Chia (Salvia hispanica) Seed Oil Modulates the Haemato-Immunological Response, Antioxidative Status and Cytokine Gene Expression of Tropical Freshwater Teleost, Labeo rohita
Simple Summary
Abstract
1. Introduction
2. Materials and Methods
2.1. Formulation of Experimental Diets
2.2. Culture Conditions and Design of the Experiment
2.3. Fatty Acid Analysis of Experimental Diets
2.4. Blood Sampling and Estimation of Haemato-Immunological Parameters
2.5. Evaluation of Anti-Oxidative and Protein Metabolic Enzymes
2.6. RNA Isolation and Quantitative RT-PCR
2.7. Statistical Analysis
3. Results
3.1. Haemato-Immunological Indices
3.2. Enzyme Assays
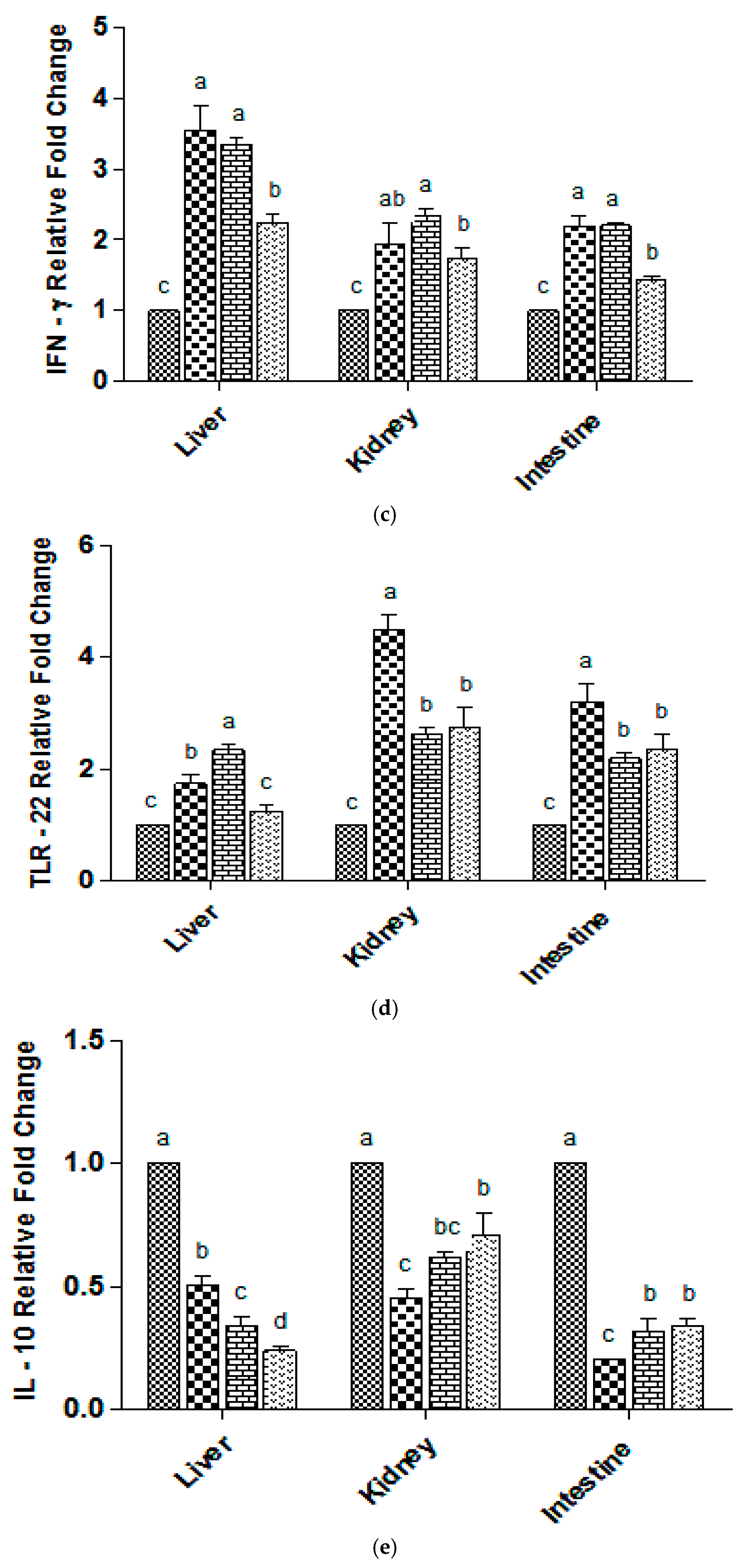
3.3. Expression Analysis of Immune-Responsive Cytokine Genes
4. Discussion
5. Conclusions
Author Contributions
Funding
Institutional Review Board Statement
Informed Consent Statement
Data Availability Statement
Acknowledgments
Conflicts of Interest
References
- FAO. Sustainability in Action. In The State of World Fisheries and Aquaculture; FAO: Rome, Italy, 2020. [Google Scholar] [CrossRef]
- Alhazzaa, R.; Nichols, P.D.; Carter, C.G. Sustainable alternatives to dietary fish oil in tropical fish aquaculture. Rev. Aquac. 2018, 11, 1195–1218. [Google Scholar] [CrossRef]
- Hodar, A.R.; Vasava, R.; Joshi, N.H.; Mahavadiya, D.R. Fish meal and fish oil replacement for alternative sources: A review. J. Exp. Zool. India 2020, 23, 13–21. [Google Scholar]
- Nasopoulou, C.; Zabetakis, I. Benefits of fish oil replacement by plant originated oils in compounded fish feeds. A review. LWT 2012, 47, 217–224. [Google Scholar] [CrossRef]
- Hollingsworth, A. Sustainable Diets: The Gulf between management strategies and the nutritional demand for fish. In Handbook of Sustainability Science and Research; World Sustainability Series; Springer: Cham, Switzerland, 2018; pp. 711–725. [Google Scholar] [CrossRef]
- FAO. Towards Blue Transformation, in Brief to the State of World Fisheries and Aquaculture 2022; The State of World Fisheries and Aquaculture: Rome, Italy, 2022. [Google Scholar] [CrossRef]
- Martin, S.A.; Król, E. Nutrigenomics and immune function in fish: New insights from omics technologies. Dev. Comp. Immunol. 2017, 75, 86–98. [Google Scholar] [CrossRef]
- Yıldız, M.; Eroldoğan, T.O.; Ofori-Mensah, S.; Engin, K.; Baltacı, M.A. The effects of fish oil replacement by vegetable oils on growth performance and fatty acid profile of rainbow trout: Re-feeding with fish oil finishing diet improved the fatty acid composition. Aquaculture 2018, 488, 123–133. [Google Scholar] [CrossRef]
- Ullah, R.; Nadeem, M.; Khalique, A.; Imran, M.; Mehmood, S.; Javid, A.; Hussain, J. Nutritional and therapeutic perspectives of Chia (Salvia hispanica L.): A review. J. Food Sci. Technol. 2016, 53, 1750–1758. [Google Scholar] [CrossRef]
- Ayerza, R. Oil content and fatty acid composition of chia (Salvia hispanica L.) from five northwestern locations in Argentina. J. Am. Oil Chem. Soc. 1995, 72, 1079–1081. [Google Scholar] [CrossRef]
- Kulczyński, B.; Kobus-Cisowska, J.; Taczanowski, M.; Kmiecik, D.; Gramza-Michałowska, A. The chemical composition and nutritional value of chia seeds—Current state of knowledge. Nutrients 2019, 11, 1242. [Google Scholar] [CrossRef]
- Ayerza, R. Crop year effects on seed yields, growing cycle length, and chemical composition of chia (Salvia hispanica L.) growing in Ecuador and Bolivia. Emir. J. Food Agric. 2016, 28, 196–200. [Google Scholar] [CrossRef]
- Petenuci, M.E.; Schneider, V.V.A.; Lopes, A.P.; Gonçalves, R.M.; Dos Santos, V.J.; Matsushita, M.; Visentainer, J.V. Effect of Alpha-Linolenic Acid Sources in Diets for Nile Tilapia on Fatty Acid Composition of Fish Fillet Using Principal Component Analysis. J. Aquat. Food Prod. Technol. 2018, 27, 464–476. [Google Scholar] [CrossRef]
- Bodoira, R.M.; Penci, M.C.; Ribotta, P.D.; Martínez, M.L. Chia (Salvia hispanica L.) oil stability: Study of the effect of natural antioxidants. LWT 2017, 75, 107–113. [Google Scholar] [CrossRef]
- Akinfenwa, A.O.; Cheikhyoussef, A.; Cheikhyoussef, N.; Hussein, A.A. Cold pressed chia (Salvia hispanica L.) seed oil. In Cold Pressed Oils: Green Technology, Bioactive Compounds, Functionality, and Applications; Elsevier Inc.: Amsterdam, The Netherlands, 2020. [Google Scholar] [CrossRef]
- Tocher, D.R.; Betancor, M.B.; Sprague, M.; Olsen, R.E.; Napier, J.A. Omega-3 long-chain polyunsaturated fatty acids, EPA and DHA: Bridging the gap between supply and demand. Nutrients 2019, 11, 89. [Google Scholar] [CrossRef]
- El-Naby, A.S.A.; El Asely, A.M.; Hussein, M.N.; Fawzy, R.M.; Abdel-Tawwab, M. Stimulatory effects of dietary chia (Salvia hispanica) seeds on performance, antioxidant-immune indices, histopathological architecture, and disease resistance of Nile tilapia. Aquaculture 2022, 563, 738889. [Google Scholar] [CrossRef]
- Mahmoud, H.K.; Reda, F.M.; Alagawany, M.; Farag, M.R.; El-Naggar, K. The role of dietary chia seed powder in modulating cold stress-related impacts in Nile tilapia, Oreochromis niloticus. Aquaculture 2023, 567, 739246. [Google Scholar] [CrossRef]
- Ofori-Mensah, S.; Yıldız, M.; Arslan, M.; Eldem, V.; Gelibolu, S. Substitution of fish oil with camelina or chia oils in gilthead sea bream (Sparus aurata L.) diets: Effect on growth performance, fatty acid composition, haematology and gene expression. Aquac. Nutr. 2020, 26, 1943–1957. [Google Scholar] [CrossRef]
- Orona-Tamayo, D.; Valverde, M.E.; Paredes-López, O. Chia-The New Golden Seed for the 21st Century: Nutraceutical Properties and Technological Uses. Sustain. Protein Sources 2017, 265–281. [Google Scholar] [CrossRef]
- Gupta, S.K.; Gupta, A.; Choudhary, J.S.; Foysal, M.J.; Gupta, R.; Sarkar, B.; Krishnani, K.K. Dietary Chia (Salvia hispanica L.) seeds oil supplementation augments growth performance and gut microbial composition in Labeo rohita fingerlings. Sci. Rep. 2025, 15, 1866. [Google Scholar] [CrossRef] [PubMed]
- Mohanty, B.P.; Ganguly, S.; Mahanty, A.; Sankar, T.V.; Anandan, R.; Chakraborty, K.; Paul, B.N.; Sarma, D.; Dayal, J.S.; Venkateshwarlu, G.; et al. DHA and EPA content and fatty acid profile of 39 food fishes from India. BioMed Res. Int. 2016, 2016, 4027437. [Google Scholar] [CrossRef] [PubMed]
- Lowry, O.H.; Rosebrough, N.J.; Farr, A.L.; Randall, R.J. Protein measurement with the Folin phenol reagent. J. Biol. Chem. 1951, 193, 265–275. [Google Scholar] [CrossRef] [PubMed]
- Misra, H.P.; Fridovich, I. The role of superoxide anion in the autoxidation of epinephrine and a simple assay for superoxide dismutase. J. Biol. Chem. 1972, 247, 3170–3175. [Google Scholar] [CrossRef] [PubMed]
- Takahara, S.; Hamilton, H.B.; Neel, J.V.; Kobara, T.Y.; Ogura, Y.; Nishimura, E.T. Hypocatalasemia: A new genetic carrier state. J. Clin. Investig. 1960, 39, 610–619. [Google Scholar] [CrossRef] [PubMed]
- Habig, W.H.; Pabst, M.J.; Jakoby, W.B. Glutathione S-transferases. The first enzymatic step in mercapturic acid formation. J. Biol. Chem. 1974, 249, 7130–7139. [Google Scholar] [CrossRef]
- Wotton, I.D.P. Microanalysis. In Medical Biochemistry; Kaplan, C., Ed.; Churchill J & A: London, UK, 1964; Volume 4, pp. 101–107. [Google Scholar]
- Saurabh, S.; Mohanty, B.; Sahoo, P. Expression of immune-related genes in rohu Labeo rohita (Hamilton) by experimental freshwater lice Argulus siamensis (Wilson) infection. Veter-Parasitol. 2011, 175, 119–128. [Google Scholar] [CrossRef]
- Swain, B.; Basu, M.; Lenka, S.S.; Das, S.; Jayasankar, P.; Samanta, M. Characterization and inductive expression analysis of interferon gamma-related gene in the Indian major carp, rohu (Labeo rohita). DNA Cell Biol. 2015, 34, 367–378. [Google Scholar] [CrossRef] [PubMed]
- Mohanty, B.; Sahoo, P. Immune responses and expression profiles of some immune-related genes in Indian major carp, Labeo rohita to Edwardsiella tarda infection. Fish Shellfish Immunol. 2010, 28, 613–621. [Google Scholar] [CrossRef] [PubMed]
- Boyd, C.E. Overview of Aquaculture Feeds: Global Impacts of Ingredient Use; Elsevier Ltd.: Amsterdam, The Netherlands, 2015. [Google Scholar]
- Jamshidi, A.M.; Amato, M.; Ahmadi, A.; Bochicchio, R.; Rossi, R. Chia (Salvia hispanica L.) as a novel forage and feed source: A review. Ital. J. Agron. 2019, 14, 1297. [Google Scholar] [CrossRef]
- Peres, H.; Santos, S.; Oliva-Teles, A. Blood chemistry profile as indicator of nutritional status in European seabass (Dicentrarchus labrax). Fish Physiol. Biochem. 2014, 40, 1339–1347. [Google Scholar] [CrossRef] [PubMed]
- Brunetti, G.; Mori, G.; D’amelio, P.; Faccio, R. The Crosstalk between the bone and the immune system: Osteoimmunology. J. Immunol. Res. 2013, 2013, 617319. [Google Scholar] [CrossRef]
- Ahmed, S.A.; Ibrahim, R.E.; Elshopakey, G.E.; Khamis, T.; Abdel-Ghany, H.M.; Abdelwarith, A.A.; Younis, E.M.; Davies, S.J.; Elabd, H.; Elhady, M. Immune-antioxidant trait, growth, splenic cytokines expression, apoptosis, and histopathological alterations of Oreochromis niloticus exposed to sub-lethal copper toxicity and fed thyme and/or basil essential oils enriched diets. Fish Shellfish Immunol. 2022, 131, 1006–1018. [Google Scholar] [CrossRef]
- Alagawany, M.; Nasr, M.; Al-Abdullatif, A.; Alhotan, R.A.; Azzam, M.M.; Reda, F.M. Impact of dietary cold-pressed chia oil on growth, blood chemistry, haematology, immunity and antioxidant status of growing Japanese quail. Ital. J. Anim. Sci. 2020, 19, 896–904. [Google Scholar] [CrossRef]
- Basuny, A.M.; Arafat, S.M.; Hikal, D.M. Chia (Salvia hispanica L.) Seed oil rich in Omega-3 Fatty Acid: A healthy alternative for milk fat in ice milk. Food Nutr. Sci. 2021, 12, 479–493. [Google Scholar] [CrossRef]
- Marineli, R.d.S.; Lenquiste, S.A.; Moraes, A.; Maróstica, M.R. Antioxidant potential of dietary chia seed and oil ( Salvia hispanica L.) in diet-induced obese rats. Food Res. Int. 2015, 76, 666–674. [Google Scholar] [CrossRef] [PubMed]
- Fonte-Faria, T.; Citelli, M.; Atella, G.C.; Raposo, H.F.; Zago, L.; de Souza, T.; da Silva, S.V.; Barja-Fidalgo, C. Chia oil supplementation changes body composition and activates insulin signaling cascade in skeletal muscle tissue of obese animals. Nutrition 2018, 58, 167–174. [Google Scholar] [CrossRef] [PubMed]
- Rossi, A.S.; Oliva, M.E.; Ferreira, M.R.; Chicco, A.; Lombardo, Y.B. Dietary chia seed induced changes in hepatic transcription factors and their target lipogenic and oxidative enzyme activities in dyslipidaemic insulin-resistant rats. Br. J. Nutr. 2013, 109, 1617–1627. [Google Scholar] [CrossRef] [PubMed]
- Ebrahimi, E.; Haghjou, M.; Nematollahi, A.; Goudarzian, F. Effects of rosemary essential oil on growth performance and hematological parameters of young great sturgeon (Huso huso). Aquaculture 2020, 521, 734909. [Google Scholar] [CrossRef]
- Khalid, W.; Arshad, M.S.; Aziz, A.; Qaisrani, T.B.; Afzal, F.; Ali, A.; Ranjha, M.M.A.N.; Khalid, M.Z.; Anjum, F.M. Chia seeds (Salvia hispanica L.): A therapeutic weapon in metabolic disorders. Food Sci. Nutr. 2022, 11, 3–16. [Google Scholar] [CrossRef] [PubMed]
- Oliveira-Alves, S.C.; Vendramini-Costa, D.B.; Cazarin, C.B.B.; Junior, M.R.M.; Ferreira, J.P.B.; da Silva, A.B.; Prado, M.A.; Bronze, M. Characterization of phenolic compounds in chia (Salvia hispanica L.) seeds, fiber flour and oil. Food Chem. 2017, 232, 295–305. [Google Scholar] [CrossRef] [PubMed]
- Rahman, M.J.; de Camargo, A.C.; Shahidi, F. Phenolic and polyphenolic profiles of chia seeds and their in vitro biological activities. J. Funct. Foods 2017, 35, 622–634. [Google Scholar] [CrossRef]
- Mohamed, D.; Mohammed, S.; Hamed, I. Chia seeds oil enriched with phytosterols and mucilage as a cardioprotective dietary supplement towards inflammation, oxidative stress, and dyslipidemia. J. Herbmed Pharmacol. 2021, 11, 83–90. [Google Scholar] [CrossRef]
- Ghanima, M.M.A.; Swelum, A.A.; Shukry, M.; Ibrahim, S.A.; El-Hack, M.E.A.; Khafaga, A.F.; Alhimaidi, A.R.; Ammari, A.A.; El-Tarabily, K.A.; Younis, M.E. Impacts of tea tree or lemongrass essential oils supplementation on growth, immunity, carcass traits, and blood biochemical parameters of broilers reared under different stocking densities. Poult. Sci. 2021, 100, 101443. [Google Scholar] [CrossRef]
- Hoseinifar, S.H.; Jahazi, M.A.; Mohseni, R.; Yousefi, M.; Bayani, M.; Mazandarani, M.; Van Doan, H.; El-Haroun, E.R. Dietary apple peel-derived pectin improved growth performance, antioxidant enzymes and immune response in common carp, Cyprinus carpio (Linnaeus, 1758). Aquaculture 2021, 535, 736311. [Google Scholar] [CrossRef]
- Mirghaed, A.T.; Hoseini, S.M.; Hoseinifar, S.H.; Van Doan, H. Effects of dietary thyme (Zataria multiflora) extract on antioxidant and immunological responses and immune-related gene expression of rainbow trout (Oncorhynchus mykiss) juveniles. Fish Shellfish Immunol. 2020, 106, 502–509. [Google Scholar] [CrossRef]
- Enes, B.N.; Moreira, L.P.D.; Silva, B.P.; Grancieri, M.; Lúcio, H.G.; Venâncio, V.P.; Mertens-Talcott, S.U.; Rosa, C.O.B.; Martino, H.S.D. Chia seed (Salvia hispanica L.) effects and their molecular mechanisms on unbalanced diet experimental studies: A systematic review. J. Food Sci. 2020, 85, 226–239. [Google Scholar] [CrossRef] [PubMed]
- Mohammed, A.B.A.; Yagi, S.; Tzanova, T.; Schohn, H.; Abdelgadir, H.; Stefanucci, A.; Mollica, A.; Mahomoodally, M.F.; Adlan, T.A.; Zengin, G. Chemical profile, antiproliferative, antioxidant and enzyme inhibition activities of Ocimum basilicum L. and Pulicaria undulata (L.) C.A. Mey. grown in Sudan. S. Afr. J. Bot. 2020, 132, 403–409. [Google Scholar] [CrossRef]
- Abdel-Latif, H.M.; Abdel-Tawwab, M.; Khafaga, A.F.; Dawood, M.A. Dietary origanum essential oil improved antioxidative status, immune-related genes, and resistance of common carp (Cyprinus carpio L.) to Aeromonas hydrophila infection. Fish Shellfish. Immunol. 2020, 104, 1–7. [Google Scholar] [CrossRef]
- Xu, H.; Du, J.; Li, S.; Mai, K.; Xu, W.; Ai, Q. Effects of dietary n-3 long-chain unsaturated fatty acid on growth performance, lipid deposition, hepatic fatty acid composition and health-related serum enzyme activity of juvenile Japanese seabass Lateolabrax japonicus. Aquac. Nutr. 2017, 23, 1449–1457. [Google Scholar] [CrossRef]
- Dawood, M.A.; Metwally, A.E.-S.; Elkomy, A.H.; Gewaily, M.S.; Abdo, S.E.; Abdel-Razek, M.A.; Soliman, A.A.; Amer, A.A.; Abdel-Razik, N.I.; Abdel-Latif, H.M.; et al. The impact of menthol essential oil against inflammation, immunosuppression, and histopathological alterations induced by chlorpyrifos in Nile tilapia. Fish Shellfish Immunol. 2020, 102, 316–325. [Google Scholar] [CrossRef]
- Ayisi, C.L.; Zhao, J.; Wu, J.-W. Replacement of fish oil with palm oil: Effects on growth performance, innate immune response, antioxidant capacity and disease resistance in Nile tilapia (Oreochromis niloticus). PLoS ONE 2018, 13, e0196100. [Google Scholar] [CrossRef]
- Li, X.; Ji, R.; Cui, K.; Chen, Q.; Chen, Q.; Fang, W.; Mai, K.; Zhang, Y.; Xu, W.; Ai, Q. High percentage of dietary palm oil suppressed growth and antioxidant capacity and induced the inflammation by activation of TLR-NF-κB signaling pathway in large yellow croaker (Larimichthys crocea). Fish Shellfish Immunol. 2019, 87, 600–608. [Google Scholar] [CrossRef] [PubMed]
- Dawood, M.A.; Zommara, M.; Eweedah, N.M.; Helal, A.I. The evaluation of growth performance, blood health, oxidative status and immune-related gene expression in Nile tilapia (Oreochromis niloticus) fed dietary nanoselenium spheres produced by lactic acid bacteria. Aquaculture 2020, 515, 734571. [Google Scholar] [CrossRef]
- Guangxin, G.; Li, K.; Zhu, Q.; Zhao, C.; Li, C.; He, Z.; Hu, S.; Ren, Y. Improvements of immune genes and intestinal microbiota composition of turbot (Scophthalmus maximus) with dietary oregano oil and probiotics. Aquaculture 2021, 547, 737442. [Google Scholar] [CrossRef]
- Zhang, R.; Wang, X.; Liu, L.; Cao, Y.; Zhu, H. Dietary oregano essential oil improved the immune response, activity of digestive enzymes, and intestinal microbiota of the koi carp, Cyprinus carpio. Aquaculture 2019, 518, 734781. [Google Scholar] [CrossRef]
- Silva, L.T.d.S.; Pereira, U.d.P.; de Oliveira, H.M.; Brasil, E.M.; Pereira, S.A.; Chagas, E.C.; Jesus, G.F.A.; Cardoso, L.; Mouriño, J.L.P.; Martins, M.L. Hemato-immunological and zootechnical parameters of Nile tilapia fed essential oil of Mentha piperita after challenge with Streptococcus agalactiae. Aquaculture 2019, 506, 205–211. [Google Scholar] [CrossRef]
- An, W.; Dong, X.; Tan, B.; Wu, M.; Zhang, S.; Chi, S.; Yang, Q.; Liu, H.; Yang, Y. Effects of dietary vegetable oil on growth performance, digestive capacity, antioxidant capacity and expression of immune-related genes in the hybrid grouper (Epinephelus fuscoguttatus ♀ × E. lanceolatus ♂). Aquac. Nutr. 2020, 26, 2086–2101. [Google Scholar] [CrossRef]


| Ingredients | Control | CSO (1) | CSO (2) | CSO (3) |
|---|---|---|---|---|
| Soybean meal a | 310 | 310 | 310 | 310 |
| Fish meal a | 80 | 80 | 80 | 80 |
| Groundnut meal a | 170 | 170 | 170 | 170 |
| Wheat flour a | 240 | 240 | 240 | 240 |
| Corn flour a | 110 | 110 | 110 | 110 |
| Cod liver oil a | 60 | 50 | 40 | 30 |
| Chia seed oil a | 00 | 10 | 20 | 30 |
| Vitamin + mineral mix b* | 20 | 20 | 20 | 20 |
| BHT d | 05 | 05 | 05 | 05 |
| Vitamin C c | 05 | 05 | 05 | 05 |
| Total | 1000 | 1000 | 1000 | 1000 |
| Proximate analysis (g kg−1) | ||||
| Crude protein | 352.3 | 351.4 | 350.8 | 349.8 |
| Crude lipid | 71.3 | 71.4 | 71.6 | 71.5 |
| Ash | 96.1 | 95.7 | 95.5 | 95.8 |
| Fatty Acids (%) | Control | CSO (1) | CSO (2) | CSO (3) |
|---|---|---|---|---|
| C12:0 | 1.15 | 1.45 | 1.8 | 2.08 |
| C14:0 | 5.86 | 4.34 | 3.64 | 2.72 |
| C16:0 | 16.63 | 16.26 | 15.04 | 14.81 |
| C17:0 | 3.22 | 3.16 | 2.59 | 2.11 |
| C18:0 | 3.42 | 3.51 | 3.65 | 3.83 |
| C16:1 | 5.73 | 5.03 | 4.33 | 2.71 |
| C18:1 | 11.72 | 12.80 | 15.73 | 17.38 |
| C20:1 n-9 | 2.94 | 3.01 | 3.37 | 3.73 |
| C22:1 n-9 | 3.03 | 3.45 | 4.23 | 4.59 |
| C18:2 n-6 (LA) | 5.86 | 7.93 | 10.49 | 12.65 |
| C18:3 n-3 (ALA) | 2.47 | 6.49 | 13.46 | 19.87 |
| C20:3 n-3 | 1.08 | 0.94 | 0.71 | 0.51 |
| C20:5 n-3 (EPA) | 7.61 | 6.09 | 4.33 | 2.69 |
| C22:6 n-3 (DHA) | 10.84 | 8.56 | 6.43 | 3.19 |
| ∑ SFA | 30.28 | 28.72 | 26.72 | 25.55 |
| ∑ MUFA | 23.42 | 24.29 | 27.66 | 28.41 |
| ∑ n-3 PUFA | 22.01 | 22.08 | 24.93 | 26.26 |
| EPA + DHA | 18.45 | 14.65 | 10.76 | 5.88 |
| EPA/DHA ratio | 0.70 | 0.71 | 0.67 | 0.84 |
| Gene | Primer Sequence | Annealing Temp. | Accession Number/Reference |
|---|---|---|---|
| TNF-α | Forward-5′CCAGGCTTTCACTTCAGG3′ Reverse-5′GCCATAGGA ATCGGAGTAG3′ | 51.6 °C | FN543477 |
| IL-10 | Forward-5′GACATCAAAGAGAGTCAAGCACTTATAGT3′ Reverse-5′TGCAGAGTATTCAGATTTGACTCAAGTC3′ | 61.5 °C | HM228928 |
| IL1-β | Forward-5′ATCTTGGAGAATGTGATCGAAGAG3′ Reverse5′GATACGTTTTTGATCCTCAAGTGTGAAG3′ | 57.5 °C | AM932525 |
| TLR-22 | Forward-5′TCACCCCATTTCGAGGCTAACAT 3′ Reverse-5′CGGAGGTAGGTTCGTTTCTTCA 3′ | 51.6 °C | [28] |
| IFN-γ | Forward-5′TGTGTTCCTCAACAGACACC 3′ Reverse-5′TGGAGAAACAGTTGACTCATGTG 3′ | 61.5 °C | [29] |
| β-actin | Forward-5′GACTTCGAGCAG GAGATGG3′ Reverse-5′CAAGAAGGATGGCTGGAACA3′ | 55.3 °C | [30] |
| Treatments | Total Protein (g dL−1) | Albumin (g dL−1) | Globulin (g dL−1) | A/G Ratio | Glucose (mmol L−1) | Cholesterol (mmol L−1) | Triglyceride (mmol L−1) | CRP (mg L−1) |
|---|---|---|---|---|---|---|---|---|
| Control | 1.38 bc ± 0.01 | 0.42 a ± 0.03 | 0.96 b ± 0.01 | 0.43 a ± 0.01 | 12.89 a ± 0.33 | 3.20 b ± 0.06 | 2.87 a ± 0.04 | 96.67 a ±1.66 |
| CSO (1) | 1.58 a ± 0.03 | 0.28 c ± 0.01 | 1.15 a ± 0.03 | 0.24 b ± 0.01 | 11.72 ab ± 0.63 | 2.81 c ± 0.06 | 2.39 c ± 0.03 | 66.98 d ± 0.89 |
| CSO (2) | 1.41 b ± 0.01 | 0.29 c ± 0.03 | 1.11 a ± 0.01 | 0.26 b ± 0.02 | 11.28 bc ± 0.26 | 2.99 c ± 0.05 | 2.57 b ± 0.03 | 77.51 c ± 2.62 |
| CSO (3) | 1.34 c ± 0.02 | 0.40 b ± 0.01 | 0.94 b ± 0.02 | 0.42 a ± 0.03 | 10.38 c ± 0.20 | 3.50 a ± 0.03 | 3.01 a ± 0.07 | 89.05 b ± 0.89 |
| Anti-Oxidative Assays | |||||||||
|---|---|---|---|---|---|---|---|---|---|
| Treatments | CAT Liver | CAT Kidney | CAT Intestine | SOD Liver | SOD Kidney | SOD Intestine | GST Liver | GST Kidney | GST Intestine |
| Control | 19.57 ab ± 1.18 | 21.84 b ± 0.76 | 14.11 b ± 0.86 | 48.55 ab ± 2.31 | 31.43 c ± 1.03 | 23.35 ± 1.28 | 6.61 b ± 0.57 | 4.68 ab ± 0.09 | 2.14 ± 0.15 |
| CSO (1) | 22.54 a ± 0.60 | 23.51 ab ± 0.65 | 18.44 a ± 1.12 | 56.46 a ± 2.16 | 41.54 a ± 1.93 | 27.18 ± 1.89 | 9.32 a ± 0.36 | 5.58 a ± 0.64 | 2.91 ± 0.41 |
| CSO (2) | 20.88 ab ± 1.14 | 25.53 a ± 0.75 | 17.93 a ± 0.27 | 50.37 ab ± 1.83 | 37.46 b ± 2.41 | 27.21 ± 1.12 | 7.18 b ± 0.42 | 5.32 ab ± 0.50 | 2.69 ± 0.19 |
| CSO (3) | 19.28 b ± 0.57 | 22.33 b ± 0.61 | 13.48 b ± 0.58 | 46.98 b ± 3.08 | 30.77 c ± 1.79 | 24.55 ± 0.99 | 6.93 b ± 0.74 | 3.86 b ± 0.27 | 2.36 ± 0.29 |
| Treatments | AST | ALT | ||||
|---|---|---|---|---|---|---|
| Liver | Kidney | Intestine | Liver | Kidney | Intestine | |
| Control | 11.28 b ± 0.57 | 11.08 ± 1.09 | 14.86 ab ± 1.02 | 15.34 bc ± 0.55 | 12.66 b ± 0.45 | 9.29 c ± 0.45 |
| CSO (1) | 14.42 a ± 0.65 | 12.22 ± 1.00 | 16.52 a ± 0.43 | 18.61 a ± 0.58 | 15.21 a ± 0.17 | 11.07 b ± 0.73 |
| CSO (2) | 15.92 a ± 0.76 | 10.17 ± 0.16 | 14.92 ab ± 0.54 | 16.78 b ± 0.39 | 13.69 b ± 0.56 | 13.04 a ± 0.41 |
| CSO (3) | 11.37 b ± 0.49 | 10.16 ± 0.84 | 12.73 b ± 0.46 | 14.03 c ± 0.15 | 12.36 b ± 0.34 | 10.37 bc ± 0.28 |
Disclaimer/Publisher’s Note: The statements, opinions and data contained in all publications are solely those of the individual author(s) and contributor(s) and not of MDPI and/or the editor(s). MDPI and/or the editor(s) disclaim responsibility for any injury to people or property resulting from any ideas, methods, instructions or products referred to in the content. |
© 2025 by the authors. Licensee MDPI, Basel, Switzerland. This article is an open access article distributed under the terms and conditions of the Creative Commons Attribution (CC BY) license (https://creativecommons.org/licenses/by/4.0/).
Share and Cite
Gupta, S.K.; Gupta, R.; Gupta, A.; Foysal, M.J.; Krishnani, K.K. Chia (Salvia hispanica) Seed Oil Modulates the Haemato-Immunological Response, Antioxidative Status and Cytokine Gene Expression of Tropical Freshwater Teleost, Labeo rohita. Biology 2025, 14, 95. https://doi.org/10.3390/biology14010095
Gupta SK, Gupta R, Gupta A, Foysal MJ, Krishnani KK. Chia (Salvia hispanica) Seed Oil Modulates the Haemato-Immunological Response, Antioxidative Status and Cytokine Gene Expression of Tropical Freshwater Teleost, Labeo rohita. Biology. 2025; 14(1):95. https://doi.org/10.3390/biology14010095
Chicago/Turabian StyleGupta, Sanjay Kumar, Rajan Gupta, Akruti Gupta, Md Javed Foysal, and Kishore Kumar Krishnani. 2025. "Chia (Salvia hispanica) Seed Oil Modulates the Haemato-Immunological Response, Antioxidative Status and Cytokine Gene Expression of Tropical Freshwater Teleost, Labeo rohita" Biology 14, no. 1: 95. https://doi.org/10.3390/biology14010095
APA StyleGupta, S. K., Gupta, R., Gupta, A., Foysal, M. J., & Krishnani, K. K. (2025). Chia (Salvia hispanica) Seed Oil Modulates the Haemato-Immunological Response, Antioxidative Status and Cytokine Gene Expression of Tropical Freshwater Teleost, Labeo rohita. Biology, 14(1), 95. https://doi.org/10.3390/biology14010095

