A Diverse Vibrio Community in Ría de Vigo (Northwestern Spain)
Simple Summary
Abstract
1. Introduction
2. Materials and Methods
2.1. Sampling
2.2. Isolation of Culturable Vibrios
2.3. DNA Extraction and Quantitative PCR (qPCR)
2.4. High-Throughput Sequencing and Processing
2.5. Statistical Analyses
3. Results
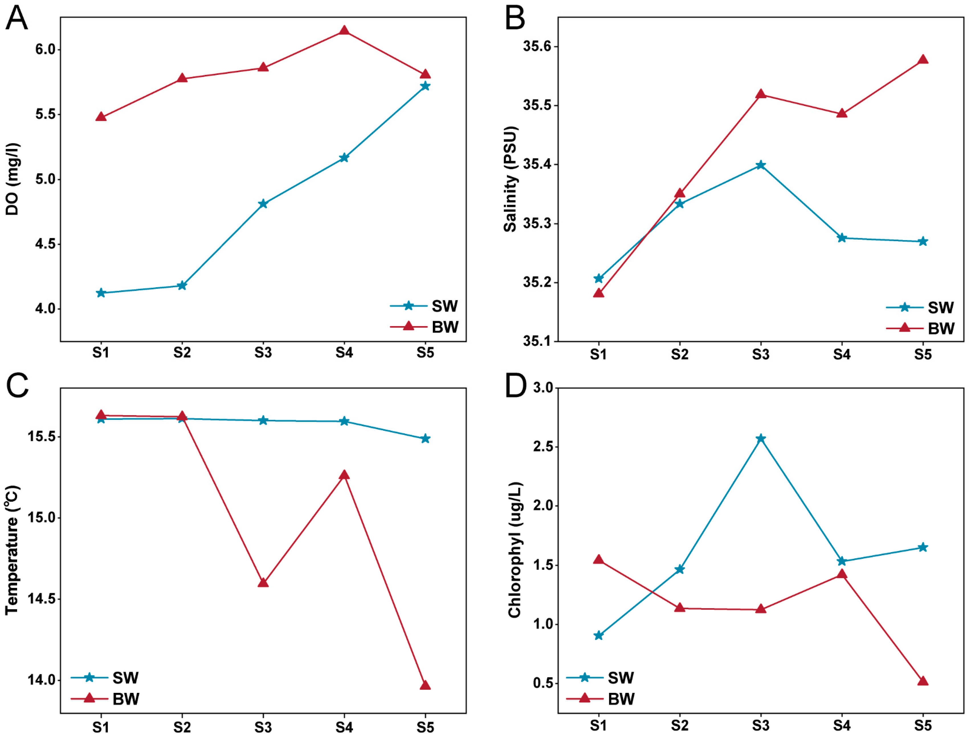
3.1. Environmental Conditions
3.2. The Abundances of Vibrio spp. and Total Bacteria
3.3. Diversity Estimators of Vibrio spp.
3.4. Community Composition of Total Vibrios
3.5. Culturable Vibrios
3.6. Environmental and Stochastic Effects on Vibrio spp.
4. Discussion
4.1. Vibrios in Ría de Vigo Have Different Strategies and May Be Microbial Indicators Under a Future Enhanced Eutrophication Scenario
4.2. A Diverse Community of Vibrio Species Has Been Recorded in Ría de Vigo
5. Conclusions
Supplementary Materials
Author Contributions
Funding
Institutional Review Board Statement
Informed Consent Statement
Data Availability Statement
Acknowledgments
Conflicts of Interest
References
- Siboni, N.; Balaraju, V.; Carney, R.; Labbate, M.; Seymour, J.R. Spatiotemporal dynamics of Vibrio spp. within the Sydney Harbour estuary. Front. Microbiol. 2016, 7, 460. [Google Scholar] [CrossRef] [PubMed]
- Thompson, J.R.; Randa, M.A.; Marcelino, L.A.; Tomita-Mitchell, A.; Lim, E.; Polz, M.F. Diversity and dynamics of a North Atlantic coastal Vibrio community. Appl. Environ. Microbiol. 2004, 70, 4103–4110. [Google Scholar] [CrossRef] [PubMed]
- Liang, J.; Liu, J.; Wang, X.; Lin, H.; Liu, J.; Zhou, S.; Sun, H.; Zhang, X.-H. Spatiotemporal dynamics of free-living and particle-associated Vibrio communities in the northern Chinese marginal seas. Appl. Environ. Microbiol. 2019, 85, e00217-00219. [Google Scholar] [CrossRef] [PubMed]
- Baker-Austin, C.; Oliver, J.D.; Alam, M.; Ali, A.; Waldor, M.K.; Qadri, F.; Martinez-Urtaza, J. Vibrio spp. infections. Nat. Rev. Dis. Primers 2018, 4, 1–19. [Google Scholar] [CrossRef] [PubMed]
- Zhang, X.-H.; He, X.; Austin, B. Vibrio harveyi: A serious pathogen of fish and invertebrates in mariculture. Mar. Life Sci. Technol. 2020, 2, 231–245. [Google Scholar] [CrossRef] [PubMed]
- Wang, G.; Shuai, L.; Li, Y.; Lin, W.; Zhao, X.; Duan, D. Phylogenetic Analysis of Epiphytic Marine Bacteria on Hole-Rotten Diseased Sporophytes of Laminaria Japonica. J. Appl. Phycol. 2008, 20, 403–409. [Google Scholar] [CrossRef]
- Reidl, J.; Klose, K.E. Vibrio cholerae and cholera: Out of the water and into the host. FEMS Microbiol. Rev. 2002, 26, 125–139. [Google Scholar] [CrossRef]
- Montánchez, I.; Kaberdin, V.R. Vibrio harveyi: A brief survey of general characteristics and recent epidemiological traits associated with climate change. Mar. Environ. Res. 2020, 154, 104850. [Google Scholar] [CrossRef]
- Austin, B.; Zhang, X.-H. Vibrio harveyi: A significant pathogen of marine vertebrates and invertebrates. Lett. Appl. Microbiol. 2006, 43, 119–124. [Google Scholar] [CrossRef]
- Jawdhari, A.; Deák, G.; Mihăilescu, D.F.; Crăciun, N.; Staicu, A.C.; Stanca, I.; Cozorici, D.; Fendrihan, S.; Pop, C.-E.; Mernea, M. Ingested Microplastics Can Act as Microbial Vectors of Ichthyofauna. Microbiol. Res. 2024, 15, 614–625. [Google Scholar] [CrossRef]
- Zhu, J.; Xu, M.; Liu, Q.; Li, D.; Yang, R.; Chen, H. Bacteriophage therapy on the conchocelis of Pyropia haitanensis (Rhodophyta) infected by Vibrio mediterranei 117-T6. Aquaculture 2021, 531, 735853. [Google Scholar] [CrossRef]
- Wang, X.; Liu, J.; Liang, J.; Sun, H.; Zhang, X.-H. Spatiotemporal dynamics of the total and active Vibrio spp. populations throughout the Changjiang estuary in China. Environ. Microbiol. 2020, 22, 4438–4455. [Google Scholar] [CrossRef] [PubMed]
- Zhang, X.-H.; Lin, H.; Wang, X.; Austin, B. Significance of Vibrio species in the marine organic carbon cycle—A review. Sci. China Earth Sci. 2018, 61, 1357–1368. [Google Scholar] [CrossRef]
- Gutiérrez-Barral, A.; Teira, E.; Hernández-Ruiz, M.; Fernández, E. Response of prokaryote community composition to riverine and atmospheric nutrients in a coastal embayment: Role of organic matter on Vibrionales. Estuar. Coast. Shelf Sci. 2021, 251, 107196. [Google Scholar] [CrossRef]
- Baffone, W.; Tarsi, R.; Pane, L.; Campana, R.; Repetto, B.; Mariottini, G.L.; Pruzzo, C. Detection of free-living and plankton-bound vibrios in coastal waters of the Adriatic Sea (Italy) and study of their pathogenicity-associated properties. Environ. Microbiol. 2006, 8, 1299–1305. [Google Scholar] [CrossRef]
- Wang, X.; Liu, J.; Zhao, W.; Liu, J.; Liang, J.; Thompson, F.; Zhang, X.-H. Fine-scale structuring of planktonic Vibrio spp. in the Chinese marginal seas. Appl. Environ. Microbiol. 2022, 88, e01262-01222. [Google Scholar] [CrossRef]
- Pedrós-Alió, C. The rare bacterial biosphere. Annu. Rev. Mar. Sci. 2012, 4, 449–466. [Google Scholar] [CrossRef] [PubMed]
- Walters, K.E.; Martiny, J.B. Alpha-, beta-, and gamma-diversity of bacteria varies across habitats. PLoS ONE 2020, 15, e0233872. [Google Scholar] [CrossRef]
- Liang, J.; Liu, J.; Wang, X.; Sun, H.; Zhang, Y.; Ju, F.; Thompson, F.; Zhang, X.-H. Genomic analysis reveals adaptation of Vibrio campbellii to the hadal ocean. Appl. Environ. Microbiol. 2022, 88, e00575-00522. [Google Scholar] [CrossRef]
- Hasan, N.A.; Grim, C.J.; Lipp, E.K.; Rivera, I.N.; Chun, J.; Haley, B.J.; Taviani, E.; Choi, S.Y.; Hoq, M.; Munk, A.C. Deep-sea hydrothermal vent bacteria related to human pathogenic Vibrio species. Proc. Natl. Acad. Sci. USA 2015, 112, E2813–E2819. [Google Scholar] [CrossRef] [PubMed]
- Smriga, S.; Fernandez, V.I.; Mitchell, J.G.; Stocker, R. Chemotaxis toward phytoplankton drives organic matter partitioning among marine bacteria. Proc. Natl. Acad. Sci. USA 2016, 113, 1576–1581. [Google Scholar] [CrossRef] [PubMed]
- Zhu, S.; Wang, X.; Zhao, W.; Zhang, Y.; Song, D.; Cheng, H.; Zhang, X.-H. Vertical dynamics of free-living and particle-associated vibrio communities in the eastern tropical Indian Ocean. Front. Microbiol. 2023, 14, 1285670. [Google Scholar] [CrossRef] [PubMed]
- Liang, J.; Liu, J.; Zhan, Y.; Zhou, S.; Xue, C.-X.; Sun, C.; Lin, Y.; Luo, C.; Wang, X.; Zhang, X.-H. Succession of marine bacteria in response to Ulva prolifera-derived dissolved organic matter. Environ. Int. 2021, 155, 106687. [Google Scholar] [CrossRef] [PubMed]
- Martínez, A.; Ventouras, L.A.; Wilson, S.T.; Karl, D.M.; DeLong, E.F. Metatranscriptomic and functional metagenomic analysis of methylphosphonate utilization by marine bacteria. Front. Microbiol. 2013, 4, 340. [Google Scholar] [CrossRef] [PubMed]
- Li, N.; Dong, K.; Jiang, G.; Tang, J.; Xu, Q.; Li, X.; Kang, Z.; Zou, S.; Chen, X.; Adams, J.M. Stochastic processes dominate marine free-living Vibrio community assembly in a subtropical gulf. FEMS Microbiol. Ecol. 2020, 96, fiaa198. [Google Scholar] [CrossRef] [PubMed]
- Fernández, E.; Álvarez-Salgado, X.A.; Beiras, R.; Ovejero, A.; Méndez, G. Coexistence of urban uses and shellfish production in an upwelling-driven, highly productive marine environment: The case of the Ría de Vigo (Galicia, Spain). Reg. Stud. Mar. Sci. 2016, 8, 362–370. [Google Scholar] [CrossRef]
- Diz, P.; Francés, G.; Vilas, F. Microhábitats de foraminíferos bentónicos en la ría de Vigo y su aplicación a la interpretación paleoecológica. J. Iber. Geol. 2000, 26, 99–119. [Google Scholar]
- Surís-Regueiro, J.C.; Garza-Gil, M.D.; Varela-Lafuente, M.M. Socio-economic quantification of fishing in a European urban area: The case of Vigo. Mar. Policy 2014, 43, 347–358. [Google Scholar] [CrossRef]
- Perez-Arlucea, M.; Mendez, G.; Clemente, F.; Nombela, M.; Rubio, B.; Filgueira, M. Hydrology, sediment yield, erosion and sedimentation rates in the estuarine environment of the Ria de Vigo, Galicia, Spain. J. Mar. Syst. 2005, 54, 209–226. [Google Scholar] [CrossRef]
- Evans, G.; Prego, R.; Marshall, J.E. Organic matter in ria sediments: Relevance of terrestial sources and temporal variations in rates of accumulation. Estuar. Coast. Shelf Sci. 2011, 94, 246–254. [Google Scholar] [CrossRef]
- Teira, E.; Hernández-Ruiz, M.; Barber-Lluch, E.; Sobrino, C.; Teixeira, I.; Álvarez-Salgado, X.A.; Nieto-Cid, M.; Martínez-García, S.; Figueiras, F.; Fernández, E. Bacterioplankton responses to riverine and atmospheric inputs in a coastal upwelling system (Ría de Vigo, NW Spain). Mar. Ecol. Prog. Ser. 2016, 542, 39–50. [Google Scholar] [CrossRef]
- Zhang, Y.; Zhao, Z.; Dai, M.; Jiao, N.; Herndl, G.J. Drivers shaping the diversity and biogeography of total and active bacterial communities in the South China Sea. Mol. Ecol. 2014, 23, 2260–2274. [Google Scholar] [CrossRef] [PubMed]
- Ruiz, Y.; Suarez, P.; Alonso, A.; Longo, E.; Villaverde, A.; San Juan, F. Environmental quality of mussel farms in the Vigo estuary: Pollution by PAHs, origin and effects on reproduction. Environ. Pollut. 2011, 159, 250–265. [Google Scholar] [CrossRef] [PubMed]
- Liu, M.; Yin, F.; Zhao, W.; Tian, P.; Zhou, Y.; Jia, Z.; Huang, K.; Ding, Y.; Xiao, J.; Niu, W. Diversity of Culturable Bacteria from the Coral Reef Areas in the South China Sea and Their Agar-Degrading Abilities. Microorganisms 2024, 12, 187. [Google Scholar] [CrossRef]
- Zhang, Z.; Yu, T.; Xu, T.; Zhang, X.-H. Aquimarina pacifica sp. nov., isolated from seawater. Int. J. Syst. Evol. Microbiol. 2014, 64, 1991–1997. [Google Scholar] [CrossRef]
- Thompson, J.D.; Gibson, T.J.; Plewniak, F.; Jeanmougin, F.; Higgins, D.G. The CLUSTAL_X windows interface: Flexible strategies for multiple sequence alignment aided by quality analysis tools. Nucleic Acids Res. 1997, 25, 4876–4882. [Google Scholar] [CrossRef]
- Zhao, W.; Chen, X.; Liu, R.; Tian, P.; Niu, W.; Zhang, X.-H.; Liu, J.; Wang, X. Distinct coral environments shape the dynamic of planktonic Vibrio spp. Environ. Microbiome 2023, 18, 77. [Google Scholar] [CrossRef]
- Chen, S.; Zhou, Y.; Chen, Y.; Gu, J. fastp: An ultra-fast all-in-one FASTQ preprocessor. Bioinformatics 2018, 34, i884–i890. [Google Scholar] [CrossRef] [PubMed]
- Magoč, T.; Salzberg, S.L. FLASH: Fast length adjustment of short reads to improve genome assemblies. Bioinformatics 2011, 27, 2957–2963. [Google Scholar] [CrossRef]
- Callahan, B.J.; McMurdie, P.J.; Rosen, M.J.; Han, A.W.; Johnson, A.J.A.; Holmes, S.P. DADA2: High-resolution sample inference from Illumina amplicon data. Nat. Methods 2016, 13, 581–583. [Google Scholar] [CrossRef]
- Hall, M.; Beiko, R.G. 16S rRNA gene analysis with QIIME2. Microbiome Anal. Methods Protoc. 2018, 1849, 113–129. [Google Scholar]
- Burns, A.R.; Stephens, W.Z.; Stagaman, K.; Wong, S.; Rawls, J.F.; Guillemin, K.; Bohannan, B.J. Contribution of neutral processes to the assembly of gut microbial communities in the zebrafish over host development. ISME J. 2016, 10, 655–664. [Google Scholar] [CrossRef] [PubMed]
- Mo, Y.; Peng, F.; Gao, X.; Xiao, P.; Logares, R.; Jeppesen, E.; Ren, K.; Xue, Y.; Yang, J. Low shifts in salinity determined assembly processes and network stability of microeukaryotic plankton communities in a subtropical urban reservoir. Microbiome 2021, 9, 128. [Google Scholar] [CrossRef] [PubMed]
- Barton, E.D.; Largier, J.; Torres, R.; Sheridan, M.; Trasviña, A.; Souza, A.; Pazos, Y.; Valle-Levinson, A. Coastal upwelling and downwelling forcing of circulation in a semi-enclosed bay: Ria de Vigo. Prog. Oceanogr. 2015, 134, 173–189. [Google Scholar] [CrossRef]
- Vilas, F.; Nombela, M.; García-Gil, E.; García-Gil, S.; Alejo, I.; Rubio, B.; Pazos, O. Mapa de distribución de los sedimentos del fondo de la Ría de Vigo. Cons. Pesca Marisqueo Acuic. Xunta Galicia 1995, 41. [Google Scholar]
- Thompson, J.R.; Polz, M.F. Dynamics of Vibrio populations and their role in environmental nutrient cycling. In The Biology of Vibrios; Thompson, F.L., Austin, B., Swings., J., Eds.; ASM Press: Washington, DC, USA, 2006; pp. 190–203. [Google Scholar]
- Romero, A.; del Mar Costa, M.; Forn-Cuni, G.; Balseiro, P.; Chamorro, R.; Dios, S.; Figueras, A.; Novoa, B. Occurrence, seasonality and infectivity of Vibrio strains in natural populations of mussels Mytilus galloprovincialis. Dis. Aquat. Org. 2014, 108, 149–163. [Google Scholar] [CrossRef] [PubMed]
- Martinez-Urtaza, J.; Blanco-Abad, V.; Rodriguez-Castro, A.; Ansede-Bermejo, J.; Miranda, A.; Rodriguez-Alvarez, M.X. Ecological determinants of the occurrence and dynamics of Vibrio parahaemolyticus in offshore areas. ISME J. 2012, 6, 994–1006. [Google Scholar] [CrossRef]
- Garrido-Maestu, A.; Lozano-León, A.; Rodríguez-Souto, R.R.; Vieites-Maneiro, R.; Chapela, M.J.; Cabado, A.G. Presence of pathogenic Vibrio species in fresh mussels harvested in the southern Rias of Galicia (NW Spain). Food Control 2016, 59, 759–765. [Google Scholar] [CrossRef]
- Gutiérrez-Barral, A.; Fernández, E.; Hernández-Ruiz, M.; Teira, E. Contrasting resistance of prokaryotic plankton biomass and community composition to experimental nutrient inputs in a coastal upwelling system (NW Spain). Hydrobiologia 2024, 851, 1907–1921. [Google Scholar] [CrossRef]
- Gutiérrez-Barral, A.; Teira, E.; Díaz-Alonso, A.; Justel-Díez, M.; Kaal, J.; Fernández, E. Impact of wildfire ash on bacterioplankton abundance and community composition in a coastal embayment (Ría de Vigo, NW Spain). Mar. Environ. Res. 2024, 194, 106317. [Google Scholar] [CrossRef]
- Xu, W.; Gong, L.; Yang, S.; Gao, Y.; Ma, X.; Xu, L.; Chen, H.; Luo, Z. Spatiotemporal dynamics of Vibrio communities and abundance in Dongshan Bay, South of China. Front. Microbiol. 2020, 11, 575287. [Google Scholar] [CrossRef] [PubMed]
- Lin, H.; Yu, M.; Wang, X.; Zhang, X.-H. Comparative genomic analysis reveals the evolution and environmental adaptation strategies of vibrios. Bmc Genom. 2018, 19, 135. [Google Scholar] [CrossRef] [PubMed]
- Li, B.; Liu, J.; Zhou, S.; Fu, L.; Yao, P.; Chen, L.; Yang, Z.; Wang, X.; Zhang, X.-H. Vertical variation in Vibrio community composition in Sansha Yongle Blue Hole and its ability to degrade macromolecules. Mar. Life Sci. Technol. 2020, 2, 60–72. [Google Scholar] [CrossRef]
- Eiler, A.; Johansson, M.; Bertilsson, S. Environmental influences on Vibrio populations in northern temperate and boreal coastal waters (Baltic and Skagerrak Seas). Appl. Environ. Microbiol. 2006, 72, 6004–6011. [Google Scholar] [CrossRef] [PubMed]
- Unanue, M.; Ayo, B.; Azúa, I.; Barcina, I.; Iriberri, J. Temporal variability of attached and free-living bacteria in coastal waters. Microb. Ecol. 1992, 23, 27–39. [Google Scholar] [CrossRef]
- Brennan, C.A.; DeLoney-Marino, C.R.; Mandel, M.J. Chemoreceptor VfcA mediates amino acid chemotaxis in Vibrio fischeri. Appl. Environ. Microbiol. 2013, 79, 1889–1896. [Google Scholar] [CrossRef]
- Vezzulli, L.; Brettar, I.; Pezzati, E.; Reid, P.C.; Colwell, R.R.; Höfle, M.G.; Pruzzo, C. Long-term effects of ocean warming on the prokaryotic community: Evidence from the vibrios. ISME J. 2012, 6, 21–30. [Google Scholar] [CrossRef] [PubMed]
- Asplund, M.E.; Rehnstam-Holm, A.S.; Atnur, V.; Raghunath, P.; Saravanan, V.; Härnström, K.; Collin, B.; Karunasagar, I.; Godhe, A. Water column dynamics of Vibrio in relation to phytoplankton community composition and environmental conditions in a tropical coastal area. Environ. Microbiol. 2011, 13, 2738–2751. [Google Scholar] [CrossRef]
- Bodor, A.; Bounedjoum, N.; Vincze, G.E.; Erdeiné Kis, Á.; Laczi, K.; Bende, G.; Szilágyi, Á.; Kovács, T.; Perei, K.; Rákhely, G. Challenges of unculturable bacteria: Environmental perspectives. Rev. Environ. Sci. Bio/Technol. 2020, 19, 1–22. [Google Scholar] [CrossRef]
- Vartoukian, S.R.; Palmer, R.M.; Wade, W.G. Strategies for culture of ‘unculturable’ bacteria. FEMS Microbiol. Lett. 2010, 309, 1–7. [Google Scholar] [CrossRef]
- Wang, X.; Liu, J.; Li, B.; Liang, J.; Sun, H.; Zhou, S.; Zhang, X.-H. Spatial heterogeneity of Vibrio spp. in sediments of Chinese marginal seas. Appl. Environ. Microbiol. 2019, 85, e03064-03018. [Google Scholar] [CrossRef]
- Figge, M.J.; Cleenwerck, I.; van Uijen, A.; De Vos, P.; Huys, G.; Robertson, L. Photobacterium piscicola sp. nov., isolated from marine fish and spoiled packed cod. Syst. Appl. Microbiol. 2014, 37, 329–335. [Google Scholar] [CrossRef]
- Zhao, R.; Symonds, J.E.; Walker, S.P.; Steiner, K.; Carter, C.G.; Bowman, J.P.; Nowak, B.F. Effects of feed ration and temperature on Chinook salmon (Oncorhynchus tshawytscha) microbiota in freshwater recirculating aquaculture systems. Aquaculture 2021, 543, 736965. [Google Scholar] [CrossRef]
- Thompson, F.L.; Thompson, C.; Swings, J. Vibrio tasmaniensis sp. nov., isolated from Atlantic salmon (Salmo salar L.). Syst. Appl. Microbiol. 2003, 26, 65–69. [Google Scholar] [CrossRef] [PubMed][Green Version]
- Islam, S.S.; Zhang, S.; Eggermont, M.; Bruto, M.; Le Roux, F.; Defoirdt, T. The impact of the multichannel quorum sensing systems of Vibrio tasmaniensis and Vibrio crassostreae on virulence towards blue mussel (Mytilus edulis) larvae. Aquaculture 2022, 547, 737414. [Google Scholar] [CrossRef]
- Malard, L.A.; Anwar, M.Z.; Jacobsen, C.S.; Pearce, D.A. Biogeographical patterns in soil bacterial communities across the Arctic region. FEMS Microbiol. Ecol. 2019, 95, fiz128. [Google Scholar] [CrossRef] [PubMed]
- Ishimaru, K.; Akagawa-Matsushita, M.; Muroga, K. Vibrio penaeicida sp. nov., a pathogen of kuruma prawns (Penaeus japonicus). Int. J. Syst. Evol. Microbiol. 1995, 45, 134–138. [Google Scholar] [CrossRef]
- Hahn, M.W.; Koll, U.; Schmidt, J. Isolation and cultivation of bacteria. Struct. Funct. Aquat. Microb. Communities 2019, 7, 313–351. [Google Scholar]
- Locey, K.J.; Fisk, M.C.; Lennon, J.T. Microscale insight into microbial seed banks. Front. Microbiol. 2017, 7, 2040. [Google Scholar] [CrossRef]
- Ruimy, R.; Breittmayer, V.; Elbaze, P.; Lafay, B.; Boussemart, O.; Gauthier, M.; Christen, R. Phylogenetic analysis and assessment of the genera Vibrio, Photobacterium, Aeromonas, and Plesiomonas deduced from small-subunit rRNA sequences. Int. J. Syst. Evol. Microbiol. 1994, 44, 416–426. [Google Scholar] [CrossRef]
- Jesser, K.; Noble, R. Characterizing the ecology of Vibrio in the Neuse River Estuary, North Carolina using heat shock protein 60 (hsp60) next-generation amplicon sequencing. Appl Env. Microbiol 2018, 84, e00333-e00318. [Google Scholar] [CrossRef] [PubMed]
- Machado, H.; Gram, L. The fur gene as a new phylogenetic marker for Vibrionaceae species identification. Appl. Environ. Microbiol. 2015, 81, 2745–2752. [Google Scholar] [CrossRef] [PubMed]
- Amin, A.R.; Feng, G.; Al-Saari, N.; Meirelles, P.M.; Yamazaki, Y.; Mino, S.; Thompson, F.L.; Sawabe, T.; Sawabe, T. The first temporal and spatial assessment of Vibrio diversity of the surrounding seawater of coral reefs in Ishigaki, Japan. Front. Microbiol. 2016, 7, 1185. [Google Scholar] [CrossRef]






Disclaimer/Publisher’s Note: The statements, opinions and data contained in all publications are solely those of the individual author(s) and contributor(s) and not of MDPI and/or the editor(s). MDPI and/or the editor(s) disclaim responsibility for any injury to people or property resulting from any ideas, methods, instructions or products referred to in the content. |
© 2024 by the authors. Licensee MDPI, Basel, Switzerland. This article is an open access article distributed under the terms and conditions of the Creative Commons Attribution (CC BY) license (https://creativecommons.org/licenses/by/4.0/).
Share and Cite
Huang, X.; Huang, K.; Chen, S.; Yin, X.; Pérez-Lorenzo, M.; Teira, E.; Fernández, E.; Wang, X. A Diverse Vibrio Community in Ría de Vigo (Northwestern Spain). Biology 2024, 13, 986. https://doi.org/10.3390/biology13120986
Huang X, Huang K, Chen S, Yin X, Pérez-Lorenzo M, Teira E, Fernández E, Wang X. A Diverse Vibrio Community in Ría de Vigo (Northwestern Spain). Biology. 2024; 13(12):986. https://doi.org/10.3390/biology13120986
Chicago/Turabian StyleHuang, Xiaoyun, Keyi Huang, Sihan Chen, Xinglan Yin, María Pérez-Lorenzo, Eva Teira, Emilio Fernández, and Xiaolei Wang. 2024. "A Diverse Vibrio Community in Ría de Vigo (Northwestern Spain)" Biology 13, no. 12: 986. https://doi.org/10.3390/biology13120986
APA StyleHuang, X., Huang, K., Chen, S., Yin, X., Pérez-Lorenzo, M., Teira, E., Fernández, E., & Wang, X. (2024). A Diverse Vibrio Community in Ría de Vigo (Northwestern Spain). Biology, 13(12), 986. https://doi.org/10.3390/biology13120986

