CrossRef]
- Pearson-Stuttard, J.; Papadimitriou, N.; Markozannes, G.; Cividini, S.; Kakourou, A.; Gill, D.; Rizos, E.C.; Monori, G.; Ward, H.A.; Kyrgiou, M.; et al. Type 2 Diabetes and Cancer: An Umbrella Review of Observational and Mendelian Randomization Studies. Cancer Epidemiol. Biomark. Prev. 2021, 30, 1218–1228. [Google Scholar] [CrossRef]
- Yuan, S.; Kar, S.; Carter, P.; Vithayathil, M.; Mason, A.M.; Burgess, S.; Larsson, S.C. Is Type 2 Diabetes Causally Associated with Cancer Risk? Evidence from a Two-Sample Mendelian Randomization Study. Diabetes 2020, 69, 1588–1596. [Google Scholar] [CrossRef]
- Yang, J.; Li, N.; Lin, W.; Deng, M.; Shi, L.; An, Y.; Yang, J.; Zhou, C.; Tong, Q.; Yang, W. Comprehensive Analysis of Diabetes Mellitus-Related Gene Expression and Associated Prognoses in Human Lung Cancer. Curr. Cancer Drug Targets 2023, 23, 889–899. [Google Scholar] [CrossRef]
- Zhao, M.; Mishra, L.; Deng, C.X. The role of TGF-β/SMAD4 signaling in cancer. Int. J. Biol. Sci. 2018, 14, 111–123. [Google Scholar] [CrossRef]
- Chan, M.K.; Chung, J.Y.; Tang, P.C.; Chan, A.S.; Ho, J.Y.; Lin, T.P.; Chen, J.; Leung, K.T.; To, K.F.; Lan, H.Y.; et al. TGF-β signaling networks in the tumor microenvironment. Cancer Lett. 2022, 550, 215925. [Google Scholar] [CrossRef]
- Massagué, J. TGFbeta in Cancer. Cell 2008, 134, 215–230. [Google Scholar] [CrossRef]
- Miyazono, K.; Katsuno, Y.; Koinuma, D.; Ehata, S.; Morikawa, M. Intracellular and extracellular TGF-β signaling in cancer: Some recent topics. Front. Med. 2018, 12, 387–411. [Google Scholar] [CrossRef] [PubMed]
- Yu, F.; Bing, L.; Xie, Y.; Yu, W. Dioscin Promotes Proliferation of Pancreatic Beta Cells via Wnt/β-Catenin Signaling Pathways. Clin. Lab. 2018, 64, 785–791. [Google Scholar] [CrossRef] [PubMed]
- Ran, G.H.; Lin, Y.Q.; Tian, L.; Zhang, T.; Yan, D.M.; Yu, J.H.; Deng, Y.C. Natural killer cell homing and trafficking in tissues and tumors: From biology to application. Signal Transduct. Target. Ther. 2022, 7, 205. [Google Scholar] [CrossRef] [PubMed]
- Piątkiewicz, P.; Bernat-Karpińska, M.; Miłek, T.; Rabijewski, M.; Rosiak, E. NK cell count and glucotransporter 4 (GLUT4) expression in subjects with type 2 diabetes and colon cancer. Diabetol. Metab. Syndr. 2016, 8, 38. [Google Scholar] [CrossRef]
- Jung, Y.S.; Kwon, M.J.; Park, D.I.; Sohn, C.I.; Park, J.H. Association between natural killer cell activity and the risk of colorectal neoplasia. J. Gastroenterol. Hepatol. 2018, 33, 831–836. [Google Scholar] [CrossRef]
- Naujoks, W.; Quandt, D.; Hauffe, A.; Kielstein, H.; Bähr, I.; Spielmann, J. Characterization of Surface Receptor Expression and Cytotoxicity of Human NK Cells and NK Cell Subsets in Overweight and Obese Humans. Front. Immunol. 2020, 11, 573200. [Google Scholar] [CrossRef]
- Wang, H.; Cao, K.; Liu, S.; Xu, Y.; Tang, L. Tim-3 Expression Causes NK Cell Dysfunction in Type 2 Diabetes Patients. Front. Immunol. 2022, 13, 852436. [Google Scholar] [CrossRef]
- Conroy, M.J.; Dunne, M.R.; Donohoe, C.L.; Reynolds, J.V. Obesity-associated cancer: An immunological perspective. Proc. Nutr. Soc. 2016, 75, 125–138. [Google Scholar] [CrossRef]
- Xu, W.; Chen, L.; Liu, J.; Zhang, Z.; Wang, R.; Zhang, Q.; Li, H.; Xiang, J.; Fang, L.; Xu, P.; et al. LINC00152 induced by TGF-β promotes metastasis via HuR in lung adenocarcinoma. Cell Death Dis. 2022, 13, 772. [Google Scholar] [CrossRef]
- Yu, Q.; Zhao, L.; Yan, X.X.; Li, Y.; Chen, X.Y.; Hu, X.H.; Bu, Q.; Lv, X.P. Identification of a TGF-β signaling-related gene signature for prediction of immunotherapy and targeted therapy for lung adenocarcinoma. World J. Surg. Oncol. 2022, 20, 183. [Google Scholar] [CrossRef]
- Li, X.; Li, Y.; Zhao, Z.; Miao, N.; Liu, G.; Deng, L.; Wei, S.; Hou, J. Immunogenicity of small-cell lung cancer associates with STING pathway activation and is enhanced by ATR and TOP1 inhibition. Cancer Med. 2023, 12, 4864–4881. [Google Scholar] [CrossRef] [PubMed]
- Cheng, L.; Tan, Z.; Huang, Z.; Pan, Y.; Zhang, W.; Wang, J. Expression Profile and Prognostic Values of Mini-Chromosome Maintenance Families (MCMs) in Breast Cancer. Med. Sci. Monit. 2020, 26, e923673. [Google Scholar] [CrossRef] [PubMed]
- Yang, W.X.; Pan, Y.Y.; You, C.G. CDK1, CCNB1, CDC20, BUB1, MAD2L1, MCM3, BUB1B, MCM2, and RFC4 May Be Potential Therapeutic Targets for Hepatocellular Carcinoma Using Integrated Bioinformatic Analysis. BioMed Res. Int. 2019, 2019, 1245072. [Google Scholar] [CrossRef] [PubMed]
- Guan, S.; Feng, L.; Wei, J.; Wang, G.; Wu, L. Knockdown of RFC4 inhibits the cell proliferation of nasopharyngeal carcinoma in vitro and in vivo. Front. Med. 2023, 17, 132–142. [Google Scholar] [CrossRef]
- Zhang, J.; Wang, L.; Xie, X. RFC4 promotes the progression and growth of Oral Tongue squamous cell carcinoma in vivo and vitro. J. Clin. Lab. Anal. 2021, 35, e23761. [Google Scholar] [CrossRef]
- Che, X.; Zhao, R.; Xu, H.; Liu, X.; Zhao, S.; Ma, H. Differently Expressed Genes (DEGs) Relevant to Type 2 Diabetes Mellitus Identification and Pathway Analysis via Integrated Bioinformatics Analysis. Med. Sci. Monit. 2019, 25, 9237–9244. [Google Scholar] [CrossRef]
- De Gonzalo-Calvo, D.; van der Meer, R.W.; Rijzewijk, L.J.; Smit, J.W.; Revuelta-Lopez, E.; Nasarre, L.; Escola-Gil, J.C.; Lamb, H.J.; Llorente-Cortes, V. Serum microRNA-1 and microRNA-133a levels reflect myocardial steatosis in uncomplicated type 2 diabetes. Sci. Rep. 2017, 7, 47. [Google Scholar] [CrossRef]
- Li, X.; Ma, C.; Luo, H.; Zhang, J.; Wang, J.; Guo, H. Identification of the differential expression of genes and upstream microRNAs in small cell lung cancer compared with normal lung based on bioinformatics analysis. Medicine 2020, 99, e19086. [Google Scholar] [CrossRef]
- Hashemi, K.S.; Aliabadi, M.K.; Mehrara, A.; Talebi, E.; Hemmati, A.A.; Rezaeiye, R.D.; Ghanbary, M.J.; Motealleh, M.; Dayeri, B.; Alashti, S.K. A meta-analysis of microarray datasets to identify biological regulatory networks in Alzheimer’s disease. Front. Genet. 2023, 14, 1225196. [Google Scholar] [CrossRef]
- Lu, Y.; Luan, X.R. miR-147a suppresses the metastasis of non-small-cell lung cancer by targeting CCL5. J. Int. Med. Res. 2020, 48, 300060519883098. [Google Scholar] [CrossRef]
- Ji, T.T.; Qi, Y.H.; Li, X.Y.; Tang, B.; Wang, Y.K.; Zheng, P.X.; Li, W.; Qu, X.; Feng, L.; Bai, S.J. Loss of lncRNA MIAT ameliorates proliferation and fibrosis of diabetic nephropathy through reducing E2F3 expression. J. Cell Mol. Med. 2020, 24, 13314–13323. [Google Scholar] [CrossRef] [PubMed]
- Zhou, Z.; Zhang, S.; Xiong, Y. Long noncoding RNA MIAT promotes non-small cell lung cancer progression by sponging miR-149-5p and regulating FOXM1 expression. Cancer Cell Int. 2020, 20, 348. [Google Scholar] [CrossRef] [PubMed]
- Beishline, K.; Azizkhan-Clifford, J. Sp1 and the ‘hallmarks of cancer’. FEBS 2015, 282, 224–258. [Google Scholar] [CrossRef] [PubMed]
- Jiang, W.; Jin, Z.; Zhou, F.; Cui, J.; Wang, L.; Wang, L. High co-expression of Sp1 and HER-2 is correlated with poor prognosis of gastric cancer patients. Surg. Oncol. 2015, 24, 220–225. [Google Scholar] [CrossRef]
- Liu, P.C.; Lieu, A.S.; Lin, C.J.; Tsai, H.P.; Chai, C.Y.; Kwan, A.L. High Expression of Sp1 is Associated with Recurrence of Meningioma. World Neurosurg. 2021, 149, e1056–e1060. [Google Scholar] [CrossRef]
- Li, J.; Qi, C.; Shao, S.; Chen, Y.; Peng, Z.; Shen, Q.; Zhang, Z. SP1 transcriptionally regulates UBE2N expression to promote lung adenocarcinoma progression. Mol. Biomed. 2023, 4, 7. [Google Scholar] [CrossRef]
- Liu, L.; Ji, P.; Qu, N.; Pu, W.L.; Jiang, D.W.; Liu, W.Y.; Li, Y.Q.; Shi, R.L. The impact of high co-expression of Sp1 and HIF1α on prognosis of patients with hepatocellular cancer. Oncol. Lett. 2016, 12, 504–512. [Google Scholar] [CrossRef]
- Hu, H.; Wu, L.L.; Han, T.; Zhuo, M.; Lei, W.; Cui, J.J.; Jiao, F.; Wang, L.W. Correlated high expression of FXR and Sp1 in cancer cells confers a poor prognosis for pancreatic cancer: A study based on TCGA and tissue microarray. Oncotarget 2017, 8, 33265–33275. [Google Scholar] [CrossRef]
- Ivanenko, K.A.; Prassolov, V.S.; Khabusheva, E.R. Transcription Factor Sp1 in the Expression of Genes Encoding Components of MAPK, JAK/STAT, and PI3K/Akt Signaling Pathways. Mol. Biol. 2022, 56, 832–847. (In Russian) [Google Scholar] [CrossRef]
- Oser, M.G.; Sabet, A.H.; Gao, W.; Chakraborty, A.A.; Schinzel, A.C.; Jennings, R.B.; Fonseca, R.; Bonal, D.M.; Booker, M.A.; Flaifel, A.; et al. The KDM5A/RBP2 histone demethylase represses NOTCH signaling to sustain neuroendocrine differentiation and promote small cell lung cancer tumorigenesis. Genes Dev. 2019, 33, 1718–1738. [Google Scholar] [CrossRef]







| Term Name | Term Genes | Target Genes (n) | miRNAs (n) | miRNA Names | p-Value |
|---|---|---|---|---|---|
| TGF-beta signaling pathway | 103 | 36 | 2 | hsa-miR-1-3p, hsa-miR-16-5p | 1.7046 × 10−7 |
| IL-17 signaling pathway | 106 | 24 | 2 | hsa-miR-1-3p, hsa-miR-16-5p | 0.016457779 |
| Rap1 signaling pathway | 214 | 59 | 3 | hsa-miR-1-3p, hsa-miR-147a, hsa-miR-16-5p | 4.37555 × 10−7 |
| MAPK signaling pathway | 329 | 75 | 3 | hsa-miR-1-3p,hsa-miR-147a, hsa-miR-16-5p | 3.20369 × 10−5 |
| PI3K-Akt signaling pathway | 372 | 76 | 3 | hsa-miR-1-3p, hsa-miR-147a, hsa-miR-16-5p | 0.001053445 |
Disclaimer/Publisher’s Note: The statements, opinions and data contained in all publications are solely those of the individual author(s) and contributor(s) and not of MDPI and/or the editor(s). MDPI and/or the editor(s) disclaim responsibility for any injury to people or property resulting from any ideas, methods, instructions or products referred to in the content. |
© 2025 by the authors. Licensee MDPI, Basel, Switzerland. This article is an open access article distributed under the terms and conditions of the Creative Commons Attribution (CC BY) license (https://creativecommons.org/licenses/by/4.0/).
Share and Cite
Nueraihemaiti, N.; Dilimulati, D.; Baishan, A.; Hailati, S.; Maihemuti, N.; Aikebaier, A.; Paerhati, Y.; Zhou, W. Shared Genomic Features Between Lung Adenocarcinoma and Type 2 Diabetes: A Bioinformatics Study. Biology 2025, 14, 331. https://doi.org/10.3390/biology14040331
Nueraihemaiti N, Dilimulati D, Baishan A, Hailati S, Maihemuti N, Aikebaier A, Paerhati Y, Zhou W. Shared Genomic Features Between Lung Adenocarcinoma and Type 2 Diabetes: A Bioinformatics Study. Biology. 2025; 14(4):331. https://doi.org/10.3390/biology14040331
Chicago/Turabian StyleNueraihemaiti, Nuerbiye, Dilihuma Dilimulati, Alhar Baishan, Sendaer Hailati, Nulibiya Maihemuti, Alifeiye Aikebaier, Yipaerguli Paerhati, and Wenting Zhou. 2025. "Shared Genomic Features Between Lung Adenocarcinoma and Type 2 Diabetes: A Bioinformatics Study" Biology 14, no. 4: 331. https://doi.org/10.3390/biology14040331
APA StyleNueraihemaiti, N., Dilimulati, D., Baishan, A., Hailati, S., Maihemuti, N., Aikebaier, A., Paerhati, Y., & Zhou, W. (2025). Shared Genomic Features Between Lung Adenocarcinoma and Type 2 Diabetes: A Bioinformatics Study. Biology, 14(4), 331. https://doi.org/10.3390/biology14040331

